Review and Analysis of Electro-Magnetohydrodynamic Flow and Heat Transport in Microchannels
Abstract
1. Introduction
2. Fundamentals of Electrical Double Layers
3. Pressure-Driven Electrokinetic Flow
4. Thermophysical Phenomena
4.1. Main Effects of Joule Heating
- Capillary electrophoresis and disruption in bubble formations [100].
- Thermal end effects of the electroosmotic flow occurred in cooling reservoirs by pulling the cold fluid from the inlet reservoir and pushing the hot fluid into the outlet reservoir [101].
- Non-uniform cross-section and length and non-uniform cooling or heating.
4.2. Primary Effects of Viscous Dissipation
4.3. Effects of Thermal Radiation
5. Hydrodynamic Slip and Thermal Jump at Boundaries
Slip/Jump on Electrokinetic Flow
6. Theory of Electro-Hydrodynamic (EHD) Flow
6.1. Effects of Electric Fields on Rectangular Microchannel Flow
6.2. Effects of Electric Fields on Flow in Non-Rectangular Microchannels
7. Theory of Electro-Magneto-Hydrodynamic (EMHD) Flow
Effects of Both Electric and Magnetic Fields
8. Enhancing Microchannel Mixing and Separation
9. Mathematical Modeling and Governing Equations
9.1. Physical Formulation
9.2. Determination of Electrical Double Layer Potential
- Streamline, incompressible, and developed flow.
- Constant thermo-physical properties.
- The channel walls satisfy a constant heat flux.
- The symmetric condition with respect to the center axis for the geometry rectangular microchannel.
- Low zeta potential value for the applicability of the Debye–Hückel linearization approximation.
- The charge of the EDL follows the Boltzmann distribution.
9.3. Velocity Profile in Microchannel Flow
9.4. Temperature Profile
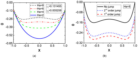
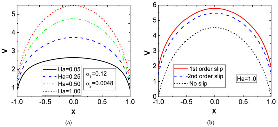
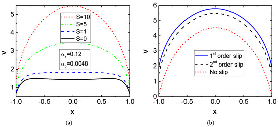
10. Results and Discussion
11. Conclusions
12. Scope for Future Works
- Electrical double layer potential in the general form should be considered in a future study. The Poisson–Boltzmann equation can predict the actual effects on the EDL potential at a high or low zeta potential.
- An analytical model in general form for microchannels can analyze the rotating non-Newtonian fluid, using slip and jump boundary conditions in the 2D EDL potential.
- In the non-Newtonian fluid EMHD flow in microchannels, velocity, temperature, and Nusselt number can be determined by the analytical model developed using second-order slip and jump boundary conditions.
- A closed-form mathematical model of transient EMHD flow in non-Newtonian power-law fluids can be established by considering viscous energy dissipation, Joule heating, and thermal radiation.
Author Contributions
Funding
Informed Consent Statement
Data Availability Statement
Conflicts of Interest
Nomenclature
| half-channel height (m) | |
| magnetic field (Tesla) | |
| Brinkman number, | |
| heat capacity at constant pressure per unit mass | |
| hydraulic mean diameter of the channel (m) | |
| Darcy factor, | |
| electron charge (C) | |
| externally applied electric field per unit length (Vm−1) | |
| volumetric electromagnetic body force (Nm−3) | |
| non-dimensional Joule heating parameter, | |
| dimensionless magnetic field (Hartmann number), | |
| convection energy transport coefficient | |
| I | current flow (mA) |
| coefficient of conduction | |
| dimensionless Debye–Hückel parameter, | |
| Knudsen number, | |
| Rosseland absorption coefficient (m−1) | |
| L | channel length (m) |
| ionic species concentration (m−3) | |
| bulk ionic concentration (m−3) | |
| flow behavior index | |
| thermal radiation parameter, | |
| Nusselt number based on hydraulic diameter, | |
| Peclet number, | |
| Prandtl number, | |
| radiative heat transfer per unit area (Wm−2) | |
| heat flux at the wall imposed externally (Wm−2) | |
| reciprocal of Debye length, | |
| permeability for porous medium of power law fluids | |
| Joule heating included as a volumetric heat generation rate (Wm−3) | |
| temperature (K) | |
| bulk average temperature (K) | |
| velocity vector (ms−1) | |
| speed along the y direction (ms−1) | |
| dimensionless speed along the y direction, | |
| Helmholtz–Smoluchowski (reference) speed (ms−1) | |
| x | transversed coordinate (m) |
| dimensionless transverse coordinate, | |
| Greek symbols | |
| thermal diffusivity | |
| non-dimensional first-order velocity slip, | |
| non-dimensional second-order velocity slip, | |
| non-dimensional first-order temperature jump, | |
| non-dimensional second-order temperature jump, | |
| wall zeta potential (V) | |
| medium permittivity (CV−1m−1) | |
| free space permittivity (CV−1m−1) | |
| non-dimensional temperature, | |
| dimensionless bulk mean temperature, expressed in Equation (48) | |
| density of liquid (kgm−3) | |
| local volumetric net charge density (Cm−3) | |
| Debye length dimension (m) | |
| dynamic viscosity (kgm−1s−1) | |
| electrical double layer (EDL) potential (V) | |
| dimensionless EDL, | |
| dimensionless relative strength of pressure driven and electroosmotic actuation, | |
| electrical conductivity | |
| radiation heat transport (Stefan-Boltzmann) constant (Wm−2K−4) | |
| thermal accommodation coefficient | |
| momentum accommodation coefficient | |
| valance number of ions in the electrolyte, see Equation (14) | |
| Subscripts | |
| average | |
| c | creep |
| g | gas |
| w | wall |
| x | transverse coordinate |
| y | axial direction (along y axis) |
| z | transverse direction (along z axis) |
References
- Becker, H.; Gärtner, C. Polymer microfabrication methods for microfluidic analytical applications. Electrophoresis 2000, 21, 12–26. [Google Scholar] [CrossRef]
- Gravesen, P.; Branebjerg, J.A.; Jensen, O.S. Microfluidics—A review. J. Micromech. Microeng. 1993, 3, 168–182. [Google Scholar] [CrossRef]
- Nguyen, N.-T.; Wu, Z. Micromixers—A review. J. Micromech. Microeng. 2004, 15, R1–R16. [Google Scholar] [CrossRef]
- Ohno, K.-I.; Tachikawa, K.; Manz, A. Microfluidics: Applications for analytical purposes in chemistry and biochemistry. Electrophoresis 2008, 29, 4443–4453. [Google Scholar] [CrossRef] [PubMed]
- Ziaie, B.; Baldi, A.; Lei, M.; Gu, Y.; Siegel, R.A. Hard and soft micromachining for BioMEMS: Review of techniques and examples of applications in microfluidics and drug delivery. Adv. Drug Deliv. Rev. 2004, 56, 145–172. [Google Scholar] [CrossRef]
- Chakraborty, S. Electroosmotically driven capillary transport of typical non-Newtonian biofluids in rectangular microchannels. Anal. Chim. Acta 2007, 605, 175–184. [Google Scholar] [CrossRef]
- Ghosal, S. Lubrication theory for electro-osmotic flow in a microfluidic channel of slowly varying cross-section and wall charge. J. Fluid Mech. 2002, 459, 103–128. [Google Scholar] [CrossRef]
- Hardt, S.; Schönfeld, F. Microfluidic Technologies for Miniaturized Analysis Systems; Springer Science & Business Media: Berlin, Germany, 2007; ISBN 978-0-387-68424-6. [Google Scholar]
- Jian, Y.; Su, J.; Chang, L.; Liu, Q.; He, G. Transient electroosmotic flow of general Maxwell fluids through a slit microchannel. Z. Angew. Math. Phys. 2014, 65, 435–447. [Google Scholar] [CrossRef]
- Jian, Y.; Yang, L.; Liu, Q. Time periodic electro-osmotic flow through a microannulus. Phys. Fluids 2010, 22, 042001. [Google Scholar] [CrossRef]
- Jian, Y.-J.; Liu, Q.-S.; Yang, L.-G. AC electroosmotic flow of generalized Maxwell fluids in a rectangular microchannel. J. Non-Newton. Fluid Mech. 2011, 166, 1304–1314. [Google Scholar] [CrossRef]
- Pamme, N. Magnetism and microfluidics. Lab Chip 2006, 6, 24–38. [Google Scholar] [CrossRef]
- Hardt, S.; Schönfeld, F. Microfluidics: Fundamentals and Engineering Concepts; Springer: Berlin/Heidelberg, Germany, 2007. [Google Scholar]
- Hua, S.Z.; Sachs, F.; Yang, D.X.; Chopra, H.D. Microfluidic Actuation Using Electrochemically Generated Bubbles. Anal. Chem. 2002, 74, 6392–6396. [Google Scholar] [CrossRef] [PubMed]
- Marmottant, P.; Hilgenfeldt, S. A bubble-driven microfluidic transport element for bioengineering. Proc. Natl. Acad. Sci. USA 2004, 101, 9523–9527. [Google Scholar] [CrossRef] [PubMed]
- Yeo, L.Y.; Friend, J.R. Surface Acoustic Wave Microfluidics. Annu. Rev. Fluid Mech. 2014, 46, 379–406. [Google Scholar] [CrossRef]
- Dasgupta, P.K.; Liu, S. Auxiliary Electroosmotic Pumping in Capillary Electrophoresis. Anal. Chem. 1994, 66, 3060–3065. [Google Scholar] [CrossRef]
- Li, X.-X.; Yin, Z.; Jian, Y.-J.; Chang, L.; Su, J.; Liu, Q.-S. Transient electro-osmotic flow of generalized Maxwell fluids through a microchannel. J. Non-Newton. Fluid Mech. 2012, 187, 43–47. [Google Scholar] [CrossRef]
- Yao, S.; Santiago, J.G. Porous glass electroosmotic pumps: Theory. J. Colloid Interface Sci. 2003, 268, 133–142. [Google Scholar] [CrossRef]
- Harrison, D.J.; Fluri, K.; Seiler, K.; Fan, Z.; Effenhauser, C.S.; Manz, A. Micromachining a miniaturized capillary electrophoresis-based chemical analysis system on a chip. Science 1993, 261, 895–897. [Google Scholar] [CrossRef] [PubMed]
- Santiago, J.G. Electroosmotic Flows in Microchannels with Finite Inertial and Pressure Forces. Anal. Chem. 2001, 73, 2353–2365. [Google Scholar] [CrossRef]
- Söderman, O.; Jönsson, B. Electro-osmosis: Velocity profiles in different geometries with both temporal and spatial resolution. J. Chem. Phys. 1996, 105, 10300–10311. [Google Scholar] [CrossRef]
- Shoji, S.; Nakagawa, S.; Esashi, M. Micropump and sample-injector for integrated chemical analyzing systems. Sens. Actuators A Phys. 1990, 21, 189–192. [Google Scholar] [CrossRef]
- Iverson, B.; Garimella, S.V. Recent advances in microscale pumping technologies: A review and evaluation. Microfluid. Nanofluidics 2008, 5, 145–174. [Google Scholar] [CrossRef]
- Laser, D.J.; Santiago, J.G. A review of micropumps. J. Micromech. Microeng. 2004, 14, R35–R64. [Google Scholar] [CrossRef]
- Chakraborty, S. Dynamics of capillary flow of blood into a microfluidic channel. Lab Chip 2005, 5, 421–430. [Google Scholar] [CrossRef] [PubMed]
- Culbertson, C.T.; Ramsey, R.S.; Ramsey, J.M. Electroosmotically Induced Hydraulic Pumping on Microchips: Differential Ion Transport. Anal. Chem. 2000, 72, 2285–2291. [Google Scholar] [CrossRef] [PubMed]
- Dasgupta, P.K.; Liu, S. Electroosmosis: A Reliable Fluid Propulsion System for Flow Injection Analysis. Anal. Chem. 1994, 66, 1792–1798. [Google Scholar] [CrossRef]
- Burgreen, D.; Nakache, F.R. Electrokinetic Flow in Ultrafine Capillary Slits. J. Phys. Chem. 1964, 68, 1084–1091. [Google Scholar] [CrossRef]
- Chen, X.; Toh, K.; Chai, J.; Yang, C. Developing pressure-driven liquid flow in microchannels under the electrokinetic effect. Int. J. Eng. Sci. 2004, 42, 609–622. [Google Scholar] [CrossRef]
- Hetsroni, G.; Mosyak, A.; Pogrebnyak, E.; Yarin, L. Fluid flow in micro-channels. Int. J. Heat Mass Transf. 2005, 48, 1982–1998. [Google Scholar] [CrossRef]
- Mala, G.M.; Li, D.; Dale, J. Heat transfer and fluid flow in microchannels. Int. J. Heat Mass Transf. 1997, 40, 3079–3088. [Google Scholar] [CrossRef]
- Mala, G.M.; Li, D.; Werner, C.; Jacobasch, H.-J.; Ning, Y. Flow characteristics of water through a microchannel between two parallel plates with electrokinetic effects. Int. J. Heat Fluid Flow 1997, 18, 489–496. [Google Scholar] [CrossRef]
- Ngoma, G.D.; Erchiqui, F. Pressure gradient and electroosmotic effects on two immiscible fluids in a microchannel between two parallel plates. J. Micromech. Microeng. 2005, 16, 83–91. [Google Scholar] [CrossRef]
- Yang, J.; Kwok, D.Y. Effect of liquid slip in electrokinetic parallel-plate microchannel flow. J. Colloid Interface Sci. 2003, 260, 225–233. [Google Scholar] [CrossRef]
- Yang, C.; Li, D. Analysis of electrokinetic effects on the liquid flow in rectangular microchannels. Colloids Surf. A Physicochem. Eng. Asp. 1998, 143, 339–353. [Google Scholar] [CrossRef]
- Arulanandam, S.; Li, D. Liquid transport in rectangular microchannels by electroosmotic pumping. Colloids Surf. A Physicochem. Eng. Asp. 2000, 161, 89–102. [Google Scholar] [CrossRef]
- Chen, X.Y.; Toh, K.C.; Yang, C.; Chai, J.C. Numerical Computation of Hydrodynamically and Thermally Developing Liquid Flow in Microchannels With Electrokinetics Effects. J. Heat Transf. 2004, 126, 70–75. [Google Scholar] [CrossRef]
- Erickson, D.; Li, D. Streaming Potential and Streaming Current Methods for Characterizing Heterogeneous Solid Surfaces. J. Colloid Interface Sci. 2001, 237, 283–289. [Google Scholar] [CrossRef]
- Soong, C.Y.; Wang, S.H. Theoretical analysis of electrokinetic flow and heat transfer in a microchannel under asymmetric boundary conditions. J. Colloid Interface Sci. 2003, 265, 202–213. [Google Scholar] [CrossRef]
- Yang, C.; Li, D. Electrokinetic Effects on Pressure-Driven Liquid Flows in Rectangular Microchannels. J. Colloid Interface Sci. 1997, 194, 95–107. [Google Scholar] [CrossRef]
- Yang, C.; Li, D.; Masliyah, J.H. Modeling forced liquid convection in rectangular microchannels with electrokinetic effects. Int. J. Heat Mass Transf. 1998, 41, 4229–4249. [Google Scholar] [CrossRef]
- Yang, R.-J.; Fu, L.-M.; Hwang, C.-C. Electroosmotic Entry Flow in a Microchannel. J. Colloid Interface Sci. 2001, 244, 173–179. [Google Scholar] [CrossRef][Green Version]
- Yang, C.; Ooi, K.; Wong, T.; Masliyah, J.H. Frequency-dependent laminar electroosmotic flow in a closed-end rectangular microchannel. J. Colloid Interface Sci. 2004, 275, 679–698. [Google Scholar]
