Exploiting the Anticancer, Antimicrobial and Antiviral Potential of Naphthoquinone Derivatives: Recent Advances and Future Prospects
Abstract
1. Introduction
2. Synthesis of 1,4-Naphthoquinones and Its Derivatives
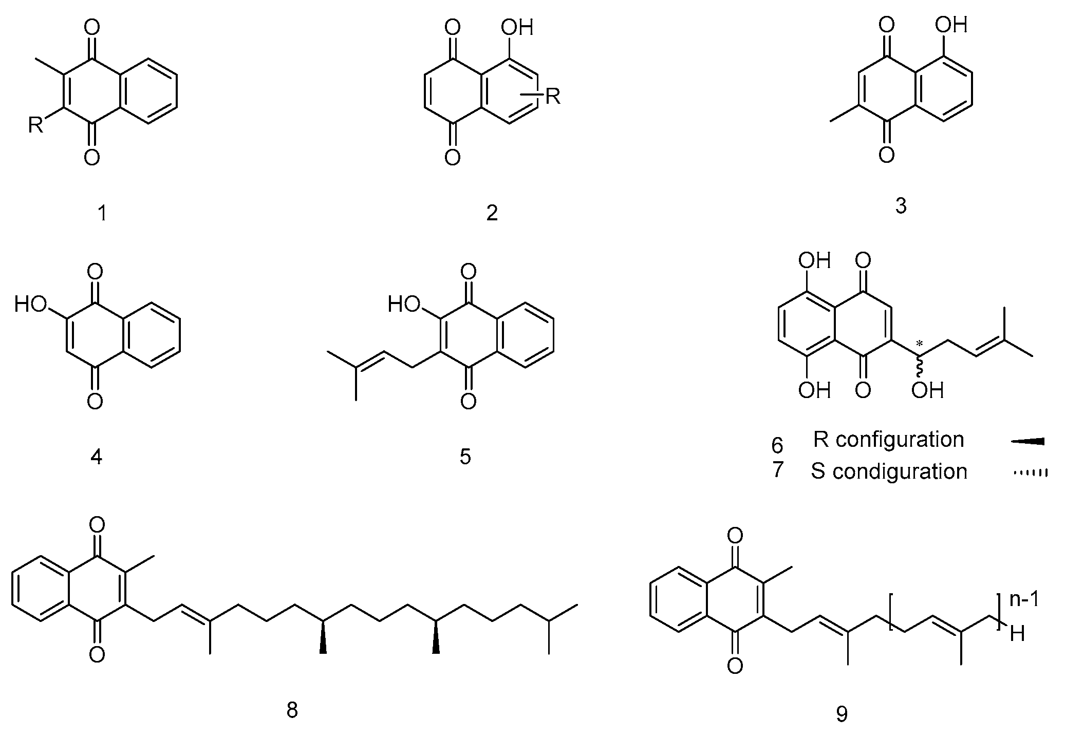
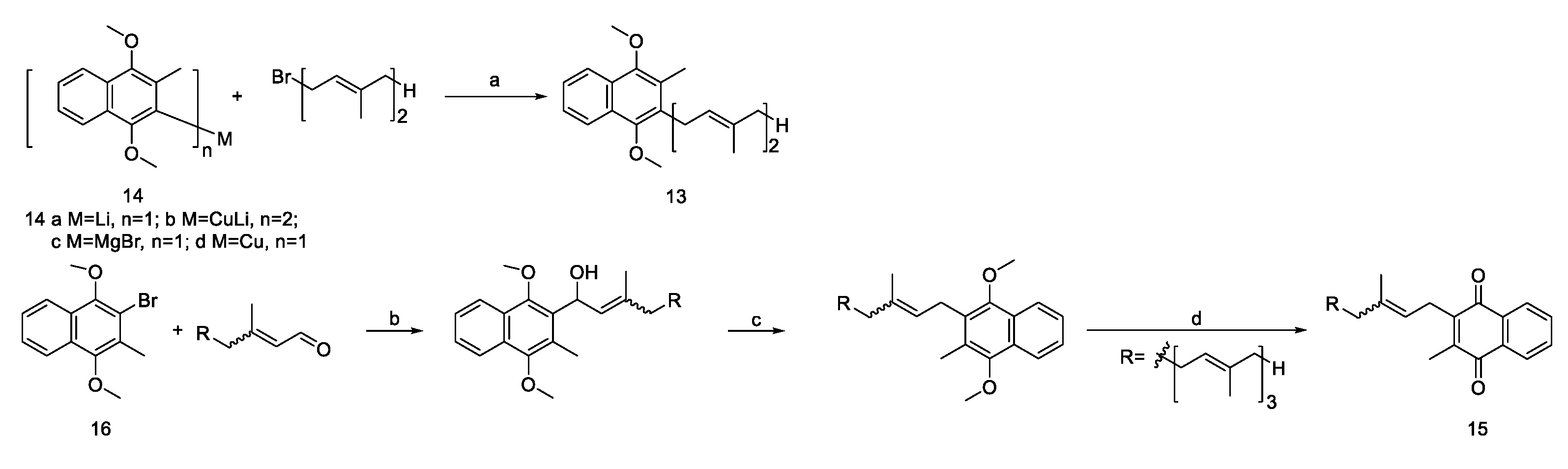
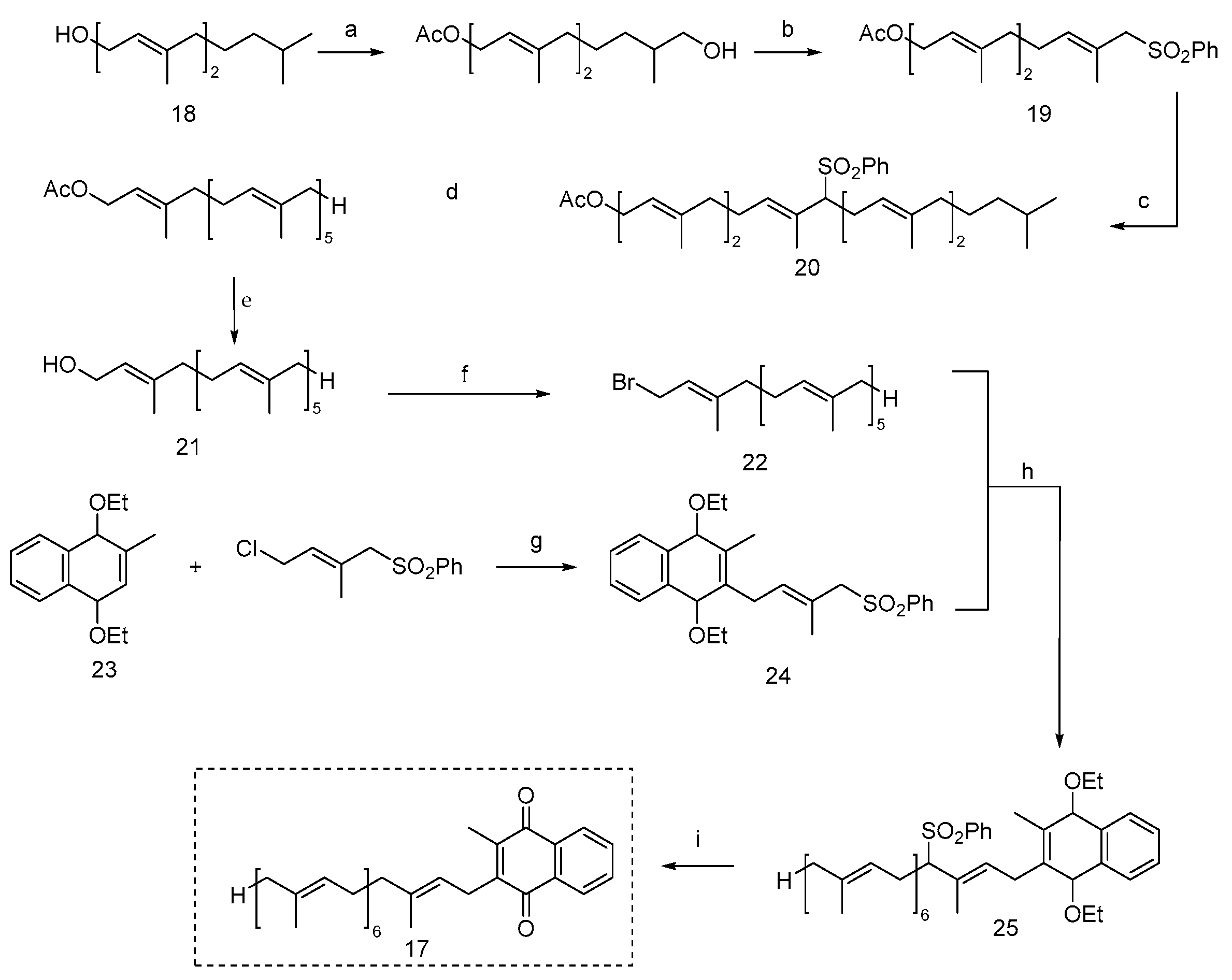
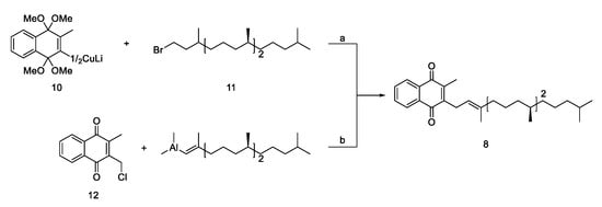
2.1. Synthesis of Vitamin K and Its Analogs
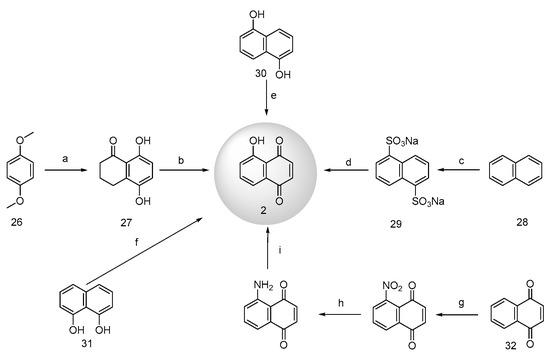
2.2. Synthesis of Juglone (5-Hydroxy-1,4-Naphthoquinone)
2.3. Synthesis of Lawsone (2-Hydroxy-1,4-Naphthoquinone)
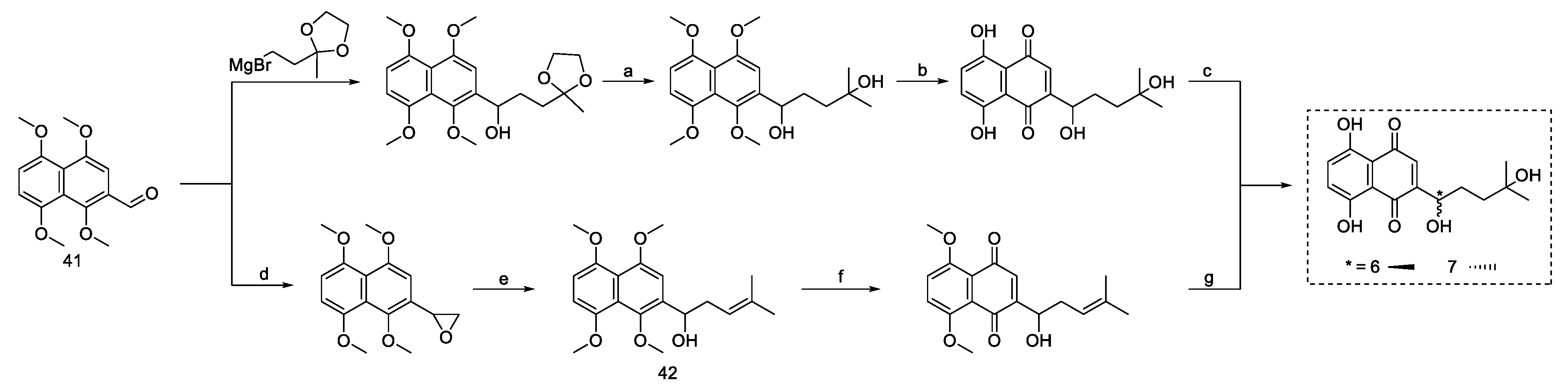
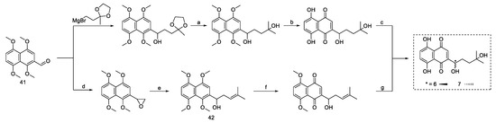
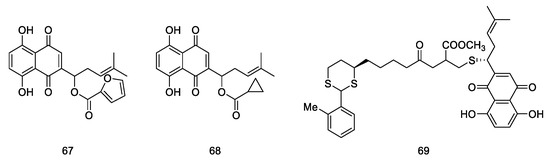
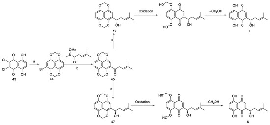
2.4. Synthesis of Shikonin and Alkannin
3. Biological Activity of 1,4-Naphthoquinone Derivatives
3.1. Anticancer Activity
3.2. Antimicrobial Activity
3.3. Antiviral Activity
3.4. Miscellaneous
4. Conclusions and Further Perspectives
Author Contributions
Funding
Conflicts of Interest
References
- Bray, F.; Laversanne, M.; Sung, H.; Ferlay, J.; Siegel, R.L.; Soerjomataram, I.; Jemal, A. Global cancer statistics 2022: GLOBOCAN estimates of incidence and mortality worldwide for 36 cancers in 185 countries. CA Cancer J. Clin. 2024, 74, 229–263. [Google Scholar] [CrossRef]
- Grivennikov, S.I.; Greten, F.R.; Karin, M. Immunity, Inflammation, and Cancer. Cell 2010, 140, 883–899. [Google Scholar] [CrossRef] [PubMed]
- Katzung, B.G.; Masters, S.B.; Trevor, A.J. Basic and Clinical Pharmacology, 11th ed.; McGraw-Hill Medical: New York City, NY, USA, 2009; pp. 36–42. [Google Scholar]
- Hauner, K.; Maisch, P.; Retz, M. Side effects of chemotherapy. Der Urologe. Ausg. A 2017, 56, 472–479. [Google Scholar] [CrossRef] [PubMed]
- Mishra, A.P.; Salehi, B.; Sharifi-Rad, M.; Pezzani, R.; Kobarfard, F.; Sharifi-Rad, J.; Nigam, M. Programmed Cell Death, from a Cancer Perspective: An Overview. Mol. Diagn. Ther. 2018, 22, 281–295. [Google Scholar] [CrossRef] [PubMed]
- Wang, Y.; Alenazy, R.; Gu, X.; Polyak, S.W.; Zhang, P.; Sykes, M.J.; Zhang, N.; Venter, H.; Ma, S. Design and structural optimization of novel 2H-benzo[h]chromene derivatives that target AcrB and reverse bacterial multidrug resistance. Eur. J. Med. Chem. 2021, 213, 113049. [Google Scholar] [CrossRef] [PubMed]
- Wahab, S.; Khan, T.; Adil, M.; Khan, A. Mechanistic aspects of plant-based silver nanoparticles against multidrug resistant bacteria. Heliyon 2021, 7, e07448. [Google Scholar] [CrossRef]
- Verma, P.R. Anticancer Activities of 1,4-Naphthoquinones: A QSAR Study. Anticancer Agents Med. Chem. 2006, 6, 489–499. [Google Scholar] [CrossRef] [PubMed]
