Sign in to use this feature.

Years

Between: -

Subjects

remove_circle_outline
remove_circle_outline
remove_circle_outline
remove_circle_outline
remove_circle_outline
remove_circle_outline
remove_circle_outline
remove_circle_outline
remove_circle_outline

Journals

remove_circle_outline
remove_circle_outline
remove_circle_outline
remove_circle_outline
remove_circle_outline
remove_circle_outline
remove_circle_outline
remove_circle_outline
remove_circle_outline
remove_circle_outline
remove_circle_outline
remove_circle_outline
remove_circle_outline
remove_circle_outline
remove_circle_outline
remove_circle_outline
remove_circle_outline
remove_circle_outline
remove_circle_outline
remove_circle_outline
remove_circle_outline
remove_circle_outline
remove_circle_outline
remove_circle_outline
remove_circle_outline

Article Types

Countries / Regions

remove_circle_outline
remove_circle_outline
remove_circle_outline
remove_circle_outline
remove_circle_outline
remove_circle_outline
remove_circle_outline
remove_circle_outline

Search Results (2,603)

Search Parameters:
Keywords = ligament

Order results
Result details
Results per page
Select all
Export citation of selected articles as:
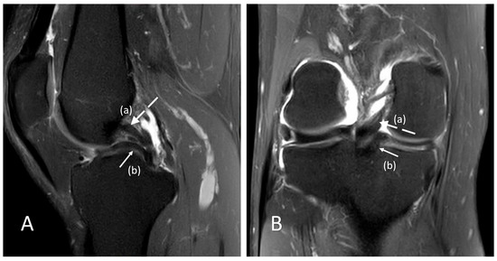
16 pages, 6778 KB  
Article
Regional Expression of Vimentin, S100, and Epithelial Membrane Antigen in the Human Medial Collateral Ligament: A Robust Two-Way Analysis of Variance
by Nikola Stamenov, Boycho Landzhov, Maria Piagkou, Ahmed Al-Sadek, Lyubomir Gaydarski, Kristina Petrova, Georgi Luchev, Julian Ananiev, Iva N. Dimitrova and Georgi P. Georgiev
J. Funct. Morphol. Kinesiol. 2026, 11(2), 173; https://doi.org/10.3390/jfmk11020173 (registering DOI) - 25 Apr 2026
Abstract
Background: The epiligament (EL) of the medial collateral ligament (MCL) has recently attracted increasing attention as a biologically active structure. Emerging evidence suggests that it may contribute to ligament healing by providing progenitor cells, vascular components, and signaling mediators. However, its cellular [...] Read more.
Background: The epiligament (EL) of the medial collateral ligament (MCL) has recently attracted increasing attention as a biologically active structure. Emerging evidence suggests that it may contribute to ligament healing by providing progenitor cells, vascular components, and signaling mediators. However, its cellular composition and possible regional variability remain insufficiently characterized. Aim: This study evaluated the expression of vimentin, S100 protein, and epithelial membrane antigen (EMA) to better characterize the EL compared with the ligament proper (LP). Methods: Twelve human MCLs obtained from twelve deceased donors were divided into proximal, middle, and distal segments. Thirty-six paraffin blocks were prepared, from which 180 sections were obtained and equally assigned for immunohistochemical staining of vimentin, S100 protein, and EMA (60 slides for each marker). Systematic quantification of seven to eight non-overlapping microscopic fields per slide generated 900 standardized observations for each investigated marker. This sampling strategy provided 150 measurements for each sub-region (EL and LP across the three anatomical segments). Immunoreactivity was quantified using ImageJ software. Statistical differences were analyzed using a robust two-way analysis of variance (ANOVA), while biological associations between markers were assessed using Spearman’s rank correlation analysis. Results: Vimentin and S100 expression were consistently higher in the EL than in the LP across all anatomical regions (p < 0.0001). The highest vimentin values were observed in the proximal region (median 17.34 vs. 10.14) and distal region (median 19.34 vs. 11.23), whereas S100 showed the greatest expression in the proximal (median 16.9 vs. 7.2) and distal regions (median 14.1 vs. 8.9). EMA expression was generally lower overall; however, it remained significantly higher in the EL than in the LP within the proximal (median 6.87 vs. 5.77) and middle regions (median 4.80 vs. 3.26). No significant difference was identified in the distal region. Spearman rank correlation analysis demonstrated significant positive associations among all investigated markers (p < 0.001), with the strongest relationship observed between vimentin and S100 protein (Spearman correlation coefficient = 0.430). Conclusions: The EL of the MCL is a structurally and biologically distinct component, characterized by significantly higher expressions of vimentin, S100, and EMA than the LP. The significant positive correlations observed among these markers support the concept that the EL functions as an integrated biological microenvironment with clear regional heterogeneity, particularly within the proximal and distal segments. Further studies are warranted to clarify the functional relevance of these findings and their potential implications for clinical management and ligament healing strategies. Full article
Show Figures

