The Impact of the Yeoh Model’s Variability in Contact on Knee Joint Mechanics
Highlights
- Knee contact material variability was analyzed for healthy and osteoarthritic tissue.
- Simulations featured 128 runs of a hybrid knee model with Finite Element contact.
- Results showed that contact material considerably affected compression in the knee.
- The flexion-extension motion was not highly affected by the variability.
- Osteoarthritis-affected tissue was consistently more affected by the variability.
Abstract
1. Introduction
2. Materials and Methods
2.1. Developing the Contact Model
2.2. Designing the Sample Sequence
2.3. Hybridizing the Knee Model
2.4. Generalizing the Results from the Hybrid Model with the Second Stage of Sampling
2.5. Assessing the Results
3. Results
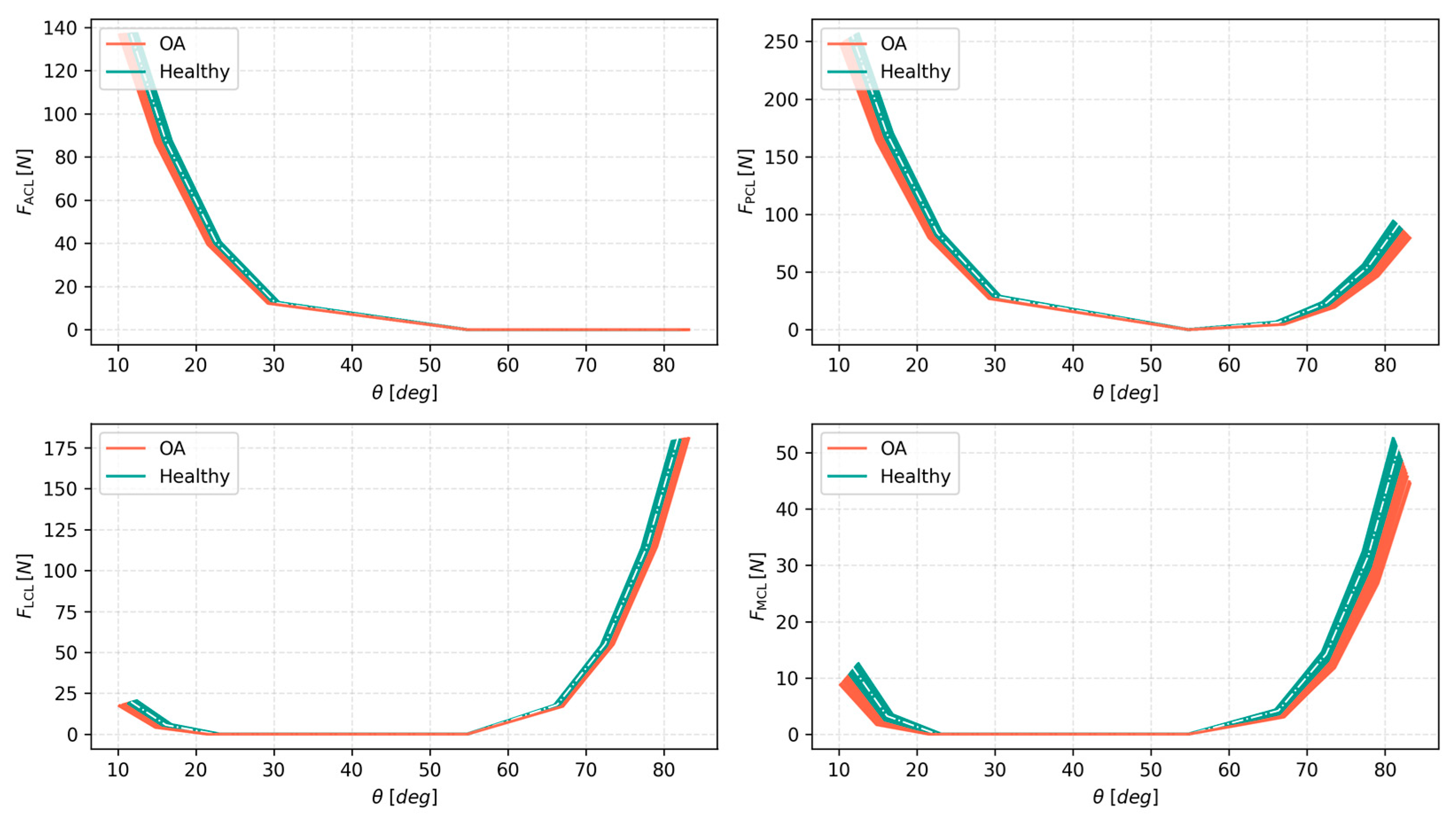
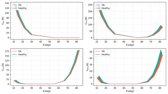
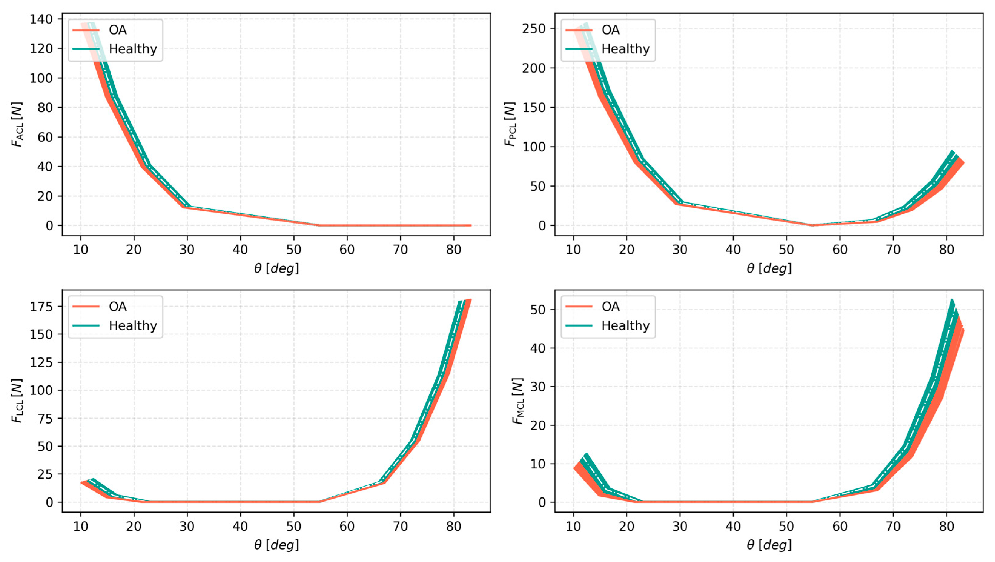
3.1. Compressive Loads in the Contact Pair
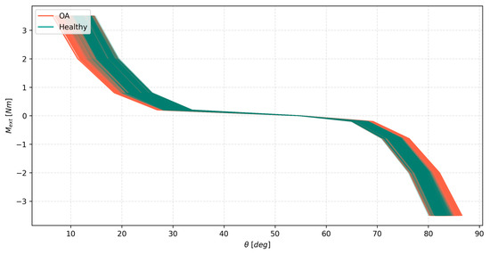
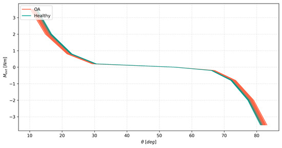
3.2. External Moment Causing Flexion–Extension in the Hybrid Knee Models
4. Discussion
4.1. Compressive Loads
4.2. Flexion–Extension of the Knee
4.3. Model Sampling to Generalize Results
4.4. Limitations
5. Conclusions
Author Contributions
Funding
Institutional Review Board Statement
Informed Consent Statement
Data Availability Statement
Conflicts of Interest
References
- Schraeder, T.L.; Terek, R.M.; Smith, C.C. Clinical Evaluation of the Knee. N. Engl. J. Med. 2024, 363, e5. [Google Scholar] [CrossRef]
- Strudwick, K.; McPhee, M.; Bell, A.; Martin-Khan, M.; Russell, T. Review article: Best practice management of common knee injuries in the emergency department (part 3 of the musculoskeletal injuries rapid review series). Emerg. Med. Australas. 2018, 30, 327–352. [Google Scholar] [CrossRef] [PubMed]
- Peña, E.; Calvo, B.; Martínez, M.A.; Doblaré, M. A three-dimensional finite element analysis of the combined behavior of ligaments and menisci in the healthy human knee joint. J. Biomech. 2006, 39, 1686–1701. [Google Scholar] [CrossRef]
- Rooks, N.B.; Besier, T.F.; Schneider, M.T.Y. A Parameter Sensitivity Analysis on Multiple Finite Element Knee Joint Models. Front. Bioeng. Biotechnol. 2022, 10. [Google Scholar] [CrossRef]
- Loi, I.; Stanev, D.; Moustakas, K. Total Knee Replacement: Subject-Specific Modeling, Finite Element Analysis, and Evaluation of Dynamic Activities. Front. Bioeng. Biotechnol. 2021, 9, 648356. [Google Scholar] [CrossRef] [PubMed]