- Shikov, A.N.; Pozharitskaya, O.N.; Krishtopina, A.S.; Makarov, V.G. Naphthoquinone pigments from sea urchins: Chemistry and pharmacology. Phytochem. Rev. 2018, 17, 509–534. [Google Scholar] [CrossRef]
- Soldi, R.; Horrigan, S.K.; Cholody, M.W.; Padia, J.; Sorna, V.; Bearss, J.; Gilcrease, G.; Bhalla, K.; Verma, A.; Vankayalapati, H.; et al. Design, Synthesis, and Biological Evaluation of a Series of Anthracene-9,10-dione Dioxime β-Catenin Pathway Inhibitors. J. Med. Chem. 2015, 58, 5854–5862. [Google Scholar] [CrossRef]
- Kishore, N.; Binneman, B.; Mahapatra, A.; van de Venter, M.; du Plessis-Stoman, D.; Boukes, G.; Houghton, P.; Marion Meyer, J.J.; Lall, N. Cytotoxicity of synthesized 1,4-naphthoquinone analogues on selected human cancer cell lines. Bioorganic Med. Chem. 2014, 22, 5013–5019. [Google Scholar] [CrossRef]
- Song, G.-Y.; Kim, Y.; You, Y.-J.; Cho, H.; Kim, S.-H.; Sok, D.-E.; Ahn, B.-Z. Naphthazarin Derivatives (VI): Synthesis, Inhibitory Effect on DNA Topoisomerase-I and Antiproliferative Activity of 2- or 6-(1-Oxyiminoalkyl)-5,8-dimethoxy-1,4-naphthoquinones. Arch. Der Pharm. 2000, 333, 87–92. [Google Scholar] [CrossRef]
- Durchschein, C.; Hufner, A.; Rinner, B.; Stallinger, A.; Deutsch, A.; Lohberger, B.; Bauer, R.; Kretschmer, N. Synthesis of Novel Shikonin Derivatives and Pharmacological Effects of Cyclopropylacetylshikonin on Melanoma Cells. Molecules 2018, 23, 2820. [Google Scholar] [CrossRef] [PubMed]
- Papageorgiou, V.P.; Assimopoulou, A.N.; Samanidou, V.F.; Papadoyannis, I.N. Recent Advances in Chemistry, Biology and Biotechnology of Alkannins and Shikonins. Curr. Org. Chem. 2006, 10, 2123–2142. [Google Scholar] [CrossRef]
- Tandon, V.K.; Kumar, S. Recent development on naphthoquinone derivatives and their therapeutic applications as anticancer agents. Expert Opin. Ther. Pat. 2013, 23, 1087–1108. [Google Scholar] [CrossRef]
- Wang, S.-H.; Lo, C.-Y.; Gwo, Z.-H.; Lin, H.-J.; Chen, L.-G.; Kuo, C.-D.; Wu, J.-Y. Synthesis and biological evaluation of lipophilic 1,4-naphthoquinone derivatives against human cancer cell lines. Molecules 2015, 20, 11994–12015. [Google Scholar] [CrossRef] [PubMed]
- Pingaew, R.; Prachayasittikul, V.; Worachartcheewan, A.; Nantasenamat, C.; Prachayasittikul, S.; Ruchirawat, S.; Prachayasittikul, V. Novel 1,4-naphthoquinone-based sulfonamides: Synthesis, QSAR, anticancer and antimalarial studies. Eur. J. Med. Chem. 2015, 103, 446–459. [Google Scholar] [CrossRef] [PubMed]
- Gröber, U.; Reichrath, J.; Holick, M.F.; Kisters, K. Vitamin K: An old vitamin in a new perspective. Dermatoendocrinol 2014, 6, e968490. [Google Scholar] [CrossRef]