Figure 1

10 pages, 3116 KB  
Case Report
Functional Ureteral Obstruction Due to Retroperitoneal Tissue Interposition During Oblique Lumbar Interbody Fusion: A Report of Two Cases
by Jun-Seok Lee, Young-Hoon Kim, Sang-Il Kim, Kihyun Kwon, Sangjun Park, Joonghyun Ahn, Chungwon Bang and Hyung-Youl Park
J. Clin. Med. 2026, 15(9), 3235; https://doi.org/10.3390/jcm15093235 - 23 Apr 2026
Viewed by 173
Abstract
Background/Objectives: Ureteral complications following oblique lumbar interbody fusion (OLIF) are uncommon and are typically attributed to direct mechanical injury. Functional ureteral obstruction without overt ureteral damage remains poorly characterized. We report two cases that provide clinical and intraoperative evidence of a previously [...] Read more.
Background/Objectives: Ureteral complications following oblique lumbar interbody fusion (OLIF) are uncommon and are typically attributed to direct mechanical injury. Functional ureteral obstruction without overt ureteral damage remains poorly characterized. We report two cases that provide clinical and intraoperative evidence of a previously underrecognized mechanism of ureteral obstruction associated with anterior cage positioning during OLIF. Case Presentation: Among 180 OLIF procedures performed by a single surgeon, two cases (1.1%) of postoperative or intraoperative ureteral compromise without direct structural injury were identified. In the first case, postoperative imaging revealed hydronephrosis and focal angulation of the left proximal ureter at the level of the interbody cage, without contrast extravasation. The obstruction was managed with double-J ureteral stenting, and serial renal function monitoring confirmed preserved renal function throughout the clinical course. In the second case, retroperitoneal tissue including the ureter was directly observed intraoperatively to be interposed between the anterior longitudinal ligament and the interbody cage during anterior cage placement. Release of the interposed tissue resulted in immediate ureteral decompression without structural damage. Correlation of the postoperative findings in the first case with the intraoperative observations of the second case supports a unified mechanistic explanation: anterior cage advancement may draw retroperitoneal tissue into the cage–anterior longitudinal ligament interface, subjecting the ureter to focal compression or angulation. Conclusions: Functional ureteral obstruction during OLIF may occur secondary to retroperitoneal tissue interposition rather than direct ureteral trauma. Awareness of this mechanism and meticulous protection of the anterior retroperitoneal layer during cage advancement may help prevent avoidable ureteral complications. Full article
(This article belongs to the Special Issue Clinical Research on Minimally Invasive Spine Surgery)
14 pages, 576 KB  
Review
Surgical Versus Rehabilitation-First Management Strategies After ACL Injury: Persisting Uncertainty over Long-Term Outcomes—A Systematic Search and Narrative Synthesis of Randomized Trial Cohorts
by Maciej Biały and Rafał Gnat
Healthcare 2026, 14(9), 1135; https://doi.org/10.3390/healthcare14091135 - 23 Apr 2026
Viewed by 252
Abstract
Background/Objectives: The optimal management of anterior cruciate ligament (ACL) rupture remains debated, especially regarding long-term outcomes after early ACL reconstruction (ACLR) versus rehabilitation-first with optional delayed ACLR. The interpretation of randomized evidence is complicated by frequent treatment crossover. This review synthesized evidence [...] Read more.
Background/Objectives: The optimal management of anterior cruciate ligament (ACL) rupture remains debated, especially regarding long-term outcomes after early ACL reconstruction (ACLR) versus rehabilitation-first with optional delayed ACLR. The interpretation of randomized evidence is complicated by frequent treatment crossover. This review synthesized evidence from randomized controlled trial (RCT) cohorts comparing surgical versus rehabilitation-first management strategies across available follow-up durations. Methods: A structured review based on a systematic literature search and narrative synthesis was conducted, with study identification and reporting guided by PRISMA 2020. MEDLINE (via PubMed) and Google Scholar were searched in February 2026 for English-language human RCTs (2000–2026) comparing early ACLR plus rehabilitation with rehabilitation-first management allowing delayed ACLR for persistent instability. A linked-report PubMed search using the KANON trial registration number (ISRCTN84752559) was additionally performed to identify cohort-derived follow-up publications. Reports were grouped by underlying RCT cohort. Data were extracted on crossover, follow-up, and clinical outcomes. Risk of bias for primary RCT reports was assessed with Cochrane RoB 2. Results: Twenty-seven reports representing three RCT cohorts (KANON, COMPARE, ACL SNNAP) were included; six index reports were prioritized for synthesis. In acute ACL rupture (KANON, COMPARE), early ACLR did not show a consistent long-term superiority in patient-reported outcomes versus rehabilitation-first with optional delayed ACLR, although COMPARE reported a statistically significant 2-year subjective functional difference favoring early ACLR; early ACLR more consistently improved mechanical stability and reduced instability episodes. Crossover from rehabilitation to delayed ACLR was common. In non-acute ACL injury with persistent symptomatic instability (ACL SNNAP), surgery-first improved 18-month patient-reported outcomes. Meniscal procedure rates and osteoarthritis-related outcomes did not consistently favor early ACLR. Conclusions: In acute ACL rupture, rehabilitation-first with timely access to delayed ACLR appears to provide long-term patient-reported outcomes comparable to an early ACLR strategy in many patients, while early ACLR more consistently improves knee stability. In non-acute symptomatic ACL deficiency, a surgery-first strategy appears more effective in the mid-term. These randomized trials should be interpreted as comparisons of management strategies rather than of “pure” operative versus nonoperative treatment approaches. Full article
Show Figures

