Longitudinal DC Discharge in a Supersonic Flow: Numerical Simulation and Experiment
Abstract
1. Introduction
2. Experimental Setup and Measurement Methods
3. CFD Simulation in FlowVision
3.1. Equations
3.2. Calculation Domain
4. CFD Simulation in Plasmaero
4.1. Equations
4.2. Calculation Domain
5. Results and Discussion
5.1. Featured Experiment Results
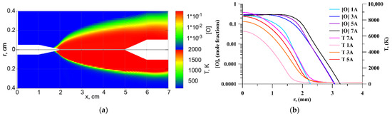
5.2. Featured FlowVision Results
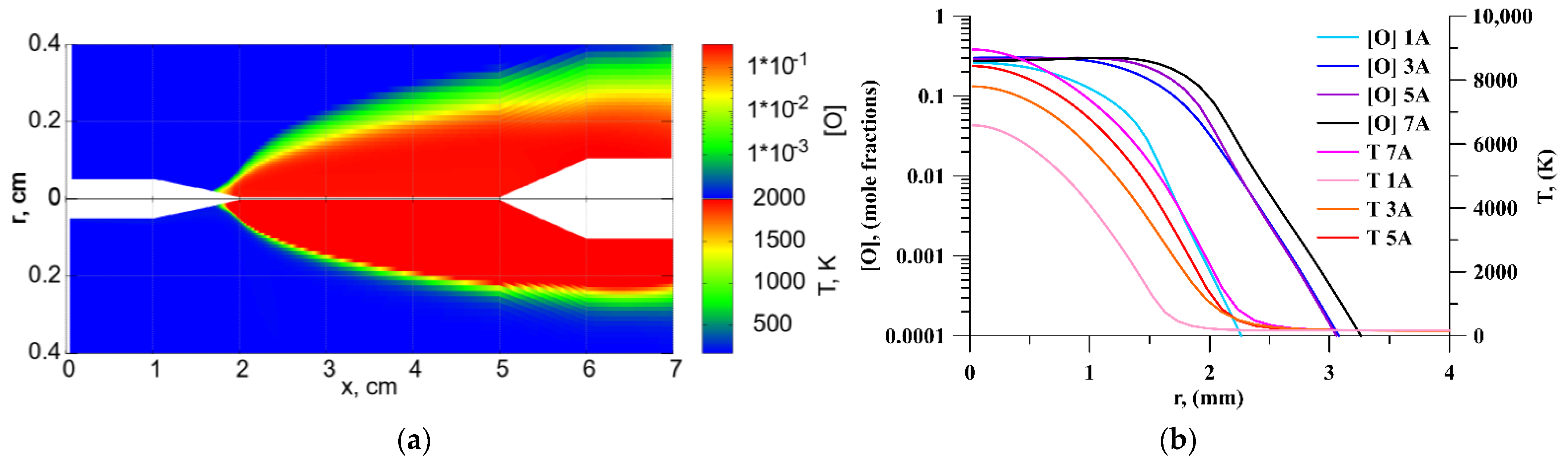
5.3. Featured Plasmaero Results
6. Conclusions
Author Contributions
Funding
Data Availability Statement
Acknowledgments
Conflicts of Interest
Appendix A
Appendix B

References
- Caruana, D. Plasmas for Aerodynamic Control. Plasma Phys. Control. Fusion 2010, 52, 124045. [Google Scholar] [CrossRef]
- Knight, D.D. Energy Deposition for High-Speed Flow Control; Cambridge University Press: Cambridge, UK; New York, NY, USA, 2019; Volume 47, ISBN 1108605516. [Google Scholar]
- Starikovskiy, A.Y.; Aleksandrov, N.L. Gasdynamic Flow Control by Ultrafast Local Heating in a Strongly Nonequilibrium Pulsed Plasma. Plasma Phys. Rep. 2021, 47, 148–209. [Google Scholar] [CrossRef]
- Firsov, A.A.; Shurupov, M.A.; Yarantsev, D.A.; Leonov, S.B.; Shneider, M.N. Mixing Actuation by Unstable Filamentary Discharge. In Proceedings of the 51st AIAA Aerospace Sciences Meeting including the New Horizons Forum and Aerospace Exposition, Grapevine, TX, USA, 7–10 January 2013; p. 1188. [Google Scholar] [CrossRef]
- Dolgov, E.V.; Kolosov, N.S.; Firsov, A.A. The Study of the Discharge Influence on Mixing of Gaseous Fuel Jet with the Supersonic Air Flow. Comput. Res. Modeling 2019, 11, 849–860. [Google Scholar] [CrossRef]
- Firsov, A.A.; Efimov, A.V.; Kolosov, N.S.; Moralev, I.A.; Leonov, S.B. Intensification of Mixing of Fuel with Supersonic Air Flow When Injection and Electric Discharge Are Combined. J. Phys. Conf. Ser. 2021, 2100, 012007. [Google Scholar] [CrossRef]
- Feng, R.; Sun, M.; Wang, H.; Huang, Y.; Tian, Y.; Wang, C.; Liu, X.; Zhu, J.; Wang, Z. Experimental Investigation of Flameholding in a Cavity-Based Scramjet Combustor by a Multi-Channel Gliding Arc. Aerosp. Sci. Technol. 2022, 121, 107381. [Google Scholar] [CrossRef]
- Leonov, S.B.; Elliott, S.; Carter, C.; Houpt, A.; Lax, P.; Ombrello, T. Modes of Plasma-Stabilized Combustion in Cavity-Based M = 2 Configuration. Exp. Therm. Fluid Sci. 2021, 124, 110355. [Google Scholar] [CrossRef]
- Leonov, S. Electrically Driven Supersonic Combustion. Energies 2018, 11, 1733. [Google Scholar] [CrossRef]
- Cai, Z.; Wang, T.; Sun, M. Review of Cavity Ignition in Supersonic Flows. Acta Astronaut. 2019, 165, 268–286. [Google Scholar] [CrossRef]