- Luo, W.-J.; Pan, Y.-J.; Yang, R.-J. Transient analysis of electro-osmotic secondary flow induced by dc or ac electric field in a curved rectangular microchannel. J. Micromech. Microeng. 2004, 15, 463–473. [Google Scholar] [CrossRef]
- Yang, J.; Kwok, D.Y. Analytical treatment of electrokinetic microfluidics in hydrophobic microchannels. Anal. Chim. Acta 2004, 507, 39–53. [Google Scholar] [CrossRef]
- Kang, Y.; Ooi, K.T.; Yang, C.; Wong, T.N. Frequency-dependent velocity and vorticity fields of electro-osmotic flow in a closed-end cylindrical microchannel. J. Micromech. Microeng. 2004, 15, 301–312. [Google Scholar]
- Jayaraj, S.; Kang, S.; Suh, Y.K. A review on the analysis and experiment of fluid flow and mixing in micro-channels. J. Mech. Sci. Technol. 2007, 21, 536–548. [Google Scholar] [CrossRef]
- West, J.; Karamata, B.; Lillis, B.; Gleeson, J.P.; Alderman, J.; Collins, J.K.; Lane, W.; Mathewson, A.; Berney, H. Application of magnetohydrodynamic actuation to continuous flow chemistry. Lab Chip 2002, 2, 224–230. [Google Scholar] [CrossRef]
- Weston, M.C.; Gerner, M.D.; Fritsch, I. Magnetic Fields for Fluid Motion. Anal. Chem. 2010, 82, 3411–3418. [Google Scholar] [CrossRef]
- Yi, M.; Qian, S.; Bau, H.H. A magnetohydrodynamic chaotic stirrer. J. Fluid Mech. 2002, 468, 153–177. [Google Scholar] [CrossRef]
- Jang, J.; Lee, S.S. Theoretical and experimental study of MHD (magnetohydrodynamic) micropump. Sens. Actuators A Phys. 2000, 80, 84–89. [Google Scholar] [CrossRef]
- Jian, Y.; Si, D.; Chang, L.; Liu, Q. Transient rotating electromagnetohydrodynamic micropumps between two infinite microparallel plates. Chem. Eng. Sci. 2015, 134, 12–22. [Google Scholar] [CrossRef]
- Lemoff, A.V.; Lee, A. An AC magnetohydrodynamic micropump. Sens. Actuators B Chem. 2000, 63, 178–185. [Google Scholar] [CrossRef]
- Nguyen, B.; Kassegne, S.K. High-current density DC magenetohydrodynamics micropump with bubble isolation and release system. Microfluid. Nanofluidics 2008, 5, 383–393. [Google Scholar] [CrossRef]
- Xie, Z.-Y.; Jian, Y.-J. Rotating electromagnetohydrodynamic flow of power-law fluids through a microparallel channel. Colloids Surf. A Physicochem. Eng. Asp. 2017, 529, 334–345. [Google Scholar] [CrossRef]
- Yang, C.; Jian, Y.; Xie, Z.; Li, F. Heat transfer characteristics of magnetohydrodynamic electroosmotic flow in a rectangular microchannel. Eur. J. Mech.-B/Fluids 2018, 74, 180–190. [Google Scholar] [CrossRef]
- Debye, P.; Hückel, E. Zur theorie der elektrolyte. II. Phys. ZfT 1923, 24, 305–325. [Google Scholar]
- Reuss, F.F. Su run nouvel effet de l’électricité galvanique. Mem. Soc. Imp. Nat. Moscou 1809, 2, 327–337. [Google Scholar]
- Helmholtz, H.V. Studien über electrische Grenzschichten. Ann. Phys. 1879, 243, 337–382. [Google Scholar] [CrossRef]
- Smoluchowski, M.V. Handbuch der Elektrizität und des Magnetismus. Band II Barth-Verl. Leipz. 1921, 366–427. [Google Scholar] [CrossRef]
- Gouy, M. Sur la constitution de la charge électrique à la surface d’un electrolyte. J. Phys. Theor. Appl. 1910, 9, 457–468. [Google Scholar] [CrossRef]
- Chapman, D.L. LI. A contribution to the theory of electrocapillarity. Lond. Edinb. Dublin Philos. Mag. J. Sci. 1913, 25, 475–481. [Google Scholar] [CrossRef]
- Stern, O. Zur theorie der elektrolytischen doppelschicht. Z. Elektrochem. Angew. Phys. Chem. 1924, 30, 508–516. [Google Scholar]
- Cosgrove, T. Colloid Science: Principles, Methods and Applications; John Wiley & Sons: Hoboken, NJ, USA, 2010. [Google Scholar]
- Hunter, R.J. Foundations of Colloid Science; Oxford University Press: Oxford, UK, 2001. [Google Scholar]
- Hunter, R.J. Zeta Potential in Colloid Science: Principles and Applications; Academic Press: Cambridge, MA, USA, 2013. [Google Scholar]
- Andelman, D. Electrostatic Properties of Membranes: The Poisson-Boltzmann Theory; Elsevier: Amsterdam, The Netherlands, 1995. [Google Scholar]
- Wennerström, H. The Colloidal Domain: Where Physics, Chemistry, Biology, and Technology Meet; Wiley-VCH: Wehenheim, Germany, 1999. [Google Scholar]
- Bayraktar, T.; Pidugu, S.B. Characterization of liquid flows in microfluidic systems. Int. J. Heat Mass Transf. 2006, 49, 815–824. [Google Scholar] [CrossRef]
- Li, D. Electrokinetics in Microfluidics; Elsevier: Amsterdam, The Netherlands, 2004. [Google Scholar]
- Alizadeh, A.; Hsu, W.; Wang, M.; Daiguji, H. Electroosmotic flow: From microfluidics to nanofluidics. Electrophoresis 2021, 42, 834–868. [Google Scholar] [CrossRef]
- Neale, S.M. The electrical double layer, the electrokinetic potential, and the streaming current. Trans. Faraday Soc. 1946, 42, 473–478. [Google Scholar] [CrossRef]
- Wall, S. The history of electrokinetic phenomena. Curr. Opin. Colloid Interface Sci. 2010, 15, 119–124. [Google Scholar] [CrossRef]
- López-García, J.J.; Horno, J.; Grosse, C. Poisson–Boltzmann Description of the Electrical Double Layer Including Ion Size Effects. Langmuir 2011, 27, 13970–13974. [Google Scholar] [CrossRef]
- Sadeghi, A.; Saidi, M.H. Viscous dissipation effects on thermal transport characteristics of combined pressure and electroosmotically driven flow in microchannels. Int. J. Heat Mass Transf. 2010, 53, 3782–3791. [Google Scholar] [CrossRef]
- Jorgenson, J.W.; Lukacs, K.D. Capillary zone electrophoresis. Science 1983, 222, 266–274. [Google Scholar] [CrossRef]
- Jacobson, S.C.; Hergenroder, R.; Koutny, L.B.; Ramsey, J.M. High-Speed Separations on a Microchip. Anal. Chem. 1994, 66, 1114–1118. [Google Scholar] [CrossRef]
- Dehe, S.; Rofman, B.; Bercovici, M.; Hardt, S. Electro-osmotic flow enhancement over superhydrophobic surfaces. Phys. Rev. Fluids 2020, 5, 053701. [Google Scholar] [CrossRef]
- Maynes, D.; Webb, B.W. Fully-Developed Thermal Transport in Combined Pressure and Electro-Osmotically Driven Flow in Microchannels. J. Heat Transf. 2003, 125, 889–895. [Google Scholar] [CrossRef]
- Zade, A.Q.; Manzari, M.T.; Hannani, S.K. An analytical solution for thermally fully developed combined pressure-electroosmotically driven flow in microchannels. Int. J. Heat Mass Transf. 2007, 50, 1087–1096. [Google Scholar] [CrossRef]
- Keramati, H.; Sadeghi, A.; Saidi, M.H.; Chakraborty, S. Analytical solutions for thermo-fluidic transport in electroosmotic flow through rough microtubes. Int. J. Heat Mass Transf. 2016, 92, 244–251. [Google Scholar] [CrossRef]
- Bandopadhyay, A.; Goswami, P.; Chakraborty, S. Regimes of streaming potential in cylindrical nano-pores in presence of finite sized ions and charge induced thickening: An analytical approach. J. Chem. Phys. 2013, 139, 224503. [Google Scholar] [CrossRef]
- Chen, C.-H. Thermal transport characteristics of mixed pressure and electro-osmotically driven flow in micro-and nanochannels with Joule heating. J. Heat Transf. 2009, 131, 022401. [Google Scholar] [CrossRef]
- Ferrás, L.L.; Afonso, A.; Alves, M.; Nóbrega, J.; Pinho, F. Analytical and numerical study of the electro-osmotic annular flow of viscoelastic fluids. J. Colloid Interface Sci. 2013, 420, 152–157. [Google Scholar] [CrossRef]
- Yavari, H.; Sadeghi, A.; Saidi, M.H.; Chakraborty, S. Combined influences of viscous dissipation, non-uniform Joule heating and variable thermophysical properties on convective heat transfer in microtubes. Int. J. Heat Mass Transf. 2012, 55, 762–772. [Google Scholar] [CrossRef]
- Yoshida, H.; Kinjo, T.; Washizu, H. Analysis of electro-osmotic flow in a microchannel with undulated surfaces. Comput. Fluids 2016, 124, 237–245. [Google Scholar] [CrossRef]
- Babaie, A.; Sadeghi, A.; Saidi, M.H. Combined electroosmotically and pressure driven flow of power-law fluids in a slit microchannel. J. Non-Newton. Fluid Mech. 2011, 166, 792–798. [Google Scholar] [CrossRef]
- Chen, C.-H. Fully-developed thermal transport in combined slit microchannel electroosmotic and pressure driven flow of power-law fluids in microchannels. Int. J. Heat Mass Transf. 2012, 55, 2173–2183. [Google Scholar] [CrossRef]
- Deng, S.Y.; Jian, Y.; Bi, Y.; Chang, L.; Wang, H.; Liu, Q. Unsteady electroosmotic flow of power-law fluid in a rectangular microchannel. Mech. Res. Commun. 2012, 39, 9–14. [Google Scholar] [CrossRef]
- Tang, G.H.; Li, X.; He, Y.; Tao, W. Electroosmotic flow of non-Newtonian fluid in microchannels. J. Non-Newton. Fluid Mech. 2009, 157, 133–137. [Google Scholar] [CrossRef]
- Vakili, M.A.; Saidi, M.H.; Sadeghi, A. Thermal transport characteristics pertinent to electrokinetic flow of power-law fluids in rectangular microchannels. Int. J. Therm. Sci. 2014, 79, 76–89. [Google Scholar] [CrossRef]
- Vasu, N.; De, S. Electroosmotic flow of power-law fluids at high zeta potentials. Colloids Surf. A Physicochem. Eng. Asp. 2010, 368, 44–52. [Google Scholar] [CrossRef]
- Zhao, C.; Zholkovskij, E.; Masliyah, J.H.; Yang, C. Analysis of electroosmotic flow of power-law fluids in a slit microchannel. J. Colloid Interface Sci. 2008, 326, 503–510. [Google Scholar] [CrossRef]
- Choi, D.-S.; Yun, S.; Choi, W. An Exact Solution for Power-Law Fluids in a Slit Microchannel with Different Zeta Potentials under Electroosmotic Forces. Micromachines 2018, 9, 504. [Google Scholar] [CrossRef]
- Yu, S.; Ameel, T.A. Slip-flow heat transfer in rectangular microchannels. Int. J. Heat Mass Transf. 2001, 44, 4225–4234. [Google Scholar] [CrossRef]
- Chein, R.; Yang, Y.C.; Lin, Y. Estimation of Joule heating effect on temperature and pressure distribution in electrokinetic-driven microchannel flows. Electrophoresis 2006, 27, 640–649. [Google Scholar] [CrossRef]
- Tang, G.; Yan, D.; Yang, C.; Gong, H.; Chai, C.; Lam, Y. Joule heating and its effects on electrokinetic transport of solutes in rectangular microchannels. Sens. Actuators A Phys. 2007, 139, 221–232. [Google Scholar] [CrossRef]
- Xuan, X. Joule heating in electrokinetic flow. Electrophoresis 2008, 29, 33–43. [Google Scholar] [CrossRef] [PubMed]
- Hu, G.; Xiang, Q.; Fu, R.; Xu, B.; Venditti, R.; Li, D. Electrokinetically controlled real-time polymerase chain reaction in microchannel using Joule heating effect. Anal. Chim. Acta 2006, 557, 146–151. [Google Scholar] [CrossRef]
- Xuan, X.; Sinton, D.; Li, D. Thermal end effects on electroosmotic flow in a capillary. Int. J. Heat Mass Transf. 2004, 47, 3145–3157. [Google Scholar] [CrossRef]
- Cetin, B.; Li, D. Effect of Joule heating on electrokinetic transport. Electrophoresis 2008, 29, 994–1005. [Google Scholar] [CrossRef]
- Das, S.; Das, T.; Chakraborty, S. Modeling of coupled momentum, heat and solute transport during DNA hybridization in a microchannel in the presence of electro-osmotic effects and axial pressure gradients. Microfluid. Nanofluid 2006, 2, 37–49. [Google Scholar] [CrossRef]
- Elazhary, A.; Soliman, H. Analytical solutions of fluid flow and heat transfer in parallel-plate micro-channels at high zeta-potentials. Int. J. Heat Mass Transf. 2009, 52, 4449–4458. [Google Scholar] [CrossRef]
- Horiuchi, K.; Dutta, P. Joule heating effects in electroosmotically driven microchannel flows. Int. J. Heat Mass Transf. 2004, 47, 3085–3095. [Google Scholar] [CrossRef]
- Jain, A.; Jensen, M.K. Analytical modeling of electrokinetic effects on flow and heat transfer in microchannels. Int. J. Heat Mass Transf. 2007, 50, 5161–5167. [Google Scholar] [CrossRef]
- Su, J.; Jian, Y.; Chang, L. Thermally fully developed electroosmotic flow through a rectangular microchannel. Int. J. Heat Mass Transf. 2012, 55, 6285–6290. [Google Scholar] [CrossRef]
- Tang, G.Y.; Yang, C.; Chai, C.J.; Gong, H.Q. Modeling of Electroosmotic Flow and Capillary Electrophoresis with the Joule Heating Effect: The Nernst−Planck Equation versus the Boltzmann Distribution. Langmuir 2003, 19, 10975–10984. [Google Scholar] [CrossRef]
- Xuan, X.; Xu, B.; Sinton, D.; Li, D. Electroosmotic flow with Joule heating effects. Lab Chip 2004, 4, 230–236. [Google Scholar] [CrossRef] [PubMed]
- Xuan, X.; Li, D. Analytical study of Joule heating effects on electrokinetic transportation in capillary electrophoresis. J. Chromatogr. A 2005, 1064, 227–237. [Google Scholar] [CrossRef] [PubMed]
- Lizardi, J.J.; Ramos, E.; Mendez, F. Numerical Analysis for Temperature Changes in an Electro-Osmotic Flow in a Microchannel. J. Thermophys. Heat Transf. 2019, 33, 663–672. [Google Scholar] [CrossRef]
- Erickson, D.; Sinton, D.; Li, D. Joule heating and heat transfer in poly(dimethylsiloxane) microfluidic systems. Lab Chip 2003, 3, 141–149. [Google Scholar] [CrossRef] [PubMed]
- Petersen, N.J.; Nikolajsen, R.P.H.; Mogensen, K.B.; Kutter, J.P. Effect of Joule heating on efficiency and performance for microchip-based and capillary-based electrophoretic separation systems: A closer look. Electrophoresis 2004, 25, 253–269. [Google Scholar] [CrossRef]
- Xuan, X.; Li, D. Joule heating effects on peak broadening in capillary zone electrophoresis. J. Micromech. Microeng. 2004, 14, 1171–1180. [Google Scholar] [CrossRef]
- Tang, G.; Yan, D.; Yang, C.; Gong, H.; Chai, J.C.; Lam, Y.C. Assessment of Joule heating and its effects on electroosmotic flow and electrophoretic transport of solutes in microfluidic channels. Electrophoresis 2006, 27, 628–639. [Google Scholar] [CrossRef]
- Grushka, E.; McCormick, R.M.; Kirkland, J.J. Effect of temperature gradients on the efficiency of capillary zone electrophoresis separations. Anal. Chem. 1989, 61, 241–246. [Google Scholar] [CrossRef]