Figure 1

12 pages, 636 KB  
Article
Squat Jump and Bilateral and Unilateral Countermovement Jump Performance in Soccer Players 6 and 9 Months After Anterior Cruciate Ligament Reconstruction
by Nikola Andrić, Mladen Mikić, Damjan Jakšić, Slavko Molnar, Dejan Javorac and Vukadin Milankov
Medicina 2026, 62(5), 807; https://doi.org/10.3390/medicina62050807 - 23 Apr 2026
Viewed by 94
Abstract
Background and Objectives: The assessment of neuromuscular recovery after ACL reconstruction is crucial for safe return to sport (RTS) in professional soccer players. This retrospective cross-sectional study aimed to compare squat jump (SJ), bilateral countermovement jump (CMJ), and single-leg CMJ performance in three [...] Read more.
Background and Objectives: The assessment of neuromuscular recovery after ACL reconstruction is crucial for safe return to sport (RTS) in professional soccer players. This retrospective cross-sectional study aimed to compare squat jump (SJ), bilateral countermovement jump (CMJ), and single-leg CMJ performance in three distinct groups: players at 6 months post-ACL reconstruction, players at 9 months post-ACL reconstruction, and healthy controls. Materials and Methods: Seventy-two male players (24 at 6 months post-ACL, 24 at 9 months post-ACL, 24 healthy controls) performed squat jump, bilateral countermovement jump, and single-leg CMJ tests using contact platforms following a controlled warm-up protocol. Results: Significant group differences were observed in all jump tests. At 6 months post-ACL reconstruction, players demonstrated significantly lower squat jump (45.13 ± 6.20 cm) and bilateral countermovement jump (49.67 ± 6.80 cm) heights compared to both 9-month players (SJ: 50.03 ± 5.30 cm; CMJ: 53.79 ± 4.85 cm) and controls (SJ: 51.12 ± 4.97 cm; CMJ: 55.49 ± 5.54 cm) (p ≤ 0.016, η2 = 0.187 and η2 = 0.156, respectively). No significant differences between 9-month and control groups were observed for the squat jump and the bilateral countermovement jump. Regarding the unilateral countermovement jump, the injured leg showed significant performance deficits compared to controls in both the 6-month and 9-month groups (p = 0.001, η2 = 0.378). However, the non-injured leg exhibited deficits only in the 6-month group. Conclusions: Compared to the 6-month post-ACL reconstruction group, the 9-month group showed a marked improvement in bilateral jump performance, indicating substantial neuromuscular recovery over time. However, persistent unilateral deficits in the injured leg remained even at 9 months, underscoring the need for a routine and comprehensive jumping evaluation to identify residual neuromuscular impairments that may require targeted rehabilitation before returning to sport. Full article
(This article belongs to the Special Issue ACL: From Injury to Return to Sport)
Show Figures

Figure 1

12 pages, 485 KB  
Article
Three-Dimensional Morphometric Analysis of the Lisfranc Joint and Its Relationship to Injury
by Cemre Savaşan, Abdul Veli İsmailoğlu, Samir İlgaroğlu, Edip Yılmaz and Alp Bayramoğlu
Diagnostics 2026, 16(9), 1264; https://doi.org/10.3390/diagnostics16091264 - 23 Apr 2026
Viewed by 122
Abstract
Background/Objectives: Lisfranc joint injuries are complex midfoot pathologies frequently associated with subtle radiologic findings and delayed diagnosis. Although ligamentous disruption is considered the primary mechanism, the contribution of intrinsic osseous morphology remains insufficiently investigated. Previous studies have primarily relied on two-dimensional measurements and [...] Read more.
Background/Objectives: Lisfranc joint injuries are complex midfoot pathologies frequently associated with subtle radiologic findings and delayed diagnosis. Although ligamentous disruption is considered the primary mechanism, the contribution of intrinsic osseous morphology remains insufficiently investigated. Previous studies have primarily relied on two-dimensional measurements and limited morphometric parameters. Therefore, this study aimed to provide a comprehensive three-dimensional (3D) computed tomography (CT) based morphometric evaluation of the medial and central columns of the Lisfranc joint and to determine whether specific bony parameters are associated with injury predisposition. Methods: A total of 48 CT scans, including 23 from patients with Lisfranc joint injuries and 25 from healthy controls without midfoot trauma, were retrospectively analyzed. For both groups, 3D models of the first three metatarsals (M1–M3) and cuneiforms (C1–C3) were reconstructed to measure bone length, articular surface areas, volumes, M1–M2/M2–M3 depth differences, and dorsal step-off (dorsal subluxation of M2 relative to C2). Correlations of these measurements with M2 length were additionally assessed in each group. Results: Comparisons between injury and healthy control groups revealed no significant differences in bony morphometrics (p > 0.05). Correlation analysis showed that a longer M2 were associated with greater cuneiform volumes and larger metatarsal articular surface areas (p < 0.05). Conclusions: This comprehensive 3D morphometric assessment of the Lisfranc joint indicates that intrinsic bony anatomy alone is unlikely to represent a primary predisposing factor for Lisfranc injuries. The observed positive relationship between M2 length and cuneiform articular surface areas and volumes demonstrates structural interdependence within the medial and central columns. Overall, injury susceptibility does not appear to be explained by variations in osseous morphology alone. Full article
(This article belongs to the Section Medical Imaging and Theranostics)
Show Figures