- Liu, Q.; Baccarella, D.; Lee, T. Review of Combustion Stabilization for Hypersonic Airbreathing Propulsion. Prog. Aerosp. Sci. 2020, 119, 100636. [Google Scholar] [CrossRef]
- Kourtzanidis, K.; Dufour, G.; Rogier, F. Self-Consistent Modeling of a Surface AC Dielectric Barrier Discharge Actuator: In-Depth Analysis of Positive and Negative Phases. J. Phys. D Appl. Phys. 2020, 54, 045203. [Google Scholar] [CrossRef]
- Moralev, I.; Ustinov, M.; Kotvitskii, A.; Popov, I.; Selivonin, I.; Kazanskii, P. Stochastic Disturbances, Induced by Plasma Actuator in a Flat Plate Boundary Layer. Phys. Fluids 2022, 34, 054117. [Google Scholar] [CrossRef]
- Znamenskaya, I.; Chernikov, V.; Azarova, O. Dynamics of Shock Structure and Frontal Drag Force in a Supersonic Flow Past a Blunt Cone under the Action of Plasma Formation. Fluids 2021, 6, 399. [Google Scholar] [CrossRef]
- Znamenskaya, I.A.; Dolbnya, D.I.; Ivanov, I.E.; Kuli-zade, T.A.; Sysoev, N.N. Pulse Volume Discharge behind Shock Wave in Channel Flow with Obstacle. Acta Astronaut. 2022, 195, 493–501. [Google Scholar] [CrossRef]
- Mursenkova, I.V.; Ivanov, I.E.; Liao, Y.; Kryukov, I.A. Experimental and Numerical Investigation of a Surface Sliding Discharge in a Supersonic Flow with an Oblique Shock Wave. Energies 2022, 15, 2189. [Google Scholar] [CrossRef]
- Zhang, C.B.; Yang, H.; Liang, H.; Guo, S.G. Plasma-Based Experimental Investigation of Double Compression Ramp Shock Wave/Boundary Layer Interaction Control. J. Phys. D Appl. Phys. 2022, 55, 325202. [Google Scholar] [CrossRef]
- Leonov, S.B.; Firsov, A.A.; Yarantsev, D.A.; Falempin, F.; Miller, A. Flow Control in Model Supersonic Inlet by Electrical Discharge. In Proceedings of the 16th AIAA/DLR/DGLR International Space Planes and Hypersonic Systems and Technologies Conference, Bremen, Germany, 19–22 October 2009; p. 7367. [Google Scholar] [CrossRef]
- Watanabe, Y.; Elliott, S.; Firsov, A.; Houpt, A.; Leonov, S. Rapid Control of Force/Momentum on a Model Ramp by Quasi-DC Plasma. J. Phys. D Appl. Phys. 2019, 52, 444003. [Google Scholar] [CrossRef]
- Firsov, A.; Savelkin, K.V.; Yarantsev, D.A.; Leonov, S.B. Plasma-Enhanced Mixing and Flameholding in Supersonic Flow. Philos. Trans. R. Soc. A Math. Phys. Eng. Sci. 2015, 373, 20140337. [Google Scholar] [CrossRef]
- Firsov, A.A.; Kolosov, N.S. Combustion in a Supersonic Flow Using a Pylon Equipped with a Plasma Actuator. J. Phys. Conf. Ser. 2021, 2100, 012017. [Google Scholar] [CrossRef]
- Alferov, V.I.; Bushmin, A.S. Electrical Discharge in a Supersonic Air Flow. J. Exp. Theor. Phys. 1963, 17, 1775–1779. [Google Scholar]
