Abstract
Aiming at the large-scale nonlinear deformation of the roadway in Liangjia Coal Mine, Shandong Province, the mudstone of the 1602 working face is taken as the research object. A high-precision mudstone weathering test system integrating monitoring and control was developed, and the weathering tests of expanded mudstone were carried out at 10 °C, 20 °C, 30 °C and 40 °C. The results show that the hygroscopic curves of expanded mudstone demonstrate a nonlinear growth trend at different temperatures, and the influence of temperature on the hygroscopic curves is less than 20%. From the overall law, it can be roughly divided into three stages: the strong hygroscopic stage, the hygroscopic deceleration stage and the stable hygroscopic stage. The maximum expansion rates of the samples were 4.1%, 5.3%, 6.2% and 6.8%, respectively, and the water content and expansion rates corresponding to different ambient temperature and humidity were generally “concave”. The mechanical tests show that the mechanical properties of mudstone decrease as the ambient temperature increases, and the corresponding compressive strength decreases by 16~50%. The linear degradation is obvious, and the gradual expansion of peak strain indicates that the plasticity of the rock increases and the elastic modulus decreases linearly.
1. Introduction
Mudstone is widely distributed in various regions of China, with poor cementation, low strength and great environmental impact on engineering stability [1,2]. Mudstone roadways are prone to large-scale nonlinear plastic deformation, the surrounding rock stability is difficult to control and the support effect is poor, which greatly threatens safety and the efficient production of coal [3,4]. Therefore, it is of great significance to study the deformation and mechanical damage characteristics of mudstone under the effects of temperature, humidity and time for the deformation control of surrounding rock of roadways in the mudstone stratum [5].
Many major mining areas in China have widely distributed soft rock masses such as expansive mudstone. Typical mining areas include Bayannur and Longkou [6,7,8], which pose a great threat to safe and efficient production. The coal strata in the sea area expansion area of Liangjia Coal Mine in the Longkou mining area, Shandong Province, are mainly composed of sandstone, mudstone, clay rock, oil shale, carbonaceous shale and coal. Through analysis, Liangjia Coal Mine is considered to belong to a typical soft rock stratum. Large faults are concealed in the mining area, and a large amount of mudstone is distributed. It very easily expands and collapses in the case of water presence, so the surrounding rock is severely deformed, and there are great potential safety hazards. Through sampling analysis, it can be seen that the surrounding rock of the stratum roadway in this area is mainly medium expansive mudstone, with high content of organic matter and clay minerals. Due to the unique physical and chemical properties of mudstone, it is extremely sensitive to environmental factors, such as temperature, humidity, formation stress and groundwater, and exhibits significant expansion and contraction. In particular, the weathered mudstone is very unfavorable to the stability of the surrounding rock of the roadway when it meets water.
For engineering problems caused by mudstone, a large number of scholars and experts at home and abroad have conducted fruitful research work for decades, mainly focusing on the mechanical characteristics [9,10,11], water loss characteristics [11,12,13], water absorption [14,15] characteristics, swelling [16,17,18] and shrinkage and microstructure characteristics [19,20] of water–rock interaction [21,22].
However, the research object of most experts and scholars is still soft-rock roadways on land, and the research on soft-rock roadways in coastal coal mines such as Liangjia Coal Mine is relatively sparse. Therefore, the significance of this topic is not only to solve the support problem of surrounding rock stability of the Liangjia Coal Mine roadway but also to provide reference for soft-rock roadway support in the future underwater coal mining process in China [23,24]. In view of the problems existing in Liangjia Coal Mine in Longkou, Shandong Province, a high-precision mudstone weathering test system integrating monitoring and control is developed by taking the mudstone of the 1602 working face as the research object. The system is used to carry out the weathering test of expansive mudstone under different temperatures. The swelling force, water content change, apparent weathering characteristics, expansion change, water migration, distribution characteristics and sample microstructure of mudstone are measured and recorded in real time, The mechanical property test is carried out to study the influence of different environmental factors on the strength and deformation characteristics of mudstone, analyze the deterioration mechanism of temperature effect on mudstone and then reveal the weathering expansion evolution mechanism of mudstone.
2. Materials and Methods
2.1. Test Materials and Basic Characteristics
The sample was taken from the return air roadway of the 1602 working face of Liangjia Coal Mine in the Longkou mining area, Shandong Province, and the sampling depth was about 320 m. In order to minimize the damage to the original mudstone structure caused by sampling disturbance, we obtained large undisturbed rocks directly from the roof of the roadway. Then, they were wrapped and sealed with tinfoil and plastic wrap several times and transported from the roadway to the ground in bubble bags. After that, the undisturbed rocks were loaded into large wooden boxes, which were then filled with wood chips and transported to the rock processing center of China University of Mining and Technology. Due to the low cementation of mudstone, the rock was processed into samples with a diameter of 25 mm and a height of 50 mm. After that, the double end grinder was used for grinding, and the processed sample is shown in Figure 1.
Figure 1.
Original rock and prepared mudstone samples. (a) Original rock from Liangjia Coal Mine; (b) prepared mudstone samples.
X-ray diffraction (XRD) is a common method for measuring rock composition [25]. In this study, the qualitative and quantitative XRD analysis and testing of rock samples were carried out at Beijing Yanyuan Microstructure Analysis by D8 ADVANCE ECO (Manufactured by Bruker, Karlsruhe, Germany) and Testing Center and the modern analysis and calculation center of China University of Mining and Technology. The test diffraction angle of the samples was 3~45°. Professional technicians were responsible for the test. In order to determine the composition and content of rock minerals, 4 groups of directional sheets were prepared:
- (1)
- Natural air-drying directional sample (N sheet);
- (2)
- Ethylene-glycol-saturated treatment, oriented sample (E sheet), distinguish mineral expansibility;
- (3)
- High-temperature treatment, at 550 °C, constant temperature for two hours (T sheet), used to distinguish montmorillonite and illite;
- (4)
- Hot dilute hydrochloric acid treatment, production of P sheet, used to distinguish kaolinite and chlorite.
The XRD diffraction pattern of undisturbed mudstone is shown in Figure 2. According to the XRD test results, the main non-clay minerals are quartz, feldspar and calcite, accounting for 76.1% of the total content. The clay mineral content in the sample is 23.9%, mainly illite, kaolinite, montmorillonite and I/S mixed layer. I/S mixed layer accounts for the largest proportion, accounting for more than 50% of the clay composition.
