Reproducing Cold-Chain Conditions in Real Time Using a Controlled Peltier-Based Climate System
Abstract
1. Introduction
2. Materials and Methods
2.1. Peltier Modules
2.1.1. Fundamental Heat and Electrical Relations
2.1.2. Parameter Extraction and Effective Lumped Quantities
2.1.3. Performance Trends and Practical Implications
- (i)
- Figure 2a shows interesting information about the performance of Peltier cells. The of the cell decreases as its current consumption—i.e., electrical power—increases, and this parameter is also low for very low consumptions. However, it presents an optimum value when the consumption of the cell is approximately 15–20% of its nominal value, which allows the highest amount of heat to be extracted with the lowest electrical consumption. Furthermore, the performance is higher the smaller the temperature difference between the cell faces.
- (ii)
- In Figure 2b, we observe that a higher power consumption of the cell allows a greater amount of heat to be absorbed, although this increase shows asymptotic trends as the consumption increases. Thus, as decreases, larger increases in are observed when the consumption is low, up to approximately 50% of the nominal consumption.
- (iii)
- Similarly, in Figure 2c, an increase in heat rejected is observed as consumption increases. However, in this case, the growth is exponential, which causes the fact that, for the same consumption, a lower implies a large increase in .
- (iv)
- Another interesting result is shown in Figure 2d. The performance of the cells is higher the lower the power consumption, and it is increasing as is lower, with a hyperbolic shape. However, this trend is true until 40–50% of the maximum allowed by the cell is reached, at which point the curves cross and a higher current consumption allows a higher for the same . This also implies that, for a given , at the cutoff points of the curves, the same can be reached for different current values. In these cases, if a fast dynamic is sought, it could be interesting to supply the cell with the higher current value, since it would achieve a higher heat extraction (Figure 2b), while maintaining the same efficiency. If reducing consumption while maintaining that is required, it may be of more interest to select the lower current.
- (v)
- Finally, Figure 2e,f show that the evolution of and upon variation of is very linear, with both values growing as current consumption increases. In the case of , there is always an increase as the power consumption rises, as can be clearly seen in the curve with the highest consumption (8.5 A), which increases its value of quite a lot for the same . On the contrary, for , with the same consumption of 8.5 A, there is no significant difference with respect to the previous consumption value (6 A), as it tends to stabilize. This is because and, while is increasing, does not vary much in value at high consumptions.
2.2. Design and Construction of a Peltier-Based Climate Chamber
2.2.1. Mounting of the Thermoelectric Modules and Heatsinking
2.2.2. Air Distribution and Homogenization
2.3. Integration of Electronics, Sensors, and Instrumentation
2.4. Dynamic Modelling of the Thermal Behaviour of the System
Linearization and Laplace-Domain Modelling
2.5. Control System Design for Thermal Management
2.5.1. Controller Architecture
- (i)
- A derivative filter to avoid amplifying measurement noise,
- (ii)
- An anti-windup mechanism based on back-calculation to handle actuator saturation, and
- (iii)
- A Smith predictor (with a low-pass filter) to compensate for the transport dead-time present in the thermal paths.
2.5.2. Anti-Windup Method
2.5.3. Smith Predictor for Dead-Time Compensation
2.5.4. Cascade Implementation and Hysteresis-Based Switching Logic
- Outer loop tracked the chamber air temperature increment , and its output was a module temperature reference that the inner loop had to achieve.
- Inner loop received and output the required duty-cycle increment to the H-bridge driver.
2.6. Tuning and Optimization Strategies for the Controllers
2.6.1. Initial Tuning from Model-Based Methods
2.6.2. Initial 2-DOF and Auxiliary Parameter Choices
2.6.3. Performance Evaluation and Selection
2.6.4. Controller Fine Tuning
- (1)
- Apply a step or short profile and observe the closed-loop response.
- (2)
- Adjust to trade steady-state speed versus overshoot.
- (3)
- Adjust to remove steady-state error while avoiding slow oscillatory behaviour.
- (4)
- Tune (and ) to improve damping and reduce overshoot; reduce derivative action if noise amplification is observed.
- (5)
- Adjust 2-DOF weights and if setpoint transitions produce excessive overshoot.
- (6)
- Tune anti-windup constant to obtain fast recovery from actuator saturation without destabilizing the integrator.
- (7)
- Tune the Smith predictor’s filter to improve robustness against model mismatch (longer increases robustness but reduces dead-time compensation effectiveness).
