Study of Compatibility and Flame Retardancy of TPU/PLA Composites
Abstract
:1. Introduction
2. Materials and Methods
2.1. Raw Materials
2.2. Sample Preparation of TPU/PLA Composites
2.3. Characterization of Samples
2.3.1. Infrared Spectroscopy
2.3.2. Scanning Electron Microscopy Analysis
2.3.3. Differential Scanning Calorimetry
2.3.4. Low-Field Nuclear Magnetic Resonance
2.3.5. Flame Retardancy Properties
Vertical Combustion
Scorching Wire Testing
3. Results
3.1. Compatibility Study
3.1.1. Scanning Electron Microscope Analysis
3.1.2. Infrared Spectral Analysis
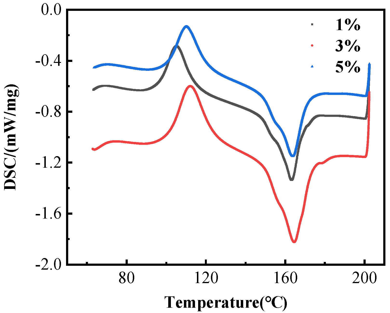
3.1.3. Differential Scanning Calorimetric Curve Analysis
3.1.4. Low-Field Nuclear Magnetic Resonance
3.2. Flame-Retardant Performance
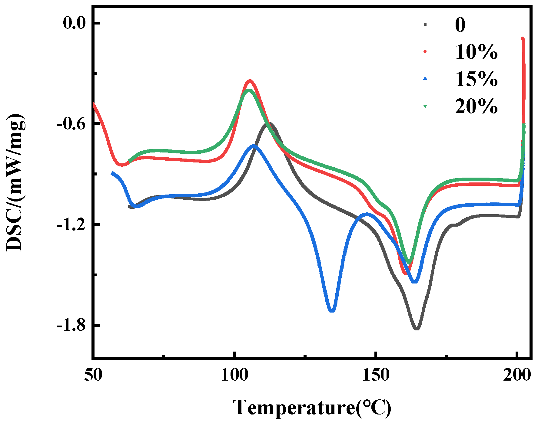
3.2.1. Differential Scanning Calorimetric Curve Analysis
3.2.2. Low-Field NMR
3.2.3. Vertical Burning Test
3.2.4. Analysis of Scorching Wire Test Results
4. Conclusions
Author Contributions
Funding
Institutional Review Board Statement
Informed Consent Statement
Data Availability Statement
Conflicts of Interest
References
- Su, X.; Jia, S.; Cao, L.; Yu, D. High performance polylactic acid/thermoplastic polyurethane blends with in-situ fibrillated morphology. J. Appl. Polym. Sci. 2021, 138, 51014. [Google Scholar] [CrossRef]
- Dogan, S.K.; Reyes, E.A.; Rastogi, S.; Ozkoc, G. Reactive compatibilization of TPU/PLA blends with a diisocyanate. J. Appl. Polym. Sci. 2014, 131, 10. [Google Scholar] [CrossRef]
- Mi, H.Y.; Salick, M.R.; Jing, X.; Jacques, B.R.; Crone, W.C.; Peng, X.F.; Turng, L.S. Characterization of thermoplastic polyurethane/polylactic acid (TPU/PLA) tissue engineering scaffolds fabricated by microcellular injection molding. Mater. Sci. Eng. C 2013, 33, 4767–4776. [Google Scholar] [CrossRef] [PubMed] [Green Version]
- Lai, S.M.; Lan, Y.C. Shape memory properties of melt-blended polylactic acid (PLA)/thermoplastic polyurethane (TPU) bio-based blends. J. Polym. Res. 2013, 20, 1–8. [Google Scholar] [CrossRef]
- Nofar, M.; Mohammadi, M.; Carreau, P.J. Effect of TPU hard segment content on the rheological and mechanical properties of TPU/PLA blends. J. Appl. Polym. Sci. 2020, 137, 49387. [Google Scholar] [CrossRef]
- Zhou, Y.; Luo, L.; Liu, W.; Zeng, G.; Chen, Y. Preparation and characteristic of PC/TPU/PLA blends by reactive extrusion. Adv. Mater. Sci. Eng. 2015, 2015, 1–9. [Google Scholar] [CrossRef] [Green Version]
- Kahraman, Y.; Özdemir, B.; Kılıç, V.; Goksu, Y.A.; Nofar, M. Super toughened and highly ductile TPU/PLA blend systems by in situ reactive interfacial compatibilization using multifunctional epoxy-based chain extender. J. Appl. Polym. Sci. 2021, 138, 50457. [Google Scholar] [CrossRef]
- Boyacioglu, S.; Kodal, M.; Ozkoc, G. A comprehensive study on shape memory behavior of PEG plasticized TPU/PLA bio-blends. Eur. Polym. J. 2020, 122, 109372. [Google Scholar] [CrossRef]