- Shibkova, L.V.; Shibkov, V.M.; Logunov, A.A.; Dolbnya, D.S.; Kornev, K.N. Parameters of Pulsed Discharge Plasma in High-Speed Gas Flows. High Temp. 2020, 58, 754–760. [Google Scholar] [CrossRef]
- Leonov, B.S.; Hedlund, B.; Houpt, A. Morphology of a Q-DC Discharge within a Fuel Injection Jet in a Supersonic Cross-Flow. In Proceedings of the AIAA Aerospace Sciences Meeting, Kissimmee, FL, USA, 8–12 January 2018; p. 1060. [Google Scholar] [CrossRef]
- Firsov, A.A.; Yarantsev, D.A.; Leonov, S.B. Control of Q-DC Electrical Discharge Position in Supersonic Flow by External Magnetic Field. In Proceedings of the 46th AIAA Plasmadynamics and Lasers Conference, Dallas, TX, USA, 22–26 June 2015; p. 2659. [Google Scholar] [CrossRef]
- Firsov, A.A.; Yarantsev, D.A.; Leonov, S.B.; Ivanov, V.V. Numerical Simulation of Ethylene Combustion in Supersonic Air Flow. Comput. Res. Modeling 2017, 9, 75–86. [Google Scholar] [CrossRef][Green Version]
- Efimov, A.V.; Firsov, A.A.; Kolosov, N.S.; Leonov, S.B. Characterization of Electric Discharge Collocated with Gas Jet in Supersonic Airflow. Plasma Sources Sci. Technol. 2020, 29, 07LT01. [Google Scholar] [CrossRef]
- Moralev, I.; Kazanskii, P.; Bityurin, V.; Bocharov, A.; Firsov, A.; Dolgov, E.; Leonov, S. Gas Dynamics of the Pulsed Electric Arc in the Transversal Magnetic Field. J. Phys. D Appl. Phys. 2020, 53, 425203. [Google Scholar] [CrossRef]
- Rakhimov, R.G.; Moralev, I.A.; Firsov, A.A.; Bityurin, V.A.; Bocharov, A.N. On the Gasdynamics of the Electric Discharge in External Magnetic Field. J. Phys. Conf. Ser. 2019, 1147, 012128. [Google Scholar] [CrossRef]
- Bityurin, V.A.; Bocharov, A.N.; Kuznetsova, T.N. Numerical Simulation of an Axisymmetric Discharge in a Supersonic Air Co-Flow. J. Phys. Conf. Ser. 2020, 1698, 012027. [Google Scholar] [CrossRef]
- Gray, M.D.; Sirohi, J.; Raja, L.L. Modeling and Physical Analysis of Rail Plasma Actuator Arc. In Proceedings of the 2018 AIAA Aerospace Sciences Meeting, Kissimmee, FL, USA, 8–12 January 2018; p. 0935. [Google Scholar] [CrossRef]
- Bourlet, A.; Labaune, J.; Tholin, F.; Pechereau, F.; Vincent-Randonnier, A.; Laux, C.O. Numerical Model of Restrikes in DC Gliding Arc Discharges. In Proceedings of the AIAA SCITECH 2022 Forum, San Diego, CA, USA, 3–7 January 2022; p. 831. [Google Scholar] [CrossRef]
- Aksenov, A.A. FlowVision: Industrial Computational Fluid Dynamics. Comput. Res. Modeling 2017, 9, 5–20. [Google Scholar] [CrossRef]
- FlowVision User Manual. Available online: https://flowvisioncfd.com/webhelp/fven_31204/ (accessed on 14 September 2022).
