Response of Ochroma lagopus Swartz Growth and Nutrient Uptake to Urea and Slow-Release Fertilizer Addition
Abstract
1. Introduction
2. Materials and Methods
2.1. Study Area
2.2. Experimental Materials and Treatments
2.3. Sampling and Measurement
2.4. Data Analysis
3. Results
3.1. Effect of Different N Addition Treatments on the Growth of O. lagopus Plantations
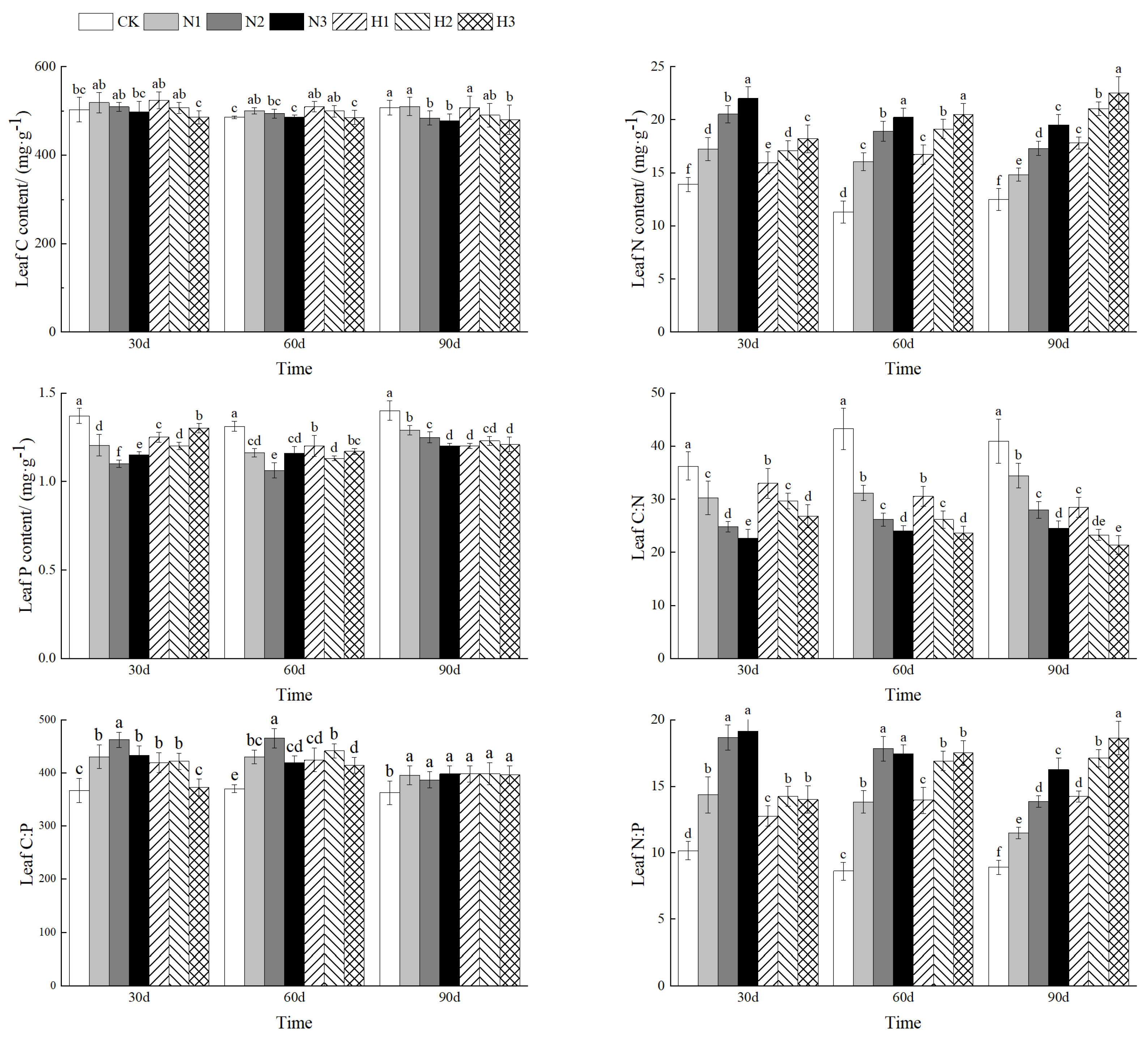
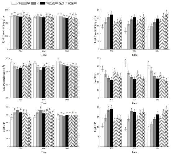
3.2. Effect of Different N Addition Treatments on the C, N, and P Content and Their Stoichiometric Ratios in O. lagopus Leaves
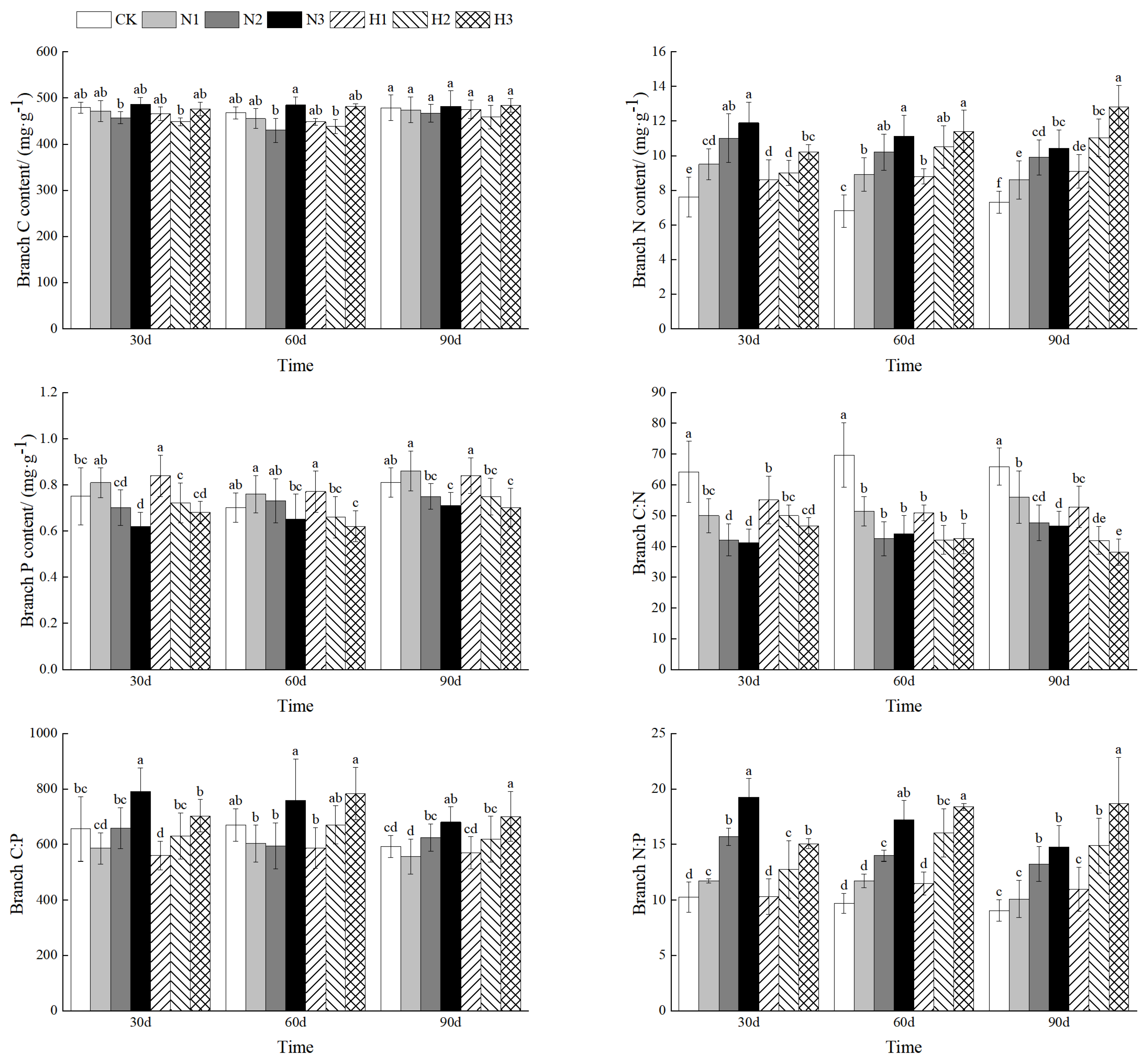
3.3. Effect of Different N Addition Treatments on the C, N, and P Content and Their Stoichiometric Ratios in O. lagopus Branches
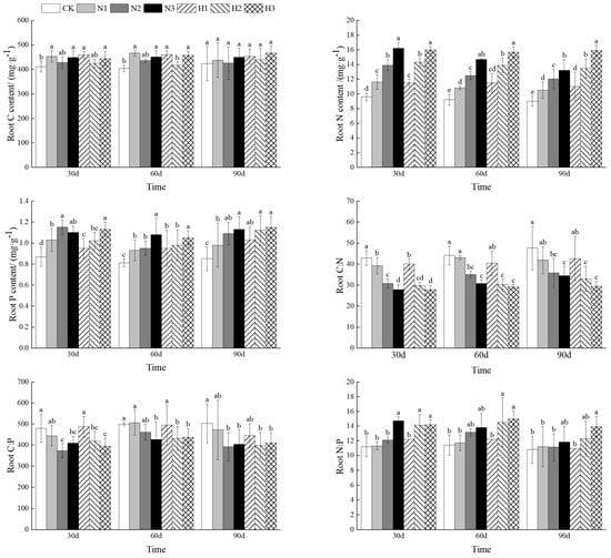
3.4. Effect of Different N Addition Treatments on the C, N, and P Content and Their Stoichiometric Ratios in O. lagopus Roots
3.5. Effect of Different N Addition Treatments on the Soil N, P, and K Content and Their Stoichiometric Ratios
3.6. Phenotypic Plasticity Analysis of O. lagopus Growth and the Content of Nutrients in Various Organs and Soil Under Different N Addition Treatments
3.7. Correlation Analysis and PCA of the Content of Nutrients in Various Organs of O. lagopus and Soil Under Different N Addition Treatments
3.8. Allometric Growth Relationships of the C, N, and P Content in Various Organs of O. lagopus Under Different N Addition Treatments
4. Discussion
4.1. Effects of Different N Addition Treatments on the Growth of O. lagopus Plantations
4.2. Effects of Different N Addition Treatments on the Content of Nutrients in Various Organs of O. lagopus and the Soil
4.3. Allometric Growth Relationship of the C, N, and P Content in Various Organs of O. lagopus Under Different N Addition Treatments
5. Conclusions
Author Contributions
Funding
Data Availability Statement
Conflicts of Interest
References
- Niu, J.; Lu, T.P.; Lin, Y.J.; Zhang, W.X. Effects of Nitrogen Addition on the Characteristics of Foliar and Soil Ecological Stoichiometry in Xishuangbanna Tropical Rainforest, Southwest China. J. Trop. For. Sci. 2020, 32, 1–7. [Google Scholar] [CrossRef]
- Yu, F.; Li, Y.; Li, F.; Zhou, Z.; Chen, C.; Liang, X.; Li, C.; Liu, K. Nitrogen fertilizers promote plant growth and assist in manganese (Mn) accumulation by Polygonum pubescens Blume cultured in Mn tailings soil. Int. J. Phytoremediation 2019, 21, 1225–1233. [Google Scholar] [CrossRef] [PubMed]