Figure 2.
Qualitative and quantitative analysis of mineral components of mudstone. (a) XRD diffraction pattern of expansive mudstone sample; (b) results of qualitative and quantitative analysis of whole rock minerals.
Particle size distribution has an important influence on the structure and mechanical properties of rock mass. In this section, the size distribution of weakly argillaceous cemented rock mass is determined by a screening method. Due to the poor cementation of the sample, it completely disintegrated into a granular form after soaking in water, so the water sieve method was used to determine the particle size. The screen specifications are 0.075 mm, 0.25 mm, 0.5 mm, 1 mm and 2 mm, in turn. See Figure 3 for the distribution of particles with different particle sizes after processing and analyzing the test results. The particle size distribution data of the three groups of samples used in the test are basically discrete, indicating that the particle size distribution of the expansive mudstone in the formation is uniform, and the sorting property is relatively good.
Figure 3.
Particle size distribution curve of expansive mudstone.
2.2. Test System and Method
2.2.1. Mudstone Weathering Test System
This weathering test adopts a self-developed multi-functional weathering test box that integrates real-time monitoring and control of ambient temperature and humidity, as shown in Figure 4. The system can achieve accurate control of ambient temperature and humidity and can effectively monitor the expansion characteristics, quality changes and macro-appearance changes of samples in different weathering processes. The temperature control range of the test system is 0 °C~60 °C, and the control accuracy can be maintained at 0.1 °C. The control range of the system humidity control module is 0~100% RH, and the control accuracy is 0.5% RH. The range of the displacement meter is 10 mm, and the test accuracy can be maintained at 0.001 mm. The range of the pressure sensor is 0~500 kPa, and the test accuracy is 0.05 kPa. The measuring range of the high-precision micro-weighing sensor is 500 g, and the sensor accuracy is 0.001 g. The DH3816N static strain test system used in data acquisition is produced by Donghua Company, and the supporting software is DH38A.
Figure 4.
Structural diagram of the expansive mudstone weathering test system. (a) Schematic design; (b) physical test system.
2.2.2. Test Scheme
The factors affecting the change in water content of mudstone are mainly divided into internal and external factors. External factors generally refer to the occurrence environment of expansive mudstone, mainly including stress, air flow characteristics, temperature and humidity. Internal factors generally include mineral composition, structural form, clay mineral content, proportion, bonding degree and rock porosity.
When the humidity field is constant, the relationship between the expansion characteristics of mudstone and time in a specific temperature field is studied, and the evolution law of the expansion and contraction of mudstone with the change in temperature field is revealed.
According to the specification requirements, on-site climatic conditions and engineering characteristics, combined with the observation data, the ambient humidity is set to 80%, and the design test temperature is 10 °C~40 °C. The test sample number, grouping, size data and set experimental conditions are shown in Table 1.
Table 1.
Test scheme for influence of environment on water absorption law of expansive mudstone.
During the weathering test of mudstone, the temperature field in the test chamber can be monitored and controlled in real time and kept stable through the temperature control system. The humidity control unit can monitor and control the humidity field in the test chamber in real time and maintain its stability. The high-definition digital camera can be used to monitor the development characteristics of surface cracks of mudstone samples during weathering. Using the displacement meter, load cell and micro-pressure gauge, the obtained data can be transmitted to the computer through dh3816n, and then the changes of displacement, moisture content and expansion pressure can be analyzed through the matching software.
3. Experimental Results of Influence of Temperature on Mudstone Water Absorption
3.1. Development Law of Water Absorption at Different Temperatures Under Constant Humidity
When the relative humidity in the test device is constant at 80% RH, the change in water content of expansive argillaceous rock samples dried at 10 °C, 20 °C, 30 °C and 40 °C is shown in Figure 5a, respectively. The acceleration of mudstone water absorption can be obtained by taking the second derivative of the mudstone water absorption curve, as shown in Figure 5b.
Figure 5.
Variation curve of water content with time under different temperature conditions. (a) Curve of moisture content with time; (b) acceleration of water absorption by mudstone.
In general, when the humidity is 80% RH, the hygroscopic curve of expansive mudstone shows a nonlinear growth trend under different temperature conditions, which varies slightly with different temperatures. From the overall law, it can be roughly divided into three stages: the first stage is the intense hygroscopic stage, the second stage is the stage of hygroscopic deceleration and the last stage is the stage of stable hygroscopic state. The difference in temperature is that it affects the sequence time of several rock samples reaching each stage, the duration of each stage, the water absorption rate of each stage and the water content at the gas equilibrium stage.
It can also be seen from Figure 5a that the environmental humidity is 80% RH, and the water absorption and expansion process of expansive mudstone mainly includes the following three stages under different temperature conditions:
- (1)
- Rapid growth stage. At the beginning of the test, the mudstone contains a lot of clay minerals, and the rock samples were dried before the test, so the water content of the rock samples is low, and the initial expansion potential is also large, so the water enters the rock at a faster speed to fill the primary pores and fractures; the curve at this stage is close to a straight line, and the existence time is also short. In particular, the two curves at higher temperatures are more pronounced.
- (2)
- Slow growth stage. After a period of water absorption, pores and fractures are filled with water, and the water absorption capacity of rock samples decreases significantly. With the increase in time, the growth rate of water content also begins to decrease until it drops to 0, and the curve becomes slow, which lasts for a long time.
- (3)
- Stable stage. At this stage, the water absorption of expansive mudstone is close to the saturation state under this condition, and the expansion deformation is very small until no expansion deformation occurs. At this time, it can be considered that the water absorption deformation of expansive mudstone reaches a stable stage. At this stage, the curve withdrawal is not obvious at the temperature of 10 °C.
According to the data in Figure 5b, the mudstone water absorption curve can be divided into two stages:
- (1)
- The acceleration of water absorption increases rapidly. In the initial state of this stage, the acceleration is small, and in the subsequent period of time, the value increases rapidly due to the activation energy of mudstone. There are significant differences in line changes under different ambient temperatures.
- (2)
- Steady phase of water absorption acceleration. At this stage, the acceleration value is basically stable and stays around 0 in value.