- Munns, T.W.; Johnston, M.F.; Liszewski, M.K.; Olson, R.E. Vitamin K-dependent synthesis and modification of precursor prothrombin in cultured H-35 hepatoma cells. Proc. Natl. Acad. Sci. USA 1976, 73, 2803–2807. [Google Scholar] [CrossRef] [PubMed]
- Vermeer, C.; Schurgers, L.J. A comprehensive review of vitamin K and vitamin K analogues. Hematol. Oncol. Clin. N. Am. 2000, 14, 339–353. [Google Scholar] [CrossRef]
- Ansell, J.; Hirsh, J.; Poller, L.; Bussey, H.; Jacobson, A.; Hylek, E. The Pharmacology and Management of the Vitamin K Antagonists. Chest 2004, 126, 204S–233S. [Google Scholar] [CrossRef] [PubMed]
- Fieser, L.F.; Tishler, M.; Wendler, N.L. Extensions of the vitamin K1 synthesis. J. Am. Chem. Soc. 1940, 62, 2861–2866. [Google Scholar] [CrossRef]
- Pucaj, K.; Rasmussen, H.; Møller, M.; Preston, T. Safety and toxicological evaluation of a synthetic vitamin K2, menaquinone-7. Toxicol. Mech. Methods 2011, 21, 520–532. [Google Scholar] [CrossRef]
- MacCorquodale, D.W.; Cheney, L.C.; Binkley, S.B.; Holcomb, W.F.; McKee, R.W.; Thayer, S.A.; Doisy, E.A. The constitution and synthesis of vitamin K1. J. Biol. Chem. 1939, 131, 357–370. [Google Scholar] [CrossRef]
- Panchabhai, P.; Kaliaperumal, N.; Mannathusamy, G.; Chinnadurai, A. An Improved and Plant Viable Synthesis of Vitamin K1. J. Pharm. Res. Int. 2021, 33, 538–547. [Google Scholar] [CrossRef]
- Almquist, H.J.; Klose, A.A. Synthetic and natural antihemorrhagic compounds. J. Am. Chem. Soc. 1939, 61, 2557–2558. [Google Scholar] [CrossRef]
- Fieser, L.F.; Campbell, W.P.; Fry, E.M.; Gates, M.D. Synthetic approach to vitamin K1. J. Am. Chem. Soc. 1939, 61, 2559. [Google Scholar] [CrossRef]
- Fieser, L.F. The Synthesis of Vitamin K1. Science 1940, 91, 31–36. [Google Scholar] [CrossRef] [PubMed]
- Bertrand, L.; Chenard, M.J.; Manning, P.; Raynolds, J.W. Organocopper chemistry of quinone bisketals. Application to the synthesis of isoprenoid quinone systems. J. Org. Chem. 1980, 45, 378–384. [Google Scholar]
- Lipshutz, B.H.; Kim, S.-K.; Mollard, P.; Stevens, K.L. An expeditious route to CoQn, vitamins K1 and K2, and related allylated para-quinones utilizing Ni(0) catalysis. Tetrahedron 1998, 54, 1241–1253. [Google Scholar] [CrossRef]
- Snyder, C.D.; Rapoport, H. Synthesis of menaquinones. J. Am. Chem. Soc. 1974, 96, 8046–8054. [Google Scholar] [CrossRef]
- Garcias, X.; Ballester, P.; Capo, M.; Saa, J.M. Dela-stereocontrolled entry to (E)-prenyl or (Z)-prenyl aromatics and questions -sythesis of menaquinone-4. J. Org. Chem. 1994, 59, 5093–5096. [Google Scholar] [CrossRef]
- Krajewski, K.; Kutner, A.; Dzikowska, J.; Gutowska, R.; Napiórkowski, M.; Winiarski, J.; Kubiszewski, M.; Jedynak, L.; Morzycki, J.; Witkowski, S. Process for preparation of NK-7 type of vitamin K2. 2015. WO 2010035000.