- Mo, X.Z.; Wei, F.X.; Tan, D.F.; Pang, J.Y.; Lan, C.B. The compatibilization of PLA-g-TPU graft copolymer on polylactide/thermoplastic polyurethane blends. J. Polym. Res. 2020, 27, 1–13. [Google Scholar] [CrossRef]
- Shakouri, Z.; Nazockdast, H. Microstructural development and mechanical performance of TPU/PLA blends containing geometrically different cellulose nanocrystals. Cellulose 2018, 25, 7167–7188. [Google Scholar] [CrossRef]
- Jing, X.; Mi, H.Y.; Peng, X.F.; Turng, L.S. The morphology, properties, and shape memory behavior of polylactic acid/thermoplastic polyurethane blends. Polym. Eng. Sci. 2015, 55, 70–80. [Google Scholar] [CrossRef]
- Feng, F.; Ye, L. Morphologies and mechanical properties of polylactide/thermoplastic polyurethane elastomer blends. J. Appl. Polym. Sci. 2010, 119, 2778–2783. [Google Scholar] [CrossRef]
- Han, J.J.; Huang, H.X. Preparation and characterization of biodegradable polylactide/thermoplastic polyurethane elastomer blends. J. Appl. Polym. Sci. 2011, 120, 217–223. [Google Scholar] [CrossRef]
- Li, Y.; Shimizu, H. Toughening of polylactide by melt blending with a biodegradable poly (ether)urethane elastomer. Macromol. Bio-Sci. 2007, 7, 921–928. [Google Scholar] [CrossRef] [PubMed]
- Agari, Y.; Sakai, K.; Kano, Y.; Nomura, R. Preparation and properties of the biodegradable graded blend of poly(L-lactic acid) and poly(ethylene oxide). J. Polym. Sci. Part B Polym. Phys. 2007, 45, 2972–2981. [Google Scholar] [CrossRef]
- Han, Y.; Kim, J. A study on the mechanical properties of knit fabric using 3D printing-Focused on PLA, TPU Filament. J. Fash. Bus. 2018, 22, 93–105. [Google Scholar]
- Herrera, M.; Matuschek, G.; Kettrup, A. Thermal degradation of thermoplastic polyurethane elastomers (TPU) based on MDI. Polym. Degrad. Stab. 2002, 78, 323–331. [Google Scholar] [CrossRef]
- Lu, Q.W.; Macosko, C.W. Comparing the compatibility of various functionalized polypropylenes with thermoplastic polyurethane (TPU). Polymer 2004, 45, 1981–1991. [Google Scholar] [CrossRef]
- De León, A.S.; Domínguez-Calvo, A.; Molina, S.I. Materials with enhanced adhesive properties based on acrylonitrile-butadiene-styrene (ABS)/thermoplastic polyurethane (TPU) blends for fused filament fabrication (FFF). Mater. Des. 2019, 182, 108044. [Google Scholar] [CrossRef]
- Lopez, L.C.; Wilkes, G.L. Non-isothermal crystallization kinetics of poly(p-phenylene sulphide). Polymer 1989, 30, 882–887. [Google Scholar] [CrossRef]
- Jia, J.; Lin, P.; Liu, Q. Morphology and properties of high molecular weight polyisobutylene and thermoplastic polyurethane elastomer. J. Appl. Polym. Sci. 2022, 139, 51466. [Google Scholar] [CrossRef]
- Xu, D.; Lu, H.; Huang, Q.; Deng, B.; Li, L. Flame-retardant effect and mechanism of melamine phosphate on silicone thermoplastic elastomer. RSC Adv. 2018, 8, 5034–5041. [Google Scholar] [CrossRef] [Green Version]