- D’Angola, A.; Colonna, G.; Gorse, C.; Capitelli, M. Thermodynamic and Transport Properties in Equilibrium Air Plasmas in a Wide Pressure and Temperature Range. Eur. Phys. J. D 2007, 46, 129–150. [Google Scholar] [CrossRef]
- Tarasov, D.A.; Firsov, A.A. CFD Simulation of DC-Discharge in Airflow. J. Phys. Conf. Ser. 2021, 2100, 012015. [Google Scholar] [CrossRef]
- Bityurin, V.A.; Bocharov, A.N. MHD Heat Flux Mitigation in Hypersonic Flow around a Blunt Body with Ablating Surface. J. Phys. D Appl. Phys. 2018, 51, 264001. [Google Scholar] [CrossRef]
- Bityurin, V.A.; Bocharov, A.N. Magnetohydrodynamic Interaction in Hypersonic Air Flow Past a Blunt Body. Fluid Dyn. 2006, 41, 843–856. [Google Scholar] [CrossRef]
- Bityurin, V.A.; Bocharov, A.N.; Popov, N.A. Numerical Simulation of an Electric Discharge in Supersonic Flow. Fluid Dyn. 2008, 43, 642–653. [Google Scholar] [CrossRef]
- Leakey, S.; Glenis, V.; Hewett, C.J.M. A Novel Godunov-Type Scheme for Free-Surface Flows with Artificial Compressibility. Comput. Methods Appl. Mech. Eng. 2022, 393, 114763. [Google Scholar] [CrossRef]
- Gustafsson, I. On Modified Incomplete Factorization Methods. In Numerical Integration of Differential Equations and Large Linear Systems. Lecture Notes in Mathematics; Hinze, J., Ed.; Springer: Berlin/Heidelberg, Germany, 1982; Volume 968, pp. 334–351. [Google Scholar] [CrossRef]
- Park, C. Review of Chemical-Kinetic Problems of Future NASA Missions. I: Earth Entries. J. Thermophys. Heat Transf. 2012, 7, 385–398. [Google Scholar] [CrossRef]
- Popov, N.A. Fast Gas Heating in a Nitrogen–Oxygen Discharge Plasma: I. Kinetic Mechanism. J. Phys. D Appl. Phys. 2011, 44, 285201. [Google Scholar] [CrossRef]
- Pusateri, E.N.; Morris, H.E.; Nelson, E.M.; Ji, W. Determination of Equilibrium Electron Temperature and Times Using an Electron Swarm Model with BOLSIG+ Calculated Collision Frequencies and Rate Coefficients. J. Geophys. Res. Atmos. 2015, 120, 7300–7315. [Google Scholar] [CrossRef]
- Shibkov, V.M.; Shibkova, L.V.; Logunov, A.A. Parameters of the Plasma of a Dc Pulsating Discharge in a Supersonic Air Flow. Plasma Phys. Rep. 2017, 43, 373–380. [Google Scholar] [CrossRef]













Publisher’s Note: MDPI stays neutral with regard to jurisdictional claims in published maps and institutional affiliations. |
© 2022 by the authors. Licensee MDPI, Basel, Switzerland. This article is an open access article distributed under the terms and conditions of the Creative Commons Attribution (CC BY) license (https://creativecommons.org/licenses/by/4.0/).
Share and Cite
Firsov, A.; Bityurin, V.; Tarasov, D.; Dobrovolskaya, A.; Troshkin, R.; Bocharov, A. Longitudinal DC Discharge in a Supersonic Flow: Numerical Simulation and Experiment. Energies 2022, 15, 7015. https://doi.org/10.3390/en15197015
Firsov A, Bityurin V, Tarasov D, Dobrovolskaya A, Troshkin R, Bocharov A. Longitudinal DC Discharge in a Supersonic Flow: Numerical Simulation and Experiment. Energies. 2022; 15(19):7015. https://doi.org/10.3390/en15197015
Chicago/Turabian StyleFirsov, Alexander, Valentin Bityurin, Dmitriy Tarasov, Anastasia Dobrovolskaya, Roman Troshkin, and Aleksey Bocharov. 2022. "Longitudinal DC Discharge in a Supersonic Flow: Numerical Simulation and Experiment" Energies 15, no. 19: 7015. https://doi.org/10.3390/en15197015
APA StyleFirsov, A., Bityurin, V., Tarasov, D., Dobrovolskaya, A., Troshkin, R., & Bocharov, A. (2022). Longitudinal DC Discharge in a Supersonic Flow: Numerical Simulation and Experiment. Energies, 15(19), 7015. https://doi.org/10.3390/en15197015