- Wang, Y.; Fan, Y.; Zhang, M. Comparison of stress on knee cartilage during kneeling and standing using finite element models. Med. Eng. Phys. 2014, 36, 439–447. [Google Scholar] [CrossRef]
- Benos, L.; Stanev, D.; Spyrou, L.; Moustakas, K.; Tsaopoulos, D.E. A Review on Finite Element Modeling and Simulation of the Anterior Cruciate Ligament Reconstruction. Front. Bioeng. Biotechnol. 2020, 8, 967. [Google Scholar] [CrossRef] [PubMed]
- Fox, S.A.J.; Bedi, A.; Rodeo, S.A. The Basic Science of Articular Cartilage: Structure, Composition, and Function. Sports Health 2009, 1, 461–468. [Google Scholar]
- Robinson, D.L.; Kersh, M.E.; Walsh, N.C.; Ackland, D.C.; de Steiger, R.N.; Pandy, M.G. Mechanical properties of normal and osteoarthritic human articular cartilage. J. Mech. Behav. Biomed. Mater. 2016, 61, 96–109. [Google Scholar] [CrossRef]
- Deneweth, J.M.; McLean, S.G.; Arruda, E.M. Evaluation of hyperelastic models for the non-linear and non-uniform high strain-rate mechanics of tibial cartilage. J. Biomech. 2013, 46, 1604–1610. [Google Scholar] [CrossRef] [PubMed]
- Fox, A.J.S.; Wanivenhaus, F.; Burge, A.J.; Warren, R.F.; Rodeo, S.A. The human meniscus: A review of anatomy, function, injury, and advances in treatment. Clin. Anat. 2015, 28, 269–287. [Google Scholar] [CrossRef] [PubMed]
- Machado, M.; Flores, P.; Ambrosio, J.; Completo, A. Influence of the contact model on the dynamic response of the human knee joint. Proc. Inst. Mech. Eng. Part K J. Multi-Body Dyn. 2011, 225, 344–358. [Google Scholar] [CrossRef]
- Machado, M.; Flores, P.; Claro, J.C.P.; Ambrósio, J.; Silva, M.; Completo, A.; Lankarani, H.M. Development of a planar multibody model of the human knee joint. Nonlinear Dyn. 2010, 60, 459–478. [Google Scholar] [CrossRef]
- Sybilski, K.; Mazurkiewicz, Ł.; Jurkojć, J.; Michnik, R.; Małachowski, J. Evaluation of the effect of muscle forces implementation on the behavior of a dummy during a head-on collision. Acta Bioeng. Biomech. 2021, 23, 137–147. [Google Scholar] [CrossRef] [PubMed]
- Jamwal, P.K.; Hussain, S.; Tsoi, Y.H.; Ghayesh, M.H.; Xie, S.Q. Musculoskeletal modelling of human ankle complex: Estimation of ankle joint moments. Clin. Biomech. 2017, 44, 75–82. [Google Scholar] [CrossRef]
- Sancisi, N.; Parenti-Castelli, V. A 1-Dof parallel spherical wrist for the modelling of the knee passive motion. Mech. Mach. Theory 2010, 45, 658–665. [Google Scholar] [CrossRef]
