Effect of a Six Week In-Season Training Program on Wrestling-Specific Competitive Performance
Abstract
:1. Introduction
2. Materials and Methods
2.1. Subjects
2.2. Wrestling Training
2.3. Physical Fitness Training
2.4. Special Wrestling Fitness Test
2.5. Statistical Analysis
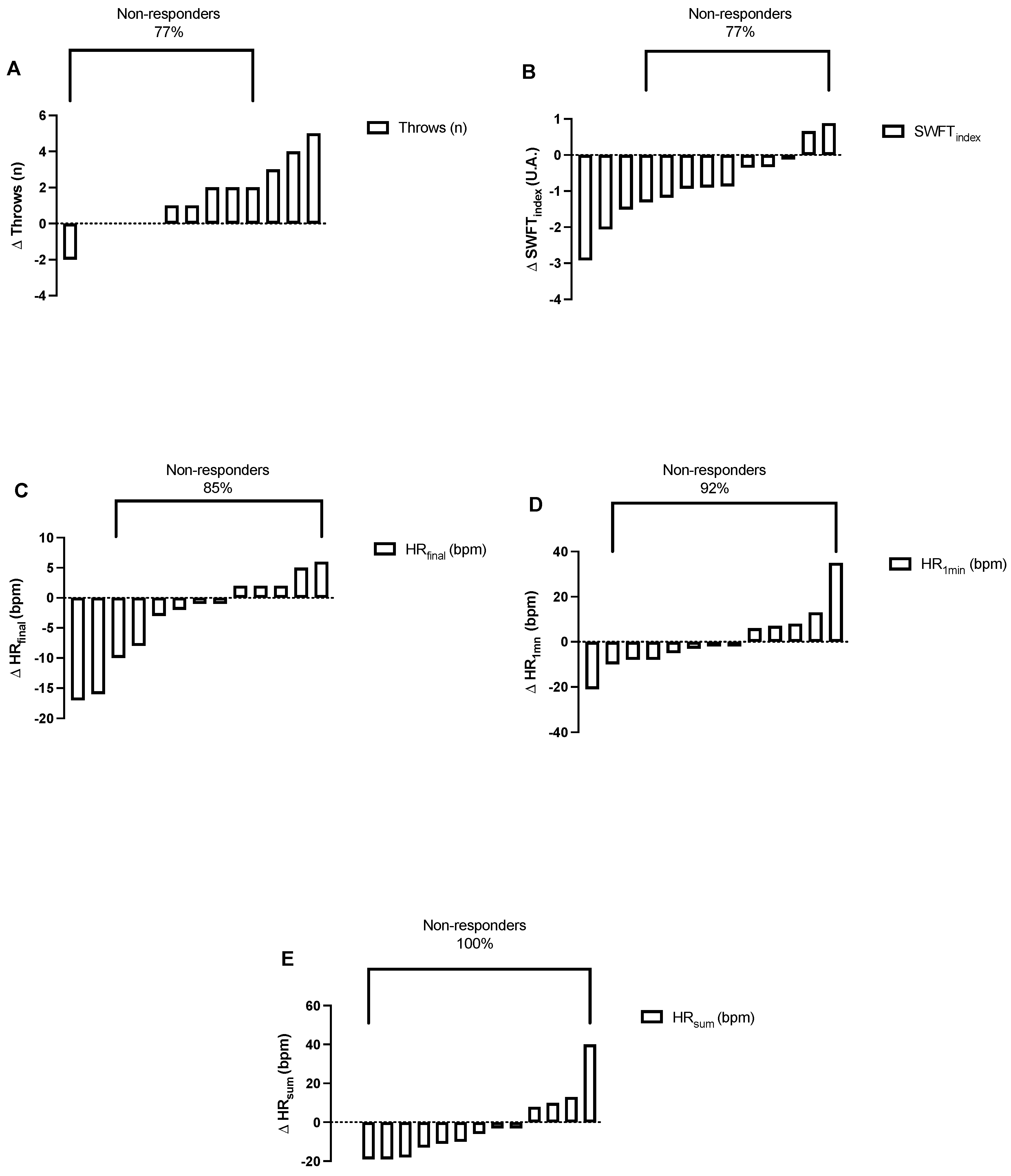
3. Results
4. Discussion
5. Conclusions
Author Contributions
Funding
Institutional Review Board Statement
Informed Consent Statement
Data Availability Statement
Acknowledgments
Conflicts of Interest
References
- Sciranka, J.; Augustovicova, D.; Stefanovsky, M. Time-motion analysis in freestyle wrestling: Weight category as a factor in different time-motion structures. Ido Mov. Cult. 2022, 22, 1–8. [Google Scholar] [CrossRef]
- Chaabene, H.; Negra, Y.; Bouguezzi, R.; Mkaouer, B.; Franchini, E.; Julio, U.; Hachana, Y. Physical and Physiological Attributes of Wrestlers: An Update. J. Strength Cond. Res. 2017, 31, 1411–1442. [Google Scholar] [CrossRef] [PubMed]
- Chaabene, H.; Negra, Y.; Bouguezzi, R.; Capranica, L.; Franchini, E.; Prieske, O.; Hbacha, H.; Granacher, U. Tests for the Assessment of Sport-Specific Performance in Olympic Combat Sports: A Systematic Review With Practical Recommendations. Front. Physiol. 2018, 9, 386. [Google Scholar] [CrossRef] [PubMed]
- Martínez-Abellán, A.; Rabadán Iniesta, J.d.C. Special Wrestling Fitness Test: Una prueba específica de lucha olímpica aplicada a luchadores jóvenes. Sport TK-Revista Euroam. Ciencias del Deport. 2016, 5, 27. [Google Scholar] [CrossRef] [Green Version]
- Herrera-Valenzuela, T.; Cuadra, D.; Valdés-Badilla, P.; Cofre-Bolados, C.; Pardo-Tamayo, C.; Ojeda-Aravena, A.; Franchini, E. Relationship of the special wrestling fitness test with aerobic performance. Rev. Andaluza Med. del Deport. 2021, 14, 98–102. [Google Scholar] [CrossRef]
- Venegas-Cárdenas, D.; Caibul-Díaz, R.; Mons, V.; Valdés-Badilla, P.; Pichon, A.; Cuadra, D.; Albuquerque, M.R.; Santos, J.F.S.; Herrera-Valenzuela, T. Physical and physiological profile in youth elite chilean wrestlers. Arch. Budo 2019, 15, 249–257. [Google Scholar]
- Karimi, M. Validity of Special Judo Fitness Test in Iranian Male Wrestlers. Int. J. Wrestl. Sci. 2016, 6, 34–38. [Google Scholar] [CrossRef]
- Işık, Ö.; Doğan, İ.; Cicioğlu, H.İ.; Yıldırım, İ. A new approach to Special Judo Fitness Test index: Relative index. J. Hum. Sci. 2017, 14, 4219. [Google Scholar] [CrossRef] [Green Version]