- Jones, A.E.; Grushka, E. Nature of temperature gradients in capillary zone electrophoresis. J. Chromatogr. A 1989, 466, 219–225. [Google Scholar] [CrossRef]
- Knox, J.H.; Grant, I.H. Miniaturisation in pressure and electroendosmotically driven liquid chromatography: Some theoretical considerations. Chromatographia 1987, 24, 135–143. [Google Scholar] [CrossRef]
- Knox, H.; McCormack, K.A. Temperature effects in capillary electrophoresis. 1: Internal capillary temperature and effect upon performance. Chromatographia 1994, 38, 207–214. [Google Scholar] [CrossRef]
- Mondal, M.; Misra, R.P.; De, S. Combined electroosmotic and pressure driven flow in a microchannel at high zeta potential and overlapping electrical double layer. Int. J. Therm. Sci. 2014, 86, 48–59. [Google Scholar] [CrossRef]
- Tripathi, D.; Sharma, A.; Bég, O.A. Joule heating and buoyancy effects in electro-osmotic peristaltic transport of aqueous nanofluids through a microchannel with complex wave propagation. Adv. Powder Technol. 2018, 29, 639–653. [Google Scholar] [CrossRef]
- Noreen, S.; Waheed, S.; Lu, D.C. Influence of Joule heating and wall slip in electroosmotic flow via peristalsis: Second law analysis. J. Braz. Soc. Mech. Sci. Eng. 2020, 42, 1–19. [Google Scholar] [CrossRef]
- Nayak, A.K.; Haque, A.; Weigand, B. Analysis of electroosmotic flow and Joule heating effect in a hydrophobic channel. Chem. Eng. Sci. 2018, 176, 165–179. [Google Scholar] [CrossRef]
- Shit, G.G.; Mondal, A.; Sinha, A.; Kundu, P. Electro-osmotic flow of power-law fluid and heat transfer in a micro-channel with effects of Joule heating and thermal radiation. Phys. A Stat. Mech. Its Appl. 2016, 462, 1040–1053. [Google Scholar] [CrossRef]
- Sánchez, S.; Ascanio, G.; Méndez, F.; Bautista, O. Theoretical analysis of non-linear Joule heating effects on an electroosmotic flow with patterned surface charges. Phys. Fluids 2018, 30, 112002. [Google Scholar] [CrossRef]
- Vargas, C.; Bautista, O.; Méndez, F. Effect of temperature-dependent properties on electroosmotic mobility at arbitrary zeta potentials. Appl. Math. Model. 2018, 68, 616–628. [Google Scholar] [CrossRef]
- Del Giudice, S.; Nonino, C.; Savino, S. Effects of viscous dissipation and temperature dependent viscosity in thermally and simultaneously developing laminar flows in microchannels. Int. J. Heat Fluid Flow 2006, 28, 15–27. [Google Scholar] [CrossRef]
- Morini, G.L. Viscous heating in liquid flows in micro-channels. Int. J. Heat Mass Transf. 2005, 48, 3637–3647. [Google Scholar] [CrossRef]
- Morini, G.L.; Spiga, M. The Role of the Viscous Dissipation in Heated Microchannels. J. Heat Transf. 2006, 129, 308–318. [Google Scholar] [CrossRef]
- Tso, C.P.; Mahulikar, S. The role of the Brinkman number in analysing flow transitions in microchannels. Int. J. Heat Mass Transf. 1999, 42, 1813–1833. [Google Scholar] [CrossRef]
- Tso, C.P.; Mahulikar, S. Experimental verification of the role of Brinkman number in microchannels using local parameters. Int. J. Heat Mass Transf. 2000, 43, 1837–1849. [Google Scholar] [CrossRef]
- Lawal, A.; Mujumdar, A.S. Viscous dissipation effects on thermal entrance heat transfer to power-law fluids in arbitrary cross-sectional ducts. Chem. Eng. J. 1989, 41, 57–66. [Google Scholar] [CrossRef]
- Xu, B.; Ooi, K.T.; Mavriplis, C.; E Zaghloul, M. Evaluation of viscous dissipation in liquid flow in microchannels. J. Micromech. Microeng. 2002, 13, 53. [Google Scholar] [CrossRef]
- Nonino, C.; Del Giudice, S.; Savino, S. Temperature-Dependent Viscosity and Viscous Dissipation Effects in Simultaneously Developing Flows in Microchannels With Convective Boundary Conditions. J. Heat Transf. 2006, 129, 1187–1194. [Google Scholar] [CrossRef]
- Nonino, C.; Del Giudice, S.; Savino, S. Temperature-Dependent Viscosity and Viscous Dissipation Effects in Microchannel Flows with Uniform Wall Heat Flux. Heat Transf. Eng. 2010, 31, 682–691. [Google Scholar] [CrossRef]
- Baranov, A.V.; Yunitskii, S.A. Influence of Dissipation on Heat Transfer During Flow of a Non-Newtonian Fluid in a Porous Channel. J. Eng. Phys. 2017, 90, 1003–1009. [Google Scholar] [CrossRef]
- Barletta, A. Fully developed laminar forced convection in circular ducts for power-law fluids with viscous dissipation. Int. J. Heat Mass Transf. 1996, 40, 15–26. [Google Scholar] [CrossRef]
- Chen, G.M.; Tso, C. Effects of viscous dissipation on forced convective heat transfer in a channel embedded in a power-law fluid saturated porous medium. Int. Commun. Heat Mass Transf. 2011, 38, 57–62. [Google Scholar] [CrossRef]
- Chiba, R.; Izumi, M.; Sugano, Y. An analytical solution to non-axisymmetric heat transfer with viscous dissipation for non-Newtonian fluids in laminar forced flow. Ingenieur-Archiv 2007, 78, 612008. [Google Scholar] [CrossRef]
- Kolitawong, C.; Kananai, N.; Giacomin, J.; Nontakaew, U. Viscous dissipation of a power law fluid in axial flow between isothermal eccentric cylinders. J. Non-Newton. Fluid Mech. 2011, 166, 133–144. [Google Scholar] [CrossRef]
- Lawal, A.; Mujumdar, A.S. The effects of viscous dissipation on heat transfer to power law fluids in arbitrary cross-sectional ducts. Wärme Stoffübertrag. 1992, 27, 437–446. [Google Scholar] [CrossRef]
- Tso, C.P.; Sheela-Francisca, J.; Hung, Y.-M. Viscous dissipation effects of power-law fluid flow within parallel plates with constant heat fluxes. J. Non-Newton. Fluid Mech. 2010, 165, 625–630. [Google Scholar] [CrossRef]
- Koo, J.; Kleinstreuer, C. Viscous dissipation effects in microtubes and microchannels. Int. J. Heat Mass Transf. 2004, 47, 3159–3169. [Google Scholar] [CrossRef]
- Koo, J.; Kleinstreuer, C. Liquid flow in microchannels: Experimental observations and computational analyses of microfluidics effects. J. Micromech. Microeng. 2003, 13, 568–579. [Google Scholar] [CrossRef]
- Tso, C.P.; Mahulikar, S. The use of the Brinkman number for single phase forced convective heat transfer in microchannels. Int. J. Heat Mass Transf. 1998, 41, 1759–1769. [Google Scholar] [CrossRef]
- Tunc, G.; Bayazitoglu, Y. Heat transfer in microtubes with viscous dissipation. Int. J. Heat Mass Transf. 2001, 44, 2395–2403. [Google Scholar] [CrossRef]
- Sheela-Francisca, J.; Tso, C.; Hung, Y.M.; Rilling, D. Heat transfer on asymmetric thermal viscous dissipative Couette–Poiseuille flow of pseudo-plastic fluids. J. Non-Newton. Fluid Mech. 2012, 169–170, 42–53. [Google Scholar] [CrossRef]
- Chee, Y.S.; Ting, T.W.; Hung, Y.M. Entropy generation of viscous dissipative flow in thermal non-equilibrium porous media with thermal asymmetries. Energy 2015, 89, 382–401. [Google Scholar] [CrossRef]
- Hung, Y.M.; Tso, C.P. Temperature Variations of Forced Convection in Porous Media for Heating and Cooling Processes: Internal Heating Effect of Viscous Dissipation. Transp. Porous Media 2008, 75, 319–332. [Google Scholar] [CrossRef]
- Hung, Y.-M.; Tso, C. Effects of viscous dissipation on fully developed forced convection in porous media. Int. Commun. Heat Mass Transf. 2009, 36, 597–603. [Google Scholar] [CrossRef]
- Mukherjee, S.; Biswal, P.; Chakraborty, S.; DasGupta, S. Effects of viscous dissipation during forced convection of power-law fluids in microchannels. Int. Commun. Heat Mass Transf. 2017, 89, 83–90. [Google Scholar] [CrossRef]
- Mah, W.H.; Hung, Y.M.; Guo, N. Entropy generation of viscous dissipative nanofluid flow in microchannels. Int. J. Heat Mass Transf. 2012, 55, 4169–4182. [Google Scholar] [CrossRef]
- Ting, T.W.; Hung, Y.M.; Guo, N. Entropy generation of viscous dissipative nanofluid flow in thermal non-equilibrium porous media embedded in microchannels. Int. J. Heat Mass Transf. 2015, 81, 862–877. [Google Scholar] [CrossRef]
- Ting, T.W.; Hung, Y.M.; Guo, N. Viscous dissipative forced convection in thermal non-equilibrium nanofluid-saturated porous media embedded in microchannels. Int. Commun. Heat Mass Transf. 2014, 57, 309–318. [Google Scholar] [CrossRef]
- Haddout, Y.; Lahjomri, J. The extended Graetz problem for a gaseous slip flow in micropipe and parallel-plate microchannel with heating section of finite length: Effects of axial conduction, viscous dissipation and pressure work. Int. J. Heat Mass Transf. 2015, 80, 673–687. [Google Scholar] [CrossRef]
- Jing, D.; Pan, Y.; Wang, X. Joule heating, viscous dissipation and convective heat transfer of pressure-driven flow in a microchannel with surface charge-dependent slip. Int. J. Heat Mass Transf. 2017, 108, 1305–1313. [Google Scholar] [CrossRef]
- Zanchini, E. Effect of viscous dissipation on mixed convection in a vertical channel with boundary conditions of the third kind. Int. J. Heat Mass Transf. 1998, 41, 3949–3959. [Google Scholar] [CrossRef]
- Şen, S.; Darici, S. Transient conjugate heat transfer in a circular microchannel involving rarefaction, viscous dissipation and axial conduction effects. Appl. Therm. Eng. 2017, 111, 855–862. [Google Scholar] [CrossRef]
- Lalami, A.A.; Afrouzi, H.H.; Moshfegh, A.; Omidi, M.; Javadzadegan, A. Investigation of nanofluid heat transfer in a microchannel under magnetic field via Lattice Boltzmann method: Effects of surface hydrophobicity, viscous dissipation, and Joule heating. J. Heat Transf. 2019, 141, 062403. [Google Scholar] [CrossRef]
- Rad, P.M.; Aghanajafi, C. The Effect of Thermal Radiation on Nanofluid Cooled Microchannels. J. Fusion Energy 2008, 28, 91–100. [Google Scholar]
- Cortell, R. Fluid flow and radiative nonlinear heat transfer over a stretching sheet. J. King Saud Univ.-Sci. 2014, 26, 161–167. [Google Scholar] [CrossRef]
- Farooq, M.; Khan, M.I.; Waqas, M.; Hayat, T.; Alsaedi, A. MHD stagnation point flow of viscoelastic nanofluid with non-linear radiation effects. J. Mol. Liq. 2016, 221, 1097–1103. [Google Scholar] [CrossRef]
- Gorla, R.S.R.; Bakier, A. Thermal analysis of natural convection and radiation in porous fins. Int. Commun. Heat Mass Transf. 2011, 38, 638–645. [Google Scholar] [CrossRef]
- López, A.; Ibáñez, G.; Pantoja, J.; Moreira, J.; Lastres, O. Entropy generation analysis of MHD nanofluid flow in a porous vertical microchannel with nonlinear thermal radiation, slip flow and convective-radiative boundary conditions. Int. J. Heat Mass Transf. 2017, 107, 982–994. [Google Scholar] [CrossRef]
- Kundu, B.; Bhanja, D.; Lee, K.-S. A model on the basis of analytics for computing maximum heat transfer in porous fins. Int. J. Heat Mass Transf. 2012, 55, 7611–7622. [Google Scholar] [CrossRef]
- Kundu, B.; Bhanja, D. An analytical prediction for performance and optimum design analysis of porous fins. Int. J. Refrig. 2011, 34, 337–352. [Google Scholar] [CrossRef]
- Das, R.; Kundu, B. Simultaneous estimation of heat generation and magnetic field in a radial porous fin from surface temperature information. Int. Commun. Heat Mass Transf. 2021, 127, 105497. [Google Scholar] [CrossRef]
- He, Y.; Shirazaki, M.; Liu, H.; Himeno, R.; Sun, Z. A numerical coupling model to analyze the blood flow, temperature, and oxygen transport in human breast tumor under laser irradiation. Comput. Biol. Med. 2005, 36, 1336–1350. [Google Scholar] [CrossRef]
- Pal, D.; Mondal, H. Influence of temperature-dependent viscosity and thermal radiation on MHD forced convection over a non-isothermal wedge. Appl. Math. Comput. 2009, 212, 194–208. [Google Scholar] [CrossRef]
- Pal, D.; Mondal, H. Influence of thermophoresis and Soret–Dufour on magnetohydrodynamic heat and mass transfer over a non-isothermal wedge with thermal radiation and Ohmic dissipation. J. Magn. Magn. Mater. 2013, 331, 250–255. [Google Scholar] [CrossRef]
- Sinha, A.; Shit, G. Electromagnetohydrodynamic flow of blood and heat transfer in a capillary with thermal radiation. J. Magn. Magn. Mater. 2014, 378, 143–151. [Google Scholar] [CrossRef]
- Nazeer, M.; Ali, N.; Ahmad, F.; Ali, W.; Saleem, A.; Ali, Z.; Sarfraz, A. Effects of radiative heat flux and joule heating on electro-osmotically flow of non-Newtonian fluid: Analytical approach. Int. Commun. Heat Mass Transf. 2020, 117, 104744. [Google Scholar] [CrossRef]
- Thompson, P.A.; Troian, S.M. A general boundary condition for liquid flow at solid surfaces. Nature 1997, 389, 360–362. [Google Scholar] [CrossRef]
- Helmholtz, H. Über Reibung Tropfbarer Flüssigkeiten: Von H. Helmholtz Und G.V. Piotrowski. (Mit 2 Taff.) (Aus d. XL. Bd. S. 607. 1860. Der Sitzgsber. Der Math-Nat. Cl. Der k. Ak. Der Wiss. Bes. Dbg); Hof-& Stts.-Druck: Singapore, 1860; p. 607. [Google Scholar]
- Ng, C.-O.; Sun, R. Pressure loss in channel flow resulting from a sudden change in boundary condition from no-slip to partial-slip. Phys. Fluids 2017, 29, 103603. [Google Scholar] [CrossRef]
- Shu, J.-J.; Teo, J.B.M.; Chan, W.K. Fluid Velocity Slip and Temperature Jump at a Solid Surface. Appl. Mech. Rev. 2017, 69, 020801. [Google Scholar] [CrossRef]
- Navier, C. Memoirs de l’Academie Royale Des Sciences de l’Institut de France; Academie Royale des Sciences de l’Institut de France: Paris, France, 1823; Volume 1. [Google Scholar]
- Leger, L.; Hervet, H.; Massey, G.; Durliat, E. Wall slip in polymer melts. J. Phys. Condens. Matter 1997, 9, 7719. [Google Scholar] [CrossRef]
- Neto, C.; Evans, D.; Bonaccurso, E.; Butt, H.-J.; Craig, V. Boundary slip in Newtonian liquids: A review of experimental studies. Rep. Prog. Phys. 2005, 68, 2859–2897. [Google Scholar] [CrossRef]