Figure 1

14 pages, 905 KB  
Article
Gonadectomy and Its Association with Orthopedic and Neoplastic Disorders: A Retrospective Study in Belgium—Part I (Bitches)
by Guillaume Domain, Florin Petrisor Posastiuc, Joke Lannoo, Lotte Spanoghe, Jeroen Dewulf and Ann Van Soom
Life 2026, 16(5), 707; https://doi.org/10.3390/life16050707 - 22 Apr 2026
Viewed by 189
Abstract
Gonadectomy is performed in bitches to prevent unwanted reproduction and reduce the risk of sex hormone-related conditions. However, growing evidence suggests that the timing of spaying may influence long-term susceptibility to non-reproductive diseases. This retrospective case–control study (2013–2023) evaluated the association between timing [...] Read more.
Gonadectomy is performed in bitches to prevent unwanted reproduction and reduce the risk of sex hormone-related conditions. However, growing evidence suggests that the timing of spaying may influence long-term susceptibility to non-reproductive diseases. This retrospective case–control study (2013–2023) evaluated the association between timing of spaying and the development of orthopedic and neoplastic disorders in a Belgian referral-hospital population. Cases included bitches diagnosed with cranial cruciate ligament rupture, hip dysplasia, elbow dysplasia, lymphoma, mast cell tumor, osteosarcoma, or hemangiosarcoma, while disease-free bitches served as controls. Associations between disease occurrence and spaying status were assessed using multivariable logistic regression adjusted for age, weight category, and body condition score. Age at gonadectomy (<12 vs. ≥12 months) and timing relative to the first estrus were evaluated in separate models. Spaying <12 months of age was associated with increased odds of all conditions compared with intact females. Spaying ≥12 months of age was associated with lower odds of several orthopedic and neoplastic outcomes compared with early spaying, although odds were not always comparable to those in intact females. Large body size and higher body condition score were independently associated with increased odds of orthopedic outcomes. These findings support individualized spaying strategies rather than a universal age threshold. Full article
(This article belongs to the Special Issue Developmental Programming in Cats and Dogs)
Show Figures

Figure 1

16 pages, 32531 KB  
Article
Biomechanical Evaluation of Biodegradable Implants Using Anchoring Fixation Sutures in Apical Prolapse Repair
by Ana Telma Silva, Nuno Miguel Ferreira, Maria Francisca Vaz, Marco Parente, António Augusto Fernandes and Maria Elisabete Silva
Appl. Sci. 2026, 16(9), 4072; https://doi.org/10.3390/app16094072 - 22 Apr 2026
Viewed by 116
Abstract
Apical prolapse, a common form of Pelvic Organ Prolapse (POP), is often linked to weakened support structures such as the uterosacral (USL) and cardinal ligaments (CL), influenced by factors like vaginal childbirth, aging, and obesity. Although surgical mesh use is expected to increase, [...] Read more.
Apical prolapse, a common form of Pelvic Organ Prolapse (POP), is often linked to weakened support structures such as the uterosacral (USL) and cardinal ligaments (CL), influenced by factors like vaginal childbirth, aging, and obesity. Although surgical mesh use is expected to increase, the Food and Drug Administration (FDA) banned polypropylene mesh for transvaginal anterior compartment prolapse in 2019 due to safety concerns, highlighting the need for alternatives such as biodegradable implants. This study developed four biodegradable mesh implants (square and sinusoidal geometries) mimicking the USL and CL. These were applied within a computational pelvic model to assess biomechanical behavior during the Valsalva maneuver and to explore different fixation methods (continuous, interrupted and simple stitch sutures). Baseline analysis of the healthy model established vaginal displacement under normal conditions. Without implant support, complete CL rupture increased displacement by 34%, and complete USL rupture raised displacement by 69%. Polycaprolactone implants consistently reduced anterior vaginal wall displacement in all impairment scenarios. Square implants mimicking the USL reduced displacement by up to 10% in cases of complete USL rupture with intact CL. Similarly, square implants mimicking the CL reduced displacement by up to 15% with complete CL rupture and healthy USL. Simulations with both ligaments impaired showed that USL contribute to support, while CL play a key role in stabilization. These findings demonstrate the potential of biodegradable implants to enhance POP repair. However, further studies are needed to evaluate long-term degradation and clinical applicability. Full article
(This article belongs to the Section Applied Biosciences and Bioengineering)
Show Figures