- Strugstad, M.P.; Despotovski, S. A summary of extraction, properties, and potential uses of juglone: A literature review. J. Ecosyst. Manag. 2012, 13, 72–86. [Google Scholar] [CrossRef]
- Inbaraj, J.J.; Chignell, C.F. Cytotoxic Action of Juglone and Plumbagin: A Mechanistic Study Using HaCaT Keratinocytes. Chem. Res. Toxicol. 2004, 17, 55. [Google Scholar] [CrossRef] [PubMed]
- Cui, J.-h.; Cui, Q.; Zhang, Q.-j.; Li, S.-s. An Efficient Multigram Synthesis of Juglone Methyl Ether. J. Chem. Res. 2015, 39, 553–554. [Google Scholar] [CrossRef]
- Khalafy, J.; Bruce, J.M. Oxidative dehydrogenation of 1-tetralones: Synthesis of juglone, naphthazarin, and α-hydroxyanthraquinones. J. Sci. Islam. Repub. Iran 2002, 13, 131–139. [Google Scholar]
- Singh, H.; Folk, T.L.; Scheuer, P.J. Synthesis of juglone derivatives: Hydroxy, acetyl and ethyl substituents. Tetrahedron 1969, 25, 5301–5310. [Google Scholar] [CrossRef]
- Mamchur, A.V.; Gorbas, L.F.; Galstyan, G.A. Use of Ozone in Synthesis of 5-Hydroxy-1,4-naphthoquinone. Russ. J. Appl. Chem. 2001, 74, 1405–1407. [Google Scholar] [CrossRef]
- Zhang, M.a.X.L. One-pot Synthesis of pecan quinone from acetic anhydride, H2O2 and 1,5-dihydroxynaphthol. Chin. J. Appl. Chem. 2007, 24, 3. [Google Scholar]
- Barret, R.; Daudon, M. An Efficient Synthesis of Juglone. Synth. Commun. 1990, 20, 2907–2912. [Google Scholar] [CrossRef]
- Oelgemöller, M.; Healy, N.; de Oliveira, L.; Jung, C.; Mattay, J. Green photochemistry: Solar-chemical synthesis of Juglone with medium concentrated sunlight. Green Chem. 2006, 8, 831–834. [Google Scholar] [CrossRef]
- Hashemi, M.; Akhbari, M. Efficient Solvent-Free Oxidation of Phenols to p-Quinones with Iodic Acid on the Surface of K10 Montmorillonite. Russ. J. Org. Chem. 2005, 41, 935–936. [Google Scholar] [CrossRef]
- Li, H.; Liu, R.; Ji, Y.; Wang, Y. A new method for the synthesis of juglone. J. Chem. Pharm. Res. 2014, 6, 72–76. [Google Scholar]
- Dweck, A.C. Natural ingredients for colouring and styling. Int. J. Cosmet. Sci. 2002, 24, 287–302. [Google Scholar] [CrossRef] [PubMed]
- Hamama, W.S.; Hassanien, A.E.-D.E.; Zoorob, H.H. Advanced Routes in Synthesis and Reactions of Lawsone Molecules (2-Hydroxynaphthalene-1,4-dione). J. Heterocycl. Chem. 2017, 54, 2155–2196. [Google Scholar] [CrossRef]
- Anaissi-Afonso, L.; Oramas-Royo, S.; Ayra-Plasencia, J.; Martín-Rodríguez, P.; García-Luis, J.; Lorenzo-Castrillejo, I.; Fernández-Pérez, L.; Estévez-Braun, A.; Machín, F. Lawsone, Juglone, and β-Lapachone Derivatives with Enhanced Mitochondrial-Based Toxicity. ACS Chem. Biol. 2018, 13, 1950–1957. [Google Scholar] [CrossRef]
- Fieser, L.F.; Berliner, E. Naphthoquinone antimalarials; general survey. J. Am. Chem. Soc. 1948, 70, 3151–3155. [Google Scholar] [CrossRef]
- Inoue, K.; Ueda, S.; Nayeshiro, H.; Moritome, N.; Inouye, H. Biosynthesis of naphthoqinones and anthraquinones in streptocarpus dunnii cell cultures. Phytochem. 1984, 23, 312–318. [Google Scholar] [CrossRef]
- Lissel, M. Über die reaktion von α- und β -tetralon mit kaliumsuperoxid. Tetrahedron Lett. 1984, 25, 2213–2214. [Google Scholar] [CrossRef]
- De Min, M.; Croux, S.; Tournaire, C.; Hocquaux, M.; Jackquet, B.; Oliveros, E.; Maurette, M.-T. Réactivité du superoxyde de Potassium en phase hétérogéne: Oxydation de naphtalénedios en naphtoquinones hydroxylées. Tetrahedron 1992, 48, 1869–1882. [Google Scholar] [CrossRef]
- Yan, Y.; Kang, E.-H.; Yang, K.-E.; Tong, S.-L.; Fang, C.-G.; Liu, S.-J.; Xiao, F.-S. High activity in selective catalytic oxidation of naphthol to 2-hydroxy-1,4-naphthoquinone by molecular oxygen under air pressure over recycled iron porphyrin catalysts. Catal. Commun. 2004, 5, 387–390. [Google Scholar] [CrossRef]
- Barange, D.K.; Kavala, V.; Raju, B.R.; Kuo, C.-W.; Tseng, C.; Tu, Y.-C.; Yao, C.-F. Facile and highly efficient method for the C-alkylation of 2-hydroxy-1,4-naphthoquinone to nitroalkenes under catalyst-free ‘on water’ conditions. Tetrahedron Lett. 2009, 50, 5116–5119. [Google Scholar] [CrossRef]
- Laatsch, H. Dimere Naphthochinone, VIII. Synthese 3,3′-dihydroxylierter 2,2′-Bi-1,4-naphthochinone. Liebigs Ann. Der Chem. 1983, 1983, 1886–1900. [Google Scholar] [CrossRef]
- Papageorgiou, V.; Assimopoulou, A.; Ballis, A. Alkannins and Shikonins: A New Class of Wound Healing Agents. Curr. Med. Chem. 2008, 15, 3248–3267. [Google Scholar] [CrossRef] [PubMed]
- Papageorgiou, V.P.; Assimopoulou, A.N.; Couladouros, E.A.; Hepworth, D.; Nicolaou, K.C. The Chemistry and Biology of Alkannin, Shikonin, and Related Naphthazarin Natural Products. Angew. Chem. Int. Ed. 1999, 38, 270–301. [Google Scholar] [CrossRef]
- Gong, K.; Li, W. Shikonin, a Chinese plant-derived naphthoquinone, induces apoptosis in hepatocellular carcinoma cells through reactive oxygen species: A potential new treatment for hepatocellular carcinoma. Free Radic. Biol. Med. 2011, 51, 2259–2271. [Google Scholar] [CrossRef] [PubMed]
- Terada, A.; Tanoue, Y.; Hatada, A.; Sakamoto, H. Synthesis of shikalkin (±shikonin) and related compounds. Bull. Chem. Soc. Jpn. 1987, 60, 205–213. [Google Scholar] [CrossRef]
- Moiseenkov, A.M.; Balaneva, N.N.; Novikov, V.L.; Eliakov, G.B. Total synthesis of shikalkin. Proc. USSR Acad. Sci. 1987, 295, 614–617. [Google Scholar]
- Nicolaou, K.C.; Hepworth, D. Concise and Efficient Total Syntheses of Alkannin and Shikonin. Angew. Chem. Int. Ed. 1998, 37, 839–841. [Google Scholar] [CrossRef]