- Ala-Nissila, T.; Ferrando, R.; Ying, S.C. Collective and single particle diffusion on surfaces. Adv. Phys. 2002, 51, 949–1078. [Google Scholar] [CrossRef]
- Maxwell, J.C. VII. On stresses in rarified gases arising from inequalities of temperature. Philos. Trans. R. Soc. London 1879, 231–256. [Google Scholar] [CrossRef]
- Smoluchowski, M. Über den Temperatursprung bei Wärmeleitung in Gasen. Pisma Marian. Smoluchowskiego 1924, 1, 113–138. [Google Scholar]
- Deissler, R.G. An analysis of second-order slip flow and temperature-jump boundary conditions for rarefied gases. Int. J. Heat Mass Transf. 1964, 7, 681–694. [Google Scholar] [CrossRef]
- Karniadakis, G.E.M.; Beskok, A.; Gad-El-Hak, M. Micro Flows: Fundamentals and Simulation. Appl. Mech. Rev. 2002, 55, B61–B82. [Google Scholar] [CrossRef]
- Bataineh, K.M.; Moh’d A, A.-N. 2D Navier–Stokes simulations of microscale viscous pump with slip flow. J. Fluids Eng. 2009, 131, 051105. [Google Scholar] [CrossRef]
- Sharatchandra, M.C.; Sen, M.; Gad-El-Hak, M. Thermal Aspects of a Novel Viscous Pump. J. Heat Transf. 1998, 120, 99–107. [Google Scholar] [CrossRef]
- Cahill, D.G.; Ford, W.K.; Goodson, K.E.; Mahan, G.D.; Majumdar, A.; Maris, H.J.; Merlin, R.; Phillpot, S.R. Nanoscale thermal transport. J. Appl. Phys. 2003, 93, 793–818. [Google Scholar] [CrossRef]
- Pollack, G.L. Kapitza resistance. Rev. Mod. Phys. 1969, 41, 48–61. [Google Scholar] [CrossRef]
- Swartz, E.T.; Pohl, R.O. Thermal boundary resistance. Rev. Mod. Phys. 1989, 61, 605–668. [Google Scholar] [CrossRef]
- Kapitza, P.L. The study of heat transfer in helium II. J. Phys. (Mosc.) 1941, 4, 181. [Google Scholar]
- Gad-El-Hak, M. The Fluid Mechanics of Microdevices—The Freeman Scholar Lecture. J. Fluids Eng. 1999, 121, 5–33. [Google Scholar] [CrossRef]
- Colin, S.; Lalonde, P.; Caen, R. Validation of a Second-Order Slip Flow Model in Rectangular Microchannels. Heat Transf. Eng. 2004, 25, 23–30. [Google Scholar] [CrossRef]
- Colin, C.A.S. High-order boundary conditions for gaseous flows in rectangular microducts. Microscale Thermophys. Eng. 2001, 5, 41–54. [Google Scholar] [CrossRef]
- Spiga, G.L.M.M. Slip flow in rectangular microtubes. Microscale Thermophys. Eng. 1998, 2, 273–282. [Google Scholar] [CrossRef]
- Barron, R.F.; Wang, X.; Ameel, T.A.; Warrington, R.O. The Graetz problem extended to slip-flow. Int. J. Heat Mass Transf. 1997, 40, 1817–1823. [Google Scholar] [CrossRef]
- Barron, R.F.; Wang, X.; Warrington, R.O.; Ameel, T. Evaluation of the eigenvalues for the graetz problem in slip-flow. Int. Commun. Heat Mass Transf. 1996, 23, 563–574. [Google Scholar] [CrossRef]
- Ebert, W.A.; Sparrow, E.M. Slip Flow in Rectangular and Annular Ducts. J. Basic Eng. 1965, 87, 1018–1024. [Google Scholar] [CrossRef]
- Yang, J.; Kwok, D.Y. A New Method to Determine Zeta Potential and Slip Coefficient Simultaneously. J. Phys. Chem. B 2002, 106, 12851–12855. [Google Scholar] [CrossRef]
- Park, H.M.; Kim, T. Simultaneous estimation of zeta potential and slip coefficient in hydrophobic microchannels. Anal. Chim. Acta 2007, 593, 171–177. [Google Scholar] [CrossRef]
- Yang, J.; Kwok, D.Y. Time-dependent laminar electrokinetic slip flow in infinitely extended rectangular microchannels. J. Chem. Phys. 2003, 118, 354–363. [Google Scholar] [CrossRef]
- Tretheway, D.C.; Meinhart, C.D. Apparent fluid slip at hydrophobic microchannel walls. Phys. Fluids 2002, 14, L9–L12. [Google Scholar] [CrossRef]
- Jamaati, J.; Niazmand, H.; Renksizbulut, M. Pressure-driven electrokinetic slip-flow in planar microchannels. Int. J. Therm. Sci. 2010, 49, 1165–1174. [Google Scholar] [CrossRef]
- Soong, C.Y.; Hwang, P.W.; Wang, J.C. Analysis of pressure-driven electrokinetic flows in hydrophobic microchannels with slip-dependent zeta potential. Microfluid. Nanofluidics 2009, 9, 211–223. [Google Scholar] [CrossRef]
- Goswami, P.; Chakraborty, S. Energy Transfer through Streaming Effects in Time-Periodic Pressure-Driven Nanochannel Flows with Interfacial Slip. Langmuir 2009, 26, 581–590. [Google Scholar] [CrossRef]
- Jing, D.; Bhushan, B. Effect of boundary slip and surface charge on the pressure-driven flow. J. Colloid Interface Sci. 2013, 392, 15–26. [Google Scholar] [CrossRef]
- Tan, Z.; Qi, H.-T.; Jiang, X.-Y. Electroosmotic flow of Eyring fluid in slit microchannel with slip boundary condition. Appl. Math. Mech. 2014, 35, 689–696. [Google Scholar] [CrossRef]
- Bhattacharjee, S.; Mondal, M.; De, S. Effects of overlapping electric double layer on mass transport of a macro-solute across porous wall of a micro/nanochannel for power law fluid. Electrophoresis 2017, 38, 1301–1309. [Google Scholar] [CrossRef]
- Sun, Q.; Wu, Y.; Liu, L.; Wiwatanapataphee, B. Study of a Newtonian Fluid through Circular Channels with Slip Boundary Taking into Account Electrokinetic Effect. Abstr. Appl. Anal. 2013, 2013, 718603. [Google Scholar] [CrossRef]
- Yang, J.; Kwok, D.Y. Analytical treatment of flow in infinitely extended circular microchannels and the effect of slippage to increase flow efficiency. J. Micromech. Microeng. 2002, 13, 115–123. [Google Scholar] [CrossRef]
- Yang, J.; Kwok, D.Y. Microfluid flow in circular microchannel with electrokinetic effect and Navier’s slip condition. Langmuir 2003, 19, 1047–1053. [Google Scholar] [CrossRef]
- Zhu, J.; Chu, P.; Sui, J. Exact Analytical Nanofluid Flow and Heat Transfer Involving Asymmetric Wall Heat Fluxes with Nonlinear Velocity Slip. Math. Probl. Eng. 2018, 2018, 1–12. [Google Scholar] [CrossRef]
- Hooman, K.; Hooman, F.; Famouri, M. Scaling effects for flow in micro-channels: Variable property, viscous heating, velocity slip, and temperature jump. Int. Commun. Heat Mass Transf. 2009, 36, 192–196. [Google Scholar] [CrossRef]
- Hooman, K. Entropy generation for microscale forced convection: Effects of different thermal boundary conditions, velocity slip, temperature jump, viscous dissipation, and duct geometry. Int. Commun. Heat Mass Transf. 2007, 34, 945–957. [Google Scholar] [CrossRef]
- Hooman, K. Heat transfer and entropy generation for forced convection through a microduct of rectangular cross-section: Effects of velocity slip, temperature jump, and duct geometry. Int. Commun. Heat Mass Transf. 2008, 35, 1065–1068. [Google Scholar] [CrossRef]
- Ranjit, N.K.; Shit, G.C.; Tripathi, D. Entropy generation and Joule heating of two layered electroosmotic flow in the peristaltically induced micro-channel. Int. J. Mech. Sci. 2019, 153, 430–444. [Google Scholar] [CrossRef]
- Jiang, H.; Fan, N.; Peng, B.; Weng, X. Characterization of an induced pressure pumping force for microfluidics. Appl. Phys. Lett. 2017, 110, 184102. [Google Scholar] [CrossRef]
- Eringen, A.C.; Maugin, G.A. Kinematics of Material Continua; Springer: Berlin/Heidelberg, Germany, 1990. [Google Scholar]
- Oosawa, F. Polyelectrolytes; Marcel Dekker: New York, NY, USA, 1971. [Google Scholar]
- Volkenstein, M.V.; Bell, G.I. Molecular biophysics. Phys. Today 1979, 32, 79. [Google Scholar] [CrossRef]
- Hendricks, C.D., Jr.; Pfeifer, R.J. Parametric studies of electrohydrodynamic spraying. Aiaa J. 1968, 6, 496–502. [Google Scholar]
- Joffre, R.L. Devices for Cleaning, Dusting, Mopping and Applying Liquid to Floors. Google Patents No. 4,184,224, 22 January 1980. [Google Scholar]
- Richter, A.; Plettner, A.; Hofmann, K.A.; Sandmaier, H. A micro-machined electrohydrodynamic (EHD) pump. Sens. Actuat. A Phys. 1991, 29, 159–168. [Google Scholar] [CrossRef]
- Zhong, J.; Yi, M.; Bau, H.H. Magneto hydrodynamic (MHD) pump fabricated with ceramic tapes. Sens. Actuators A Phys. 2002, 96, 59–66. [Google Scholar] [CrossRef]
- Chen, G.; Das, S. Streaming potential and electroviscous effects in soft nanochannels beyond Debye–Hückel linearization. J. Colloid Interface Sci. 2015, 445, 357–363. [Google Scholar] [CrossRef] [PubMed]
- Haiwang, L.; Wong, T.N.; Nguyen, N.-T. Analytical model of mixed electroosmotic/pressure driven three immiscible fluids in a rectangular microchannel. Int. J. Heat Mass Transf. 2009, 52, 4459–4469. [Google Scholar] [CrossRef]
- Matin, M.H.; Ohshima, H. Combined electroosmotically and pressure driven flow in soft nanofluidics. J. Colloid Interface Sci. 2015, 460, 361–369. [Google Scholar] [CrossRef] [PubMed]
- Matin, M.H.; Ohshima, H. Thermal transport characteristics of combined electroosmotic and pressure driven flow in soft nanofluidics. J. Colloid Interface Sci. 2016, 476, 167–176. [Google Scholar] [CrossRef]
- Zhao, L.; Liu, L. Effect of Joule heating on electro-osmotic flow in a closedend micro-channel with isothermal and convective boundary conditions. Front. Energy Power Eng. China 2009, 3, 381–388. [Google Scholar] [CrossRef]
- Lorenzini, M. Electro-osmotic non-isothermal flow in rectangular channels with smoothed corners. Therm. Sci. Eng. Prog. 2020, 19, 100617. [Google Scholar] [CrossRef]
- Tan, D.K.; Liu, Y. Combined effects of streaming potential and wall slip on flow and heat transfer in microchannels. Int. Commun. Heat Mass Transf. 2014, 53, 39–42. [Google Scholar] [CrossRef]
- Zhao, C.; Yang, C. On the competition between streaming potential effect and hydrodynamic slip effect in pressure-driven microchannel flows. Colloids Surf. A Physicochem. Eng. Asp. 2011, 386, 191–194. [Google Scholar] [CrossRef]
- Moyers-Gonzalez, M.; Owens, R.G.; Fang, J. A non-homogeneous constitutive model for human blood. Part 1. Model derivation and steady flow. J. Fluid Mech. 2008, 617, 327–354. [Google Scholar] [CrossRef]
- Owens, R.G. A new microstructure-based constitutive model for human blood. J. Non-Newton. Fluid Mech. 2006, 140, 57–70. [Google Scholar] [CrossRef]
- Vissink, A.; Waterman, H.A.; s-Gravenmade, E.J.; Panders, A.K.; Vermey, A. Rheological properties of saliva substitutes containing mucin, carboxymethylcellulose or polyethylenoxide. J. Oral Pathol Med. 1984, 13, 22–28. [Google Scholar] [CrossRef] [PubMed]
- Fam, H.; Bryant, J.T.; Kontopoulou, M. Rheological properties of synovial fluids. Biorheology 2007, 44, 59–74. [Google Scholar] [PubMed]
- Thurston, G.B.; Greiling, H. Viscoelastic properties of pathological synovial fluids for a wide range of oscillatory shear rates and frequencies. Rheol. Acta 1978, 17, 433–445. [Google Scholar] [CrossRef]
- Afonso, A.M.; Alves, M.; Pinho, F. Analytical solution of mixed electro-osmotic/pressure driven flows of viscoelastic fluids in microchannels. J. Non-Newton. Fluid Mech. 2009, 159, 50–63. [Google Scholar] [CrossRef]
- Afonso, A.M.; Alves, M.A.; Pinho, F.T. Electro-osmotic flow of viscoelastic fluids in microchannels under asymmetric zeta potentials. J. Eng. Math. 2010, 71, 15–30. [Google Scholar] [CrossRef]
- Bautista, O.; Sánchez, S.; Arcos, J.C.; Méndez, F. Lubrication theory for electro-osmotic flow in a slit microchannel with the Phan-Thien and Tanner model. J. Fluid Mech. 2013, 722, 496–532. [Google Scholar] [CrossRef]
- Coelho, P.M.; Alves, M.A.; Pinho, F.T. Forced convection in electro-osmotic/Poiseuille micro-channel flows of viscoelastic fluids: Fully developed flow with imposed wall heat flux. Microfluid. Nanofluidics 2011, 12, 431–449. [Google Scholar] [CrossRef]
- Dhinakaran, S.; Afonso, A.M.; Alves, M.A.; Pinho, F.T. Steady viscoelastic fluid flow between parallel plates under electro-osmotic forces: Phan-Thien–Tanner model. J. Colloid Interface Sci. 2010, 344, 513–520. [Google Scholar] [CrossRef]
- Escandón, J.P.; Bautista, O.; Mendez, F.; Bautista, E. Theoretical conjugate heat transfer analysis in a parallel flat plate microchannel under electro-osmotic and pressure forces with a Phan-Thien-Tanner fluid. Int. J. Therm. Sci. 2011, 50, 1022–1030. [Google Scholar] [CrossRef]
- Ferrás, L.L.; Afonso, A.M.; Alves, M.A.; Nóbrega, J.M.; Pinho, F.T. Electro-osmotic and pressure-driven flow of viscoelastic fluids in microchannels: Analytical and semi-analytical solutions. Phys. Fluids 2016, 28, 093102. [Google Scholar] [CrossRef]
- Sadeghi, A.; Saidi, M.H.; Mozafari, A.A. Heat transfer due to electroosmotic flow of viscoelastic fluids in a slit microchannel. Int. J. Heat Mass Transf. 2011, 54, 4069–4077. [Google Scholar] [CrossRef]
- Ferrás, L.L.; Afonso, A.; Alves, M.; Nóbrega, J.; Pinho, F. Annular flow of viscoelastic fluids: Analytical and numerical solutions. J. Non-Newton. Fluid Mech. 2014, 212, 80–91. [Google Scholar] [CrossRef]
- Sadeghi, A.; Veisi, H.; Saidi, M.H.; Mozafari, A.A. Electroosmotic Flow of Viscoelastic Fluids Through a Slit Microchannel With a Step Change in Wall Temperature. J. Heat Transf. 2013, 135, 021706. [Google Scholar] [CrossRef]
- Reshadi, M.; Saidi, M.H.; Ebrahimi, A. Pure axial flow of viscoelastic fluids in rectangular microchannels under combined effects of electro-osmosis and hydrodynamics. Theor. Comput. Fluid Dyn. 2017, 32, 1–21. [Google Scholar] [CrossRef]
- Martínez, L.; Bautista, O.; Escandón, J.; Méndez, F. Electroosmotic flow of a Phan-Thien–Tanner fluid in a wavy-wall microchannel. Colloids Surf. A Physicochem. Eng. Asp. 2016, 498, 7–19. [Google Scholar] [CrossRef]
- Afonso, A.M.; Ferrás, L.L.; Nóbrega, J.M.; Alves, M.A.; Pinho, F. Pressure-driven electrokinetic slip flows of viscoelastic fluids in hydrophobic microchannels. Microfluid. Nanofluidics 2013, 16, 1131–1142. [Google Scholar] [CrossRef]
- Matías, A.; Sánchez, S.; Mendez, F.; Bautista, O. Influence of slip wall effect on a non-isothermal electro-osmotic flow of a viscoelastic fluid. Int. J. Therm. Sci. 2015, 98, 352–363. [Google Scholar] [CrossRef]