- Hong, J.S.; Namkung, H.; Ahn, K.H.; Lee, S.J.; Kim, C. The role of organically modified layered silicate in the breakup and coalescence of droplets in PBT/PE blends. Polymer 2006, 47, 3967–3975. [Google Scholar] [CrossRef]
- Dharaiya, D.P.; Jana, S.C. Nanoclay-induced morphology development in chaotic mixing of immiscible polymers. J. Polym. Sci. Part B Polym. Phys. 2005, 43, 3638–3651. [Google Scholar] [CrossRef]
- Agrawal, P.; Araujo, A.; Brito, G.; Cavalcanti, S.; Alves, A.; Freitas, D. Rheological and Mechanical Properties of Poly(lactic acid)/Bio-Based Polyethylene/Clay Biocomposites Containing Montmorillonite and Vermiculite Clays. J. Polym. Environ. 2021, 29, 1777–1778. [Google Scholar] [CrossRef]
- Hua, X.; Zhang, T.; Ren, J.; Zhang, Z.; Ji, Z.; Jiang, X.; Gu, N. A facile approach to modify polypropylene flakes combining O2 -plasma treatment and graft polymerization of l -lactic acid. Physicochem. Eng. Asp. 2010, 369, 128–135. [Google Scholar] [CrossRef]
- Girones, J.; Vo, L.T.T.; Haudin, J.-M.; Freire, L.; Navard, P. Crystallization of polypropylene in the presence of biomass-based fillers of different compositions. Polymer 2017, 127, 220–231. [Google Scholar] [CrossRef]
- Bai, Z.; Dou, Q. Non-isothermal crystallization kinetics of polypropylene/poly(lactic acid)/maleic anhydride-grafted polypropylene blends. J. Therm. Anal. Calorim. 2016, 126, 785–794. [Google Scholar] [CrossRef]
- Li, Y.; Zhou, Q.; Ma, W.; Li, Q.; Xu, S.; Yu, H.; Yi, L. Effect of PP-g-MAH on the rheological behavior and barrier properties of poly(lactic acid). Plast. Sci. Technol. 2018, 46, 81–85. [Google Scholar]
- Endemann, M.; Veith, W.; Dubock, P.; Morancais, D.; Fabre, F.; Wimmer, R.; McGoldrick, P. Preparation and Characterization of GNP/TPU Composites. Appl. Mech. Mater. 2014, 3468, 4760–4762. [Google Scholar]
- Yazdaninia, A.; Jafari, S.; Ehsani, M.; Khajavi, R.; Khonakdar, H. An assessment on the effect of trifluoropropyl-POSS and blend composition on morphological, thermal and thermomechanical properties of PLA/TPU. J. Therm. Anal. Calorim. 2019, 139, 279–292. [Google Scholar] [CrossRef]










| Samples | Tcc (°C) | ΔHcc (J/g) | Tm (°C) | ΔHm (J/g) |
|---|---|---|---|---|
| 1 wt% | 105.34 ± 0.35 | 13.76 ± 1.05 | 163.24 ± 0.54 | −30.71 ± 1.11 |
| 3 wt% | 102.07 ± 0.27 | 29.92 ± 2.23 | 164.57 ± 0.38 | −41.09 ± 1.42 |
| 5 wt% | 109.99 ± 0.33 | 7.76 ± 1.20 | 163.52 ± 0.42 | −22.89 ± 0.98 |
| Samples | Tcc (°C) | ΔHcc (J/g) | Tm (°C) | ΔHm (J/g) |
|---|---|---|---|---|
| 0 | 111.21 ± 0.55 | 19.14 ± 1.13 | 164.36 ± 0.21 | −38.06 ± 2.05 |
| 10 wt% | 105.28 ± 0.32 | 10.95 ± 1.20 | 160.55 ± 0.29 | −21.56 ± 1.46 |
| 15 wt% | 106.08 ± 0.43 | 19.05 ± 0.78 | 163.75 ± 0.48 | −34.97 ± 2.13 |
| 20 wt% | 105.35 ± 0.36 | 12.38 ± 2.21 | 162.22 ± 0.32 | −22.57 ± 1.70 |