- Rodrigues da Silva, M.; Marques, F.; Tavares da Silva, M.; Flores, P. A new skeletal model for the ankle joint complex. Multibody Syst. Dyn. 2024, 60, 27–63. [Google Scholar] [CrossRef]
- Jacquelin, E.; Brizard, D.; Dumas, R. A screening method to analyse the sensitivity of a lower limb multibody kinematic model. Comput. Methods Biomech. Biomed. Engin. 2019, 22, 925–935. [Google Scholar] [CrossRef]
- Ciszkiewicz, A.; Knapczyk, J. Load analysis of a patellofemoral joint by a quadriceps muscle. Acta Bioeng. Biomech. 2016, 18, 111–119. [Google Scholar]
- Ottoboni, A.; Parenti-Castelli, V.; Sancisi, N.; Belvedere, C.; Leardini, A. Articular surface approximation in equivalent spatial parallel mechanism models of the human knee joint: An experiment-based assessment. Proc. Inst. Mech. Eng. H 2010, 224, 1121–1132. [Google Scholar] [CrossRef]
- Sancisi, N.; Parenti-Castelli, V. A novel 3D parallel mechanism for the passive motion simulation of the patella-femur-tibia complex. Meccanica 2011, 46, 207–220. [Google Scholar] [CrossRef]
- Gasparutto, X.; Sancisi, N.; Jacquelin, E.; Parenti-Castelli, V.; Dumas, R. Validation of a multi-body optimization with knee kinematic models including ligament constraints. J. Biomech. 2015, 48, 1141–1146. [Google Scholar] [CrossRef]
- Vořechovský, M.; Ciszkiewicz, A. Advanced sampling discovers apparently similar ankle models with distinct internal load states under minimal parameter modification. J. Comput. Sci. 2024, 82, 102425. [Google Scholar] [CrossRef]
- Ciszkiewicz, A.; Mazurkiewicz, Ł.; Małachowski, J. Assessing the behavior of a hybrid model of the knee with contact surrogate under parameter uncertainties. Comput. Methods Biomech. Biomed. Engin. 2024, 1–10. [Google Scholar] [CrossRef] [PubMed]
- Lin, Y.-C.; Haftka, R.T.; Queipo, N.V.; Fregly, B.J. Surrogate articular contact models for computationally efficient multibody dynamic simulations. Med. Eng. Phys. 2010, 32, 584–594. [Google Scholar] [CrossRef]
- Ardestani, M.M.; Moazen, M.; Chen, Z.; Zhang, J.; Jin, Z. A real-time topography of maximum contact pressure distribution at medial tibiofemoral knee implant during gait: Application to knee rehabilitation. Neurocomputing 2015, 154, 174–188. [Google Scholar] [CrossRef]
- Mazurkiewicz, Ł.A.; Bukała, J.; Małachowski, J.; Tomaszewski, M.; Buszman, P.P. BVS stent optimisation based on a parametric model with a multistage validation process. Mater. Des. 2021, 198, 109363. [Google Scholar] [CrossRef]
- Sellers, W.I.; Crompton, R.H. Using sensitivity analysis to validate the predictions of a biomechanical model of bite forces. Ann. Anat. 2004, 186, 89–95. [Google Scholar] [CrossRef]