- Devi, B.N.; Yadava, P. Seasonal dynamics in soil microbial biomass C, N and P in a mixed-oak forest ecosystem of Manipur, North-east India. Appl. Soil Ecol. 2005, 31, 220–227. [Google Scholar] [CrossRef]
- Sutton, M.A.; Oenema, O.; Erisman, J.W.; Leip, A.; Grinsven, H.V.; Winiwarter, W. Too much of a good thing. Nature 2011, 472, 159–161. [Google Scholar] [CrossRef]
- Zhu, X.; Zhang, W.; Chen, H.; Mo, J. Impacts of nitrogen deposition on soil nitrogen cycle in forest ecosystems: A review. Acta Ecol. Sin. 2015, 35, 35–43. [Google Scholar] [CrossRef]
- Van Drecht, G.; Bouwman, A.F.; Knoop, J.M.; Beusen, A.H.W.; Meinardi, C.R. Global modeling of the fate of nitrogen from point and nonpoint sources in soils, groundwater, and surface water. Glob. Biogeochem. Cycles 2003, 17, 26-1–26-20. [Google Scholar] [CrossRef]
- Nicolas, G.; Galloway, J.N. An Earth-system perspective of the global nitrogen cycle. Nature 2008, 451, 293–296. [Google Scholar]
- Wang, D.; Guo, L.; Zheng, L.; Zhang, Y.; Yang, R.; Li, M.; Ma, F.; Zhang, X.; Li, Y. Effects of nitrogen fertilizer and water management practices on nitrogen leaching from a typical open field used for vegetable planting in northern China. Agric. Water Manag. 2019, 213, 913–921. [Google Scholar] [CrossRef]
- Chen, G.; Zhao, Z.; Li, Z.; Duan, G.; Wen, C.; Du, G.; Wu, J. Response of Non-Structural Carbohydrates and Carbon Nitrogen and Phosphorus Stoichiometric Characteristics of Ochroma lagopus Leaves to Nitrogen Addition. Forests 2025, 16, 117. [Google Scholar] [CrossRef]
- Shen, Y.; Wang, H.; Liu, Z.; Li, W.; Liu, Y.; Li, J.; Wei, H.; Han, H. Fabrication of a water-retaining, slow-release fertilizer based on nanocomposite double-network hydrogels via ion-crosslinking and free radical polymerization. J. Ind. Eng. Chem. 2020, 93, 375–382. [Google Scholar] [CrossRef]
- Zhao, B.; Dong, S.; Zhang, J.; Liu, P. Effects of controlled-release fertiliser on nitrogen use efficiency in summer maize. PLoS ONE 2013, 8, e70569. [Google Scholar] [CrossRef]
- Gao, X.; Li, C.; Zhang, M.; Wang, R.; Chen, B. Controlled release urea improved the nitrogen use efficiency, yield and quality of potato (Solanum tuberosum L.) on silt loamy soil. Field Crop. Res. 2015, 181, 60–68. [Google Scholar] [CrossRef]