By analyzing the water content values of mudstone under the influence of constant humidity and different temperatures, it is found that the data obtained from three samples in each group have a certain discreteness. The water absorption in the first stage of water absorption is close, and the discreteness is small, and the data discreteness in the last two stages of the water absorption curve is significantly increased.
When the humidity field is constant at 80% RH and the test temperature is low, the discreteness of the water absorption data of the three samples in the same group is 6.4% when the temperature field is 10 °C. Later, with the increase in the test temperature field, the discreteness of data monitored by the samples in the same group gradually decreases, which is 5.2% and 5.7%, respectively, at 20 °C and 30 °C. When the temperature field increases to 40 °C, the discreteness value rapidly decreases to below 1.7%, a decrease of more than 70% compared with 30 °C. By analyzing the discreteness of mudstone water absorption, Figure 6 can be obtained.
Figure 6.
Discrete values of expansive mudstone water absorption. (a) Discreteness in different stages; (b) influence of temperature on discreteness.
By analyzing the reasons, it can be seen that the discrete value between the same group of mudstone water absorption decreases with the increase in temperature. The main influencing factors are as follows: firstly, the influence of micropores in mudstone samples. There are a large number of micropores in the rock sample itself, and the disturbance to them during sampling and sample preparation will increase the number of micropores. Under relatively low temperatures (such as 10 °C), the water in the micropores cannot easily flow to the outside world, so the discrete value of water absorption is large. Later, with the increase in the temperature field in the test, the pore water activity is greatly increased, its migration will be more stable, the free water content in the mudstone decreases rapidly and the discreteness of the data obtained is significantly reduced.
By fitting the data of mudstone water content change under different temperature environments, the influence characteristics of temperature on mudstone water content change are obtained. By deriving the water content time history curve of mudstone, the water absorption change rate of mudstone in different time periods can be obtained.
Formula (1) can be reached by fitting the water content growth curves of mudstone samples with time under different temperature conditions:
In the formula, x represents the water absorption evolution time of the dry sample under the storage environmental conditions; y represents the corresponding moisture content of the dried sample after water absorption at the time x point; y0 represents the maximum water absorption value of the sample; t1 indicates the parameter positively related to the time required for the sample to reach the stable stage of water absorption; A1 represents the amplitude of the water absorption curve, which is also the comprehensive correction coefficient of sum. Specifically, the larger the magnitude of A1, the greater the sum, and vice versa. The calculated fitting parameters are shown in Table 2.
Table 2.
Parameters of the water absorption fitting curve of rock samples (80% RH).
By analyzing the data in Table 2, the following conclusions can be drawn about the influence of temperature on mudstone water absorption:
- (1)
- Under the constant-humidity environment, the water absorption rate of mudstone gradually decreases with the increase in time, which is first fast, then slow, and finally tends to 0.
- (2)
- The water absorption rate of mudstone is obviously affected by the temperature field and increases with the increase in temperature.
The main reason is that the increase in temperature can greatly increase the activation energy of water, which is directly reflected in the increase in the water absorption rate of rock samples. At the same time, it can be seen that the higher the temperature is, the faster the water absorption rate of the mudstone sample decreases. In Figure 5, when the temperature field is 10 °C, the water absorption rate of the rock sample tends to 0 in 180 h, while when the temperature field is 40 °C, the water absorption rate of the rock sample gradually decreases to 0 in 60 h.
According to Figure 7, under the temperature of 10 °C, it takes about 180 h for the mudstone to reach the gas–liquid equilibrium state, and the water absorption reaches a stable state. The expansive mudstone is in a state of intense water absorption within 0~40 h, and the moisture absorption can be seen as a linear increase in this process. The water absorption rate began to decrease significantly within 40~180 h, and the water absorption rate showed a nonlinear deceleration in this process. After 160 h, the moisture absorption of expansive mudstone reaches the internal gas–liquid equilibrium state, the water absorption curve of rock basically tends to be flat and the water content of mudstone remains in a stable state and essentially does not increase.
Figure 7.
Effect of temperature on moisture absorption of expansive mudstone.
3.2. Analysis of Influence Law of Temperature on Water Absorption Expansion Rate
3.2.1. Development Law of Expansion Rate Under Different Temperatures
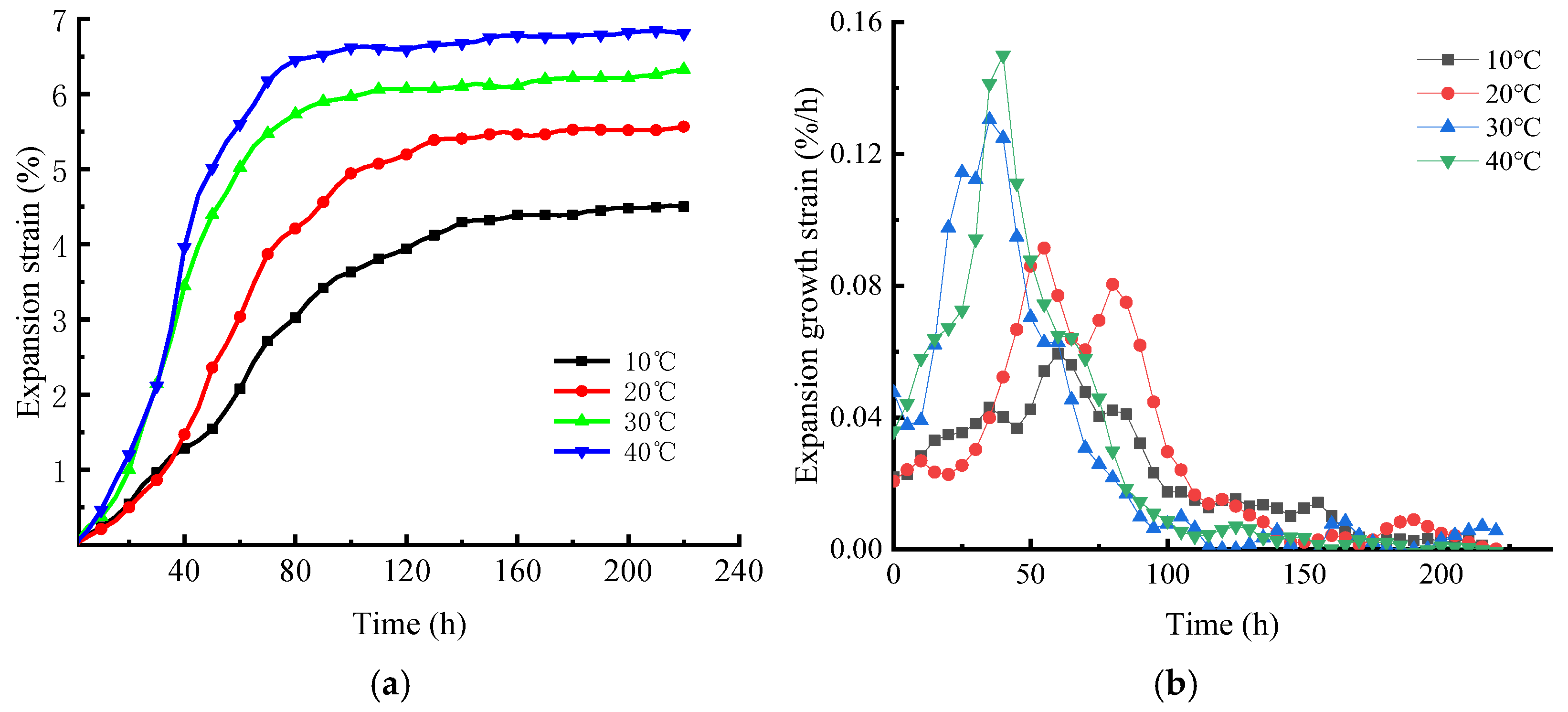
The experimental data of the expansion rate of expansive mudstone under the same humidity and different temperatures are sorted out, and its expansion characteristic curve is obtained. The axial expansion characteristics of mudstone under different temperature environments are shown in Figure 8.