- Sarma, R.; Deka, N.; Sarma, K.; Mondal, P.K. Electroosmotic flow of Phan-Thien–Tanner fluids at high zeta potentials: An exact analytical solution. Phys. Fluids 2018, 30, 062001. [Google Scholar] [CrossRef]
- Mukherjee, S.; Goswami, P.; Dhar, J.; Dasgupta, S.; Chakraborty, S. Ion-size dependent electroosmosis of viscoelastic fluids in microfluidic channels with interfacial slip. Phys. Fluids 2017, 29, 072002. [Google Scholar] [CrossRef]
- Bandopadhyay, A.; Ghosh, U.; Chakraborty, S. Time periodic electroosmosis of linear viscoelastic liquids over patterned charged surfaces in microfluidic channels. J. Non-Newton. Fluid Mech. 2013, 202, 1–11. [Google Scholar] [CrossRef]
- Yang, J.; Bhattacharyya, A.; Masliyah, J.; Kwok, D. Oscillating laminar electrokinetic flow in infinitely extended rectangular microchannels. J. Colloid Interface Sci. 2003, 261, 21–31. [Google Scholar] [CrossRef]
- Peralta, M.; Arcos, J.; Mendez, F.; Bautista, O. Oscillatory electroosmotic flow in a parallel-plate microchannel under asymmetric zeta potentials. Fluid Dyn. Res. 2017, 49, 035514. [Google Scholar] [CrossRef]
- Arcos, J.C.; Méndez, F.; Bautista, E.G.; Bautista, O. Dispersion coefficient in an electro-osmotic flow of a viscoelastic fluid through a microchannel with a slowly varying wall zeta potential. J. Fluid Mech. 2018, 839, 348–386. [Google Scholar] [CrossRef]
- Hoshyargar, V.; Talebi, M.; Ashrafizadeh, S.N.; Sadeghi, A. Hydrodynamic dispersion by electroosmotic flow of viscoelastic fluids within a slit microchannel. Microfluid. Nanofluidics 2017, 22, 4. [Google Scholar] [CrossRef]
- Sadeghi, M.; Saidi, M.H.; Moosavi, A.; Adeghi, A. Unsteady solute dispersion by electrokinetic flow in a polyelectrolyte layer-grafted rectangular microchannel with wall absorption. J. Fluid Mech. 2020, 887, A13. [Google Scholar] [CrossRef]
- Chakraborty, D.; Madou, M.; Chakraborty, S. Anomalous mixing behaviour in rotationally actuated microfluidic devices. Lab Chip 2011, 11, 2823–2826. [Google Scholar] [CrossRef]
- Leung, W.W.-F.; Ren, Y. Crossflow and mixing in obstructed and width-constricted rotating radial microchannel. Int. J. Heat Mass Transf. 2013, 64, 457–467. [Google Scholar] [CrossRef]
- Ren, Y.; Leung, W.W.-F. Flow and mixing in rotating zigzag microchannel. Chem. Eng. J. 2013, 215, 561–578. [Google Scholar] [CrossRef]
- Chang, C.-C.; Wang, C.-Y. Rotating electro-osmotic flow over a plate or between two plates. Phys. Rev. E 2011, 84, 056320. [Google Scholar] [CrossRef]
- Ng, C.-O.; Qi, C. Electro-osmotic flow in a rotating rectangular microchannel. Proc. R. Soc. A Math. Phys. Eng. Sci. 2015, 471, 20150200. [Google Scholar] [CrossRef]
- Kaushik, P.; Mandal, S.; Chakraborty, S. Transient electroosmosis of a Maxwell fluid in a rotating microchannel. Electrophoresis 2017, 38, 2741–2748. [Google Scholar] [CrossRef] [PubMed]
- Yang, X.; Qi, H.; Jiang, X. Numerical analysis for electroosmotic flow of fractional Maxwell fluids. Appl. Math. Lett. 2018, 78, 1–8. [Google Scholar] [CrossRef]
- Patel, M.; Kruthiventi, S.S.H.; Kaushik, P. Polyelectrolyte layer grafting effect on the rotational electroosmotic flow of viscoplastic material. Microfluid. Nanofluid. 2021, 25, 1. [Google Scholar] [CrossRef]
- Gheshlaghi, B.; Nazaripoor, H.; Kumar, A.; Sadrzadeh, M. Analytical solution for transient electroosmotic flow in a rotating microchannel. RSC Adv. 2016, 6, 17632–17641. [Google Scholar] [CrossRef]
- Li, S.-X.; Jian, Y.-J.; Xie, Z.-Y.; Liu, Q.-S.; Li, F.-Q. Rotating electro-osmotic flow of third grade fluids between two microparallel plates. Colloids Surf. A Physicochem. Eng. Asp. 2015, 470, 240–247. [Google Scholar] [CrossRef]
- Liu, Y.; Jian, Y. Rotating electroosmotic flows in soft parallel plate microchannels. Appl. Math. Mech. 2019, 40, 1017–1028. [Google Scholar] [CrossRef]
- Qi, C.; Ng, C.-O. Rotating electroosmotic flow of viscoplastic material between two parallel plates. Colloids Surf. A Physicochem. Eng. Asp. 2017, 513, 355–366. [Google Scholar] [CrossRef][Green Version]
- Sinha, A.; Mondal, A.; Shit, G.C.; Kundu, P.K. Effect of heat transfer on rotating electroosmotic flow through a micro-vessel: Haemodynamical applications. Heat Mass Transf. 2016, 52, 1549–1557. [Google Scholar] [CrossRef]
- Zheng, J.; Jian, Y. Rotating electroosmotic flow of two-layer fluids through a microparallel channel. Int. J. Mech. Sci. 2018, 136, 293–302. [Google Scholar] [CrossRef]
- Cao, L.; Zhang, P.; Li, B.; Zhu, J.; Si, X. Numerical study of rotating electro-osmotic flow of double layers with a layer of fractional second-order fluid in a microchannel. Appl. Math. Lett. 2021, 111, 106633. [Google Scholar] [CrossRef]
- Siva, T.; Kumbhakar, B.; Jangili, S.; Mondal, P.K. Unsteady electro-osmotic flow of couple stress fluid in a rotating microchannel: An analytical solution. Phys. Fluids 2020, 32, 102013. [Google Scholar] [CrossRef]
- Siginer, D.A.; Akyildiz, F.T.; Boutaous, M. Unsteady gaseous Poiseuille slip flow in rectangular microchannels. J. Braz. Soc. Mech. Sci. Eng. 2019, 41, 286. [Google Scholar] [CrossRef]
- Shit, G.C.; Mondal, A.; Sinha, A.; Kundu, P.K. Effects of slip velocity on rotating electro-osmotic flow in a slowly varying micro-channel. Colloids Surf. A Physicochem. Eng. Asp. 2016, 489, 249–255. [Google Scholar] [CrossRef]
- Yavari, H.; Sadeghi, A.; Saidi, M.H.; Chakraborty, S. Temperature Rise in Electroosmotic Flow of Typical Non-Newtonian Biofluids Through Rectangular Microchannels. J. Heat Transf. 2013, 136, 031702. [Google Scholar] [CrossRef]
- Xie, Z.-Y.; Jian, Y.-J. Rotating electroosmotic flow of power-law fluids at high zeta potentials. Colloids Surf. A Physicochem. Eng. Asp. 2014, 461, 231–239. [Google Scholar] [CrossRef]
- Babaie, A.; Saidi, M.H.; Sadeghi, A. Heat transfer characteristics of mixed electroosmotic and pressure driven flow of power-law fluids in a slit microchannel. Int. J. Therm. Sci. 2011, 53, 71–79. [Google Scholar] [CrossRef]
- Chen, C.-H. Electro-Osmotic Heat Transfer of Non-Newtonian Fluid Flow in Microchannels. J. Heat Transf. 2011, 133, 071705. [Google Scholar] [CrossRef]
- Sadeghi, A.; Saidi, M.H.; Veisi, H.; Fattahi, M. Thermally developing electroosmotic flow of power-law fluids in a parallel plate microchannel. Int. J. Therm. Sci. 2012, 61, 106–117. [Google Scholar] [CrossRef]
- Zhao, C.; Yang, C. An exact solution for electroosmosis of non-Newtonian fluids in microchannels. J. Non-Newton. Fluid Mech. 2011, 166, 1076–1079. [Google Scholar] [CrossRef]
- Vakili, M.A.; Sadeghi, A.; Saidi, M.H.; Mozafari, A.A. Electrokinetically driven fluidic transport of power-law fluids in rectangular microchannels. Colloids Surf. A Physicochem. Eng. Asp. 2012, 414, 440–456. [Google Scholar] [CrossRef]
- Choi, W.; Yun, S.; Choi, D.-S. Electroosmotic Flows of Power-Law Fluids with Asymmetric Electrochemical Boundary Conditions in a Rectangular Microchannel. Micromachines 2017, 8, 165. [Google Scholar] [CrossRef]
- Moghadam, A.J.; Akbarzadeh, P. Non-Newtonian fluid flow induced by pressure gradient and time-periodic electroosmosis in a microtube. J. Braz. Soc. Mech. Sci. Eng. 2017, 39, 5015–5025. [Google Scholar] [CrossRef]
- Dey, R.; Chakraborty, D.; Chakraborty, S. Analytical Solution for Thermally Fully Developed Combined Electroosmotic and Pressure-Driven Flows in Narrow Confinements with Thick Electrical Double Layers. J. Heat Transf. 2010, 133, 024503. [Google Scholar] [CrossRef]
- Dey, R.; Ghonge, T.; Chakraborty, S. Steric-effect-induced alteration of thermal transport phenomenon for mixed electroosmotic and pressure driven flows through narrow confinements. Int. J. Heat Mass Transf. 2013, 56, 251–262. [Google Scholar] [CrossRef]
- Ban, H.; Lin, B.; Song, Z. Effect of electrical double layer on electric conductivity and pressure drop in a pressure-driven microchannel flow. Biomicrofluidics 2010, 4, 014104. [Google Scholar] [CrossRef] [PubMed]
- Dutta, P.; Beskok, A. Analytical Solution of Combined Electroosmotic/Pressure Driven Flows in Two-Dimensional Straight Channels: Finite Debye Layer Effects. Anal. Chem. 2001, 73, 1979–1986. [Google Scholar] [CrossRef]
- Bandopadhyay, A.; Chakraborty, S. Electrokinetically induced alterations in dynamic response of viscoelastic fluids in narrow confinements. Phys. Rev. E 2012, 85, 056302. [Google Scholar] [CrossRef]
- Ng, C.-O.; Qi, C. Electroosmotic flow of a power-law fluid in a non-uniform microchannel. J. Non-Newton. Fluid Mech. 2014, 208–209, 118–125. [Google Scholar] [CrossRef]
- Shojaeian, M.; Koşar, A. Convective heat transfer of non-Newtonian power-law slip flows and plug flows with variable thermophysical properties in parallel-plate and circular microchannels. Int. J. Therm. Sci. 2016, 100, 155–168. [Google Scholar] [CrossRef]
- Saravani, M.S.; Kalteh, M. Heat transfer investigation of combined electroosmotic/pressure driven nanofluid flow in a microchannel: Effect of heterogeneous surface potential and slip boundary condition. Eur. J. Mech. B Fluids 2020, 80, 13. [Google Scholar] [CrossRef]
- Gaikwad, H.S.; Roy, A.; Mondal, P.K.; Chimres, N.; Wongwises, S. Irreversibility analysis in a slip aided electroosmotic flow through an asymmetrically heated microchannel: The effects of joule heating and the conjugate heat transfer. Anal. Chim. Acta 2018, 1045, 85–97. [Google Scholar] [CrossRef] [PubMed]
- Gaikwad, H.S.; Mondal, P.K.; Basu, D.N.; Chimres, N.; Wongwises, S. Analysis of the effects of Joule heating and viscous dissipation on combined pressure-driven and electrokinetic flows in a two-parallel plate channel with unequal constant temperatures, Proceedings of the Institution of Mechanical Engineers. Part E J. Process Mech. Eng. 2019, 233, 871. [Google Scholar] [CrossRef]
- Sharma, A.; Chakraborty, S. Semi-analytical solution of the extended Graetz problem for combined electroosmotically and pressure-driven microchannel flows with step-change in wall temperature. Int. J. Heat Mass Transf. 2008, 51, 4875–4885. [Google Scholar] [CrossRef]
- Dey, R.; Chakraborty, D.; Chakraborty, S. Extended Graetz problem for combined electroosmotic and pressure-driven flows in narrow confinements with thick electric double layers. Int. J. Heat Mass Transf. 2012, 55, 4724–4733. [Google Scholar] [CrossRef]
- Krishnaveni, T.; Renganathan, T.; Picardo, J.R.; Pushpavanam, S. Numerical study of enhanced mixing in pressure-driven flows in microchannels using a spatially periodic electric field. Phys. Rev. E 2017, 96, 033117. [Google Scholar] [CrossRef] [PubMed]
- Hoshyargar, V.; Ashrafizadeh, S.N.; Sadeghi, A. Diffusioosmotic flow in rectangular microchannels. Electrophoresis 2016, 37, 809–817. [Google Scholar] [CrossRef]
- Zhu, Q.; Deng, S.; Chen, Y. Periodical pressure-driven electrokinetic flow of power-law fluids through a rectangular microchannel. J. Non-Newton. Fluid Mech. 2014, 203, 38–50. [Google Scholar] [CrossRef]
- Jiménez, E.; Escandón, J.; Bautista, O.; Méndez, F. Start-up electroosmotic flow of Maxwell fluids in a rectangular microchannel with high zeta potentials. J. Non-Newton. Fluid Mech. 2016, 227, 17–29. [Google Scholar] [CrossRef]
- Wang, X.; Xu, H.; Qi, H. Numerical analysis for rotating electro-osmotic flow of fractional Maxwell fluids. Appl. Math. Lett. 2019, 103, 106179. [Google Scholar] [CrossRef]
- Jimenez, E.; Escandón, J.; Méndez, F.; Bautista, O. Combined viscoelectric and steric effects on the electroosmotic flow in a microchannel under induced high zeta potentials. Colloids Surf. A Physicochem. Eng. Asp. 2017, 531, 221–233. [Google Scholar] [CrossRef]
- Xing, J.; Jian, Y. Steric effects on electroosmotic flow in soft nanochannels. Meccanica 2017, 53, 135–144. [Google Scholar] [CrossRef]
- Ramos, E.A.; Bautista, O.; Lizardi, J.J.; Méndez, F. A perturbative thermal analysis for an electro-osmotic flow in a slit microchannel based on a Lubrication theory. Int. J. Therm. Sci. 2017, 111, 499–510. [Google Scholar] [CrossRef]
- Kaushik, P.; Chakraborty, S. Startup electroosmotic flow of a viscoelastic fluid characterized by Oldroyd-B model in a rectangular microchannel with symmetric and asymmetric wall zeta potentials. J. Non-Newton. Fluid Mech. 2017, 247, 41–52. [Google Scholar] [CrossRef]
- Jiang, Y.; Qi, H.; Xu, H.; Jiang, X. Transient electroosmotic slip flow of fractional Oldroyd-B fluids. Microfluid. Nanofluidics 2017, 21, 7. [Google Scholar] [CrossRef]
- Kaushik, P.; Abhimanyu, P.; Mondal, P.K.; Chakraborty, S. Confinement effects on the rotational microflows of a viscoelastic fluid under electrical double layer phenomenon. J. Non-Newton. Fluid Mech. 2017, 244, 123–137. [Google Scholar] [CrossRef]
- Liang, P.; Wang, S.; Zhao, M. Numerical study of rotating electroosmotic flow of Oldroyd-B fluid in a microchannel with slip boundary condition. Chin. J. Phys. 2020, 65, 459–471. [Google Scholar] [CrossRef]
- Wang, X.; Qi, H.; Yu, B.; Xiong, Z.; Xu, H. Analytical and numerical study of electroosmotic slip flows of fractional second grade fluids. Commun. Nonlinear Sci. Numer. Simul. 2017, 50, 77–84. [Google Scholar] [CrossRef]
- Dey, P.; Shit, G.C. Electroosmotic flow of a fractional second-grade fluid with interfacial slip and heat transfer in the microchannel when exposed to a magnetic field. Heat Transf. 2021, 50, 2643–2666. [Google Scholar] [CrossRef]