3. Results and Discussion
3.1. System-Identification Results
Interpretation and Implications from Identification Tests
- Air-loop dynamics . The transfer from module face temperature to air temperature is slow: the dominant time constant is and the transport delay is . The steady-state gain indicates that approximately of chamber air change is produced per change at the module face, reflecting the moderate thermal mass and convective coupling of the chamber.
- Module dynamics . The mapping from PWM duty-cycle to module face temperature is significantly faster than the air loop, as required for cascade control. Identified time constants were and ; the shorter heating time constant indicates that the module assembly responds faster when driven to heat—likely due to different convective conditions and thermoelectric asymmetry. Transport delays were small (~0.8–1.0 min).
- Asymmetry between heating and cooling. The identified gains differ markedly: versus (°C per unit duty-step). This large disparity reflects the inherently asymmetric electro-thermal behaviour of the modules and the mounting/heatsink arrangement. In practice, it requires separate inner-loop tuning for heating and cooling, and explains why the cooling branch exhibits longer time constants in the identified models.
3.2. Controller-Tuning Results
3.2.1. Candidate Tunings and Comparative Metrics
3.2.2. Final Tuning and Experimental Refinement
3.2.3. Practical Performance and Robustness
- Setpoint tracking: with the final tuning, the cascade controller tracked step references and multi-segment profiles with small steady-state error and acceptable overshoot. The Smith predictor and 2-DOF structure were important to reduce delay-induced degradation during relatively fast transients.
- Switching between heating and cooling: the use of two inner controllers and a 0.5 °C hysteresis band prevented chattering at sign changes; bumpless transfer logic avoided actuator jumps at switch instants.
- Actuator effort and accuracy: fine-tuning reduced both tracking errors and actuator effort, achieving low duty-cycle activity without sacrificing accuracy. For practical deployments where energy consumption is critical, the SIMC-derived tuning with minor refinements provided the best overall balance.
- Robustness: final parameters were tested under variations in ambient temperature (from 5 to 25 °C), thermal load, and with several repeated runs; no instability or controller saturation issues were observed.
3.3. Test Results with Real Refrigerated-Truck Temperature Profiles
3.3.1. Tracking Performance
- Even during very aggressive ramps or transients, settling was achieved with little or no overshoot, a direct consequence of: (i) the cascade control architecture; (ii) separate tuning for heating/cooling inner loops; and (iii) the Smith predictor alleviating delay effects.
- The inner-module temperatures, determined by the duty cycle in the cascade control, achieved larger amplitude excursions than the chamber air (Figure 10b, Figure 11e–h, Figure 12b and Figure 13e–h), as expected from system-identification results (Section 3.1). The duty cycle was optimal and responded rapidly during transitions thanks to the properly tuned controllers, avoiding unnecessary saturation and bringing the cells to their ideal operating point to achieve the desired temperature inside the chamber, while minimizing the module effort.
- Cumulative duty-cycle worked as an energy proxy: better tracking for extremely low values (near 0 °C) required higher duty activity. These sections show relatively larger deviations. For application contexts where energy is constrained, a slightly less aggressive tuning (increasing tolerance or applying explicit cost in tuning) would reduce energy at the cost of larger, but still acceptable, errors.
- The control system used higher duty bursts only when required, avoided prolonged saturation, and switched heating/cooling branches smoothly—the 0.5 °C hysteresis and bumpless transfer prevented chattering. The Smith predictor reduced the effective impact of transport delays and improved transient damping, while anti-windup prevented integrator accumulation during saturation.
3.3.2. Regression and Residual Analysis of Chamber Temperature Tracking
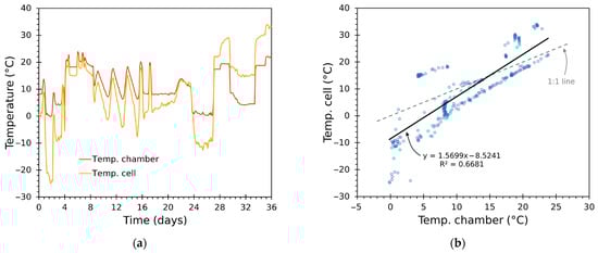
3.3.3. Thermal Behaviour of Peltier Cells and Chamber Air Temperature
3.3.4. Statistical Analysis and Evaluation Metrics
- Mean absolute error (MAE) was 0.1903 °C, while average mean squared error and its square root (MSE and RMSE) values were 0.1089 °C2 and 0.3282 °C, respectively.