Figure 8.
Relationship between expansion strain and time under different ambient temperatures. (a) Time history curve; (b) growth strain of expansion rate.
The expansive mudstone will fully absorb water in the constant temperature and humidity curing box until it enters the dynamic equilibrium state and reaches the saturation state under the environmental conditions. It can be seen from the figure that with the increase in curing time, the expansive mudstone specimen has an obvious expansion change process in the moisture absorption process, which can be roughly divided into two stages:
- (1)
- The expansion rate derivative increase. At this stage, the water intrudes into the rock fissures, resulting in the rapid expansion of the expansive mudstone specimen. The main reason is that the water absorption and expansion of clay minerals in the rock make the rock expand macroscopically. The analysis shows that in the initial stage of absorption and moisture absorption of expansive rock, there are a large number of pores and fissures in the expansive mudstone, which makes it easy for water molecules to quickly enter the rock specimen and react with the clay components therein, resulting in rapid expansion of the rock specimen.
- (2)
- The expansion strain derivative decrease. The analysis shows that before the expansion of the expanded mudstone stops and reaches the saturated water content, the cracks in the rock sample are filled, which prevents the entry of water molecules, thus leading to a significant reduction in the expansion rate of the mudstone. The pores in the swelling rock reach a dynamic saturation stage, and its swelling strain remains at a relatively stable value without any change.
During the maintenance of expansive mudstone, the cracks of mudstone are produced with the water absorption and expansion of mudstone. Through the observation of the side of the specimen, it is found that most of the cracks are connected with the bottom crack to form a through crack. The fracture development stage is mostly flaky or massive fractures, accompanied by the formation of debris, which is formed by the cement failure and component particle abscission in mudstone.
By deriving the water absorption and expansion curve of mudstone in Figure 8a, the water absorption and expansion strain of mudstone at different temperatures with constant humidity of 80% RH can be obtained, as shown in Figure 8b. From the figure, it can be clearly seen that the expansion rate of mudstone changes with time, first increasing, then decreasing, and then tends to 0. In addition, the temperature has an obvious influence on its expansion strain. When the temperature is 10 °C, the maximum expansion strain of mudstone is 0.06; when the temperature rises to 40 °C, the maximum expansion strain of mudstone is 0.16, with an increase of more than 170%. The data of mudstone expansion deformation are summarized in Table 3.
Table 3.
Relative deformation of expansive mudstone after water absorption.
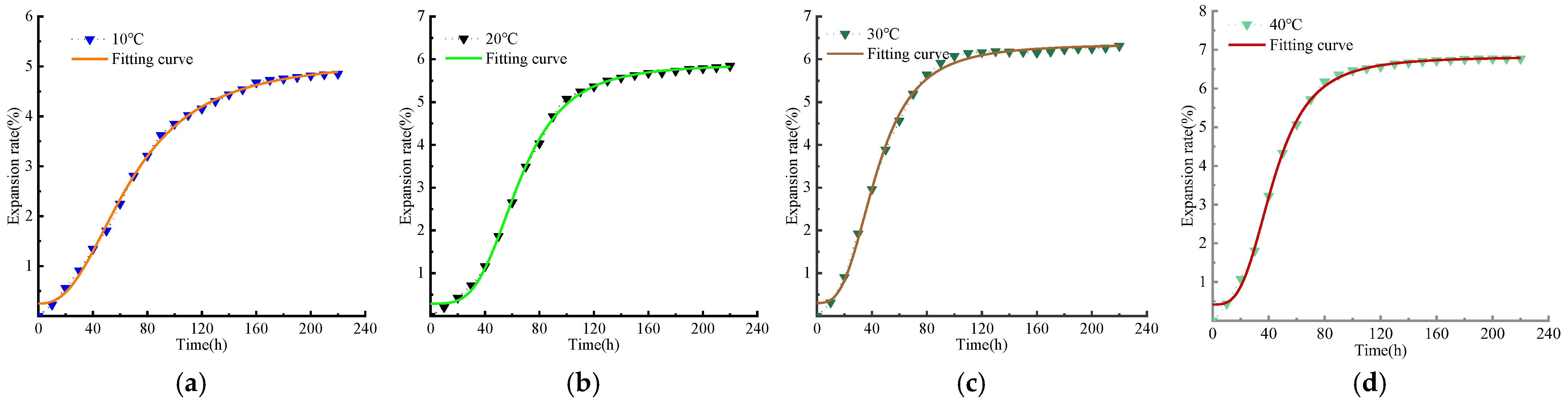
According to the expansion characteristics of expansive rock, the variation law of expansion strain with time is analyzed as follows:
In the formula, a and b are experimental parameters related to the temperature of the rock test, and c refers to parameters related to rock properties. t0 is the time threshold of expansion strain. The results are shown in Figure 9. The fitting results are in good agreement with the experimental results. The fitting-related parameters are listed in Table 4.