- Zhang, J.H.; He, N.P.; Liu, C.C.; Xu, L.; Yu, Q.; Yu, G. Allocation strategies for nitrogen and phosphorus in forest plants. Oikos 2018, 127, 1506–1514. [Google Scholar] [CrossRef]
- Meng, W.; Dai, Q.; Ren, Q.; Tu, N.; Leng, T. Ecological stoichiometric characteristics of soil-moss C, N, and P in restoration stages of karst rocky desertification. PLoS ONE 2021, 16, e0252838. [Google Scholar] [CrossRef]
- Moe, J.; Stelzer, R.; Forman, M.R.; Harpole, W.S.; Daufresne, T.; Yoshida, T. Recent Advances in Ecological Stoichiometry: Insights for Population and Community Ecology. Oikos 2005, 109, 29–39. [Google Scholar] [CrossRef]
- Lie, X.; Liu, G.B.; Li, P.; Xue, S. Nitrogen addition has a stronger effect on stoichiometries of non-structural carbohydrates, nitrogen and phosphorus in Bothriochloa ischaemum than elevated CO2. Plant Growth Regul. 2017, 83, 325–334. [Google Scholar]
- Jagadamma, S.; Lal, R.; Hoeft, R.G.; Nafziger, E.D.; Adee, E.A. Nitrogen fertilization and cropping systems effects on soil organic carbon and total nitrogen pools under chisel-plow tillage in Illinois. Soil Tillage Res. 2007, 95, 348–356. [Google Scholar] [CrossRef]
- Rutkowski, K.; Łysiak, G.P. Effect of Nitrogen Fertilization on Tree Growth and Nutrient Content in Soil and Cherry Leaves (Prunus cerasus L.). Agriculture 2023, 13, 578. [Google Scholar] [CrossRef]
- Ao, G.; Feng, J.; Han, M.; Wang, X.; Tang, M.; Ma, S.; Zhu, B. Responses of root and soil phosphatase activity to nutrient addition differ between primary and secondary tropical montane forests. Rhizosphere 2022, 24, 100610. [Google Scholar] [CrossRef]
- Li, Y.Q.; Sun, J.W.; Li, J.F.; Wang, D.; Chen, S.; Xu, Y.L.; Cai, N.H. Biomass allocation and its allometric growth of Pinus yunnanensis seedlings of different families. J. Beijing For. Univ. 2021, 43, 18–28. [Google Scholar]
- Niklas, K.J. Plant allometry, leaf nitrogen and phosphorus stoichiometry, and interspecific trends in annual growth rates. Ann. Bot. 2006, 97, 155–163. [Google Scholar] [CrossRef] [PubMed]
- Yao, J.; Li, Y.; Wei, L.P.; Jiang, S.S.; Yang, S.; Hou, J.H. Changes of allometric relationships among leaf traits in different ontogenetic stages of Acer mono from different types of forests in Donglingshan of Beijing. Acta Ecol. Sin. 2013, 33, 3907–3915. [Google Scholar]