- Sterkowicz-Przybycień, K.; Fukuda, D.H.; Franchini, E. Meta-Analysis to Determine Normative Values for the Special Judo Fitness Test in Male Athletes: 20+ Years of Sport-Specific Data and the Lasting Legacy of Stanisław Sterkowicz. Sports 2019, 7, 194. [Google Scholar] [CrossRef] [PubMed] [Green Version]
- Sterkowicz-Przybycień, K.; Fukuda, D.H. Establishing Normative Data for the Special Judo Fitness Test in Female Athletes Using Systematic Review and Meta-Analysis. J. Strength Cond. Res. 2014, 28, 3585–3593. [Google Scholar] [CrossRef] [PubMed]
- Henríquez Olguín, C.; Báez San Martín, E.; Von Oetinger, A.; Cañas Jamett, R.; Ramírez-Campillo, R. Autonomic control of heart rate after exercise in trained wrestlers. Biol. Sport 2013, 30, 111–115. [Google Scholar] [CrossRef] [PubMed]
- Franchini, E.; Branco, B.; Agostinho, M.; Calmet, M.; Candau, R. Influence of Linear and Undulating Strength Periodization on Physical Fitness, Physiological, and Performance Responses to Simulated Judo Matches. J. Strength Cond. Res. 2015, 29, 358–367. [Google Scholar] [CrossRef] [PubMed]
- Bonato, M.; Rampichini, S.; Ferrara, M.; Benedini, S.; Sbriccoli, P.; Merati, G.; Franchini, E.; La Torre, A. Aerobic training program for the enhancements of HR and VO2 off-kinetics in elite judo athletes. J. Sports Med. Phys. Fit. 2015, 55, 1277–1284. [Google Scholar]
- Franchini, E.; Cormack, S.; Takito, M.Y. Effects of High-Intensity Interval Training on Olympic Combat Sports Athletes’ Performance and Physiological Adaptation: A Systematic Review. J. Strength Cond. Res. 2019, 33, 242–252. [Google Scholar] [CrossRef] [PubMed]
- Kamandulis, S.; Bruzas, V.; Mockus, P.; Stasiulis, A.; Snieckus, A.; Venckunas, T. Sport-Specific Repeated Sprint Training Improves Punching Ability and Upper-Body Aerobic Power in Experienced Amateur Boxers. J. Strength Cond. Res. 2018, 32, 1214–1221. [Google Scholar] [CrossRef] [PubMed]
- Ojeda-Aravena, A.; Herrera-Valenzuela, T.; Valdes-Badilla, P.; Cancino-Lopez, J.; Zapata-Bastias, J.; Manuel Garcia-Garcia, J. Inter-Individual Variability of a High-Intensity Interval Training With Specific Techniques vs. Repeated Sprints Program in Sport-Related Fitness of Taekwondo Athletes. Front. Physiol. 2021, 12, 1882. [Google Scholar] [CrossRef]
- Herrera-Valenzuela, T.; Carter, J.; Leiva, E.; Valdes-Badilla, P.; Ojeda-Aravena, A.; Franchini, E. Effect of a Short HIIT Program with Specific Techniques on Physical Condition and Activity during Simulated Combat in National-Level Boxers. Sustainability 2021, 13, 8746. [Google Scholar] [CrossRef]