- Cook, D.; Julias, M.; Nauman, E. Biological variability in biomechanical engineering research: Significance and meta-analysis of current modeling practices. J. Biomech. 2014, 47, 1241–1250. [Google Scholar] [CrossRef] [PubMed]
- Szepietowska, K.; Magnain, B.; Lubowiecka, I.; Florentin, E. Sensitivity analysis based on non-intrusive regression-based polynomial chaos expansion for surgical mesh modelling. Struct. Multidiscip. Optim. 2018, 57, 1391–1409. [Google Scholar] [CrossRef]
- Santos, P.O.; Carmo, G.P.; de Sousa, R.J.A.; Fernandes, F.A.O.; Ptak, M. Mechanical Strength Study of a Cranial Implant Using Computational Tools. Appl. Sci. 2022, 12, 878. [Google Scholar] [CrossRef]
- El Habachi, A.; Moissenet, F.; Duprey, S.; Cheze, L.; Dumas, R. Global sensitivity analysis of the joint kinematics during gait to the parameters of a lower limb multi-body model. Med. Biol. Eng. Comput. 2015, 53, 655–667. [Google Scholar] [CrossRef]
- Sobol, I.M. Distribution of points in a cube and approximate evaluation of integrals. USSR Comput. Maths. Math. Phys. 1967, 7, 86–112. [Google Scholar] [CrossRef]
- Mckay, M.D.; Beckman, R.J.; Conover, W.J. Methods Comparison of Three Variables in the of Values Input a From Computer Code Output Selecting of Analysis for. Technometrics 1979, 21, 239–245. [Google Scholar]
- Valente, G.; Pitto, L.; Testi, D.; Seth, A.; Delp, S.L.; Stagni, R.; Viceconti, M.; Taddei, F. Are Subject-Specific Musculoskeletal Models Robust to the Uncertainties in Parameter Identification? PLoS ONE 2014, 9, e112625. [Google Scholar] [CrossRef]
- Valente, G.; Pitto, L.; Stagni, R.; Taddei, F. Effect of lower-limb joint models on subject-specific musculoskeletal models and simulations of daily motor activities. J. Biomech. 2015, 48, 4198–4205. [Google Scholar] [CrossRef]
- Bosmans, L.; Valente, G.; Wesseling, M.; Van Campen, A.; De Groote, F.; De Schutter, J.; Jonkers, I. Sensitivity of predicted muscle forces during gait to anatomical variability in musculotendon geometry. J. Biomech. 2015, 48, 2116–2123. [Google Scholar] [CrossRef]
- Ackland, D.C.; Lin, Y.-C.; Pandy, M.G. Sensitivity of model predictions of muscle function to changes in moment arms and muscle–tendon properties: A Monte-Carlo analysis. J. Biomech. 2012, 45, 1463–1471. [Google Scholar] [CrossRef]