- Wang, R.; Zhou, S.; Jiang, H.; Zheng, X.; Zhou, W.; Li, S. An Efficient Multigram Synthesis of Alkannin and Shikonin. Eur. J. Org. Chem. 2012, 2012, 1373–1379. [Google Scholar] [CrossRef]
- D’Arpa, P.; Liu, L.F. Topoisomerase-targeting antitumor drugs. Biochim. Biophys. Acta (BBA)-Rev. Cancer 1989, 989, 163–177. [Google Scholar] [CrossRef]
- Prachayasittikul, V.; Pingaew, R.; Worachartcheewan, A.; Nantasenamat, C.; Prachayasittikul, S.; Ruchirawat, S.; Prachayasittikul, V. Synthesis, anticancer activity and QSAR study of 1,4-naphthoquinone derivatives. Eur. J. Med. Chem. 2014, 84, 247–263. [Google Scholar] [CrossRef] [PubMed]
- Harris, S.L.; Levine, A.J. The p53 pathway: Positive and negative feedback loops. Oncogene 2005, 24, 2899–2908. [Google Scholar] [CrossRef]
- Tang, J.C.; Zhao, J.; Long, F.; Chen, J.Y.; Mu, B.; Jiang, Z.; Ren, Y.; Yang, J. Efficacy of Shikonin against Esophageal Cancer Cells and its possible mechanisms in vitro and in vivo. J. Cancer 2018, 9, 32–40. [Google Scholar] [CrossRef] [PubMed]
- Sanclemente, M.; Francoz, S.; Esteban-Burgos, L.; Bousquet-Mur, E.; Djurec, M.; Lopez-Casas, P.P.; Hidalgo, M.; Guerra, C.; Drosten, M.; Musteanu, M.; et al. c-RAF Ablation Induces Regression of Advanced Kras/Trp53 Mutant Lung Adenocarcinomas by a Mechanism Independent of MAPK Signaling. Cancer Cell 2018, 33, 217–228. [Google Scholar] [CrossRef]
- Hsu, Y.-L.; Cho, C.-Y.; Kuo, P.-L.; Huang, Y.-T.; Lin, C.-C. Plumbagin (5-Hydroxy-2-methyl-1,4-naphthoquinone) Induces Apoptosis and Cell Cycle Arrest in A549 Cells through p53 Accumulation via c-Jun NH2-Terminal Kinase-Mediated Phosphorylation at Serine 15 in Vitro and in Vivo. J. Pharmacol. Exp. Ther. 2006, 318, 484. [Google Scholar] [CrossRef]
- Tabb, M.M.; Sun, A.; Zhou, C.; Grün, F.; Errandi, J.; Romero, K.; Pham, H.; Inoue, S.; Mallick, S.; Lin, M.; et al. Vitamin K2 Regulation of Bone Homeostasis Is Mediated by the Steroid and Xenobiotic Receptor SXR*. J. Biol. Chem. 2003, 278, 43919–43927. [Google Scholar] [CrossRef]
- Mishima, E.; Ito, J.; Wu, Z.; Nakamura, T.; Wahida, A.; Doll, S.; Tonnus, W.; Nepachalovich, P.; Eggenhofer, E.; Aldrovandi, M.; et al. A non-canonical vitamin K cycle is a potent ferroptosis suppressor. Nature 2022, 608, 778–783. [Google Scholar] [CrossRef] [PubMed]
- Jiang, Y.A.Z.R. Research progress of antitumor effect of vitamin K2. Pract. J. Cancer 2015, 1, 156–158. [Google Scholar]
- Ravichandiran, P.; Subramaniyan, S.A.; Kim, S.-Y.; Kim, J.-S.; Park, B.-H.; Shim, K.S.; Yoo, D.J. Synthesis and Anticancer Evaluation of 1,4-Naphthoquinone Derivatives Containing a Phenylaminosulfanyl Moiety. ChemMedChem 2019, 14, 532–544. [Google Scholar] [CrossRef] [PubMed]
- Wellington, K.W.; Hlatshwayo, V.; Kolesnikova, N.I.; Saha, S.T.; Kaur, M.; Motadi, L.R. Anticancer activities of vitamin K3 analogues. Investig. New Drugs 2020, 38, 378–391. [Google Scholar] [CrossRef] [PubMed]
- Juang, Y.-P.; Tsai, J.-Y.; Gu, W.-L.; Hsu, H.-C.; Lin, C.-L.; Wu, C.-C.; Liang, P.-H. Discovery of 5-Hydroxy-1,4-naphthoquinone (Juglone) Derivatives as Dual Effective Agents Targeting Platelet-Cancer Interplay through Protein Disulfide Isomerase Inhibition. J. Med. Chem. 2024, 67, 3626–3642. [Google Scholar] [CrossRef] [PubMed]
- Gokmen, Z.; Onan, M.E.; Deniz, N.G.; Karakas, D.; Ulukaya, E. Synthesis and investigation of cytotoxicity of new N- and S,S-substituted-1,4-naphthoquinone (1,4-NQ) derivatives on selected cancer lines. Synth. Commun. 2019, 49, 3008–3016. [Google Scholar]
- Awale, S.; Baba, H.; Phan, N.D.; Kim, M.J.; Maneenet, J.; Sawaki, K.; Kanda, M.; Okumura, T.; Fujii, T.; Okada, T.; et al. Targeting pancreatic cancer with novel plumbagin derivatives: Design, synthesis, molecular mechanism, in vitro and in vivo evaluation. J. Med. Chem. 2023, 66, 8054–8065. [Google Scholar] [CrossRef] [PubMed]
- Gholampour, M.; Ranjbar, S.; Edraki, N.; Mohabbati, M.; Firuzi, O.; Khoshneviszadeh, M. Click chemistry-assisted synthesis of novel aminonaphthoquinone-1,2,3-triazole hybrids and investigation of their cytotoxicity and cancer cell cycle alterations. Bioorganic Chem. 2019, 88, 102967. [Google Scholar] [CrossRef] [PubMed]
- Schepetkin, I.A.; Karpenko, A.S.; Khlebnikov, A.I.; Shibinska, M.O.; Levandovskiy, I.A.; Kirpotina, L.N.; Danilenko, N.V.; Quinn, M.T. Synthesis, anticancer activity, and molecular modeling of 1,4-naphthoquinones that inhibit MKK7 and Cdc25. Eur. J. Med. Chem. 2019, 183, 111719. [Google Scholar] [CrossRef]
- Olawode, E.O.; Tandlich, R.; Prinsloo, E.; Isaacs, M.; Hoppe, H.; Seldon, R.; Warner, D.F.; Steenkamp, V.; Kaye, P.T. Synthesis and biological evaluation of 2-chloro-3-[(thiazol-2-yl)amino]-1,4-naphthoquinones. Bioorganic Med. Chem. Lett. 2019, 29, 1572–1575. [Google Scholar] [CrossRef]
- Ivasechko, I.; Lozynskyi, A.; Senkiv, J.; Roszczenko, P.; Kozak, Y.; Finiuk, N.; Klyuchivska, O.; Kashchak, N.; Manko, N.; Maslyak, Z.; et al. Molecular design, synthesis and anticancer activity of new thiopyrano [2,3-d]thiazoles based on 5-hydroxy-1,4-naphthoquinone (juglone). Eur. J. Med. Chem. 2023, 252, 115304. [Google Scholar] [CrossRef]
- Dyshlovoy, S.A.; Pelageev, D.N.; Jakob, L.S.; Borisova, K.L.; Hauschild, J.; Busenbender, T.; Kaune, M.; Khmelevskaya, E.A.; Graefen, M.; Bokemeyer, C.; et al. Activity of new synthetic (2-chloroethylthio)-1, 4-naphthoquinones in prostate cancer cells. Pharmaceuticals 2021, 14, 949. [Google Scholar] [CrossRef]