- Median absolute errors (MedAE) were particularly small (0.1305 and 0.0700 °C), indicating that the bulk of the run was tracked with sub-tenth-to-few-tenths degree precision. MedAE being lower than MAE indicates a slightly skewed error distribution where a minority of larger deviations increases the mean, consistent with rare transients after aggressive ramps.
- Biases were slightly negative in both trials (mean −0.1471 °C), showing a small systematic tendency for the chamber to finish slightly colder than the reference on average; these small negative values are consistent with the rest of the results.
- The low standard deviation (SD) of the residuals (average 0.2921 °C) ensures that experiments requiring repeatable thermal histories will not be dominated by uncontrolled temperature variability.
- Regression fits between chamber and reference temperatures returned extremely high coefficients of determination (average ), confirming near-linear, near-ideal tracking over very large periods.
3.3.5. Controller Improvements Comparison
4. Conclusions
Author Contributions
Funding
Institutional Review Board Statement
Informed Consent Statement
Data Availability Statement
Acknowledgments
Conflicts of Interest
Abbreviations
| Acronyms | |
| 2-DOF PID | Two-Degree-of-Freedom PID Controller |
| ABS | Acrylonitrile Butadiene Styrene |
| ADC | Analogue-to-Digital Converter |
| AMIGO | Approximate M-constrained Integral Gain Optimization |
| CC | Cohen–Coon |
| CHR | Chien–Hrones–Reswick |
| COP | Coefficient of Performance |
| DC | Direct Current |
| EPS | Expanded Polystyrene |
| IAE | Integral Absolute Error |
| ISE | Integral Square Error |
| ITAE | Integral of Time-multiplied Absolute Error |
| MAE | Mean Absolute Error |
| MDPM | Multiple Dominant Pole Method |
| MedAE | Median Absolute Error |
| MPC | Model Predictive Control |
| MSE | Mean Squared Error |
| NTC | Negative Temperature Coefficient |
| PID | Proportional–Integral–Derivative controller |
| PLA | Polylactic Acid |
| PWM | Pulse Width Modulation |
| RMSE | Root Mean Square Error |
| SD | Standard Deviation |
| SIMC | Skogestad Internal Model Control |
| TV | Total Variation |
| ZN | Ziegler–Nichols |
| Symbols | |
| Internal surface area of the chamber () | |
| , , | Inner-loop PID controllers: general, cooling branch, heating branch |
| Specific heat of air () | |
| Specific heat of the module assembly () | |
| Outer-loop PID controller for chamber air temperature | |
| , | Coefficient of performance for cooling and heating |
| Duty cycle of the PWM control signal | |
| Duty cycle operating point | |
| Geometrical factor (area/length) () | |
| Transfer function from duty cycle to module temperature | |
| Transfer function from module temperature to chamber air temperature | |
| Electrical current () | |
| Current through the thermoelectric module () | |
| Current through the module operating point () | |
| Maximum rated current of the module () | |
| Thermal conductance of the module () | |
| Anti-windup back-calculation constant | |
| Proportional gain of the PID controller | |
| Thermal conductivity () | |
| , | Transport delay (dead time) in the thermal systems () |
| Lumped mass of the module assembly () | |
| Number of thermoelectric modules | |
| Number of thermocouple pairs in a module | |
| Electrical power input to the module () | |
| Heat absorbed at the cold side of the module () | |
| Heat produced or absorbed by a single module () | |
| Heat rejected at the hot side of the module () | |
| Ideal Peltier heat flow () | |
| Seebeck coefficient () | |
| Elemental Seebeck coefficient () | |