- Gaffney, B.M.M.; Christiansen, C.L.; Murray, A.M.; Myers, C.A.; Laz, P.J.; Davidson, B.S. The Effects of Prosthesis Inertial Parameters on Inverse Dynamics: A Probabilistic Analysis. J. Verif. Valid. Uncertain. Quantif. 2017, 2, 031003. [Google Scholar] [CrossRef]
- Valente, G.; Grenno, G.; Dal Fabbro, G.; Zaffagnini, S.; Taddei, F. Medial and lateral knee contact forces during walking, stair ascent and stair descent are more affected by contact locations than tibiofemoral alignment in knee osteoarthritis patients with varus malalignment. Front. Bioeng. Biotechnol. 2023, 11, 1254661. [Google Scholar] [CrossRef]
- Ciszkiewicz, A.; Dumas, R. Surrogate-based worst-case analysis of a knee joint model using Genetic Algorithm. Front. Mech. Eng. 2024, 10, 1392616. [Google Scholar] [CrossRef]
- Dastgerdi, A.K.; Esrafilian, A.; Carty, C.; Nasseri, A.; Barzan, M.; Korhonen, R.; Astori, I.; Hall, W.; Saxby, D. Surgical parameters influence paediatric knee kinematics and cartilage stresses in anterior cruciate ligament reconstruction: Navigating subject-specific variability using neuromusculoskeletal-finite element modelling analysis. Knee Surg. Sports Traumatol. Arthrosc. 2024. [Google Scholar] [CrossRef] [PubMed]
- Rao, C.; Fitzpatrick, C.K.; Rullkoetter, P.J.; Maletsky, L.P.; Kim, R.H.; Laz, P.J. A statistical finite element model of the knee accounting for shape and alignment variability. Med. Eng. Phys. 2013, 35, 1450–1456. [Google Scholar] [CrossRef] [PubMed]
- Laz, P.J.; Pal, S.; Halloran, J.P.; Petrella, A.J.; Rullkoetter, P.J. Probabilistic finite element prediction of knee wear simulator mechanics. J. Biomech. 2006, 39, 2303–2310. [Google Scholar] [CrossRef]
- Armstrong, S.; Read, R.; Price, R. Topographical variation within the articular cartilage and subchondral bone of the normal ovine knee joint: A histological approach. Osteoarthr. Cartil. 1995, 3, 25–33. [Google Scholar] [CrossRef]
- Froimson, M.; Ratcliffe, A.; Gardner, T.; Mow, V. Differences in patellofemoral joint cartilage material properties and their significance to the etiology of cartilage surface fibrillation. Osteoarthr. Cartil. 1997, 5, 377–386. [Google Scholar] [CrossRef]
- Poole, A.R.; Kobayashi, M.; Yasuda, T.; Laverty, S.; Mwale, F.; Kojima, T.; Sakai, T.; Wahl, C.; El-Maadawy, S.; Webb, G.; et al. Type II collagen degradation and its regulation in articular cartilage in osteoarthritis. Ann. Rheum. Dis. 2002, 61, ii78–ii81. [Google Scholar] [CrossRef]
- Weizel, A.; Distler, T.; Detsch, R.; Boccaccini, A.R.; Bräuer, L.; Paulsen, F.; Seitz, H.; Budday, S. Hyperelastic parameter identification of human articular cartilage and substitute materials. J. Mech. Behav. Biomed. Mater. 2022, 133, 105292. [Google Scholar] [CrossRef]