- Ferraris, D.; Lapidus, R.; Truong, P.; Bollino, D.; Carter-Cooper, B.; Lee, M.; Chang, E.; LaRossa-Garcia, M.; Dash, S.; Gartenhaus, R.; et al. Pre-Clinical Activity of Amino-Alcohol Dimeric Naphthoquinones as Potential Therapeutics for Acute Myeloid Leukemia. Anticancer Agents Med. Chem. 2022, 22, 239–253. [Google Scholar] [CrossRef]
- Xie, Y.; Hou, X.; Wu, C. The Research Progress of Cell Apoptosis Induced by Shikonin and Signal Pathway of Apoptosis. Chin. J. Inf. Tradit. Chin. Med. 2017, 12, 125–129. [Google Scholar]
- Zhang, X.; Cui, J.-H.; Meng, Q.-Q.; Li, S.-S.; Zhou, W.; Xiao, S. Advance in Antitumor Mechanisms of Shikonin, Alkannin and their Derivatives. Mini-Rev. Med. Chem. 2018, 18, 164–172. [Google Scholar] [CrossRef] [PubMed]
- Yang, F.; Chen, Y.; Duan, W.; Zhang, C.; Zhu, H.; Ding, J. SH-7, a new synthesized shikonin derivative, exerting its potent antitumor activities as a topoisomerase inhibitor. Int. J. Cancer 2006, 119, 1184–1193. [Google Scholar] [CrossRef] [PubMed]
- Wang, R.; Zhang, X.; Song, H.; Zhou, S.; Li, S. Synthesis and evaluation of novel alkannin and shikonin oxime derivatives as potent antitumor agents. Bioorganic Med. Chem. Lett. 2014, 24, 4304–4307. [Google Scholar] [CrossRef] [PubMed]
- Cui, J.; Zhang, X.; Huang, G.; Zhang, Q.; Dong, J.; Sun, G.; Meng, Q.; Li, S. DMAKO-20 as a New Multitarget Anticancer Prodrug Activated by the Tumor Specific CYP1B1 Enzyme. Mol. Pharm. 2019, 16, 409–421. [Google Scholar] [CrossRef] [PubMed]
- Huang, G.; Zhao, H.-R.; Meng, Q.-Q.; Zhang, Q.-J.; Dong, J.-Y.; Zhu, B.-q.; Li, S.-S. Synthesis and biological evaluation of sulfur-containing shikonin oxime derivatives as potential antineoplastic agents. Eur. J. Med. Chem. 2018, 143, 166–181. [Google Scholar] [CrossRef] [PubMed]
- Huang, G.; Dong, J.-Y.; Zhang, Q.-J.; Meng, Q.-Q.; Zhao, H.-R.; Zhu, B.-Q.; Li, S.-S. Discovery and synthesis of sulfur-containing 6-substituted 5,8-dimethoxy-1,4-naphthoquinone oxime derivatives as new and potential anti-MDR cancer agents. Eur. J. Med. Chem. 2019, 165, 160–171. [Google Scholar] [CrossRef]
- Nariya, P.; Shukla, F.; Vyas, H.; Devkar, R.; Thakore, S. Synthesis and characterization of Mannich bases of lawsone and their anticancer activity. Synth. Commun. 2020, 50, 1724–1735. [Google Scholar] [CrossRef]
- Guimaráes, G.D.; de Assis Gonsalves, A.; Rolim, A.L.; Araújo, C.E.; dos Anjos Santos, L.V.; Silva, F.S.M.; de Cássia Evangelista de Oliveira, F.; da Costa, P.M.; Pessoa, C.; Fonseca Goulart, O.M.; et al. Naphthoquinone-based Hydrazone Hybrids: Synthesis and Potent Activity Against Cancer Cell Lines. Med. Chem. 2021, 17, 945–955. [Google Scholar] [CrossRef]
- Khan, A.; Said, M.S.; Borade, B.R.; Gonnade, R.; Barvkar, V.; Kontham, R.; Dastager, S.G. Enceleamycins A–C, Furo-Naphthoquinones from Amycolatopsis sp. MCC0218: Isolation, Structure Elucidation, and Antimicrobial Activity. J. Nat. Prod. 2022, 85, 1267–1273. [Google Scholar] [CrossRef]
- Nural, Y.; Ozdemir, S.; Doluca, O.; Demir, B.; Yalcin, M.S.; Atabey, H.; Kanat, B.; Erat, S.; Sari, H.; Seferoglu, Z. Synthesis, biological properties, and acid dissociation constant of novel naphthoquinone–triazole hybrids. Bioorganic Chem. 2020, 105, 104441. [Google Scholar] [CrossRef]
- Balachandran, C.; Al-Dhabi, N.A.; Duraipandiyan, V.; Ignacimuthu, S. Bluemomycin, a new naphthoquinone derivative from Streptomyces sp. with antimicrobial and cytotoxic properties. Biotechnol. Lett. 2021, 43, 1005–1018. [Google Scholar] [CrossRef]
- Supratman, U.; Hirai, N.; Sato, S.; Watanabe, K.; Malik, A.; Annas, S.; Harneti, D.; Maharani, R.; Koseki, T.; Shiono, Y. New naphthoquinone derivatives from Fusarium napiforme of a mangrove plant. Nat. Prod. Res. 2021, 35, 1406–1412. [Google Scholar] [CrossRef]
- Oliveira, C.G.T.; Miranda, F.F.; Ferreira, V.F.; Freitas, C.C.; Rabello, R.F.; Carballido, J.M.; Corrêa, L.C.D. Synthesis and antimicrobial evaluation of 3-hydrazino-naphthoquinones as analogs of lapachol. J. Braz. Chem. Soc. 2001, 12, 791–803. [Google Scholar] [CrossRef]
- Song, R.; Yu, B.; Friedrich, D.; Li, J.; Shen, H.; Krautscheid, H.; Huang, S.D.; Kim, M.-H. Naphthoquinone-derivative as a synthetic compound to overcome the antibiotic resistance of methicillin-resistant S. aureus. Commun. Biol. 2020, 3, 529. [Google Scholar] [CrossRef]
- Sabutski, Y.E.; Menchinskaya, E.S.; Shevchenko, L.S.; Chingizova, E.A.; Chingizov, A.R.; Popov, R.S.; Denisenko, V.A.; Mikhailov, V.V.; Aminin, D.L.; Polonik, S.G. Synthesis and Evaluation of Antimicrobial and Cytotoxic Activity of Oxathiine-Fused Quinone-Thioglucoside Conjugates of Substituted 1,4-Naphthoquinones. Molecules 2020, 25, 3577. [Google Scholar] [CrossRef] [PubMed]
- Kim, K.; Kim, D.; Lee, H.; Lee, T.H.; Kim, K.Y.; Kim, H. New Pyrimidinone-Fused 1,4-Naphthoquinone Derivatives Inhibit the Growth of Drug Resistant Oral Bacteria. Biomedicines 2020, 8, 160. [Google Scholar] [CrossRef] [PubMed]
- Gemili, M.; Nural, Y.; Keleş, E.; Aydıner, B.; Seferoğlu, N.; Ülger, M.; Şahin, E.; Erat, S.; Seferoğlu, Z. Novel highly functionalized 1,4-naphthoquinone 2-iminothiazole hybrids: Synthesis, photophysical properties, crystal structure, DFT studies, and anti(myco)bacterial/antifungal activity. J. Mol. Struct. 2019, 1196, 536–546. [Google Scholar] [CrossRef]