Figure 1

19 pages, 541 KB  
Systematic Review
From Slump to Comeback: Psychological Determinants of Performance Decline, Burnout, and Recovery in Competitive Athletes—A Systematic Review
by Yajuvendra Singh Rajpoot, Prashant Kumar Choudhary, Suchishrava Choudhary, Vasile-Cătălin Ciocan, Sohom Saha, Constantin Șufaru, Voinea Nicolae Lucian, Sema Arslan Kabasakal, Cristuta Alina Mihaela, Mihai Adrian Sava, Silviu-Ioan Pavel and Jolita Vveinhardt
Sports 2026, 14(5), 165; https://doi.org/10.3390/sports14050165 - 22 Apr 2026
Viewed by 296
Abstract
Background: Psychological determinants are increasingly recognized as central contributors to both performance decline and recovery in competitive sport; however, contemporary evidence integrating injury-related and non-injury performance contexts remains fragmented. Objective: This systematic review synthesized empirical evidence (2016–2025) examining psychological determinants associated with return [...] Read more.
Background: Psychological determinants are increasingly recognized as central contributors to both performance decline and recovery in competitive sport; however, contemporary evidence integrating injury-related and non-injury performance contexts remains fragmented. Objective: This systematic review synthesized empirical evidence (2016–2025) examining psychological determinants associated with return to sport (RTS), reinjury risk, burnout, injury incidence, and performance decline among competitive athletes. Methods: Conducted in accordance with PRISMA 2020 guidelines, a systematic search of PubMed, Scopus, Web of Science, and SPORTDiscus identified peer-reviewed studies published between January 2016 and December 2025. Eligibility criteria were defined using a PICO framework. Prospective cohort studies, longitudinal multi-wave investigations, one randomized controlled trial, matched cohort studies, diary-based designs, and injury-related observational studies were included. Due to heterogeneity in constructs and outcomes, findings were synthesized narratively. Results: Fourteen studies met the inclusion criteria, including prospective cohort studies, multi-wave longitudinal designs, one randomized controlled trial, one matched cohort study, and a diary-based investigation. Seven independent cohorts examined psychological readiness using the Anterior Cruciate Ligament—Return to Sport after Injury scale (ACL-RSI) in athletes with anterior cruciate ligament (ACL) injuries (sample sizes ranging from n = 39 to n = 384), consistently demonstrating that higher readiness predicted successful RTS at 6–24 months, while two prospective studies reported contrasting associations with second ACL injury risk. Four longitudinal studies (n = 93–491) showed that increased burnout and controlled motivation predicted performance decline and dropout trajectories, whereas higher resilience and mental toughness reduced burnout progression. One seasonal longitudinal study (n = 21) linked elevated cognitive anxiety and mood disturbance to increased injury incidence. Conclusion: Psychological determinants operate across deterioration and restoration pathways. Psychological readiness shows the strongest predictive consistency for RTS, while burnout, motivational climate, and resilience significantly shape long-term performance sustainability and injury-related outcomes. Full article
(This article belongs to the Special Issue Psychological Dimensions of Success and Failure in Sport)
Show Figures

Figure 1

13 pages, 1275 KB  
Article
On-Field Assessment of Joint Load in Football Using Machine Learning (Part II)
by Anne Benjaminse, Margherita Mendicino, Eline M. Nijmeijer, Pietro Margheriti, Alli Gokeler and Stefano Di Paolo
Sensors 2026, 26(8), 2562; https://doi.org/10.3390/s26082562 - 21 Apr 2026
Viewed by 365
Abstract
Anterior cruciate ligament (ACL) injury risk is elevated in female youth football, yet knee joint loading has mainly been studied under controlled laboratory conditions. This limits understanding of how injury risk emerges during realistic match situations. This study provided a field-based kinetic characterization [...] Read more.
Anterior cruciate ligament (ACL) injury risk is elevated in female youth football, yet knee joint loading has mainly been studied under controlled laboratory conditions. This limits understanding of how injury risk emerges during realistic match situations. This study provided a field-based kinetic characterization of football-specific movements by estimating knee abduction moments (KAMs) using wearable sensors and machine learning. Fifty-two highly talented female youth players performed agility tasks during training, including structured exercises (F-EX) and game-based play (F-GAME). Full-body kinematics were collected with inertial measurement units, and a validated support vector machine model, trained on synchronized motion capture and force plate data, classified trials as high or low KAM. Across 662 change-in-direction trials, 9–12% were classified as high KAM in both conditions, indicating that potentially high-risk loading regularly occurs during routine actions. High KAM trials showed reduced knee and pelvis flexion, increased hip flexion, and greater pelvis rotation toward the cutting direction, reflecting upright, stiff movement strategies. Performance analyses revealed smaller cut angles in exercises and greater approach acceleration in game play, without differences in peak velocity. These findings demonstrate the feasibility of field-based kinetic screening and support a complex-systems perspective on ACL injury risk. Full article
Show Figures