- Niklas, K.J.; Owens, T.; Reich, P.B.; Cobb, E.D. Nitrogen/phosphorus leaf stoichiometry and the scaling of plant growth. Ecol. Lett. 2005, 8, 636–642. [Google Scholar] [CrossRef]
- Zou, S.Q.; Hua, S.; Duan, Z.B.; Xiong, Z.Q. Practical techniques of Ochroma lagopus cultivation at low altitude in Xishuangbanna. For. Surv. Plan. 2019, 44, 112–116. [Google Scholar]
- Cheng, T.; Bai, X.; Qian, R.; Duan, Z.B.; Xi, H.P.; Tang, M.Y. Exploration of Germination Conditions, Low Temperature Tolerance, and Optimal pH Conditions of Ochroma lagopus. Sichuan For. Sci. Technol. 2023, 44, 88–96. [Google Scholar]
- Li, C.X.; He, D.; Meng, D.Z. Research on tissue culture of Ochroma lagopus plants. J. Hubei Univ. Natl. (Nat. Sci. Ed.) 2020, 38, 253–256. [Google Scholar]
- Li, J.L.; Chen, S.; Li, H.C.; Zhang, X.; Xu, D.X.; Shi, M.H.; Xu, F. Study on the relationship between cell wall ultrastructure and mechanical properties of Ochroma lagopus. J. Beijing For. Univ. 2022, 44, 115–122. [Google Scholar]
- Liu, Y.; Huang, Y.H.; Liu, X.M. Research progress of aerogel-type Ochroma lagopus-based composites. Mater. Guide 2022, 36, 203–211. [Google Scholar]
- Vahedi, N.; Tiago, C.; Vassilopoulos, A.P.; Correia, J.R.; Keller, T. Thermophysical properties of Ochroma lagopus used as core of sandwich composite bridge decks exposed to external fire. Constr. Build. Mater. 2022, 329, 127–164. [Google Scholar] [CrossRef]
- Li, R.D.; Zhang, K.; Su, D.; Lu, F.; Wan, W.X.; Wang, X.K.; Zheng, H. Effects of nitrogen application on soil greenhouse gas fluxes in Eucalyptus plantation during growing season. Acta Ecol. Sin. 2015, 35, 5931–5939. [Google Scholar]
- Bao, S.D. Soil Agrochemical Analysis, 3rd ed.; China Agricultural Publishing House: Beijing, China, 2000. [Google Scholar]
- Han, W.X.; Fang, J.Y. Review on the mechanism models of allometric scaling laws:3/4vs.2/3 power. Chin. J. Plant Ecol. 2008, 32, 951–960. [Google Scholar]
- Shi, Y.C.; Zhao, C.Z.; Song, Q.H.; Du, J.; Wang, J.-W. Allometric relationship between height and crown width or diameter of Platycladus orientalis on different slope aspects of Lanzhou northern mountains. Chin. J. Ecol. 2015, 34, 1879–1885. [Google Scholar]
- Hu, M.J.; Wan, S.Q. Effects of fire and nitrogen addition on photosynthesis and growth of three dominant understory plant species in a temperate forest. J. Plant Ecol. 2019, 12, 759–768. [Google Scholar] [CrossRef]