- Huang, H.-F.; Yang, P.-W. Electrokinetic streaming power generation using squeezing liquid flows in slit channels with wall slip. Colloids Surf. A Physicochem. Eng. Asp. 2017, 514, 192–208. [Google Scholar] [CrossRef]
- Matin, M.H. Electroviscous effects on thermal transport of electrolytes in pressure driven flow through nanoslit. Int. J. Heat Mass Transf. 2017, 106, 473–481. [Google Scholar] [CrossRef]
- Sadeghi, A.; Yavari, H.; Saidi, M.H.; Chakraborty, S. Mixed electroosmotically and pressure- driven flow with temperature-dependent properties. J. Thermophys. Heat Transf. 2011, 25, 432–442. [Google Scholar] [CrossRef]
- Zhao, Q.; Xu, H.; Tao, L. Nanofluid flow and heat transfer in a microchannel with interfacial electrokinetic effects. Int. J. Heat Mass Transf. 2018, 124, 158–167. [Google Scholar] [CrossRef]
- Mondal, A.; Shit, G.C. Electro-osmotic flow and heat transfer in a slowly varying asymmetric micro-channel with Joule heating effects. Fluid Dyn. Res. 2018, 50, 065502. [Google Scholar] [CrossRef]
- Nadeem, S.; Kiani, M.N.; Saleem, A.; Issakhov, A. Microvascular blood flow with heat transfer in a wavy channel having electroosmotic effects. Electrophoresis 2020, 41, 1198–1205. [Google Scholar] [CrossRef] [PubMed]
- Bag, N.; Bhattacharyya, S. Electroosmotic flow of a non-Newtonian fluid in a microchannel with heterogeneous surface potential. J. Non-Newton. Fluid Mech. 2018, 259, 48–60. [Google Scholar] [CrossRef]
- Chen, X.; Jian, Y. Streaming potential analysis on the hydrodynamic transport of pressure-driven flow through a rotational microchannel. Chin. J. Phys. 2018, 56, 1296–1307. [Google Scholar] [CrossRef]
- Qi, C.; Ng, C.-O. Electroosmotic flow of a two-layer fluid in a slit channel with gradually varying wall shape and zeta potential. Int. J. Heat Mass Transf. 2018, 119, 52–64. [Google Scholar] [CrossRef]
- Nekoubin, N. Electroosmotic flow of power-law fluids in curved rectangular microchannel with high zeta potentials. J. Non-Newton. Fluid Mech. 2018, 260, 54–68. [Google Scholar] [CrossRef]
- Kamali, R.; Soloklou, M.N.; Hadidi, H. Numerical simulation of electroosmotic flow in rough microchannels using the lattice Poisson-Nernst-Planck methods. Chem. Phys. 2018, 507, 1–9. [Google Scholar] [CrossRef]
- Sadek, S.H.; Pinho, F.T. Electro-osmotic oscillatory flow of viscoelastic fluids in a microchannel. J. Non-Newton. Fluid Mech. 2019, 266, 46–58. [Google Scholar] [CrossRef]
- Rice, C.L.; Whitehead, R. Electrokinetic Flow in a Narrow Cylindrical Capillary. J. Phys. Chem. 1965, 69, 4017–4024. [Google Scholar] [CrossRef]
- Levine, S.; Marriott, J.R.; Robinson, K. Theory of electrokinetic flow in a narrow parallel-plate channel. J. Chem. Soc. Faraday Trans. 2 1975, 71, 1–11. [Google Scholar] [CrossRef]
- Kang, Y.; Yang, C.; Huang, X. Dynamic aspects of electroosmotic flow in a cylindrical microcapillary. Int. J. Eng. Sci. 2002, 40, 2203–2221. [Google Scholar] [CrossRef]
- Maynes, D.; Webb, B. Fully developed electro-osmotic heat transfer in microchannels. Int. J. Heat Mass Transf. 2003, 46, 1359–1369. [Google Scholar] [CrossRef]
- Najjaran, S.; Rashidi, S.; Valipour, M.S. Heat transfer intensification in microchannel by induced-charge electrokinetic phenomenon: A numerical study. J. Therm. Anal. Calorim. 2021, 145, 1849–1861. [Google Scholar] [CrossRef]
- Liechty, B.; Webb, B.; Maynes, R. Convective heat transfer characteristics of electro-osmotically generated flow in microtubes at high wall potential. Int. J. Heat Mass Transf. 2005, 48, 2360–2371. [Google Scholar] [CrossRef]
- Aydın, O.; Avcı, M. Heat and fluid flow characteristics of gases in micropipes. Int. J. Heat Mass Transf. 2006, 49, 1723–1730. [Google Scholar] [CrossRef]
- Tang, G.Y.; Yang, C.; Chai, J.C.; Gong, H.Q. Joule heating effect on electroosmotic flow and mass species transport in a microcapillary. Int. J. Heat Mass Transf. 2004, 47, 215–227. [Google Scholar] [CrossRef]
- Kang, Y.; Yang, C.; Huang, X. Electroosmotic Flow in a Capillary Annulus with High Zeta Potentials. J. Colloid Interface Sci. 2002, 253, 285–294. [Google Scholar] [CrossRef]
- Moghadam, A.J. Effect of periodic excitation on alternating current electroosmotic flow in a microannular channel. Eur. J. Mech.-B/Fluids 2014, 48, 1–12. [Google Scholar] [CrossRef]
- Tsao, H.-K. Electroosmotic Flow through an Annulus. J. Colloid Interface Sci. 2000, 225, 247–250. [Google Scholar] [CrossRef]
- Bhattacharyya, A.; Masliyah, J.; Yang, J. Oscillating laminar electrokinetic flow in infinitely extended circular microchannels. J. Colloid Interface Sci. 2003, 261, 12–20. [Google Scholar] [CrossRef]
- Chakraborty, S.; Ray, S. Mass flow-rate control through time periodic electro-osmotic flows in circular microchannels. Phys. Fluids 2008, 20, 083602. [Google Scholar] [CrossRef]
- Yang, J.; Masliyah, J.H.; Kwok, D.Y. Streaming potential and electroosmotic flow in heterogeneous circular microchannels with non-uniform zeta potentials: Requirements of flow rate and current continuities. Langmuir 2004, 20, 3863. [Google Scholar] [CrossRef] [PubMed]
- Zhao, M.; Wang, S.; Wei, S. Transient electro-osmotic flow of Oldroyd-B fluids in a straight pipe of circular cross section. J. Non-Newton. Fluid Mech. 2013, 201, 135–139. [Google Scholar] [CrossRef]
- Prakash, J.; Ramesh, K.; Tripathi, D.; Kumar, R. Numerical simulation of heat transfer in blood flow altered by electroosmosis through tapered micro-vessels. Microvasc. Res. 2018, 118, 162–172. [Google Scholar] [CrossRef]
- Hsu, J.-P.; Kao, C.-Y.; Tseng, S.; Chen, C.-J. Electrokinetic Flow through an Elliptical Microchannel: Effects of Aspect Ratio and Electrical Boundary Conditions. J. Colloid Interface Sci. 2002, 248, 176–184. [Google Scholar] [CrossRef]
- Deng, S.; Xiao, T.; Wu, S. Two-layer combined electroosmotic and pressure-driven flow of power-law fluids in a circular microcapillary. Colloids Surf. A Physicochem. Eng. Asp. 2020, 610, 125727. [Google Scholar] [CrossRef]
- Prakash, J.; Tripathi, D.; Bég, O.A. Comparative study of hybrid nanofluids in microchannel slip flow induced by electroosmosis and peristalsis. Appl. Nanosci. 2020, 10, 1693–1706. [Google Scholar] [CrossRef]
- Narla, V.K.; Tripathi, D.; Sekhar, G.P.R. Time-dependent analysis of electroosmotic fluid flow in a microchannel. J. Eng. Math. 2019, 114, 177–196. [Google Scholar] [CrossRef]
- Ren, L.; Li, D. Electroosmotic Flow in Heterogeneous Microchannels. J. Colloid Interface Sci. 2001, 243, 255–261. [Google Scholar] [CrossRef][Green Version]
- Masilamani, K.; Ganguly, S.; Feichtinger, C.; Bartuschat, D.; Rüde, U. Effects of surface roughness and electrokinetic heterogeneity on electroosmotic flow in microchannel. Fluid Dyn. Res. 2015, 47, 035505. [Google Scholar] [CrossRef]
- Chakraborty, S. Analytical solutions of Nusselt number for thermally fully developed flow in microtubes under a combined action of electroosmotic forces and imposed pressure gradients. Int. J. Heat Mass Transf. 2006, 49, 810–813. [Google Scholar] [CrossRef]
- Azari, M.; Sadeghi, A.; Chakraborty, S. Electroosmotic flow and heat transfer in a heterogeneous circular microchannel. Appl. Math. Model. 2020, 87, 640–654. [Google Scholar] [CrossRef]
- Matías, A.; Méndez, F.; Bautista, O. Interfacial Electric Effects on a Non-Isothermal Electroosmotic Flow in a Microcapillary Tube Filled by Two Immiscible Fluids. Micromachines 2017, 8, 232. [Google Scholar] [CrossRef]
- Azari, M.; Sadeghi, A.; Chakraborty, S. Graetz problem for combined pressure-driven and electroosmotic flow in microchannels with distributed wall heat flux. Int. J. Heat Mass Transf. 2018, 128, 150–160. [Google Scholar] [CrossRef]
- Chang, L.; Jian, Y.; Buren, M.; Liu, Q.; Sun, Y. Electroosmotic flow through a microtube with sinusoidal roughness. J. Mol. Liq. 2016, 220, 258–264. [Google Scholar] [CrossRef]
- Monazami, R.; Manzari, M.T. Analysis of combined pressure-driven electroosmotic flow through square microchannels. Microfluid. Nanofluidics 2006, 3, 123–126. [Google Scholar] [CrossRef]
- Cetin, B.; Travis, B.; Li, D. Analysis of the electro-viscous effects on pressure-driven liquid flow in a two-section heterogeneous microchannel. Electrochim. Acta 2008, 54, 660–664. [Google Scholar] [CrossRef]
- Bharti, R.P.; Harvie, D.; Davidson, M.R. Electroviscous effects in steady fully developed flow of a power-law liquid through a cylindrical microchannel. Int. J. Heat Fluid Flow 2009, 30, 804–811. [Google Scholar] [CrossRef]
- Deng, S. The Parametric Study of Electroosmotically Driven Flow of Power-Law Fluid in a Cylindrical Microcapillary at High Zeta Potential. Micromachines 2017, 8, 344. [Google Scholar] [CrossRef] [PubMed]
- Sun, Z.-Y.; Gao, Y.-T.; Yu, X.; Liu, Y. Formation of vortices in a combined pressure-driven electro-osmotic flow through the insulated sharp tips under finite Debye length effects. Colloids Surf. A Physicochem. Eng. Asp. 2010, 366, 1–11. [Google Scholar] [CrossRef]
- Moghadam, A.J. An exact solution of AC electro-kinetic-driven flow in a circular micro-channel. Eur. J. Mech.-B/Fluids 2012, 34, 91–96. [Google Scholar] [CrossRef]
- Basati, Y.; Mohammadipour, O.R.; Niazmand, H. Numerical investigation and simultaneous optimization of geometry and zeta-potential in electroosmotic mixing flows. Int. J. Heat Mass Transf. 2019, 133, 786–799. [Google Scholar] [CrossRef]
- Peralta, M.; Arcos, J.; Méndez, F.; Bautista, O. Mass transfer through a concentric-annulus microchannel driven by an oscillatory electroosmotic flow of a Maxwell fluid. J. Non-Newton. Fluid Mech. 2020, 279, 104281. [Google Scholar] [CrossRef]
- Cho, C.-C.; Chen, C.-L. Characteristics of combined electroosmotic flow and pressure-driven flow in microchannels with complex-wavy surfaces. Int. J. Therm. Sci. 2012, 61, 94–105. [Google Scholar] [CrossRef]
- Guo, X.; Qi, H. Analytical Solution of Electro-Osmotic Peristalsis of Fractional Jeffreys Fluid in a Micro-Channel. Micromachines 2017, 8, 341. [Google Scholar] [CrossRef]
- Cho, C.-C.; Chen, C.-L. Electrokinetically-driven non-Newtonian fluid flow in rough microchannel with complex-wavy surface. J. Non-Newton. Fluid Mech. 2012, 173, 13–20. [Google Scholar] [CrossRef]
- Ng, C.-O.; Zhou, Q. Dispersion due to electroosmotic flow in a circular microchannel with slowly varying wall potential and hydrodynamic slippage. Phys. Fluids 2012, 24, 112002. [Google Scholar] [CrossRef]
- Baños, R.D.; Arcos, J.C.; Bautista, O.; Méndez, F.; Merchán-Cruz, E.A. Mass transport by an oscillatory electroosmotic flow of power-law fluids in hydrophobic slit microchannels. J. Braz. Soc. Mech. Sci. Eng. 2021, 43, 1–15. [Google Scholar] [CrossRef]
- Karabi, M.; Moghadam, A.J. Non-Newtonian Fluid Flow and Heat Transfer in a Semicircular Microtube Induced by Electroosmosis and Pressure Gradient. J. Heat Transf. 2018, 140, 122403. [Google Scholar] [CrossRef]
- Peralta, M.; Bautista, O.; Méndez, F. Pulsatile electroosmotic flow of a Maxwell fluid in a parallel flat plate microchannel with asymmetric zeta potentials. Appl. Math. Mech. 2018, 39, 667–684. [Google Scholar] [CrossRef]
- Yavari, H.; Sadeghi, A.; Saidi, M.H. Hydrodynamic and Thermal Characteristics of Combined Electroosmotic and Pressure Driven Flow in a Microannulus. J. Heat Transf. 2012, 134, 101703. [Google Scholar] [CrossRef]
- Vocale, P.; Geri, M.; Cattani, L.; Morini, G.; Spiga, M. Electro-osmotic heat transfer in elliptical microchannels under H1 boundary condition. Int. J. Therm. Sci. 2013, 72, 92–101. [Google Scholar] [CrossRef]
- Srinivas, B. Electroosmotic flow of a power law fluid in an elliptic microchannel. Colloids Surf. A Physicochem. Eng. Asp. 2016, 492, 144–151. [Google Scholar] [CrossRef]
- Zhao, G.; Jian, Y.J.; Li, F.Q. Heat transfer of nanofluids in microtubes under the effects of streaming potential. Appl. Therm. Eng. 2016, 100, 1299–1307. [Google Scholar] [CrossRef]
- Tan, Z.; Liu, J. Electro-osmotic flow of Eyring fluids in a circular microtube with Navier’s slip boundary condition. Phys. Lett. A 2017, 381, 2573–2577. [Google Scholar] [CrossRef]
- Qi, C.; Ng, C.-O. Rotating electroosmotic flow of an Eyring fluid. Acta Mech. Sin. 2017, 33, 295–315. [Google Scholar] [CrossRef]
- Nayak, A.K.; Haque, A.; Banerjee, A.; Weigand, B. Flow mixing and electric potential effect of binary fluids in micro/nano channels. Colloids Surf. A Physicochem. Eng. Asp. 2017, 512, 145–157. [Google Scholar] [CrossRef]
- Gaikwad, H.S.; Basu, D.N.; Mondal, P.K. Slip driven micro-pumping of binary system with a layer of non-conducting fluid under electrical double layer phenomenon. Colloids Surf. A Physicochem. Eng. Asp. 2017, 518, 166–172. [Google Scholar] [CrossRef]
- Tanveer, T.; Salahuddin, T.; Khan, M.; Malik, M.; Alqarni, M. Theoretical analysis of non-Newtonian blood flow in a microchannel. Comput. Methods Programs Biomed. 2019, 191, 105280. [Google Scholar] [CrossRef] [PubMed]
- Saleem, A.; Kiani, M.N.; Nadeem, S.; Akhtar, S.; Ghalambaz, M.; Issakhov, A. Electroosmotically driven flow of micropolar bingham viscoplastic fluid in a wavy microchannel: Application of computational biology stomach anatomy. Comput. Methods Biomech. Biomed. Eng. 2021, 24, 289–298. [Google Scholar] [CrossRef] [PubMed]
- Saleem, A.; Kiani, M.N.; Nadeem, S.; Issakhov, A. Heat transfer and Helmholtz-Smoluchowski velocity in Bingham fluid flow. Appl. Math. Mech. 2020, 41, 1167–1178. [Google Scholar] [CrossRef]