Figure 1

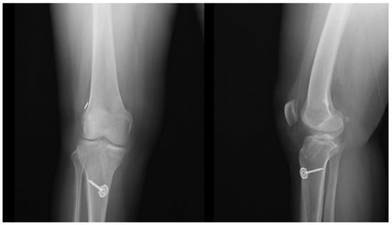
14 pages, 6253 KB  
Case Report
Surgical Management of Multi-Ligamentous Knee Injuries: Current Concepts and Case Report of a Complex KD-IV Case
by Simone Giusti, Edoardo De Fenu, Simona Cerulli and Ezio Adriani
Reports 2026, 9(2), 123; https://doi.org/10.3390/reports9020123 - 17 Apr 2026
Viewed by 137
Abstract
Background and Clinical Significance: Multiligamentous knee injuries (MLKIs) are uncommon but severe injuries associated with instability, neurovascular compromise, and long-term functional impairment. Irreducible knee dislocations are a distinct subgroup requiring urgent intervention because soft-tissue interposition may prevent closed reduction and place the [...] Read more.
Background and Clinical Significance: Multiligamentous knee injuries (MLKIs) are uncommon but severe injuries associated with instability, neurovascular compromise, and long-term functional impairment. Irreducible knee dislocations are a distinct subgroup requiring urgent intervention because soft-tissue interposition may prevent closed reduction and place the limb at risk of skin necrosis and vascular compromise. This report reviews current concepts in MLKI management and presents a complex KD-IV irreducible knee dislocation treated with a staged surgical strategy. Case Presentation: A 56-year-old woman presented 24 h after a skiing injury with a grossly deformed knee, multidirectional instability, and an anteromedial “pucker sign”. Magnetic resonance imaging demonstrated a KD-IV injury with complete rupture of the anterior cruciate ligament, posterior cruciate ligament, and medial collateral ligament, associated with capsular disruption and intra-articular soft-tissue interposition causing irreducibility. Urgent open reduction was performed. The first stage included reduction of the incarcerated capsule, capsular repair, and reconstruction of the posteromedial corner and medial collateral ligament using a semitendinosus autograft. Delayed reassessment at 6 months demonstrated satisfactory stability, minimal residual anterior laxity, and no subjective instability; therefore, anterior cruciate ligament reconstruction was not performed. At final follow-up, the patient had near-full range of motion, no significant valgus instability, and no arthrofibrosis or vascular complications. Conclusions: Management of MLKIs should be individualized according to reducibility, soft-tissue condition, neurovascular status, and functional demands. Irreducible KD-IV dislocations with a pucker sign require urgent open reduction. In selected patients, staged reconstruction may reduce postoperative stiffness and allow selective omission of cruciate ligament reconstruction when satisfactory functional stability is achieved. Full article
Show Figures

Figure 1

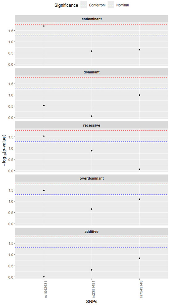
14 pages, 562 KB  
Article
Extracellular Matrix Signalling and Injury Susceptibility: ACAN and FMOD Variants in Sports-Related Musculoskeletal Injuries
by Agata Rzeszutko-Bełzowska and Agata Leońska-Duniec
Genes 2026, 17(4), 475; https://doi.org/10.3390/genes17040475 (registering DOI) - 17 Apr 2026
Viewed by 129
Abstract
Background/Objectives: Musculoskeletal soft-tissue injuries are common among physically active individuals and arise from complex interactions between environmental and biological factors. Genetic variation in genes involved in extracellular matrix (ECM) organization may contribute to individual susceptibility to such injuries. This study investigated whether [...] Read more.
Background/Objectives: Musculoskeletal soft-tissue injuries are common among physically active individuals and arise from complex interactions between environmental and biological factors. Genetic variation in genes involved in extracellular matrix (ECM) organization may contribute to individual susceptibility to such injuries. This study investigated whether polymorphisms in aggrecan (ACAN, rs2351491 and rs1042631) and fibromodulin (FMOD, rs7543148) genes are associated with susceptibility to sports-related injuries. Methods: The study included 335 physically active Caucasians, comprising 202 participants with a history of non-contact sports-related musculoskeletal injuries and 133 uninjured controls. Genotyping was performed using real-time polymerase chain reaction. Results: No significant associations were observed between the analyzed polymorphisms and overall injury occurrence after correction for multiple comparisons. A nominal association was observed for ACAN rs2351491 in the overall injury comparison under the overdominant model (p = 0.0457), where CT heterozygotes were more frequent among injured participants. The ACAN rs1042631 variant showed nominal associations with anterior cruciate ligament (ACL) injury under the codominant (p = 0.0179), recessive (p = 0.0243), and overdominant (p = 0.0346) models, with the TT genotype associated with lower odds of ACL injury under the recessive model (OR = 0.15, 95% CI: 0.02–1.22). No significant associations were observed for FMOD rs7543148 or for haplotype analysis of ACAN variants. Conclusions: No robust associations were identified between the investigated variants and susceptibility to musculoskeletal soft-tissue injury after correction for multiple testing. Nominal signals observed for ACAN variants, particularly in ACL-focused analyses, warrant further investigation but should be interpreted cautiously and confirmed in larger, independent cohorts. Full article
(This article belongs to the Section Human Genomics and Genetic Diseases)
Show Figures