| Temperature ( or ) | |
| Cold face temperature of the module () | |
| Temperature of the module face () | |
| Module temperature operating point () | |
| Derivative time of the PID controller () | |
| Hot face temperature of the module () | |
| Reference module hot-side temperature from datasheet () | |
| Integral time of the PID controller () | |
| Chamber air temperature () | |
| Chamber air temperature operating point () | |
| External ambient temperature () | |
| Overall heat-transfer coefficient of the chamber enclosure () | |
| Internal volume of the chamber () | |
| Supply voltage rail for the module () | |
| Voltage applied to the module () | |
| Electrical voltage () | |
| Maximum rated voltage of the module () | |
| Electrical resistance of the module () | |
| Coefficient of determination | |
| Effective thermal resistance between modules and chamber air () | |
| Gain of module-temperature to air-temperature transfer function () | |
| Temperature difference () | |
| Maximum temperature difference across the module () | |
| Derivative filter constant in the PID controller | |
| Setpoint weighting factors in 2-DOF PID controller | |
| Low-pass filter constant in the Smith predictor | |
| Peltier coefficient () | |
| Air density () | |
| Electrical resistivity () | |
| , | Time constants of the thermal systems () |
| Gain of duty-cycle to module-temperature transfer function () | |
References
- FAO; IFAD; UNICEF; WFP; WHO. The State of Food Security and Nutrition in the World 2024; FAO: Rome, Italy, 2024. [Google Scholar] [CrossRef]
- FAO; IFAD; UNICEF; WFP; WHO. The State of Food Security and Nutrition in the World 2023. Urbanization, Agrifood Systems Transformation and Healthy Diets Across the Rural–Urban Continuum; FAO: Rome, Italy, 2023; ISBN 9789251372265. [Google Scholar]
- UNEP; FAO. Sustainable Food Cold Chains: Opportunities, Challenges and the Way Forward; UNEP: Nairobi, Kenya; FAO: Rome, Italy, 2022. [Google Scholar] [CrossRef]
- De Venuto, D.; Mezzina, G. Spatio-Temporal Optimization of Perishable Goods’ Shelf Life by a Pro-Active WSN-Based Architecture. Sensors 2018, 18, 2126. [Google Scholar] [CrossRef]
- FAO; WHO. FAO/WHO Guidance to Governments on the Application of HACCP in Small and/or Less-Developed Food Businesses; FAO: Rome, Italy, 2007; ISBN 978-92-5-105596-0. [Google Scholar]
- Charpe, A.M.; Sedani, S.R.; Murumkar, R.P.; Bhad, R.G. Effect of Temperature on Microbial Growth in Food During Storage. Multilogic Sci. 2019, 8, 56–58. [Google Scholar]
- Blanco-Lizarazo, C.M.; Rodríguez Jaramillo, A.; López Rueda, K. Multivariate Shelf Life Model for Postharvest Agaricus Bisporus at Different Temperatures. Postharvest Biol. Technol. 2024, 217, 113106. [Google Scholar] [CrossRef]
- Choosuk, N.; Meesuk, P.; Renumarn, P.; Phungamngoen, C.; Jakkranuhwat, N. Kinetic Modeling of Quality Changes and Shelf Life Prediction of Dried Coconut Chips. Processes 2022, 10, 1392. [Google Scholar] [CrossRef]
- Derossi, A.; Mastrandrea, L.; Amodio, M.L.; De Chiara, M.L.V.; Colelli, G. Application of Multivariate Accelerated Test for the Shelf Life Estimation of Fresh-Cut Lettuce. J. Food Eng. 2016, 169, 122–130. [Google Scholar] [CrossRef]
- Atta, R.M.; Atta, R.M. Thermoelectric Cooling. In Bringing Thermoelectricity into Reality; IntechOpen: London, UK, 2018. [Google Scholar] [CrossRef]
- Poole, S.F.; Amin, O.J.; Solomon, A.; Barton, L.X.; Edmonds, R.P.C.K.W.; Wadley, P. Thermally Stable Peltier Controlled Vacuum Chamber for Electrical Transport Measurements. Rev. Sci. Instrum. 2024, 95, 035108. [Google Scholar] [CrossRef]