- Maka, T.Y.; Yeh, D.M. Nitrogen nutrition of Spathiphyllum ‘Sensation’ grown in sphagnum peat-and coir-based media with two irrigation methods. HortScience 2001, 36, 645–649. [Google Scholar] [CrossRef]
- Yan, G.Y.; Xing, Y.J.; Han, S.J.; Wang, Q.G.; Mu, C.C. Long-time precipitation reduction and nitrogen deposition increase alter soil nitrogen dynamic by influencing soil bacterial communities and functional groups. Pedosphere 2020, 30, 363–377. [Google Scholar] [CrossRef]
- Lin, J.X.; Wang, Y.N.; Sun, S.N.; Mu, C.S.; Yan, X.F. Effects of arbuscular mycorrhizal fungi on the growth, photosynthesis and photosynthetic pigments of Leymus chinensis seedlings under salt-alkali stress and nitrogen deposition. Sci. Total Environ. 2017, 576, 234–241. [Google Scholar] [CrossRef]
- Güsewell, S.; Koerselman, W. Variation in nitrogen and phosphorus concentrations of wetland plants. Perspect. Plant Ecol. Evol. Syst. 2002, 5, 37–61. [Google Scholar] [CrossRef]
- Fanin, N.; Fromin, N.; Buatois, B.; Hättenschwiler, S. An experimental test of the hypothesis of non-homeostatic consumer stoichiometry in a plant litter–microbe system. Ecol. Lett. 2013, 16, 764–772. [Google Scholar] [CrossRef]
- Du, Y.H.; Guo, P.; Liu, J.Q.; Wang, C.Y.; Yang, N.; Jiao, Z.X. Different types of nitrogen deposition show variable effects on the soil carbon cycle process of temperate forests. Glob. Chang. Biol. 2014, 20, 3222–3228. [Google Scholar] [CrossRef]
- Fan, H.B.; Wu, J.P.; Liu, W.F. Linkages of plant and soil C: N: P stoichiometry and their relationships to forest growth in subtropical plantations. Plant Soil 2015, 392, 127–138. [Google Scholar] [CrossRef]
- Xie, T.; Shan, L.; Zhang, W. N addition alters growth, non-structural carbohydrates, and C:N:P stoichiometry of Reaumuriasoongorica seedlings in Northwest China. Sci. Rep. 2020, 12, 15390. [Google Scholar]
- Abdul Khalid, N.N.; Ashaari, Z.; Hanif, A.H.M.; Mohamed, A.; Lee, S.H. Nitrogen deposition and release pattern of slow release fertiliser made from urea-impregnated oil palm frond and rubberwood chips. J. For. Res. 2019, 30, 2087–2094. [Google Scholar] [CrossRef]