Figure 1

12 pages, 2749 KB  
Article
Does Tourniquet Use Affect the Length of the Hamstring Tendon in Anterior Cruciate Ligament Reconstruction?
by Tarık Altunkiliç, Bünyamin Ari, İsmail Güzel, Mehmet Boz and Feyza İnceoglu
J. Clin. Med. 2026, 15(8), 3076; https://doi.org/10.3390/jcm15083076 - 17 Apr 2026
Viewed by 192
Abstract
Background: The aim of the present study was to investigate whether the use of a tourniquet during anterior cruciate ligament reconstruction affects the length of the hamstring tendon used for autograft. Methods: Adult patients who were referred to the Orthopedics and Traumatology Department [...] Read more.
Background: The aim of the present study was to investigate whether the use of a tourniquet during anterior cruciate ligament reconstruction affects the length of the hamstring tendon used for autograft. Methods: Adult patients who were referred to the Orthopedics and Traumatology Department of The Malatya Turgut Özal University hospital and were diagnosed with anterior cruciate ligament injury between 30 July 2025 and 30 December 2025 were included in the study. In total, 31 patients from whom the hamstring tendon was harvested without a tourniquet were placed in Group 1, and 36 patients from whom the hamstring tendon was harvested with a tourniquet were placed in Group 2. This study is a prospective, randomized, comparative study. These two groups were compared with respect to the lengths of the hamstring tendons used as autografts. Results: The semitendinosus and gracilis tendon lengths in Group 1 were 29.61 ± 1.76 cm and 27.68 ± 2.02 cm, respectively. In Group 2, the semitendinosus and gracilis tendon lengths were 25.67 ± 1.45 cm and 23.72 ± 1.06 cm, respectively. A statistically significant difference was observed between the semitendinosus and gracilis tendon lengths of the participants in Groups 1 and 2 (p < 0.05). Conclusions: These findings suggest that avoiding tourniquet use during hamstring tendon harvest may represent a simple technical modification that can influence harvested tendon length during anterior cruciate ligament reconstruction. Full article
(This article belongs to the Special Issue Anterior Cruciate Ligament (ACL): Innovations in Clinical Management)
Show Figures

Figure 1

21 pages, 1870 KB  
Article
Biomechanical Evaluation of the Second Molar Uprighting with Retromolar Mini-Implants in the Presence and Absence of the Third Molar
by Diana Florina Nica, Stefania Dinu, Doina Chioran, Adrian Nicoara, Mircea Rivis, Virgil-Florin Duma, Cosmin Sinescu, Meda Lavinia Negrutiu, Cristina Langa and Cristian Zaharia
Oral 2026, 6(2), 47; https://doi.org/10.3390/oral6020047 - 17 Apr 2026
Viewed by 264
Abstract
Background/Objectives: The uprighting of mesially tipped mandibular second molars following first molar loss is a complex surgical and orthodontic challenge. Conventional methods often result in reciprocal anchorage loss. Mini-implants (MIs) have emerged as essential temporary anchorage devices (TADs) that provide absolute anchorage [...] Read more.
Background/Objectives: The uprighting of mesially tipped mandibular second molars following first molar loss is a complex surgical and orthodontic challenge. Conventional methods often result in reciprocal anchorage loss. Mini-implants (MIs) have emerged as essential temporary anchorage devices (TADs) that provide absolute anchorage and enable more predictable tooth movements. Methods: Numerical simulations were performed to evaluate the forces required for mandibular second molar uprighting under two conditions: first, only with the second molar present, and second, with both the second and the third molars present. Although the periodontal ligament exhibits nonlinear and viscoelastic behavior in vivo, a linear elastic approximation was adopted to allow for a reliable evaluation of comparative stress distribution and initial displacement patterns within the scope of this exploratory biomechanical study. Stress distribution in the roots, periodontal ligament, and alveolar bone was assessed for each scenario. Two three-dimensional (3D) models of the left mandibular segment were created from scans of a human mandible and its teeth. The first model included the canine, the first and second premolars, and the second molar. A second model additionally incorporated the third molar. A retromolar MI was placed in both models. Molar uprighting was simulated using a spring connecting the implant to a button bonded on the mesial surface of the second molar. A force of 200 g was applied because in clinical orthodontic practice, forces that exceed approximately 2 N may cause pain or undesirable tooth mobility. Displacements along the X, Y, and Z axes, as well as regions of peak stress, were analyzed. Results: Model 1 showed maximum displacements at the furcation/mid-root, distal root apex, and distal crown, with von Mises stresses of 0.470 to 0.371 MPa. In Model 2, peak displacements occurred at the mesial root and crown, with stresses of 0.185 and 0.149 MPa, respectively. The magnitude of displacements was in the order of 10−5 mm. Such values represent initial mechanical responses rather than clinically observable tooth movements. However, the differences between models (e.g., the stress reduction) are expected to be clinically meaningful. Conclusions: Since clinical measurements regarding the stress distribution on teeth and surrounding tissues during orthodontic molar uprighting movements are impossible to perform, the finite element method (FEM) can offer insight into these aspects. The presence of the third molar significantly modulates the biomechanics of second molar uprighting via retromolar MIs. When the third molar is present, the second molar exhibits a reduced tendency for deformation during distalization, although this leads to a slower displacement. This FEM provides biomechanical insights but does not support direct clinical decision-making. The present findings should be viewed as theoretical biomechanical tendencies that require confirmation through clinical, experimental, and longitudinal studies before translation into clinical practice. Full article
(This article belongs to the Special Issue Advances in Digital Orthodontics)
Show Figures