| Flame-Retardant Conte | Relaxation Time/ms |
|---|---|
| 0 | 3764.94 ± 22.75 |
| 15 wt% | 3274.55 ± 13.77 |
| 20 wt% | 2848.04 ± 15.49 |
| Specimen | Combustion Phenomena | Flame Retardant Grade | |
|---|---|---|---|
| Compatibility agent 3 wt% | Flame retardant 0 | Ignition by dropping | V2 |
| Flame retardant 10 wt% | Ignition by dropping | V2 | |
| Flame retardant 15 wt% | Ignition by dropping | V1 | |
| Flame retardant 20 wt% | No dripping | V1 | |
| Compatibility agent 5 wt% | Flame retardant 0 | Ignition by dropping | V2 |
| Flame retardant 10 wt% | Ignition by dropping | V2 | |
| Flame retardant 15 wt% | Ignition by dropping | V1 | |
| Flame retardant 20 wt% | No dripping | V1 | |
| Flame Retardant Conte/% | Scorching Wire Temperature/°C | Burning Phenomenon | Flame-Retardant Effect |
|---|---|---|---|
| 0 | 750 | Burning 30 s after not extinguished | Non-flame retardant |
| 800 | Burning within 30 s not extinguished | Non-flame retardant | |
| 830 | Burning 30 s after not extinguished | Non-flame retardant | |
| 850 | Burning within 30 s not extinguished | Non-flame retardant | |
| 10 | 750 | Not burning | Flame retardant |
| 800 | Not burning | Flame retardant | |
| 830 | Burning 30 s after not extinguished | Non-flame retardant | |
| 850 | Burning 30 s not extinguished | Non-flame retardant | |
| 15 | 750 | Not burning | Flame retardant |
| 800 | Not burning | Flame retardant | |
| 830 | Extinguished after 30 s of combustion | Flame retardant | |
| 850 | Not extinguished within 30 s of burning | Non-flame retardant | |
| 20 | 750 | Not burned | Flame retardant |
| 800 | Not burning | Flame retardant | |
| 830 | Extinguished 30 s after burning | Flame retardant | |
| 850 | Burning within 30 s not extinguished | Non-flame retardant |
Publisher’s Note: MDPI stays neutral with regard to jurisdictional claims in published maps and institutional affiliations. |
© 2022 by the authors. Licensee MDPI, Basel, Switzerland. This article is an open access article distributed under the terms and conditions of the Creative Commons Attribution (CC BY) license (https://creativecommons.org/licenses/by/4.0/).
Share and Cite
Hang, Z.; Lv, Z.; Feng, L.; Liu, B. Study of Compatibility and Flame Retardancy of TPU/PLA Composites. Materials 2022, 15, 2339. https://doi.org/10.3390/ma15062339
Hang Z, Lv Z, Feng L, Liu B. Study of Compatibility and Flame Retardancy of TPU/PLA Composites. Materials. 2022; 15(6):2339. https://doi.org/10.3390/ma15062339
Chicago/Turabian StyleHang, Zusheng, Zichun Lv, Liu Feng, and Ben Liu. 2022. "Study of Compatibility and Flame Retardancy of TPU/PLA Composites" Materials 15, no. 6: 2339. https://doi.org/10.3390/ma15062339
APA StyleHang, Z., Lv, Z., Feng, L., & Liu, B. (2022). Study of Compatibility and Flame Retardancy of TPU/PLA Composites. Materials, 15(6), 2339. https://doi.org/10.3390/ma15062339