Figure 9.
Time history curve fitting of the expansion rate at different ambient temperatures. (a) T = 10 °C; (b) T = 20 °C; (c) T = 30 °C; (d) T = 40 °C.
Table 4.
Fitting parameters of the water absorption test of expansive mudstone.
According to Figure 9 and Table 4, the water absorption expansion rate and fitting parameters of mudstone under constant humidity field and different temperature control conditions can be analyzed, and the following conclusions can be obtained:
- (1)
- When the humidity is kept at 80% RH, under different temperature control conditions, the maximum value of R2 in the fitting parameters obtained by fitting the mudstone expansion time history curve according to Equation (2) is 0.9962, while the minimum value is 0.9921, and the average value is 0.9946, indicating that the formula accurately reflects the water absorption and expansion characteristics of mudstone under constant humidity and variable temperature.
- (2)
- By analyzing the numerical change in fitting parameter a, it can be seen that under constant humidity, for mudstone, a increases with the increase in temperature, and its growth trend is linear.
- (3)
- By analyzing the numerical change of fitting parameter b, it can be seen that in the constant humidity, for mudstone, a increases with the increase in temperature, and b affects the expansion rate and rate of mudstone in this state.
- (4)
- t0 characterizes the time corresponding to the first stage in the mudstone water absorption and expansion time history curve and analyzes the fitted value. When the temperature is low, it becomes smaller. This is because the activity of water molecules is large when the temperature is high, which is consistent with the mudstone water absorption characteristics.
3.2.2. Unsteady Expansion Law of Rock Considering Time Effect
Adachi [26] puts forward the modified one-dimensional swelling constitutive relationship of mudstone water absorption as follows:
In the formula, is the final expansion strain of rock, is the axial expansion strain, is the maximum expansion pressure and is the expansion pressure.
According to the above theory and the data obtained from mudstone test, it can be considered that:
In the formula, is the Poisson ratio, and is the final expansion dependent variable.
Considering the unsteady expansion of rock water absorption, the one-dimensional unsteady expansion formula can be modified as follows:
In the formula, b and c are experimental parameters, which are related to the properties of rocks.
Based on this, Wittke’s three-dimensional unsteady expansion theory can be modified as follows:
In the formula, is the volume expansion strain, is the volume expansion stress, is the maximum volumetric expansion stress and is the maximum volume expansion strain.
Based on the above data, it can be seen that the expansion of mudstone under a high-temperature environment is higher [27], and the time to reach the stable stage of expansion is shorter. The main reason is that water molecules have a better activity, faster migration rate and faster reaction with clay minerals at higher temperatures, so it takes less time for the expansion rate to reach the stable stage at higher temperatures.
3.3. Influence of Temperature on Mechanical Properties of Mudstone
The uniaxial compressive test stress–strain curve of expansive mudstone is obtained through the water absorption test under constant humidity and different temperatures, as shown in Figure 10. Different temperature environments correspond to different water contents of rock samples. With the increase in water content, the curve characteristics are different.
Figure 10.
Hygroscopic total stress–strain curve of rock under different temperatures.
It can be seen from Figure 10 that the expansive mudstone has significantly different mechanical properties and mechanical parameters under different water content conditions. According to the change characteristics of the stress–strain curve, it can be roughly divided into four stages: compaction, elasticity, yield and failure.
In the compaction stage, the stress–strain curve of mudstone is concave, and the difference between different temperatures is significant. The concave degree of the sample with lower temperature is not obvious, and the concave degree of the sample with a higher temperature field is lower. It was determined that the reason is that water molecules fill the pores and bear part of the pore pressure. The compaction stage is longer before the temperature of 30 °C and shorter after 30 °C.
In the elastic stage, the stress–strain of mudstone is linear, and the slope of the test curve after water absorption of rock samples at different temperatures is significantly different. The slope of the straight line corresponding to the samples at different temperatures is quite different, which indicates that the deformation resistance changes. As the water test temperature increases, the time of the compaction phase of the curve increases, and the elastic phase appears later; that is, the average elastic modulus decreases. The reason is the late diagenesis time of expansive mudstone, the cementation degree is poor, the internal defects are many, the defect development degree is different at different water temperatures and the structure breaks during loading.
The yield stage is shorter when the temperature is low. It can also be seen from Figure 10 that the mudstone sample has an obvious yield platform near the peak point under the action of low temperature. This indicates that the development degree of pores and defects in the rock is low when the ambient temperature is low. The higher the temperature is, the higher the development degree of fractures and defects is, and the less obvious the yield stage of the sample is.
In the post-peak stage, when the strength reaches the peak value, the stress drops sharply. At a low temperature, the mudstone shows brittle failure. With the increase in ambient temperature, its failure mode begins to transition to plastic failure.
It can be seen from Figure 11 that when the ambient temperature is less than 30 °C, the corresponding water content of the rock sample is less than 6.7%, and the increase in the average water content of the peak stress decreases nearly linearly. The stress value decreases from 16.42 MPa when the temperature is 20 °C and the water content of the rock sample is 5.23% to 10.81 mpa when the temperature is 30 °C, a decrease of 34.17%. Within the temperature range of 30 °C~40 °C, the water content of the mudstone sample continues to increase, and its peak stress continues to decrease linearly. Compared with the previous stage, the amplitude and rate of peak stress decrease significantly. When the water content of the sample exceeds 7%, the peak stress of the corresponding rock sample decreases sharply. It was determined that the reason for this is that the continuous development of the crack makes the initial compressive strength decrease sharply.
Figure 11.
Evolution law of mechanical parameters of weathering samples. (a) Uniaxial compressive strength; (b) strain; (c) modulus of elasticity.
In the process of increasing the ambient temperature, the water migration in the rock sample is more active [28], and the continuous development of pores is partially connected as fractures, which aggravates the deterioration of the rock sample structure. At the same time, the development of fractures makes it easier for water to invade the rock sample, leading to the destruction of the internal structure of the sample.