- Erasmus, C.; Aucamp, J.; Smit, F.J.; Seldon, R.; Jordaan, A.; Warner, D.F.; N’Da, D.D. Synthesis and comparison of in vitro dual anti-infective activities of novel naphthoquinone hybrids and atovaquone. Bioorganic Chem. 2021, 114, 105118. [Google Scholar] [CrossRef] [PubMed]
- Tandon, V.K.; Maurya, H.K.; Yadav, D.B.; Tripathi, A.; Kumar, M.; Shukla, P.K. Naphtho [2,3-b][1,4]-thiazine-5,10-diones and 3-substituted-1,4-dioxo-1,4-dihydronaphthalen-2-yl-thioalkanoate derivatives: Synthesis and biological evaluation as potential antibacterial and antifungal agents. Bioorganic Med. Chem. Lett. 2006, 16, 5883–5887. [Google Scholar] [CrossRef] [PubMed]
- Tandon, V.K.; Yadav, D.B.; Singh, R.V.; Chaturvedi, A.K.; Shukla, P.K. Synthesis and biological evaluation of novel (l)-α-amino acid methyl ester, heteroalkyl, and aryl substituted 1,4-naphthoquinone derivatives as antifungal and antibacterial agents. Bioorganic Med. Chem. Lett. 2005, 15, 5324–5328. [Google Scholar] [CrossRef] [PubMed]
- Tandon, V.K.; Maurya, H.K.; Mishra, N.N.; Shukla, P.K. Design, Synthesis and biological evaluation of novel nitrogen and sulfur containing hetero-1,4-naphthoquinones as potent antifungal and antibacterial agents. Eur. J. Med. Chem. 2009, 44, 3130–3137. [Google Scholar] [CrossRef]
- Gonzaga, D.T.G.; Gomes, R.S.P.; Marra, R.K.F.; Silva, F.C.d.; Gomes, M.W.L.; Ferreira, D.F.; Santos, R.M.A.; Pinto, A.M.V.; Ratcliffe, N.A.; Cirne-Santos, C.C.; et al. Inhibition of Zika Virus Replication by Synthetic Bis-Naphthoquinones. J. Braz. Chem. Soc. 2019, 30, 1697–1706. [Google Scholar] [CrossRef]
- Cui, J.; Jia, J. Discovery of juglone and its derivatives as potent SARS-CoV-2 main proteinase inhibitors. Eur. J. Med. Chem. 2021, 225, 113789. [Google Scholar] [CrossRef] [PubMed]
- Fu, Z.; Huang, B.; Tang, J.; Liu, S.; Liu, M.; Ye, Y.; Liu, Z.; Xiong, Y.; Zhu, W.; Cao, D. The complex structure of GRL0617 and SARS-CoV-2 PLpro reveals a hot spot for antiviral drug discovery. Nat. Commun. 2021, 12, 488. [Google Scholar] [CrossRef] [PubMed]
- Sendl, A.; Chen, J.L.; Jolad, S.D.; Stoddart, C.; Rozhon, E.; Kernan, M.; Nanakorn, W.; Balick, M. Two new naphthoquinones with antiviral activity from Rhinacanthus nasutus. J. Nat. Prod. 1996, 59, 808–811. [Google Scholar] [CrossRef]
- Silva, A.J.M.D.; Buarque, C.D.; Brito, F.V.; Aurelian, L.; Costa, P.R.R. Synthesis and preliminary pharmacological evaluation of new (+/-) 1,4-naphthoquinones structurally related to lapachol. Bioorganic Med. Chem. 2002, 10, 2731–2738. [Google Scholar] [CrossRef] [PubMed]
- Ilina, T.V.; Semenova, E.A.; Pronyaeva, T.R.; Pokrovskii, A.G.; Tolstikov, G.A. Inhibition of HIV-1 reverse transcriptase by aryl-substituted naphto- and anthraquinones. Dokl. Biochem. Biophys. 2002, 382, 56. [Google Scholar] [CrossRef]
- Tandon, V.K.; Chhor, R.B.; Singh, R.V.; Rai, S.; Yadav, D.B. Design, synthesis and evaluation of novel 1,4-naphthoquinone derivatives as antifungal and anticancer agents. Bioorganic Med. Chem. Lett. 2004, 14, 1079–1083. [Google Scholar] [CrossRef] [PubMed]
- Ngoc, T.M.; Phuong, N.T.T.; Khoi, N.M.; Park, S.J.; Kwak, H.J.; Nhiem, N.X.; Trang, B.T.T.; Tai, B.H.; Song, J.H.; Ko, H.J. A new naphthoquinone analogue and antiviral constituents from the root of Rhinacanthus nasutus. Nat. Prod. Res. 2018, 1, 360–366. [Google Scholar] [CrossRef] [PubMed]
- Cetina-Montejo, L.; Ayora-Talavera, G.; Borges-Argáez, R. Zeylanone epoxide isolated from Diospyros anisandra stem bark inhibits influenza virus in vitro. Arch. Virol. 2019, 164, 1543–1552. [Google Scholar] [CrossRef] [PubMed]
- Zima, V.; Radilová, K.; Koíek, M.; Albiana, C.B.; Machara, A. Unraveling the Anti-Influenza Effect of Flavonoids: Experimental Validation of Luteolin and its Congeners as Potent Influenza Endonuclease Inhibitors. Eur. J. Med. Chem. 2020, 208, 112754. [Google Scholar] [CrossRef] [PubMed]
- Tisseh, Z.N.; Bazgir, A. An efficient, clean synthesis of 3,3′-(arylmethylene)bis(2-hydroxynaphthalene-1,4-dione) derivatives. Dye. Pigment. 2009, 83, 258–261. [Google Scholar] [CrossRef]
- Pang, X.; Zhao, J.Y.; Liu, N.; Chen, M.H.; Ma, B.P. Anthraquinone analogues with inhibitory activities against influenza a virus from Polygonatum odoratum. J. Asian Nat. Prod. Res. 2020, 23, 717–723. [Google Scholar] [CrossRef] [PubMed]
- Lien, J.C.; Huang, L.J.; Teng, C.M.; Wang, J.P.; Kuo, S.C. Synthesis of 2-alkoxy 1,4-naphthoquinone derivatives as antiplatelet, anti-inflammatory, and antiallergic agents. Chem. Pharm. Bull. 2010, 33, 105. [Google Scholar]
- Lien, J.C.; Huang, L.J.; Wang, J.P.; Teng, C.M.; Lee, K.H.; Kuo, S.C. Synthesis and antiplatelet, anti-inflammatory and antiallergic activities of 2,3-disubstituted 1,4-naphthoquinones. Cheminform 1996, 27, 1181–1187. [Google Scholar] [CrossRef]












































| Compound | Mechanism of Action | Notable Findings | Ref. |
|---|---|---|---|
| Juglone (2) | ROS generation, DNA fragmentation | Effective against melanoma and colorectal cancer; disrupts bacterial biofilms. | [39,40,80] |
| Plumbagin (5) | Mitochondrial ROS generation, apoptosis | Potent activity against pancreatic and breast cancer cells; antifungal activity. | [74] |
| Shikonin (6) | Topoisomerase inhibition, antiangiogenesis | Inhibits tumor growth; effective against resistant cancer cells and viral pathogens. | [13,65,84] |
| β-Lapachone | NAD(P)H:quinone oxidoreductase activation | Promotes apoptosis in tumor cells; selective for cancer cells over normal tissues. | [45] |