- Saini, A.; Watzman, S.J.; Bahk, J.-H. Cost-Performance Trade-off in Thermoelectric Air Conditioning System with Graded and Constant Material Properties. Energy Build. 2020, 240, 110931. [Google Scholar] [CrossRef]
- Mazhar, A.R.; Ubaid, A.; Shah, S.M.H.; Masood, S.; Alvi, M.Z. Investigation of the Simultaneous Cooling and Heating Using a Thermoelectric Peltier. Eng. Proc. 2023, 45, 13. [Google Scholar] [CrossRef]
- ASHRAE. ASHRAE Handbook—Refrigeration; ASHRAE: Peachtree Corners, Georgia, 2014; ISBN 978-1-936504-72-5. [Google Scholar]
- Rowe, D.M. Thermoelectrics Handbook: Macro to Nano; Taylor & Francis Group: Abingdon, UK, 2006; ISBN 978-0-8493-2264-8. [Google Scholar]
- Hussain, W.; Shahzad, H.; García-Salaberri, P.A.; Ashraf, H.; Shah, N.A. Comprehensive Review on Thermoelectric Materials Principles, Synthesis, Nanostructuring and Advance Applications. Int. Commun. Heat Mass Transf. 2025, 169, 109672. [Google Scholar] [CrossRef]
- Lee, H. Thermal Design: Heat Sinks, Thermoelectrics, Heat Pipes, Compact Heat Exchangers, and Solar Cells; John Wiley & Sons, Inc.: Hoboken, NJ, USA, 2011; ISBN 978-0-470-49662-6. [Google Scholar]
- Vasilyev, G.; Kuzichkin, O.; Surzhik, D. Nonlinear Control of Thermoelectric Peltier Moduls for Climate Management Systems in Agro-Industrial Complex. Lect. Notes Electr. Eng. 2024, 1130, 148–155. [Google Scholar] [CrossRef]
- Montalvão, F.F.; de Almeida, I.C.; Pinto, V.P.; de Oliveira, B.P.; Yasuoka, F.M.M.; Neto, J.C. de C. Peltier-Based Temperature Regulation: A Method for Performance Optimization in Solid-State Lasers. MethodsX 2024, 13, 102873. [Google Scholar] [CrossRef]
- Yusuf, A.; Koç, T.; Arikuşu, Y.S.; Tiryaki, H.; Bayhan, N.; Ballikaya, S. Modeling of a Thermoelectric Cooler System, Design and Optimization of the System’s Controller. Sadhana-Acad. Proc. Eng. Sci. 2022, 47, 182. [Google Scholar] [CrossRef]
- Mironova, A.; Mercorelli, P.; Zedler, A. A Multi Input Sliding Mode Control for Peltier Cells Using a Cold–Hot Sliding Surface. J. Franklin Inst. 2018, 355, 9351–9373. [Google Scholar] [CrossRef]
- Mironova, A.; Mercorelli, P.; Zedler, A. Control of a Two-Thermoelectric-Cooler System for Ice-Clamping Application Using Lyapunov Based Approach. In Proceedings of the 2017 21st International Conference on Process Control (PC), Štrbské Pleso, Slovakia, 6–9 June 2017; IEEE: New York, NY, USA, 2017; pp. 24–29. [Google Scholar]
- Mironova, A.; Mercorelli, P.; Zedler, A. Robust Control Using Sliding Mode Approach for Ice-Clamping Device Activated by Thermoelectric Coolers. IFAC-Pap. 2016, 49, 470–475. [Google Scholar] [CrossRef]
- Masaki, M.S.; Zhang, L.; Xia, X. Fuzzy Logic Control of Plug-in Supercapacitor Storage for Thermoelectric Management of Batteries. Renew. Energy Focus 2022, 43, 59–73. [Google Scholar] [CrossRef]
- Rafatnia, S. Adaptive Fixed-Time Terminal Sliding Mode Control of a Peltier Cell Fused with a Fuzzy Fixed-Time Perturbation Estimator. J. Process Control 2025, 148, 103391. [Google Scholar] [CrossRef]
- Liu, K.; Li, K.; Zhang, C. Constrained Generalized Predictive Control of Battery Charging Process Based on a Coupled Thermoelectric Model. J. Power Sources 2017, 347, 145–158. [Google Scholar] [CrossRef]
- Liu, M.; Wu, H.; Liang, X.; Liu, J.; Zeng, X.; Hu, K. Model Predictive Control Based on LSTM Neural Network for Maglev Vehicle’ Suspension System. Acta Mech. Sin./Lixue Xuebao 2026, 42, 524572. [Google Scholar] [CrossRef]
- Behrooz, F.; Mariun, N.; Marhaban, M.H.; Radzi, M.A.M.; Ramli, A.R. Review of Control Techniques for HVAC Systems-Nonlinearity Approaches Based on Fuzzy Cognitive Maps. Energies 2018, 11, 495. [Google Scholar] [CrossRef]