Under the constant humidity of 80% RH and different temperatures, the moisture in the air is fully absorbed after sufficient time. At the temperature of 10 °C, the moisture content at the end of the test is 7.01%. At this time, the compressive strength of the mudstone sample is 13.71 MPa, and the corresponding elastic modulus is 86.84 MPa. With the increase in ambient temperature, when the temperature reaches 20 °C, the water content at the end of the test is 8.11%, the rock compressive strength is 12.68 MPa and the corresponding elastic modulus is 74.15 mpa. Based on the experimental data of 30 °C and 40 °C, the following conclusions can be drawn: the increase in temperature will increase the water content, reduce the compressive strength and reduce the corresponding elastic modulus of expansive rock under the same test conditions [29].
With the increase in water content, the destructive performance of expansive mudstone changes, microcracks appear on the surface of the sample and the integrity of the sample is damaged [30]. However, it is difficult to test the impact of the development of surface cracks on its mechanical properties, so this will not be discussed for the time being.
3.4. Discussion About Experimental Results
3.4.1. Main Characteristics of Mudstone Water Absorption
During the weathering test of mudstone, the moisture absorption of mudstone has the following characteristics under different temperature conditions:
- (1)
- Under the action of matrix suction and molecular motion, free water migrates along the connecting pores and fractures in the rock. What needs to be overcome is the flow resistance and gravity. The water molecules invading the rock sample will compress the gas in the original pore, which will increase the pore pressure, which will in turn lead to cavitation at the pore and fracture tip. On the other hand, the increase in pore pressure will also make the stress concentration at the crack tip and pore throat further promote the expansion of internal fractures in the original rock and increase the pore connectivity [31,32]. The new cracks further expand the water migration channel and improve the water absorption.
- (2)
- After mudstone absorbs water, the dissolution of cement weakens the cementation between rock structures. Due to the poor structure, the external water is more likely to invade the mudstone. The invaded water continues to react with clay minerals, destroying the structure of mudstone and forming new fissures.
- (3)
- The pore types of mudstone skeleton structure are mainly micro- and fine pores. After water absorption, the rock sample gradually reaches the saturation state. In this process, with uneven deformation, new fractures are formed in the rock, and some of them extend to the surface of the rock sample.
3.4.2. Influence of Temperature on Driving Force of Mudstone Water Absorption and Expansion
After the rock sample makes contact with the moisture in the air, it can absorb water continuously until it reaches dynamic equilibrium. The main driving force of this process is the interaction between water and clay mineral particles.
- (1)
- Adsorption of clay mineral particles
According to the electric double layer theory, clay mineral particle crystals expand into clay mineral crystals under the reaction of water, and a large number of bonded water films are formed on the surface of the clay mineral particles, which will significantly increase the particle size of the clay mineral particles [33]. Free water is gradually transformed into bound water under the adsorption of clay mineral particles, which leads to a decrease in pore water pressure. Under the dual influence of water head difference and matrix suction, nearby clay mineral particles promote the supplementation of free water in the distance, thus ensuring that the adsorption center can complete the adsorption of water.
- (2)
- Capillary action of soil particle pores
The surface tension of water is produced by the capillary action of pores in rock and soil mass. In high-humidity environments, water molecules in the air are attracted by capillarity and constantly migrate into the rock and fill the primary pores of the rock. With the expansion of clay mineral particle volume, the soil pore radius will decrease, which in turn will hinder the further infiltration of water [34].
The increase in temperature can greatly increase the hydration reaction rate of clay minerals in the rock and accelerate the movement of free water. This can be seen from the time history curve of water absorption. However, it can be found that the increase in temperature has limited impact on the water absorption rate. When the temperature rises from 10 °C to 20 °C, the total water absorption and water absorption rate of the rock are significantly increased. However, during the increase from 20 °C to 30 °C and from 30 °C to 40 °C, the growth rate and growth range decreased obviously.
3.4.3. Evolution Law of Expansion Pressure and Water Content Under Different Temperatures
Figure 12 shows the relationship between the evolution process of mudstone swelling force and water content.
Figure 12.
Law of expansion pressure and moisture content under different temperatures.
From the mesoscopic point of view, under the active action of hydrophilic particles in the mineral composition of expansive mudstone in high-humidity environments, water molecules penetrate into the rock sample and gradually fill the primary pores and fissures, resulting in a hydration reaction, which will lead to the reorganization of the internal structure of the mudstone. The shape of the curve varies greatly with the ambient temperature. The relationship curve between water content and expansion rate generally presents a “concave shape”, and the higher the temperature, the more obvious the concave shape [33]. The reason for its formation can be explained by the principle of molecular activation energy: that is, when the temperature is high, the corresponding water molecules are also active. External water can invade and fill the primary pores in the rock in a short time, and the sample will not expand until it reacts with the clay minerals in the mudstone. When the temperature is low, the activation energy of water molecules is also low, and its migration speed is also slow. “Progressive” is the main feature of water molecules filling pores. At the same time, with the change in rock structure, large-scale structural changes will occur only when the water absorption of rock reaches a limit value.
After the mudstone absorbs water, the expansion force presents a nonlinear growth trend with the increase in water absorption. It can be divided into two stages with the water content of 5% as the critical point. In the first stage, the water content is less than 5%, and the expansion force increases linearly with the increase in water content. The growth rate of the expansion force is not obvious, and the growth rate is slow. In the second stage, after the water content increases to 5%, the expansion force increases sharply, and the growth rate of expansion force is large. Water enters the interior through the pores between the aggregates on the surface of the mudstone. The shallow clay mineral aggregate of the rock sample rapidly expands with water (lamination cracking) and blocks the pores between the aggregates (pore collapse between the aggregates), resulting in a rapid decrease in the speed and quantity of water penetrating into the deep layer.
4. Conclusions
In this paper, in order to reveal the influence of the temperature field on the moisture absorption law of mudstone under the environment of the humidity field, through the independently designed and developed mudstone weathering test system, the moisture absorption evolution test of mudstone under different temperatures was carried out, the expansion characteristics during the test were observed and the mechanical tests were carried out, and the following conclusions were obtained:
- (1)
- The time history curve of mudstone water absorption can be divided into three stages and two stages according to the acceleration of water absorption. The effect of temperature is mainly reflected in the time required for mudstone samples to reach each stage, the duration of each stage, the water absorption rate of each stage and the water content to reach the gas equilibrium stage.
- (2)
- The time required to reach the dynamic equilibrium stage in the expansion process of mudstone under different relative humidity conditions mainly depends on the volume and mass of the rock samples, as well as the difference between the initial water content of the rock samples and the water content of the rock samples when they reach the dynamic equilibrium state. The maximum expansion rates of the samples were 4.1%, 5.3%, 6.2% and 6.8%.