- Brown, C.P.; Nguyen, T.C.; Moody, H.R.; Crawford, R.W.; Oloyede, A. Assessment of common hyperelastic constitutive equations for describing normal and osteoarthritic articular cartilage. Proc. Inst. Mech. Eng. Part H J. Eng. Med. 2009, 223, 643–652. [Google Scholar] [CrossRef] [PubMed]
- Kakavand, R.; Rasoulian, A.; Otoo, B.S.; Herzog, W.; Komeili, A. A numerical model for fibril remodeling in articular cartilage. Knee 2023, 41, 83–96. [Google Scholar] [CrossRef]
- Wong, M.; Ponticiello, M.; Kovanen, V.; Jurvelin, J.S. Volumetric changes of articular cartilage during stress relaxation in unconfined compression. J. Biomech. 2000, 33, 1049–1054. [Google Scholar] [CrossRef] [PubMed]
- Li, J.; Xu, J.; Chen, Z.; Lu, Y.; Hua, X.; Jin, Z. Computational modelling of articular joints with biphasic cartilage: Recent advances, challenges and opportunities. Med. Eng. Phys. 2024, 126, 104130. [Google Scholar] [CrossRef]
- Deneweth, J.M.; Arruda, E.M.; McLean, S.G. Hyperelastic modeling of location-dependent human distal femoral cartilage mechanics. Int. J. Non-Linear Mech. 2015, 68, 146–156. [Google Scholar] [CrossRef]
- van der Walt, S.; Colbert, S.C.; Varoquaux, G. The NumPy Array: A Structure for Efficient Numerical Computation. Comput. Sci. Eng. 2011, 13, 22–30. [Google Scholar] [CrossRef]
- Gomes, G.T.; Van Cauter, S.; De Beule, M.; Vigneron, L.; Pattyn, C.; Audenaert, E.A. Patient-Specific Modelling in Orthopedics: From Image to Surgery. In Biomedical Imaging and Computational Modeling in Biomechanics; Andreaus, U., Iacoviello, D., Eds.; Springer: Dordrecht, The Netherlands, 2013; pp. 109–129. ISBN 978-94-007-4270-3. [Google Scholar]
- Nardini, F.; Belvedere, C.; Sancisi, N.; Conconi, M.; Leardini, A.; Durante, S.; Parenti-Castelli, V. An Anatomical-Based Subject-Specific Model of In-Vivo Knee Joint 3D Kinematics From Medical Imaging. Appl. Sci. 2020, 10, 2100. [Google Scholar] [CrossRef]








| Material Constant | Healthy Tissue | OA Tissue | ||
|---|---|---|---|---|
| Min [MPa] | Max [MPa] | Min [MPa] | Max [MPa] | |
| Femoral C10 | 0.6 | 2.2 | 0.4 | 2.0 |
| Femoral C20 | 0.0 | 7.3 | 0.3 | 4.1 |
| Tibial C10 | 1.2 | 2.8 | 0.3 | 1.9 |
| Tibial C20 | 1.8 | 7.2 | 1.8 | 3.6 |
| ID | RDiffH [%] | CVH [%] | RDiffOA [%] | CVOA [%] | RDiffC [%] | CVC [%] | RangeC [deg] |
|---|---|---|---|---|---|---|---|
| 1 | 3.16 | 0.81 | 5.54 | 1.35 | 6.42 | 1.40 | 73.02 |