- Domingues, T.F.; Meir, P.; Feldpausch, T.R.; Saiz, G.; Veenendaal, E.M.; Schrodt, F.; Bird, M.; Djagbletey, G.; Hien, F.; Compaore, H.; et al. Co-limitation of photosynthetic capacity by nitrogen and phosphorus in West Africa woodlands. Plant Cell Environ. 2010, 33, 959–980. [Google Scholar] [CrossRef]
- Koerselman, W.; Meuleman, A. The Vegetation N:P Ratio: A New Tool to Detect the Nature of Nutrient Limitation. J. Appl. Ecol. 1996, 33, 1441–1450. [Google Scholar] [CrossRef]
- Tan, G.M.; Yin, G.T.; Yang, J.C.; Li, R.S.; Zou, W.T.; Xiao, Y.H. Seasonal Dynamics of Leaf C, N and P Stoichiometric Rations of Mytilaria laosensis and Allometric Relationship. Mol. Plant Breed. 2020, 18, 594–601. [Google Scholar]
- Liu, F.D.; Liu, Y.H.; Wang, G.M.; Song, Y.; Liu, Q.; Li, D.S.; Mao, P.L.; Zhang, H. Seasonal Variations of C: N: P Stoichiometry and Their Trade-Offs in Different Organs of Suaeda salsa in Coastal Wetland of Yellow River Delta, China. PLoS ONE 2015, 10, e0138169. [Google Scholar] [CrossRef]
- Zhang, S.; Shen, T.; Yang, Y.; Li, Y.C.; Wan, Y.; Zhang, M.; Tang, Y.; Allen, S.C. Controlled-release urea reduced nitrogen leaching and improved nitrogen use efficiency and yield of direct seeded rice. J. Environ. Manag. 2018, 220, 191–197. [Google Scholar] [CrossRef]
- Chen, C.; Wang, G.J.; Zhao, Y.; Zhou, G.X.; Li, L.; Gao, J.Q. Seasonal dynamics and allometric growth relationships of C, N, and P stoichiometry in the organs of Cunninghamia lanceolata from Huitong. Acta Ecol. Sin. 2016, 36, 7614–7623. [Google Scholar]
- Wang, K.; Zhang, D.P.; Song, L.N.; Lü, L.Y.; Liu, J.H. Effects of Increasing Nitrogen Deposition and Precipitation on Carbon, Nitrogen, and Phosphorus Allocation in Different Organs of Ulmus pumila Seedlings. Sci. Silvae Sin. 2020, 56, 172–183. [Google Scholar]










| Shading Treatment | Principal Component Y1 Score | Principal Component Y2 Score | Comprehensive Score (Y) | Comprehensive Score Ranking |
|---|---|---|---|---|
| CK | −6.59 | 2.73 | −4.14 | 7 |
| N1 | −3.71 | −0.73 | −2.73 | 6 |
| N2 | 0.65 | −2.1 | 0.08 | 4 |
| N3 | 2.76 | 1.04 | 2.12 | 2 |
| H1 | −1.83 | −1.83 | −1.61 | 5 |
| H2 | 2.94 | −1.86 | 1.73 | 3 |
| H3 | 5.78 | 2.76 | 4.55 | 1 |
| Log Y vs. Log X | Organ | Slope | 95%CI | n | Interc | R2 | F | P | P-1.0 | Type |
|---|---|---|---|---|---|---|---|---|---|---|
| log N vs. log C | Leaf | −4.27 | [−4.92, −3.71] | 189 | 12.76 | 0.04 | 789.33 | 0.01 | 0.00 | A |