- (3)
- The expansion of mudstone samples occurs in the process of increasing water content. The water content and expansion of mudstone samples corresponding to different temperatures are generally “concave”, but the shape varies greatly with the influence of temperature.
- (4)
- The mechanical tests show that the mechanical properties of mudstone decrease with the increase in ambient temperature, and the corresponding compressive strength decreases by 16~50%. The change in environmental humidity causes a change in the water content of expansive mudstone, which changes the structure and cementation degree of mudstone and then affects the mechanical properties of the rock. The linear degradation of uniaxial compressive strength of samples under different temperature environments is obvious, and the gradual expansion of peak strain indicates an increase in rock plasticity and a linear decrease in the elastic modulus.
Author Contributions
Conceptualization, W.Z.; methodology, H.Y.; validation, S.X.; data curation, visualization and writing—original draft preparation, L.M.; investigation, S.X.; formal analysis and writing—review and editing, all authors; supervision, project administration and funding acquisition, L.M., S.X. and M.X. All authors have read and agreed to the published version of the manuscript.
Funding
The work presented in this paper was supported by the National Natural Science Foundation of China (No. 51574223), the Natural Science Research Project of universities in Jiangsu Province by Jiangsu Provincial Department of Education (No. 22KJB130008 and 23KJD440001), the Natural Science Foundation Project of Nantong by Nantong Science and Technology Bureau (JC2023111), the Nantong Social Livelihood Science and Technology Plan Project (No. JCZ2022116 and MSZ2023108), the Natural Science Research of JCET (GYKY20213 and GYKY20235) and Teaching Reform Research Projects of JCET (GYJY202326, GYJY202328 and GYJY202418) by Jiangsu College of Engineering and Technology.
Data Availability Statement
The original contributions presented in this study are included in the article material. Further inquiries can be directed to the corresponding author.
Acknowledgments
The first author is grateful to all the co-authors for providing innovative ideas, the State Key Laboratory for Geomechanics and Deep Underground Engineering, China University of Mining and Technology for providing instruments to conduct the research, and Liangjia Coal Mine for providing geological data and rock cores.
Conflicts of Interest
The authors declare that they have no known competing financial interests or personal relationships that could have appeared to influence the work reported in this paper.
References
- Hu, D.; Li, J.; Zhou, H.; Lu, J.; Ma, D.; Zhang, F. Gas Permeability Evolution of Granite under Confining Pressure Unloading Tests. Eur. J. Environ. Civ. Eng. 2019, 5, 1915–1928. [Google Scholar] [CrossRef]
- Zhang, D.; Chen, A.; Xiong, D.; Liu, G. Effect of Moisture and Temperature Conditions on the Decay Rate of a Purple Mudstone in Southwestern China. Geomorphology 2013, 182, 125–132. [Google Scholar] [CrossRef]
- Yadav, S.; Saldana, C.; Murthy, T.G. Experimental Investigations on Deformation of Soft Rock During Cutting. Int. J. Rock Mech. Min. Sci. 2018, 105, 123–132. [Google Scholar] [CrossRef]
- Zhou, Z.; Cai, X.; Cao, W.; Li, X.; Xiong, C. Influence of Water Content on Mechanical Properties of Rock in Both Saturation and Drying Processes. Rock Mech. Rock Eng. 2016, 49, 3009–3025. [Google Scholar] [CrossRef]
- Zhang, Z.; Cui, W.; Liu, Z.; Liu, W.; Xi, B.; Chen, M. Study on the Cracking Mechanism of Strongly Weathered Purple Mudstone under Wetting and Drying Effect through Experiments and Molecular Dynamics Simulation. Constr. Build. Mater. 2023, 403, 133104. [Google Scholar] [CrossRef]
- Shen, B. Coal Mine Roadway Stability in Soft Rock: A Case Study. Rock Mech. Rock Eng. 2013, 47, 2225–2238. [Google Scholar] [CrossRef]
- He, M.-C.; Fang, Z.-J.; Zhang, P. Theoretical Studies on the Extrinsic Defects of Montmorillonite in Soft Rock. Mod. Phys. Lett. B 2011, 23, 2933–2941. [Google Scholar] [CrossRef]
- Huang, S.; Xia, K.; Yan, F.; Feng, X. An Experimental Study of the Rate Dependence of Tensile Strength Softening of Longyou Sandstone. Rock Mech. Rock Eng. 2010, 43, 677–683. [Google Scholar] [CrossRef]
- Hassanzadeh, M. Fracture Mechanical Properties of Rocks and Mortar/Rock Interfaces. MRS Proc. 2011, 370, 377. [Google Scholar] [CrossRef]
- Areias, P.; Rabczuk, T.; Dias-da-Costa, D. Element-Wise Fracture Algorithm Based on Rotation of Edges. Eng. Fract. Mech. 2013, 110, 113–137. [Google Scholar] [CrossRef]
- Wild, K.M.; Wymann, L.P.; Zimmer, S.; Thoeny, R.; Amann, F. Water Retention Characteristics and State-Dependent Mechanical and Petro-Physical Properties of a Clay Shale. Rock Mech. Rock Eng. 2014, 48, 427–439. [Google Scholar] [CrossRef]
- Higuchi, K.; Chigira, M.; Lee, D.-H.; Wu, J.-H. Rapid Weathering and Erosion of Mudstone Induced by Saltwater Migration near a Slope Surface. J. Hydrol. Eng. 2015, 20, C6014004. [Google Scholar] [CrossRef]
- Zou, L.; Håkansson, U.; Cvetkovic, V. Yield-Power-Law Fluid Propagation in Water-Saturated Fracture Networks with Application to Rock Grouting. Tunn. Undergr. Space Technol. 2020, 95, 103170. [Google Scholar] [CrossRef]