- Rojas, G.; Arcos, J.; Peralta, M.; Méndez, F.; Bautista, O. Pulsatile electroosmotic flow in a microcapillary with the slip boundary condition. Colloids Surf. A Physicochem. Eng. Asp. 2016, 513, 57–65. [Google Scholar] [CrossRef]
- Cramer, K.R.; Pai, S.-I. Magnetofluid Dynamics for Engineers and Applied Physicists; McGraw-Hill Book Company: New York, NY, USA, 1973. [Google Scholar]
- Ritchie, W. XIII. Experimental researches in voltaic electricity and electro-magnetism. Philos. Trans. R. Soc. Lond. 1832, 122, 279–289. [Google Scholar]
- Woodson, H.H.; Melcher, J.R. Electromechanical Dynamics: Elastic and Fluid Media; Wiley: Hoboken, NJ, USA, 1968. [Google Scholar]
- Davidson, P.A. An Introduction to Magnetohydrodynamics; Peter, A., Ed.; Davidson Cambridge U. Press: New York, NY, USA, 2001. [Google Scholar]
- Davidson, P.A.; Thess, A. Magnetohydrodynamics; Springer Science & Business Media: Berlin, Germany, 2002. [Google Scholar]
- Mitra, S.; Maity, S.; Sutradhar, S.; Bandyopadhyay, D. Electroosmosis with Augmented Mixing in Rigid to Flexible Microchannels with Surface Patterns. Ind. Eng. Chem. Res. 2019, 59, 3717–3792. [Google Scholar] [CrossRef]
- Bera, S.; Bhattacharyya, S. Effects of geometric modulation and surface potential heterogeneity on electrokinetic flow and solute transport in a microchannel. Theor. Comput. Fluid Dyn. 2017, 32, 201–214. [Google Scholar] [CrossRef]
- SVerardi, S.; Cardoso, J.R.; Motta, C. A solution of two-dimensional magnetohydrodynamic flow using the finite element method. IEEE Trans. Magn. 1998, 34, 3134–3137. [Google Scholar] [CrossRef]
- Bau, H.H.; Zhong, J.; Yi, M. A minute magneto hydro dynamic (MHD) mixer. Sens. Actuators B Chem. 2001, 79, 207–215. [Google Scholar] [CrossRef]
- Qian, S.; Zhu, J.; Bau, H.H. A stirrer for magnetohydrodynamically controlled minute fluidic networks. Phys. Fluids 2002, 14, 3584–3592. [Google Scholar] [CrossRef]
- Woodson, H.H.; Melcher, J.R. Electromechanical Dynamics: Part 2: Fields, Forces, and Motion; John Wiley and Sons Ltd.: Hoboken, NJ, USA, 1968. [Google Scholar]
- Vilkner, T.; Janasek, D.; Manz, A. Micro total analysis systems: Recent developments. Anal. Chem. 2004, 76, 3373–3386. [Google Scholar] [CrossRef] [PubMed]
- Reyes, D.R.; Iossifidis, D.; Auroux, P.-A.; Manz, A. Micro total analysis systems. 1. Introduction, theory, and technology. Anal. Chem. 2002, 74, 2623–2636. [Google Scholar] [CrossRef] [PubMed]
- Auroux, P.-A.; Iossifidis, D.; Reyes, D.R.; Manz, A. Micro Total Analysis Systems. 2. Analytical Standard Operations and Applications. Anal. Chem. 2002, 74, 2637–2652. [Google Scholar] [CrossRef] [PubMed]
- Dallakehnejad, M.; Mirbozorgi, S.A.; Niazmand, H. A numerical investigation of magnetic mixing in electroosmotic flows. J. Electrost. 2019, 100, 103354. [Google Scholar] [CrossRef]
- Chakraborty, R.; Dey, R.; Chakraborty, S. Thermal characteristics of electromagnetohydrodynamic flows in narrow channels with viscous dissipation and Joule heating under constant wall heat flux. Int. J. Heat Mass Transf. 2013, 67, 1151–1162. [Google Scholar] [CrossRef]
- Chakraborty, S.; Paul, D. Microchannel flow control through a combined electromagnetohydrodynamic transport. J. Phys. D Appl. Phys. 2006, 39, 5364–5371. [Google Scholar] [CrossRef]
- Sarkar, S.; Ganguly, S. Fully developed thermal transport in combined pressure and electroosmotically driven flow of nanofluid in a microchannel under the effect of a magnetic field. Microfluid. Nanofluidics 2014, 18, 623–636. [Google Scholar] [CrossRef]
- Xie, Z.-Y.; Jian, Y.-J. Entropy generation of two-layer magnetohydrodynamic electroosmotic flow through microparallel channels. Energy 2017, 139, 1080–1093. [Google Scholar] [CrossRef]
- Zhao, G.; Jian, Y.; Chang, L.; Buren, M. Magnetohydrodynamic flow of generalized Maxwell fluids in a rectangular micropump under an AC electric field. J. Magn. Magn. Mater. 2015, 387, 111–117. [Google Scholar] [CrossRef]
- Liu, Y.; Jian, Y.; Liu, Q.; Li, F. Alternating current magnetohydrodynamic electroosmotic flow of Maxwell fluids between two micro-parallel plates. J. Mol. Liq. 2015, 211, 784–791. [Google Scholar] [CrossRef]
- Liu, Y.; Jian, Y. Electroviscous effect on electromagnetohydrodynamic flows of Maxwell fluids in parallel plate microchannels. Appl. Math. Mech. 2019, 40, 1457–1470. [Google Scholar] [CrossRef]
- Sarkar, S.; Ganguly, S.; Dutta, P. Electrokinetically induced thermofluidic transport of power-law fluids under the influence of superimposed magnetic field. Chem. Eng. Sci. 2017, 171, 391–403. [Google Scholar] [CrossRef]
- Sarkar, S.; Ganguly, S. Characterization of electromagnetohydrodynamic transport of power law fluids in microchannel. J. Non-Newton. Fluid Mech. 2017, 250, 18–30. [Google Scholar] [CrossRef]
- Zhao, G.; Jian, Y.; Li, F. Streaming potential and heat transfer of nanofluids in microchannels in the presence of magnetic field. J. Magn. Magn. Mater. 2016, 407, 75–82. [Google Scholar] [CrossRef]
- Ganguly, S.; Sarkar, S.; Hota, T.K.; Mishra, M. Thermally developing combined electroosmotic and pressure-driven flow of nanofluids in a microchannel under the effect of magnetic field. Chem. Eng. Sci. 2015, 126, 10–21. [Google Scholar] [CrossRef]
- Xie, Z.; Jian, Y. Entropy generation of magnetohydrodynamic electroosmotic flow in two-layer systems with a layer of non-conducting viscoelastic fluid. Int. J. Heat Mass Transf. 2018, 127, 600–615. [Google Scholar] [CrossRef]
- Patel, M.; Kruthiventi, S.H.; Kaushik, P. Rotating electroosmotic flow of power-law fluid through polyelectrolyte grafted microchannel. Colloids Surf. B Biointerfaces 2020, 193, 111058. [Google Scholar] [CrossRef]
- Li, F.; Jian, Y.J.; Xie, Z.Y.; Liu, Y.B.; Liu, Q.S. Transient alternating current electroosmotic flow of a Jeffrey fluid through a polyelectrolyte-grafted nanochannel. RSC Adv. 2017, 7, 782–790. [Google Scholar] [CrossRef]
- Hoshyargar, V.; Khorami, A.; Ashrafizadeh, S.N.; Sadeghi, A. Solute dispersion by electroosmotic flow through soft microchannels. Sens. Actuators B Chem. 2018, 255, 3585–3600. [Google Scholar] [CrossRef]
- Sun, R.; Hu, W.; Jiao, B.; Qi, C. Heat transfer characteristics and entropy generation of electroosmotic flow in a rotating rectangular microchannel. Int. J. Therm. Sci. 2019, 140, 238–254. [Google Scholar] [CrossRef]
- Sarkar, S.; Ganguly, S.; Dutta, P. Thermofluidic characteristics of combined electroosmotic and pressure driven flows in narrow confinements in presence of spatially non-uniform magnetic field. Int. J. Heat Mass Transf. 2017, 104, 1325–1340. [Google Scholar] [CrossRef]
- Qi, C.; Wu, C. Electromagnetohydrodynamic flow in a rectangular microchannel. Sens. Actuators B Chem. 2018, 263, 643–660. [Google Scholar] [CrossRef]
- Vargas, C.; Arcos, J.; Bautista, O.; Mendez, F. Hydrodynamic dispersion in a combined magnetohydrodynamic- electroosmotic-driven flow through a microchannel with slowly varying wall zeta potentials. Phys. Fluids 2017, 29, 092002. [Google Scholar] [CrossRef]
- Mirza, I.A.; Abdulhameed, M.; Vieru, D.; Shafie, S. Transient electro-magneto-hydrodynamic two-phase blood flow and thermal transport through a capillary vessel. Comput. Methods Programs Biomed. 2016, 137, 149–166. [Google Scholar] [CrossRef] [PubMed]
- Xie, Z.-Y.; Jian, Y.-J.; Li, F.-Q. Thermal transport of magnetohydrodynamic electroosmotic flow in circular cylindrical microchannels. Int. J. Heat Mass Transf. 2018, 119, 355–364. [Google Scholar] [CrossRef]
- Chen, X.; Jian, Y.; Xie, Z.; Ding, Z. Thermal transport of electromagnetohydrodynamic in a microtube with electrokinetic effect and interfacial slip. Colloids Surf. A Physicochem. Eng. Asp. 2018, 540, 194–206. [Google Scholar] [CrossRef]
- Zhao, G.; Wang, Z.; Jian, Y. Heat transfer of the MHD nanofluid in porous microtubes under the electrokinetic effects. Int. J. Heat Mass Transf. 2018, 130, 821–830. [Google Scholar] [CrossRef]
- Ali, F.; Iftikhar, M.; Khan, I.; Sheikh, N.A.; Nisar, K.S. Time fractional analysis of electro-osmotic flow of Walters’ sB fluid with time-dependent temperature and concentration. Alex. Eng. J. 2020, 59, 25–38. [Google Scholar] [CrossRef]
- Tso, C.P.; Sundaravadivelu, K. Capillary flow between parallel plates in the presence of an electromagnetic field. J. Phys. D Appl. Phys. 2001, 34, 3522–3527. [Google Scholar] [CrossRef]
- Duwairi, H.; Abdullah, M. Thermal and flow analysis of a magneto-hydrodynamic micropump. Microsyst. Technol. 2006, 13, 33–39. [Google Scholar] [CrossRef]
- Shit, G.C.; Mondal, A.; Sinha, A.; Kundu, P. Electro-osmotically driven MHD flow and heat transfer in micro-channel. Phys. A Stat. Mech. Its Appl. 2016, 449, 437–454. [Google Scholar] [CrossRef]
- Buren, M.; Jian, Y.; Chang, L.; Li, F.; Liu, Q. Combined electromagnetohydrodynamic flow in a microparallel channel with slightly corrugated walls. Fluid Dyn. Res. 2017, 49, 025517. [Google Scholar] [CrossRef]
- Li, F.; Jian, Y.; Buren, M.; Chang, L. Effects of three-dimensional surface corrugations on electromagnetohydrodynamic flow through microchannel. Chin. J. Phys. 2019, 60, 345–361. [Google Scholar] [CrossRef]
- Munshi, F.; Chakraborty, S. Hydroelectrical energy conversion in narrow confinements in the presence of transverse magnetic fields with electrokinetic effects. Phys. Fluids 2009, 21, 122003. [Google Scholar] [CrossRef]
- Das, S.; Chakraborty, S.; Mitra, S.K. Magnetohydrodynamics in narrow fluidic channels in presence of spatially non-uniform magnetic fields: Framework for combined magnetohydrodynamic and magnetophoretic particle transport. Microfluid. Nanofluidics 2012, 13, 799–807. [Google Scholar] [CrossRef]
- Jian, Y.; Chang, L. Electromagnetohydrodynamic (EMHD) micropumps under a spatially non-uniform magnetic field. AIP Adv. 2015, 5, 057121. [Google Scholar] [CrossRef]
- Moghaddam, S. MHD micropumping of power-law fluids: A numerical solution. Korea-Aust. Rheol. J. 2013, 25, 29–37. [Google Scholar] [CrossRef]
- Jian, Y. Transient MHD heat transfer and entropy generation in a microparallel channel combined with pressure and electroosmotic effects. Int. J. Heat Mass Transf. 2015, 89, 193–205. [Google Scholar] [CrossRef]
- Shit, G.C.; Ranjit, N.K.; Sinha, A. Electro-magnetohydrodynamic Flow of Biofluid Induced by Peristaltic Wave: A Non-newtonian Model. J. Bionic Eng. 2016, 13, 436–448. [Google Scholar] [CrossRef]
- Ranjit, N.K.; Shit, G. Entropy generation on electro-osmotic flow pumping by a uniform peristaltic wave under magnetic environment. Energy 2017, 128, 649–660. [Google Scholar] [CrossRef]
- Kiyasatfar, M.; Pourmahmoud, N. Laminar MHD flow and heat transfer of power-law fluids in square microchannels. Int. J. Therm. Sci. 2016, 99, 26–35. [Google Scholar] [CrossRef]
- Liu, Y.; Jian, Y.; Tan, W. Entropy generation of electromagnetohydrodynamic (EMHD) flow in a curved rectangular microchannel. Int. J. Heat Mass Transf. 2018, 127, 901–913. [Google Scholar] [CrossRef]
- Mondal, A.; Mandal, P.K.; Weigand, B.; Nayak, A.K. Entropic and heat-transfer analysis of EMHD flows with temperature-dependent properties. Fluid Dyn. Res. 2020, 52, 065503. [Google Scholar] [CrossRef]
- Ranjit, N.K.; Shit, G. Entropy generation on electromagnetohydrodynamic flow through a porous asymmetric micro-channel. Eur. J. Mech.-B/Fluids 2019, 77, 135–147. [Google Scholar] [CrossRef]
- Ramesh, K.; Kumar, D.; Devakar, M. Electrokinetically modulated flow of couple stress magneto-nanofluids in a microfluidic channel. Heat Transf.—Asian Res. 2018, 48, 379–397. [Google Scholar] [CrossRef]
- Noreen, S.; Waheed, S.; Lu, D.; Hussanan, A. Entropy generation in electromagnetohydrodynamic water based three Nano fluids via porous asymmetric microchannel. Eur. J. Mech.-B/Fluids 2020, 85, 458–466. [Google Scholar] [CrossRef]
- Ghosh, U. Electro-magneto-hydrodynamics of non-linear viscoelastic fluids. J. Non-Newton. Fluid Mech. 2020, 277, 104234. [Google Scholar] [CrossRef]
- Wang, X.; Xu, H.; Qi, H. Transient magnetohydrodynamic flow and heat transfer of fractional Oldroyd-B fluids in a microchannel with slip boundary condition. Phys. Fluids 2020, 32, 103104. [Google Scholar] [CrossRef]
- Elmaboud, Y.A. Electroosmotic flow of generalized Burgers’ fluid with Caputo–Fabrizio derivatives through a vertical annulus with heat transfer. Alex. Eng. J. 2020, 59, 4563–4575. [Google Scholar] [CrossRef]
- Khan, M.; Farooq, A.; Khan, W.A.; Hussain, M. Exact solution of an electroosmotic flow for generalized Burgers fluid in cylindrical domain. Results Phys. 2016, 6, 933–939. [Google Scholar] [CrossRef]
- Turkyilmazoglu, M. Analytic heat and mass transfer of the mixed hydrodynamic/thermal slip MHD viscous flow over a stretching sheet. Int. J. Mech. Sci. 2011, 53, 886–896. [Google Scholar] [CrossRef]
- Turkyilmazoglu, M. Multiple solutions of heat and mass transfer of MHD slip flow for the viscoelastic fluid over a stretching sheet. Int. J. Therm. Sci. 2011, 50, 2264–2276. [Google Scholar] [CrossRef]
- Turkyilmazoglu, M. The analytical solution of mixed convection heat transfer and fluid flow of a MHD viscoelastic fluid over a permeable stretching surface. Int. J. Mech. Sci. 2013, 77, 263–268. [Google Scholar] [CrossRef]
- Chamkha, A.J.; Dogonchi, A.S.; Ganji, D.D. Magneto-hydrodynamic flow and heat transfer of a hybrid nanofluid in a rotating system among two surfaces in the presence of thermal radiation and Joule heating. AIP Adv. 2019, 9, 025103. [Google Scholar] [CrossRef]