| Branch | 3.84 | [3.26, 4.52] | 147 | −9.28 | 0.00 | 464.96 | 0.72 | 0.00 | A | |
| Root | 2.15 | [1.82, 2.52] | 147 | −4.57 | 0.01 | 103.60 | 0.16 | 0.00 | A | |
| log P vs. log C | Leaf | 1.66 | [1.44, 1.91] | 189 | −4.38 | 0.01 | 52.18 | 0.29 | 0.00 | A |
| Branch | −2.78 | [−3.27, −2.36] | 147 | 7.29 | 0.00 | 211.88 | 0.74 | 0.00 | A | |
| Root | 1.58 | [1.34, 1.85] | 147 | −4.15 | 0.00 | 32.08 | 0.54 | 0.00 | A | |
| log P vs. log N | Leaf | −0.39 | [−0.44, −0.35] | 189 | 0.57 | 0.37 | 355.07 | 0.00 | 0.00 | A |
| Branch | −0.72 | [−0.85, −0.62] | 147 | 0.58 | 0.08 | 17.14 | 0.00 | 0.00 | A | |
| Root | 0.73 | [0.64, 0.85] | 147 | −0.80 | 0.25 | 19.10 | 0.00 | 0.00 | A |
Disclaimer/Publisher’s Note: The statements, opinions and data contained in all publications are solely those of the individual author(s) and contributor(s) and not of MDPI and/or the editor(s). MDPI and/or the editor(s) disclaim responsibility for any injury to people or property resulting from any ideas, methods, instructions or products referred to in the content. |
© 2025 by the authors. Licensee MDPI, Basel, Switzerland. This article is an open access article distributed under the terms and conditions of the Creative Commons Attribution (CC BY) license (https://creativecommons.org/licenses/by/4.0/).
Share and Cite
Wen, C.; Duan, H.; Wu, J.; Zhao, Z.; Liu, Y.; Chen, G.; Duan, G.; Li, Z.; Du, G. Response of Ochroma lagopus Swartz Growth and Nutrient Uptake to Urea and Slow-Release Fertilizer Addition. Forests 2025, 16, 278. https://doi.org/10.3390/f16020278
Wen C, Duan H, Wu J, Zhao Z, Liu Y, Chen G, Duan G, Li Z, Du G. Response of Ochroma lagopus Swartz Growth and Nutrient Uptake to Urea and Slow-Release Fertilizer Addition. Forests. 2025; 16(2):278. https://doi.org/10.3390/f16020278
Chicago/Turabian StyleWen, Chengjing, Huaijiao Duan, Junwen Wu, Zhijuan Zhao, Yuanxi Liu, Gang Chen, Guihe Duan, Zhiqi Li, and Guanben Du. 2025. "Response of Ochroma lagopus Swartz Growth and Nutrient Uptake to Urea and Slow-Release Fertilizer Addition" Forests 16, no. 2: 278. https://doi.org/10.3390/f16020278
APA StyleWen, C., Duan, H., Wu, J., Zhao, Z., Liu, Y., Chen, G., Duan, G., Li, Z., & Du, G. (2025). Response of Ochroma lagopus Swartz Growth and Nutrient Uptake to Urea and Slow-Release Fertilizer Addition. Forests, 16(2), 278. https://doi.org/10.3390/f16020278