- Ojeda-Aravena, A.; Herrera-Valenzuela, T.; Valdes-Badilla, P.; Cancino-Lopez, J.; Zapata-Bastias, J.; Garcia-Garcia, J.M. Effects of 4 Weeks of a Technique-Specific Protocol with High-Intensity Intervals on General and Specific Physical Fitness in Taekwondo Athletes: An Inter-Individual Analysis. Int. J. Environ. Res. Public Health 2021, 18, 3643. [Google Scholar] [CrossRef] [PubMed]
- Kim, J.; Lee, N.; Trilk, J.; Kim, E.J.; Kim, S.Y.; Lee, M.; Cho, H.C. Effects of Sprint Interval Training on Elite Judoists. Int. J. Sports Med. 2011, 32, 929–934. [Google Scholar] [CrossRef]
- Franchini, E.; Julio, U.F.; Gonçalves Panissa, V.L.; Lira, F.S.; Agostinho, M.F.; Branco, B.H.M. Short-term low-volume high-intensity intermittent training improves judo-specific performance. Arch. Budo 2016, 12, 219–229. [Google Scholar] [CrossRef]
- Franchini, E.; Julio, U.F.; Panissa, V.L.G.; Lira, F.S.; Gerosa-Neto, J.; Branco, B.H.M. High-Intensity Intermittent Training Positively Affects Aerobic and Anaerobic Performance in Judo Athletes Independently of Exercise Mode. Front. Physiol. 2016, 7, 268. [Google Scholar] [CrossRef] [Green Version]
- Ravier, G.; Dugué, B.; Grappe, F.; Rouillon, J.D. Impressive anaerobic adaptations in elite karate athletes due to few intensive intermittent sessions added to regular karate training. Scand. J. Med. Sci. Sports 2009, 19, 687–694. [Google Scholar] [CrossRef] [PubMed]
- Monks, L.; Seo, M.-W.; Kim, H.-B.; Jung, H.C.; Song, J.K. High-intensity interval training and athletic performance in Taekwondo athletes. J. Sports Med. Phys. Fit. 2017, 57, 1252–1260. [Google Scholar] [CrossRef]
- Farzad, B.; Gharakhanlou, R.; Agha-Alinejad, H.; Curby, D.G.; Bayati, M.; Bahraminejad, M.; Mäestu, J. Physiological and Performance Changes From The Addition of a Sprint Interval Program to Wrestling Training. J. Strength Cond. Res. 2011, 25, 2392–2399. [Google Scholar] [CrossRef] [PubMed] [Green Version]
- Aravena, D.; Román, V.; Santos, J.; Franchini, E.; Valdés-Badilla, P.; Orihuela, P.; Herrera-Valenzuela, T. High-intensity interval training improves specific performance in taekwondo athletes. Rev. Artes Marciales Asiáticas 2020, 15, 1–3. [Google Scholar] [CrossRef]
- Ojeda-Aravena, A.; Herrera-Valenzuela, T.; Valdes-Badilla, P.; Martin, E.B.-S.; Cancino-Lopez, J.; Azocar-Gallardo, J.; Zapata-Bastias, J.; Garcia-Garcia, J.M. Effects of High-Intensity Interval Training With Specific Techniques on Jumping Ability and Change of Direction Speed in Karate Athletes: An Inter-individual Analysis. Front. Physiol. 2021, 12, 769267. [Google Scholar] [CrossRef] [PubMed]