| Alkannin (7) | Topoisomerase inhibition, anti-inflammatory | Strong antiproliferative activity; selective toxicity towards cancer cells. | [56,60,61] |
| Lapachol (4) | DNA intercalation, ROS-mediated DNA damage | Effective against liver and cervical cancers; potent activity against HSV-2 virus. | [90] |
| Vitamin K2 (1) | Ferroptosis inhibition, apoptosis induction | Synergizes with other anticancer agents; regulates calcium metabolism. | [71] |
| Sulfur-Modified Vitamin K3 Analogs (51) | Enhanced ROS generation, apoptosis induction | Highly selective for cancer cells over normal human cells (e.g., WI-38). | [72] |
| Phenylaminophenyl-thiosulfone Compounds (49) | Cytotoxicity via DNA damage | Effective against HeLa cells; IC50 comparable to doxorubicin. | [71] |
| Juglone Derivatives (PDI Inhibitors) (71) | Protein disulfide isomerase inhibition | Effective against MDA-MB-231 (IC50 = 6.96 µM) and RPMI8226 (IC50 = 0.57 µM). | [72] |
| Shikonin Oximes (DMAKO-20) | Tumor-specific CYP1B1-catalyzed oxidation | Highly effective against leukemia and breast cancer cells (IC50 = 0.70 µM). | [85,86,87,88] |
| Lawsone Derivatives (73–76) | Hydroxylation and DNA intercalation | Potent against HepG2 cells; IC50 values range from 1.68 to 11.01 µM. | [28,68,89] |
| Lapachol Hydrazones (77, 78) | Cell cycle arrest, DNA synthesis inhibition | Selective for HL-60 leukemia cells. | [90] |
| Compound | Mechanism of Action | Notable Findings | Ref. |
|---|---|---|---|
| Lawsone (4) | Topoisomerase I inhibition, UV protection | Potential as a photoprotective agent; inhibits DNA replication in pathogens. | [28,49] |
| Plumbagin (4) | Mitochondrial ROS generation, apoptosis | Potent activity against pancreatic and breast cancer cells; antifungal activity. | [74] |
| Alkannin (7) | Topoisomerase inhibition, anti-inflammatory | Strong antiproliferative activity; selective toxicity towards cancer cells. | [56,60,61] |
| Naphthoquinone-Sugar Conjugates (89, 90) | Cell wall disruption | Potent against methicillin-resistant S. aureus (MIC = 6.25 μM). | [97] |
| Furo-Naphthoquinones (91) | ROS generation and DNA disruption | Effective against S. aureus and MRSA (MIC as low as 4 µg/mL). | [98] |
| Bluemomycin (82) | ROS-mediated bacterial inhibition | Active against Gram-negative bacteria (e.g., E. coli, P. aeruginosa). | [93] |
| Pyrimidinone-Fused Naphthoquinones (91) | Disrupts bacterial membranes | Effective against P. gingivalis (MIC = 1.56 µg/mL); potential for oral health applications. | [98] |
| Compound | Mechanism of Action | Notable Findings | Ref. |
|---|---|---|---|
| Shikonin (6) | Topoisomerase inhibition, antiangiogenesis | Inhibits tumor growth; effective against resistant cancer cells and viral pathogens. | [13,65,84] |
| Vitamin K2 (1) | Ferroptosis inhibition, apoptosis induction | Synergizes with other anticancer agents; regulates calcium metabolism. | [69,71] |
| Rhinacanthin C (104) | Viral DNA replication inhibition | Active against cytomegalovirus and influenza strains. | [107] |
| Rhinacanthin D (105) | DNA intercalation, replication inhibition | Potent activity against herpes simplex virus and influenza. | [111] |
| Mompain (118) | ROS-mediated viral inhibition | Highly effective against H1N1 virus (IC50 = 0.43 μM). | [113] |
| Quambalarine (119) | DNA intercalation | Potent against influenza A virus (IC50 = 0.29 μM). | [113] |
| Juglone Derivatives (100–103) | SARS-CoV-2 Mpro inhibition | IC50 values as low as 72.07 nM; effective against SARS-CoV-2 replication. | [105] |
| Bis-Naphthoquinones (98, 99) | Viral replication inhibition | Potent against Zika virus (EI50 ≤ 1.38 µM). | [104] |
Disclaimer/Publisher’s Note: The statements, opinions and data contained in all publications are solely those of the individual author(s) and contributor(s) and not of MDPI and/or the editor(s). MDPI and/or the editor(s) disclaim responsibility for any injury to people or property resulting from any ideas, methods, instructions or products referred to in the content. |
© 2025 by the authors. Licensee MDPI, Basel, Switzerland. This article is an open access article distributed under the terms and conditions of the Creative Commons Attribution (CC BY) license (https://creativecommons.org/licenses/by/4.0/).
Share and Cite
Xiang, S.; Li, Y.; Khan, S.N.; Zhang, W.; Yuan, G.; Cui, J. Exploiting the Anticancer, Antimicrobial and Antiviral Potential of Naphthoquinone Derivatives: Recent Advances and Future Prospects. Pharmaceuticals 2025, 18, 350. https://doi.org/10.3390/ph18030350
Xiang S, Li Y, Khan SN, Zhang W, Yuan G, Cui J. Exploiting the Anticancer, Antimicrobial and Antiviral Potential of Naphthoquinone Derivatives: Recent Advances and Future Prospects. Pharmaceuticals. 2025; 18(3):350. https://doi.org/10.3390/ph18030350
Chicago/Turabian StyleXiang, Shouyan, Yubei Li, Shah Nawaz Khan, Weixin Zhang, Gaoyang Yuan, and Jiahua Cui. 2025. "Exploiting the Anticancer, Antimicrobial and Antiviral Potential of Naphthoquinone Derivatives: Recent Advances and Future Prospects" Pharmaceuticals 18, no. 3: 350. https://doi.org/10.3390/ph18030350
APA StyleXiang, S., Li, Y., Khan, S. N., Zhang, W., Yuan, G., & Cui, J. (2025). Exploiting the Anticancer, Antimicrobial and Antiviral Potential of Naphthoquinone Derivatives: Recent Advances and Future Prospects. Pharmaceuticals, 18(3), 350. https://doi.org/10.3390/ph18030350