- Turkyilmazoglu, M. An analytical treatment for the exact solutions of MHD flow and heat over two–three dimensional deforming bodies. Int. J. Heat Mass Transf. 2015, 90, 781–789. [Google Scholar] [CrossRef]
- Turkyilmazoglu, M. Magnetic Field and Slip Effects on the Flow and Heat Transfer of Stagnation Point Jeffrey Fluid over Deformable Surfaces. Z. Nat. A 2016, 71, 549–556. [Google Scholar] [CrossRef]
- Turkyilmazoglu, M. Magnetohydrodynamic Moving Liquid Plug within a Microchannel: Analytical Solutions. J. Biomech. Eng. 2020, 143, 011012. [Google Scholar] [CrossRef]
- Sheikholeslami, M.; Ganji, D.D. Numerical investigation of nanofluid melting heat transfer between two pipes. Alex. Eng. J. 2018, 57, 1261–1269. [Google Scholar] [CrossRef]
- Salehi, S.; Nori, A.; Hosseinzadeh, K.; Ganji, D. Hydrothermal analysis of MHD squeezing mixture fluid suspended by hybrid nanoparticles between two parallel plates. Case Stud. Therm. Eng. 2020, 21, 100650. [Google Scholar] [CrossRef]
- Hosseinzadeh, K.; Roghani, S.; Mogharrebi, A.R.; Asadi, A.; Ganji, D.D. Optimization of hybrid nanoparticles with mixture fluid flow in an octagonal porous medium by effect of radiation and magnetic field. J. Therm. Anal.Calorim. 2021, 143, 1413–1424. [Google Scholar] [CrossRef]
- Sheikholeslami, M.; Ganji, D. Nanofluid hydrothermal behavior in existence of Lorentz forces considering Joule heating effect. J. Mol. Liq. 2016, 224, 526–537. [Google Scholar] [CrossRef]
- Dogonchi, A.S.; Ganji, D.D. Thermal radiation effect on the Nano-fluid buoyancy flow and heat transfer over a stretching sheet considering Brownian motion. J. Mol. Liq. 2016, 223, 521–527. [Google Scholar] [CrossRef]
- Mahapatra, B.; Bandopadhyay, A. Numerical analysis of combined electroosmotic-pressure driven flow of a viscoelastic fluid over high zeta potential modulated surfaces. Phys. Fluids 2021, 33, 012001. [Google Scholar] [CrossRef]
- Yuan, S.; Jiang, B.; Peng, T.; Zhou, M.; Drummer, D. Investigation of efficient mixing enhancement in planar micromixers with short mixing length. Chem. Eng. Process. Process Intensif. 2021, 171, 108747. [Google Scholar] [CrossRef]
- Mehta, S.K.; Pati, S. Enhanced Electroosmotic Mixing in a Wavy Micromixer Using Surface Charge Heterogeneity. Ind. Eng. Chem. Res. 2022, 61, 2904–2914. [Google Scholar] [CrossRef]
- Wu, Y.; Hu, B.; Ma, X.; Zhang, H.; Li, W.; Wang, Y.; Wang, S. Generation of droplets with adjustable chemical concentrations based on fixed potential induced-charge electro-osmosis. Lab Chip 2021, 22, 403–412. [Google Scholar] [CrossRef]
- Saha, S.; Kundu, B. Electroosmotic pressure-driven oscillatory flow and mass transport of Oldroyd-B fluid under high zeta potential and slippage conditions in microchannels. Colloids Surf. A Physicochem. Eng. Asp. 2022, 647, 129070. [Google Scholar] [CrossRef]
- Li, Z.; Zhang, B.; Dang, D.; Yang, X.; Yang, W.; Liang, W. A review of microfluidic-based mixing methods. Sens. Actuators A Phys. 2022, 344, 113757. [Google Scholar] [CrossRef]
- Liu, M.; Li, N.; Cui, S.; Li, G.; Yang, F. Biochemical Reaction Acceleration by Electrokinetic Mixing in a Microfluidic Chip. J. Phys. Chem. Lett. 2022, 13, 5633–5637. [Google Scholar] [CrossRef]
- Nady, E.; Nagy, G.; Huszánk, R. Improvement in mixing efficiency of microfluidic passive mixers functionalized by microstructures created with proton beam lithography. Chem. Eng. Sci. 2022, 247, 117006. [Google Scholar] [CrossRef]
- Zhao, S.; Huang, J.; Lei, J.; Huo, D.; Huang, Q.; Tan, J.; Li, Y.; Hou, C.; Tian, F. A portable and automatic dual-readout detector integrated with 3D-printed microfluidic nanosensors for rapid carbamate pesticides detection. Sens. Actuators B Chem. 2021, 346, 130454. [Google Scholar] [CrossRef]
- Gopi, R.; Thangarasu, V.; Ramanathan, A. A critical review of recent advancements in continuous flow reactors and prominent integrated microreactors for biodiesel production. Renew. Sustain. Energy Rev. 2021, 154, 111869. [Google Scholar]
- Granados-Ortiz, F.J.; Garcia-Cardosa, M.; Ortega-Casanova, J. Effect of wall modifications in a vortex shedding-based mechanical micromixer for heat/mass exchange. Eur. J. Mech. B Fluids 2022, 92, 174–190. [Google Scholar] [CrossRef]
- Wu, M.; Gao, Y.; Ghaznavi, A.; Zhao, W.; Xu, J. AC electroosmosis micromixing on a lab-on-a-foil electric microfluidic device. Sens. Actuators B Chem. 2022, 359, 131611. [Google Scholar] [CrossRef]
- Bai, C.; Zhou, W.; Yu, S.; Zheng, T.; Wang, C. A surface acoustic wave-assisted micromixer with active temperature control. Sens. Actuators A Phys. 2022, 346, 113833. [Google Scholar] [CrossRef]
- Gimondi, S.; Guimarães, C.F.; Vieira, S.F.; Gonçalves, V.M.; Tiritan, M.E.; Reis, R.L.; Ferreira, H.; Neves, N.M. Microfluidic mixing system for precise PLGA-PEG nanoparticles size control. Nanomedicine: Nanotechnology. Biol. Med. 2022, 40, 102482. [Google Scholar]
- Qamareen, A.; Ansari, M.A.; Alam, S.S. Mixing enhancement using the aiding and opposing flow effects in curved micro channel. Chem. Eng. Process. Process Intensif. 2022, 176, 108945. [Google Scholar] [CrossRef]
- Hong, H.; Yeom, E. Numerical and experimental analysis of effective passive mixing via a 3D serpentine channel. Chem. Eng. Sci. 2022, 261, 117972. [Google Scholar] [CrossRef]
- Banerjee, A.; Nayak, A.K. Influence of varying zeta potential on non-Newtonian flow mixing in a wavy patterned microchannel. J. Non-Newton. Fluid Mech. 2019, 269, 17–27. [Google Scholar] [CrossRef]
- Rashidi, S.; Bafekr, H.; Valipour, M.S.; Esfahani, J.A. A review on the application, simulation, and experiment of the electrokinetic mixers. Chem. Eng. Process 2018, 126, 108–122. [Google Scholar] [CrossRef]
- Mondal, B.; Mehta, S.K.; Pati, S.; Patowari, P.K. Numerical analysis of electroosmotic mixing in a heterogeneous charged micromixer with obstacles. Chem. Eng. Process. Process Intensif. 2021, 168, 108585. [Google Scholar] [CrossRef]
- Channon, R.B.; Menger, R.F.; Wang, W.; Carrão, D.B.; Vallabhuneni, S.; Kota, A.K.; Henry, C.S. Design and application of a self-pumping microfluidic staggered herringbone mixer. Microfluid. Nanofluidics 2021, 25, 1–8. [Google Scholar] [CrossRef]
- Cheng, Y.; Jiang, Y.; Wang, W. Numerical simulation for electro-osmotic mixing under three types of periodic potentials in a T-shaped micro-mixer. Chem. Eng. Process. Process Intensif. 2018, 127, 93–102. [Google Scholar] [CrossRef]
- Shah, I.; Kim, S.W.; Kim, K.; Doh, Y.H.; Choi, K.H. Experimental and numerical analysis of Y-shaped split and recombination micro-mixer with different mixing units. Chem. Eng. J. 2018, 358, 691–706. [Google Scholar] [CrossRef]
- Wang, X.; Liu, Z.; Yang, Y.; Cai, Y.; Song, Q.; Wang, B. Effects of sidewall roughness on mixing performance of zigzag microchannels. Chem. Eng. Process 2022, 179, 109057. [Google Scholar] [CrossRef]
- Seo, H.-S.; Kim, Y.-J. A study on the mixing characteristics in a hybrid type microchannel with various obstacle configurations. Mater. Res. Bull. 2012, 47, 2948–2951. [Google Scholar] [CrossRef]
- Nazari, M.; Rashidi, S.; Esfahani, J.A. Mixing process and mass transfer in a novel design of induced-charge electrokinetic micromixer with a conductive mixing-chamber. Int. Commun. Heat Mass Transf. 2019, 108, 104293. [Google Scholar] [CrossRef]
- Vasista, K.N.; Mehta, S.K.; Pati, S. Electroosmotic mixing in a microchannel with heterogeneous slip dependent zeta potential. Chem. Eng. Process. Process Intensif. 2022, 176, 108940. [Google Scholar] [CrossRef]
- Alipanah, M.; Hatami, M.; Ramiar, A. Thermal and rheological investigation of non-Newtonian fluids in an induced-charge electroosmotic micromixer. Eur. J. Mech.-B/Fluids 2021, 88, 178–190. [Google Scholar] [CrossRef]
- Al-Ali, A.; Waheed, W.; Abu-Nada, E.; Alazzam, A. A review of active and passive hybrid systems based on Dielectrophoresis for the manipulation of microparticles. J. Chromatogr. A 2022, 1676, 463268. [Google Scholar] [CrossRef]
- Kwon, T.; Choi, K.; Han, J. Separation of Ultra-High-Density Cell Suspension via Elasto-Inertial Microfluidics. Small 2021, 17, 2101880. [Google Scholar] [CrossRef] [PubMed]
- Ghasemi, A.; Ramiar, A. Numerical investigation of continuous acoustic particle separation using electrothermal pumping in a point of care microfluidic device. Chem. Eng. Process. Process Intensif. 2022, 176, 108964. [Google Scholar] [CrossRef]
- Ebrahimi, S.; Shamloo, A.; Alishiri, M.; Mofrad, Y.M.; Akherati, F. Targeted pulmonary drug delivery in coronavirus disease (COVID-19) therapy: A patient-specific in silico study based on magnetic nanoparticles-coated microcarriers adhesion. Int. J. Pharm. 2021, 609, 121133. [Google Scholar] [CrossRef] [PubMed]
- Poncelet, L.; Malic, L.; Clime, L.; Geissler, M.; Morton, K.J.; Nassif, C.; Da Fonte, D.; Veilleux, G.; Veres, T. Multifunctional magnetic nanoparticle cloud assemblies for in situ capture of bacteria and isolation of microbial DNA. Anal. 2021, 146, 7491–7502. [Google Scholar] [CrossRef] [PubMed]
- Jia, L.; Li, X.; Liu, H.; Xia, J.; Shi, X.; Shen, M. Ultrasound-enhanced precision tumor theranostics using cell membrane-coated and pH-responsive nanoclusters assembled from ultrasmall iron oxide nanoparticles. Nano Today 2021, 36, 101022. [Google Scholar] [CrossRef]
- Mohammadi, S.; Rafii-Tabar, H.; Sasanpour, P. Contribution of the dipole–dipole interaction to targeting efficiency of magnetite nanoparticles inside the blood vessel: A computational modeling analysis with different magnet geometries. Phys. Fluids 2022, 34, 033601. [Google Scholar] [CrossRef]
- Das, D.; Al-Rjoub, M.F.; Heineman, W.R.; Banerjee, R.K. Efficient capture of magnetic microbeads by sequentially switched electroosmotic flow—An experimental study. J. Micromech. Microeng. 2016, 26, 55013. [Google Scholar] [CrossRef]
- Alipanah, M.; Hafttananian, M.; Hedayati, N.; Ramiar, A.; Alipanah, M. Microfluidic on-demand particle separation using induced charged electroosmotic flow and magnetic field. J. Magn. Magn. Mater. 2021, 537, 168156. [Google Scholar] [CrossRef]
- Teodoro, C.; Bautista, O.; Mendez, F. Mass transport and separation of species in an oscillating electro-osmotic flow caused by distinct periodic electric fields. Phys. Scr. 2019, 94, 115012. [Google Scholar] [CrossRef]
- Cao, L.; Zhang, P.; Si, X. Electroosmotic flow of two-layer fluid containing Oldroyd-B fluid with fractional derivative in a rotating microparallel channel. Microfluid. Nanofluidics 2022, 26, 1–12. [Google Scholar] [CrossRef]
- Xiao, B.; Wang, W.; Zhang, X.; Long, G.; Fan, J.; Chen, H.; Deng, L. A novel fractal solution for permeability and Kozeny-Carman constant of fibrous porous media made up of solid particles and porous fibers. Powder Technol. 2019, 349, 92–98. [Google Scholar] [CrossRef]
- Liang, M.; Fu, C.; Xiao, B.; Luo, L.; Wang, Z. A fractal study for the effective electrolyte diffusion through charged porous media. Int. J. Heat Mass Transf. 2019, 137, 365–371. [Google Scholar] [CrossRef]
- Villarroel-Schneider, J.; Malmquist, A.; Araoz, J.A.; Martí-Herrero, J.; Martin, A. Performance Analysis of a Small-Scale Biogas-Based Trigeneration Plant: An Absorption Refrigeration System Integrated to an Externally Fired Microturbine. Energies 2019, 12, 3830. [Google Scholar] [CrossRef]
- Fraga-Lamas, P.; Fernández-Caramés, T.M.; Suárez-Albela, M.; Castedo, L.; González-López, M. A Review on Internet of Things for Defense and Public Safety. Sensors 2016, 16, 1644. [Google Scholar] [CrossRef]
- Bußmann, A.B.; Grünerbel, L.M.; Durasiewicz, C.P.; Thalhofer, T.A.; Wille, A.; Richter, M. Microdosing for drug delivery application—A review. Sens. Actuator A Phys. 2021, 330, 112820. [Google Scholar] [CrossRef]
- Kundu, B. Exact analysis for propagation of heat in a biological tissue subject to different surface conditions for therapeutic applications. Appl. Math. Comput. 2016, 285, 204–216. [Google Scholar] [CrossRef]
- Kundu, B.; Dewanjee, D. A new method for non-Fourier thermal response in a single layer skin tissue. Case Stud. Therm. Eng. 2015, 5, 79–88. [Google Scholar] [CrossRef]












Publisher’s Note: MDPI stays neutral with regard to jurisdictional claims in published maps and institutional affiliations. |
© 2022 by the authors. Licensee MDPI, Basel, Switzerland. This article is an open access article distributed under the terms and conditions of the Creative Commons Attribution (CC BY) license (https://creativecommons.org/licenses/by/4.0/).
Share and Cite
Kundu, B.; Saha, S. Review and Analysis of Electro-Magnetohydrodynamic Flow and Heat Transport in Microchannels. Energies 2022, 15, 7017. https://doi.org/10.3390/en15197017
Kundu B, Saha S. Review and Analysis of Electro-Magnetohydrodynamic Flow and Heat Transport in Microchannels. Energies. 2022; 15(19):7017. https://doi.org/10.3390/en15197017
Chicago/Turabian StyleKundu, Balaram, and Sujit Saha. 2022. "Review and Analysis of Electro-Magnetohydrodynamic Flow and Heat Transport in Microchannels" Energies 15, no. 19: 7017. https://doi.org/10.3390/en15197017
APA StyleKundu, B., & Saha, S. (2022). Review and Analysis of Electro-Magnetohydrodynamic Flow and Heat Transport in Microchannels. Energies, 15(19), 7017. https://doi.org/10.3390/en15197017