- Yi, H.; Zhou, J.; Zhang, J.; Chen, E. Adaptive Thermal Comfort Control of Electric Vehicle Air Conditioning Using GWO-Optimized Fuzzy PID. Therm. Sci. Eng. Prog. 2025, 66, 104057. [Google Scholar] [CrossRef]
- Omidi Jezeh, H.; Moradi, H. Modeling and Optimal Hierarchical Control of Multi-Zone VAV Systems for Energy Efficiency and Occupant Comfort. Appl. Therm. Eng. 2025, 280, 128009. [Google Scholar] [CrossRef]
- Tomažič, S.; Škrjanc, I. Advanced Model Predictive Control Strategies for Energy-Efficient HVAC Systems in Pharmaceutical Facilities. Energy Build. 2025, 347, 116348. [Google Scholar] [CrossRef]
- So, G. DS Based 2-DOF PID Controller for Various Integrating Processes with Time Delay. ISA Trans. 2024, 153, 276–294. [Google Scholar] [CrossRef]
- De Azevedo, A.P.; Santos, T.L.M.; Normey-Rico, J.E. Optimal Analytical Cascade Control for FOPDT Systems. Eur. J. Control 2024, 75, 100934. [Google Scholar] [CrossRef]
- Balaguer, V.; González, A.; García, P.; Blanes, F. Enhanced 2-DOF PID Controller Tuning Based on an Uncertainty and Disturbance Estimator With Experimental Validation. IEEE Access 2021, 9, 99092–99102. [Google Scholar] [CrossRef]
- De Almeida Machareth, G.; Dos Santos, M.F.; Da Silva, J.L.; Franklin, L.R.; Mercorelli, P. Case Study: Optimization of PI Controller Gains with Anti-Windup Applied on a Level System. In Proceedings of the 2023 24th International Carpathian Control Conference, ICCC 2023, Szilvásvárad, Hungary, 12–14 June 2023; pp. 4–9. [Google Scholar] [CrossRef]
- Tavakoli, S. Enhanced Control of Double Integrating plus Time Delay Systems Using a Two-Degree-of-Freedom Smith Predictor. Electron. Lett. 2024, 60, e13309. [Google Scholar] [CrossRef]
- Jean Charles, A. Peltier Nouvelles Expériences Sur La Caloricité Des Courans Électriques. Ann. Chim. Phys. 1834, 56, 371–386. [Google Scholar]
- Kimura, Y.; Utsumi, K.; Tohmyoh, H. Experimental Relationship between the Seebeck and Peltier Effects in Thermoelectric Modules Based on Fe and Al Metals. Appl. Therm. Eng. 2024, 255, 124009. [Google Scholar] [CrossRef]
- Schilling, A.; Zhang, X.; Bossen, O. Heat Flowing from Cold to Hot without External Intervention by Using a “Thermal Inductor”. Sci. Adv. 2019, 5, eaat9953. [Google Scholar] [CrossRef]
- Chen, M.; Snyder, G.J. Analytical and Numerical Parameter Extraction for Compact Modeling of Thermoelectric Coolers. Int. J. Heat Mass Transf. 2013, 60, 689–699. [Google Scholar] [CrossRef]
- Zhang, H.Y.; Mui, Y.C.; Tarin, M. Analysis of Thermoelectric Cooler Performance for High Power Electronic Packages. Appl. Therm. Eng. 2010, 30, 561–568. [Google Scholar] [CrossRef]
- Martín-Gómez, C.; Zuazua-Ros, A.; Del Valle de Lersundi, K.; Sánchez Saiz-Ezquerra, B.; Ibáñez-Puy, M. Integration Development of a Ventilated Active Thermoelectric Envelope (VATE): Constructive Optimization and Thermal Performance. Energy Build. 2021, 231, 110593. [Google Scholar] [CrossRef]
- HB Electronic Components Thermoelectric Cooler TEC1-12708 Performance Specifications. Available online: https://www.hebeiltd.com.cn/peltier.datasheet/TEC1-12708.pdf (accessed on 7 March 2025).
- Espressif Systems ESP32 Series Datasheet. Available online: https://www.espressif.com/sites/default/files/documentation/esp32_datasheet_en.pdf (accessed on 28 November 2023).
- Sensirion SHTC3 Datasheet. Available online: https://sensirion.com/media/documents/643F9C8E/63A5A436/Datasheet_SHTC3.pdf (accessed on 7 March 2025).
- Dallas Semiconductor Corp. Programmable Resolution 1-Wire Digital Thermometer—DS18B20. Available online: https://cdn.sparkfun.com/datasheets/Sensors/Temp/DS18B20.pdf (accessed on 7 March 2025).