Figure 1

19 pages, 5562 KB  
Article
Tailoring the Mechanical Response of 3D-Printed Polymer Metamaterials for Biomechanical Customization: A Predictive Manufacturing Framework
by Blaž Hanželič, Vasja Plesec, Jasmin Kaljun and Gregor Harih
J. Manuf. Mater. Process. 2026, 10(4), 133; https://doi.org/10.3390/jmmp10040133 - 17 Apr 2026
Viewed by 344
Abstract
This study presents a predictive manufacturing framework for customizing the biomechanical response of a 3D printed ergonomic armrest based on relaxed Voronoi metamaterials. A double curved armrest geometry was combined with parametric lattice generation, stereolithography printing in BioMed Elastic 50A resin, uniaxial compression [...] Read more.
This study presents a predictive manufacturing framework for customizing the biomechanical response of a 3D printed ergonomic armrest based on relaxed Voronoi metamaterials. A double curved armrest geometry was combined with parametric lattice generation, stereolithography printing in BioMed Elastic 50A resin, uniaxial compression testing of cylindrical lattice specimens, and homogenized finite element simulations using a CT derived forearm model under 15, 30, and 45 N loading. The results showed that both cell size and ligament thickness strongly affected compressive behavior, with smaller cells and thicker ligaments producing higher stiffness and earlier densification. Among the uniform configurations selected for simulation, the E-9-1.5 lattice provided the most balanced response, maintaining contact pressure below about 70 kPa up to 45 N, whereas the stiffer E-7-1.5 configuration exceeded 160 kPa and the E-7-1 configuration surpassed 100 kPa at higher load. Based on these findings, a functionally graded Voronoi concept was developed to combine a more compliant central zone with a stiffer peripheral support region while preserving conformity to the complex armrest boundary. Overall, the results show that relaxed Voronoi lattices offer a computationally efficient route toward anatomically conforming and mechanically tunable cushioning interfaces. Full article
Show Figures

Figure 1

14 pages, 417 KB  
Article
Retrospective Clinical and Radiographic Outcomes of a Cageless Tibial Tuberosity Advancement Technique in Small-Breed Dogs
by William McCartney, Christos Yiapanis, Ciprian Ober, Amarildo Gjeli, Denis Gaceu and Joshua Milgram
Animals 2026, 16(8), 1212; https://doi.org/10.3390/ani16081212 - 16 Apr 2026
Viewed by 268
Abstract
Cranial cruciate ligament rupture is a common orthopedic condition in dogs, and tibial tuberosity advancement is a well-established surgical treatment. The aim of this retrospective study was to evaluate the short-term clinical and radiographic outcomes of a cageless tibial tuberosity advancement technique in [...] Read more.
Cranial cruciate ligament rupture is a common orthopedic condition in dogs, and tibial tuberosity advancement is a well-established surgical treatment. The aim of this retrospective study was to evaluate the short-term clinical and radiographic outcomes of a cageless tibial tuberosity advancement technique in small-breed dogs. Medical records of 63 dogs (77 stifles) treated using this technique were reviewed. Fixation was achieved using three construct types: a screw–pin construct (the majority of cases), a screw-only construct, or a screw combined with two pins. Due to small subgroup sizes, fixation-type outcomes were primarily analyzed descriptively. Clinical and radiographic evaluations were performed immediately after surgery and at eight weeks postoperatively. Clinical outcomes were graded based on limb function, and radiographic bone healing was scored using a standardized scale. Postoperative complications were recorded and analyzed in relation to patient and procedural variables. No intraoperative complications were observed, while postoperative complications occurred in 27% of dogs and were predominantly minor and implant-related. Lameness scores improved significantly over the follow-up period. All treated stifles demonstrated stable implants, maintained advancement, and satisfactory bone healing. The use of bone graft material appeared to be associated with fewer complications and more favorable clinical outcomes; however, this observation should be interpreted with caution given the retrospective and non-randomized design of the study. In this retrospective case series, cageless tibial tuberosity advancement using screw-based fixation (predominantly screw–pin constructs) was associated with favorable short-term clinical and radiographic outcomes. These findings should be considered preliminary and limited to short-term evaluation, given the retrospective design, absence of a control group, and relatively short follow-up period. Further prospective studies with larger populations, standardized outcome measures, and longer follow-up are warranted to confirm these findings. Full article
(This article belongs to the Section Veterinary Clinical Studies)
Show Figures

Figure 1

Back to TopTop