- Pham, Q.T.; Vales, F.; Malinsky, L.; Minh, D.N.; Gharbi, H. Effects of Desaturation-Resaturation on Mudstone. Phys. Chem. Earth 2007, 32, 646–655. [Google Scholar] [CrossRef]
- Wang, S.; Han, L.; Meng, Q.; Jin, Y.; Zhao, W. Water Absorption/Dehydration by NMR and Mechanical Response for Weakly Cemented Mudstones Subjected to Different Humidity Conditions. Bull. Eng. Geol. Environ. 2019, 79, 1275–1288. [Google Scholar] [CrossRef]
- Vales, F.; Minh, D.N.; Gharbi, H.; Rejeb, A. Experimental Study of the Influence of the Degree of Saturation on Physical and Mechanical Properties in Tournemire Shale (France). Appl. Clay Sci. 2004, 26, 197–207. [Google Scholar] [CrossRef]
- Doostmohammadi, R.; Moosavi, M.; Mutschler, T.; Osan, C. Influence of Cyclic Wetting and Drying on Swelling Behavior of Mudstone in South West of Iran. Environ. Geol. 2008, 58, 999–1009. [Google Scholar] [CrossRef]
- Zeng, Z.; Kong, L.; Wang, M.; Sayem, H.M. Assessment of Engineering Behaviour of an Intensely Weathered Swelling Mudstone under Full Range of Seasonal Variation and the Relationships among Measured Parameters. Can. Geotech. J. 2018, 55, 1837–1849. [Google Scholar] [CrossRef]
- Urai, J.L.; Spiers, C.J.; Zwart, H.J.; Lister, G.S. Weakening of Rock Salt by Water During Long-Term Creep. Nature 1986, 324, 554–557. [Google Scholar] [CrossRef]
- McKernan, R.; Mecklenburgh, J.; Rutter, E.; Taylor, K. Microstructural Controls on the Pressure-Dependent Permeability of Whitby Mudstone. Geol. Soc. Lond. Spec. Publ. 2017, 454, 39–66. [Google Scholar] [CrossRef]
- Göb, S.; Loges, A.; Nolde, N.; Bau, M.; Jacob, D.E.; Markl, G. Major and Trace Element Compositions (Including REE) of Mineral, Thermal, Mine and Surface Waters in SW Germany and Implications for Water–Rock Interaction. Appl. Geochem. 2013, 33, 127–152. [Google Scholar] [CrossRef]
- Deng, H.F.; Zhou, M.L.; Li, J.L.; Sun, X.S.; Huang, Y.L. Creep Degradation Mechanism by Water-Rock Interaction in the Red-Layer Soft Rock. Arab. J. Geosci. 2016, 9, 601. [Google Scholar] [CrossRef]
- Van Itterbeeck, J.; Horne, D.J.; Bultynck, P.; Vandenberghe, N. Stratigraphy and Palaeoenvironment of the Dinosaur-Bearing Upper Cretaceous Iren Dabasu Formation, Inner Mongolia, People’s Republic of China. Cretac. Res. 2005, 26, 699–725. [Google Scholar] [CrossRef]
- Tang, J.; Lan, T.; Lai, Y.; Li, M.; Ma, Q. Softening Mechanism and Characteristics of Mudstone after Absorbing Moisture. Appl. Clay Sci. 2024, 254, 107398. [Google Scholar] [CrossRef]
- Weichhold, J.; Gbureck, U.; Goetz-Neunhoeffer, F.; Hurle, K. Setting Mechanism of a CDHA Forming Alpha-TCP Cement Modified with Sodium Phytate for Improved Injectability. Materials 2019, 12, 2098. [Google Scholar] [CrossRef]
- Adachi, T.; Oka, F. An Elasto-Plastic Constitutive Model for Soft Rock with Strain Softening. Int. J. Numer. Anal. Methods Geomech. 1995, 19, 233–247. [Google Scholar] [CrossRef]
- Meng, L.; Han, L.; Zhu, H.; Dong, W.; Li, W. Study on the Influence of Formation Temperature on the Water Absorption and Weathering of Swelling Rock in Marine Coal Mines. KSCE J. Civ. Eng. 2021, 25, 4207–4220. [Google Scholar] [CrossRef]
- Xuegui, S.; Yanbin, L.; Yongkang, Y. A Research into Extra-Thick Compound Mudstone Roof Roadway Failure Mechanism and Security Control. Procedia Eng. 2011, 26, 516–523. [Google Scholar] [CrossRef][Green Version]
- Tang, S.-C.; Wang, J.-J.; Qiu, Z.-F.; Tan, Y.-M. Effects of Wet–Dry Cycle on the Shear Strength of a Sandstone–Mudstone Particle Mixture. Int. J. Civ. Eng. 2019, 17, 921–933. [Google Scholar] [CrossRef]
- Lenoir, N.; Bornert, M.; Desrues, J.; Bésuelle, P.; Viggiani, G. Volumetric Digital Image Correlation Applied to X-ray Microtomography Images from Triaxial Compression Tests on Argillaceous Rock. Strain 2007, 43, 193–205. [Google Scholar] [CrossRef]
- Schwartz, B.; Huffman, K.; Thornton, D.; Elsworth, D. The Effects of Mineral Distribution, Pore Geometry, and Pore Density on Permeability Evolution in Gas Shales. Fuel 2019, 257, 116005. [Google Scholar] [CrossRef]
- Gao, Q.-F.; Jrad, M.; Hattab, M.; Fleureau, J.-M.; Ameur, L.I. Pore Morphology, Porosity, and Pore Size Distribution in Kaolinitic Remolded Clays under Triaxial Loading. Int. J. Geomech. 2020, 20, 04020057. [Google Scholar] [CrossRef]
- Koralegedara, N.H.; Maynard, J.B. Chemical, Mineralogical and Textural Properties of the Kope Formation Mudstones: How They Affect Its Durability. Eng. Geol. 2017, 228, 312–322. [Google Scholar] [CrossRef]
- Ma, D.; Cai, X.; Zhou, Z.; Li, X. Experimental Investigation on Hydraulic Properties of Granular Sandstone and Mudstone Mixtures. Geofluids 2018, 2018, 9216578. [Google Scholar] [CrossRef]
Disclaimer/Publisher’s Note: The statements, opinions and data contained in all publications are solely those of the individual author(s) and contributor(s) and not of MDPI and/or the editor(s). MDPI and/or the editor(s) disclaim responsibility for any injury to people or property resulting from any ideas, methods, instructions or products referred to in the content. |
© 2024 by the authors. Licensee MDPI, Basel, Switzerland. This article is an open access article distributed under the terms and conditions of the Creative Commons Attribution (CC BY) license (https://creativecommons.org/licenses/by/4.0/).