- Ogata, K. Modern Control Engineering; Prentice Hall: Hoboken, NJ, USA, 2010; ISBN 978-0-13-615673-4. [Google Scholar]
- Franklin, G.F.; Powell, J.D.; Emami-Naeini, A. Feedback Control of Dynamic Systems; Prentice Hall: Hoboken, NJ, USA, 2010; ISBN 978-0-13-601969-5. [Google Scholar]
- Khalil, H.K. Nonlinear Systems; Prentice Hall: Hoboken, NJ, USA, 1996; ISBN 0-13-228024-8. [Google Scholar]
- Kumar, M.; Patel, V. Two Degree of Freedom PID Controller For Speed Control of DC Motor. Am. Int. J. Res. Sci. Technol. Eng. Math. 2015, 39, 94–97. [Google Scholar]
- Utami, A.R.; Yuniar, R.J.; Giyantara, A.; Saputra, A.D. Cohen-Coon PID Tuning Method for Self-Balancing Robot. In Proceedings of the International Symposium on Electronics and Smart Devices (ISESD), Bandung, Indonesia, 8–9 November 2022; pp. 1–5. [Google Scholar] [CrossRef]
- Skogestad, S.; Grimholt, C. The SIMC Method for Smooth PID Controller Tuning. In PID Control in the Third Millennium. Advances in Industrial Control; Springer International Publishing: Berlin/Heidelberg, Germany, 2012; pp. 147–175. [Google Scholar]
- Silva, F.; Batista, J.; Souza, D.; Lima, A.; dos Reis, L.; Barbosa, A. Control and Identification of Parameters of a Joint of a Manipulator Based on PID, PID 2-DOF, and Least Squares. J. Braz. Soc. Mech. Sci. Eng. 2023, 45, 327. [Google Scholar] [CrossRef]
- Wang, L. PID Control System Design and Automatic Tuning Using MATLAB/Simulink. In PID Control System Design and Automatic Tuning Using MATLAB/Simulink; John Wiley & Sons: Hoboken, NJ, USA, 2020; pp. 1–344. [Google Scholar] [CrossRef]
- Åström, K.J.; Hägglund, T. Revisiting the Ziegler–Nichols Step Response Method for PID Control. J. Process Control 2004, 14, 635–650. [Google Scholar] [CrossRef]
- Viteckova, M.; Vitecek, A. 2DOF PI and PID Controllers Tuning. IFAC Proc. Vol. 2010, 43, 343–348. [Google Scholar] [CrossRef]
- Kumar, S.; Negi, R. A Comparative Study of PID Tuning Methods Using Anti-Windup Controller. In Proceedings of the ICPCES 2012—2012 2nd International Conference on Power, Control and Embedded Systems, Allahabad, India, 17–19 December 2012. [Google Scholar] [CrossRef]
- Alfaro, V.M.; Vilanova, R.; Arrieta, O. Considerations on Set-Point Weight Choice for 2-DoF PID Controllers. IFAC Proc. Vol. 2009, 42, 721–726. [Google Scholar] [CrossRef]
- Roca, L.; Guzman, J.L.; Normey-Rico, J.E.; Berenguel, M. Filtered Smith Predictor with Nonlinear Model Applied to a Solar Field. In Proceedings of the 2014 European Control Conference, ECC 2014, Strasbourg, France, 24–27 June 2014; pp. 773–777. [Google Scholar] [CrossRef]
- Skogestad, S. Simple Analytic Rules for Model Reduction and PID Controller Tuning. J. Process Control 2003, 13, 291–309. [Google Scholar] [CrossRef]
- Singh, S.; Singh, V.; Rani, A.; Yadav, J. Optimization of PID Controller Based on Various Tuning Methods. In Proceedings of the 2023 International Conference on Power, Instrumentation, Energy and Control, PIECON 2023, Aligarh, India, 10–12 February 2023. [Google Scholar] [CrossRef]