| 2 | 3.32 | 0.85 | 5.84 | 1.42 | 6.76 | 1.47 | 74.59 |
| 3 | 3.29 | 0.84 | 5.79 | 1.41 | 6.7 | 1.46 | 75.09 |
| ⋮ | ⋮ | ⋮ | ⋮ | ⋮ | ⋮ | ⋮ | ⋮ |
| 30 | 3.26 | 0.84 | 5.74 | 1.40 | 6.63 | 1.45 | 74.4 |
| 31 | 3.32 | 0.85 | 5.83 | 1.42 | 6.75 | 1.47 | 72.10 |
| 32 | 3.36 | 0.86 | 5.91 | 1.44 | 6.85 | 1.49 | 74.57 |
| AVG | 3.31 | 0.85 | 5.82 | 1.42 | 6.73 | 1.47 | 74.40 |
| ID | CV ACL,H [%] | CV ACL,OA [%] | CV PCL,H [%] | CV PCL,OA [%] | CV LCL,H [%] | CV LCL,OA [%] | CV MCL,H [%] | CV MCL,OA [%] |
|---|---|---|---|---|---|---|---|---|
| 1 | 0.05 | 0.06 | 2.06 | 3.57 | 0.15 | 0.26 | 2.06 | 3.51 |
| 2 | 0.04 | 0.05 | 2.56 | 4.46 | 0.16 | 0.29 | 2.21 | 3.77 |
| 3 | 0.03 | 0.05 | 2.11 | 3.63 | 0.09 | 0.18 | 2.65 | 4.57 |
| ⋮ | ⋮ | ⋮ | ⋮ | ⋮ | ⋮ | ⋮ | ⋮ | ⋮ |
| 30 | 0.02 | 0.03 | 3.79 | 6.64 | 0.14 | 0.24 | 2.47 | 4.18 |
| 31 | 0.17 | 0.28 | 2.70 | 4.69 | 0.20 | 0.37 | 1.64 | 2.78 |
| 32 | 0.04 | 0.07 | 2.90 | 5.04 | 0.18 | 0.33 | 2.51 | 4.27 |
| AVG | 0.07 | 0.11 | 2.64 | 4.61 | 0.15 | 0.28 | 2.23 | 3.81 |
Disclaimer/Publisher’s Note: The statements, opinions and data contained in all publications are solely those of the individual author(s) and contributor(s) and not of MDPI and/or the editor(s). MDPI and/or the editor(s) disclaim responsibility for any injury to people or property resulting from any ideas, methods, instructions or products referred to in the content. |
© 2025 by the authors. Licensee MDPI, Basel, Switzerland. This article is an open access article distributed under the terms and conditions of the Creative Commons Attribution (CC BY) license (https://creativecommons.org/licenses/by/4.0/).
Share and Cite
Mazurkiewicz, Ł.A.; Ciszkiewicz, A.; Małachowski, J. The Impact of the Yeoh Model’s Variability in Contact on Knee Joint Mechanics. Materials 2025, 18, 576. https://doi.org/10.3390/ma18030576
Mazurkiewicz ŁA, Ciszkiewicz A, Małachowski J. The Impact of the Yeoh Model’s Variability in Contact on Knee Joint Mechanics. Materials. 2025; 18(3):576. https://doi.org/10.3390/ma18030576
Chicago/Turabian StyleMazurkiewicz, Łukasz Andrzej, Adam Ciszkiewicz, and Jerzy Małachowski. 2025. "The Impact of the Yeoh Model’s Variability in Contact on Knee Joint Mechanics" Materials 18, no. 3: 576. https://doi.org/10.3390/ma18030576
APA StyleMazurkiewicz, Ł. A., Ciszkiewicz, A., & Małachowski, J. (2025). The Impact of the Yeoh Model’s Variability in Contact on Knee Joint Mechanics. Materials, 18(3), 576. https://doi.org/10.3390/ma18030576