- United World Wrestling Licensed Mats. Available online: https://uww.org/governance/licensed-mats (accessed on 22 May 2022).
- Rhea, M.R. Determining the magnitude of treatment effects in strength training research through the use of the effect size. J. Strength Cond. Res. 2004, 18, 918–920. [Google Scholar] [CrossRef] [PubMed]
- Ramirez-Campillo, R.; Alvarez, C.; Gentil, P.; Moran, J.; García-Pinillos, F.; Alonso-Martínez, A.M.; Izquierdo, M. Inter-individual Variability in Responses to 7 Weeks of Plyometric Jump Training in Male Youth Soccer Players. Front. Physiol. 2018, 9, 1156. [Google Scholar] [CrossRef] [PubMed] [Green Version]
- Walsh, J.; Bonafiglia, J.; Goldfield, G.; Kenny, G.; Doucette, S.; Hadjiyannakis, S.; Alberga, A.S.; Prud’homme, D.; Grurd, B. Interindividual variability and individual responses to exercise training in adolescents with obesity. Appl. Physiol. Nutr. Metab. 2020, 45, 45–54. [Google Scholar] [CrossRef]
- Franchini, E.; Takito, M.Y. Physical fitness and anthropometrical differences between elite and non-elite judo players. Biol. Sport 2005, 22, 315. [Google Scholar]



| Training | Week 1 | Week 2 | Week 3 | Week 4 | Week 5 | Week 6 |
|---|---|---|---|---|---|---|
| Endurance training (min) | 38 | 36 | 34 | 32 | 30 | 28 |
| HIIT-short (min) | 10 | 10 | 10 | 10 | 10 | 10 |
| HIIT-long (min) | 52 | 48 | 44 | 40 | 36 | 32 |
| SIT (min) | 10 | 10 | 10 | 9 | 9 | 9 |
| Muscle power (min) | 41 | 40 | 37 | 36 | 33 | 31 |
| Strength-endurance (min) | 40 | 38 | 36 | 34 | 31 | 30 |
| Maximal strength (min) | 33 | 31 | 30 | 28 | 25 | 24 |
| Wrestling training (min) | 1113 | 1102 | 1093 | 1082 | 1074 | 1063 |
| Total | 1337 | 1315 | 1294 | 1271 | 1248 | 1227 |
| Training | Monday | Tuesday | Wednesday | Thursday | Friday | Saturday | Sunday |
|---|---|---|---|---|---|---|---|
| Endurance training (min) | --- | --- | --- | --- | --- | 38 | --- |
| HIIT-short (min) | --- | --- | --- | --- | 10 | --- | --- |
| HIIT-long (min) | --- | 26 | --- | 26 | --- | --- | --- |
| SIT (min) | 10 | --- | --- | --- | --- | --- | --- |
| Muscle power (min) | 20 | --- | 21 | --- | --- | --- | --- |
| Strength-endurance (min) | 15 | --- | 15 | --- | 10 | --- | --- |
| Maximal Strength (min) | --- | --- | --- | --- | 33 | --- | --- |
| Wrestling training (min) | 180 | 185 | 190 | 180 | 180 | 198 | --- |
| Variables | % Change (SD) | Rs, n (%) | Effect Size | 95% CI for the Mean |
|---|---|---|---|---|
| Throws (n) | 5.1 (7.3) | 3 (23) | 0.47 (small) | 0.24 to 2.53 |
| SWFTindex (AU) | −6.5 (8.3) | 3 (23) | −0.39 (small) | −1.47 to −0.22 |
| HRfinal (bpm) | −1.8 (4.1) | 2 (15) | −0.46 (small) | −7.66 to 1.35 |
| HR1min (bpm) | 0.6 (9.6) | 1 (8) | 0.04 (trivial) | −7.50 to 9.04 |
| HRsum(bpm) | 0.6 (5.1) | 0 (0) | −0.10 (trivial) | −12.48 to 7.71 |
Publisher’s Note: MDPI stays neutral with regard to jurisdictional claims in published maps and institutional affiliations. |
© 2022 by the authors. Licensee MDPI, Basel, Switzerland. This article is an open access article distributed under the terms and conditions of the Creative Commons Attribution (CC BY) license (https://creativecommons.org/licenses/by/4.0/).
Share and Cite
Francino, L.; Villarroel, B.; Valdés-Badilla, P.; Ramirez-Campillo, R.; Báez-San Martín, E.; Ojeda-Aravena, A.; Aedo-Muñoz, E.; Pardo-Tamayo, C.; Herrera-Valenzuela, T. Effect of a Six Week In-Season Training Program on Wrestling-Specific Competitive Performance. Int. J. Environ. Res. Public Health 2022, 19, 9325. https://doi.org/10.3390/ijerph19159325
Francino L, Villarroel B, Valdés-Badilla P, Ramirez-Campillo R, Báez-San Martín E, Ojeda-Aravena A, Aedo-Muñoz E, Pardo-Tamayo C, Herrera-Valenzuela T. Effect of a Six Week In-Season Training Program on Wrestling-Specific Competitive Performance. International Journal of Environmental Research and Public Health. 2022; 19(15):9325. https://doi.org/10.3390/ijerph19159325
Chicago/Turabian StyleFrancino, Lucciano, Bayron Villarroel, Pablo Valdés-Badilla, Rodrigo Ramirez-Campillo, Eduardo Báez-San Martín, Alex Ojeda-Aravena, Esteban Aedo-Muñoz, Carolina Pardo-Tamayo, and Tomás Herrera-Valenzuela. 2022. "Effect of a Six Week In-Season Training Program on Wrestling-Specific Competitive Performance" International Journal of Environmental Research and Public Health 19, no. 15: 9325. https://doi.org/10.3390/ijerph19159325
APA StyleFrancino, L., Villarroel, B., Valdés-Badilla, P., Ramirez-Campillo, R., Báez-San Martín, E., Ojeda-Aravena, A., Aedo-Muñoz, E., Pardo-Tamayo, C., & Herrera-Valenzuela, T. (2022). Effect of a Six Week In-Season Training Program on Wrestling-Specific Competitive Performance. International Journal of Environmental Research and Public Health, 19(15), 9325. https://doi.org/10.3390/ijerph19159325