- Garrido-López, J.; Jiménez-Buendía, M.; Toledo-Moreo, A.; Giménez-Gallego, J.; Torres-Sánchez, R. Monitoring Perishable Commodities Using Cellular IoT: An Intelligent Real-Time Conditions Tracker Design. Appl. Sci. 2024, 14, 11050. [Google Scholar] [CrossRef]



















| Peltier Cell Parameter | Value |
|---|---|
| Operating Point | Heat Case | Cool Case |
|---|---|---|
| Method | |||
|---|---|---|---|
| Ziegler–Nichols | |||
| Cohen–Coon | |||
| Chien–Hrones–Reswick | |||
| AMIGO | |||
| SIMC |
| Parameter | Value |
|---|---|
| Parameter | Operating Mode | Value |
|---|---|---|
| - | ||
| - | ||
| - | ||
| Heating | ||
| Cooling | ||
| Heating | ||
| Cooling | ||
| Heating | ||
| Cooling |
| Method | Parameter | |||
|---|---|---|---|---|
| ZN | 50.61 | 0.09 | 0.63 | |
| 2.34 | 1.66 | 2.00 | ||
| 0.59 | 0.42 | 0.50 | ||
| 0.70 | 0.70 | 0.70 | ||
| 0.00 | 0.00 | 0.00 | ||
| CC | 56.69 | 0.10 | 0.71 | |
| 2.83 | 1.97 | 2.41 | ||
| 0.42 | 0.29 | 0.36 | ||
| 0.70 | 0.70 | 0.70 | ||
| 0.00 | 0.00 | 0.00 | ||
| CHR | 25.31 | 0.04 | 0.31 | |
| 26.85 | 8.84 | 18.17 | ||
| 0.59 | 0.42 | 0.50 | ||
| 0.70 | 0.70 | 0.70 | ||
| 0.00 | 0.00 | 0.00 | ||
| AMIGO | 19.35 | 0.03 | 0.24 | |
| 6.66 | 3.59 | 5.30 | ||
| 0.58 | 0.41 | 0.49 | ||
| 0.70 | 0.70 | 0.70 | ||
| 0.00 | 0.00 | 0.00 | ||
| SIMC | 21.55 | 0.04 | 0.27 | |
| 9.36 | 6.64 | 8.00 | ||
| 0.57 | 0.39 | 0.48 | ||
| 0.70 | 0.70 | 0.70 | ||
| 0.00 | 0.00 | 0.00 | ||
| MDPM | 32.72 | 0.06 | 0.41 | |
| 4.08 | 2.68 | 3.42 | ||
| 0.30 | 0.21 | 0.26 | ||
| 0.45 | 0.47 | 0.45 | ||
| 0.66 | 0.70 | 0.67 | ||
| All methods | 0.05 | 0.05 | 0.05 | |
| 0.90 | 1.32 | 1.06 | ||
| 0.50 | 0.50 | 0.50 |
| Method | ISE | IAE | ITAE | TV |
|---|---|---|---|---|
| ZN | 24,041.48 | 1215.30 | 31,680.38 | 3462.21 |
| CC | 23,895.09 | 1184.06 | 29,363.43 | 3875.00 |
| CHR | 28,697.20 | 1492.31 | 37,997.72 | 820.81 |
| AMIGO | 23,484.53 | 1040.11 | 17,875.05 | 1213.74 |
| SIMC | 23,583.20 | 979.87 | 13,136.75 | 851.85 |
| MDPM | 23,983.11 | 1200.79 | 31,059.62 | 6190.95 |
| PID | Performance Indicators | |||||||||||
|---|---|---|---|---|---|---|---|---|---|---|---|---|
| ISE | IAE | ITAE | TV | |||||||||
| 21.97 | 8.02 | 0.44 | 0.38 | 0.00 | 0.06 | 0.60 | 0.55 | |||||
| 0.05 | 6.81 | 0.36 | 0.73 | 0.09 | 0.04 | 1.30 | 0.55 | 22,148.04 | 921.33 | 12,128.27 | 314.52 | |
| 0.26 | 7.22 | 0.53 | 0.69 | 0.17 | 0.06 | 0.96 | 0.58 | |||||
| Metric | Test 1 | Test 2 | Mean |
|---|---|---|---|
| MAE | 0.2217 °C | 0.1588 °C | 0.1903 °C |
| MedAE | 0.1305 °C | 0.0700 °C | 0.1002 °C |
| MSE | 0.1315 °C2 | 0.0864 °C2 | 0.1089 °C2 |
| RMSE | 0.3626 °C | 0.2939 °C | 0.3282 °C |
| Bias | −0.1918 °C | −0.1024 °C | −0.1471 °C |
| SD | 0.3082 °C | 0.2759 °C | 0.2921 °C |
| 0.9981 | 0.9989 | 0.9985 |
| Metric | Baseline PID | Optimized PID |
|---|---|---|
| MAE | 2.7377 °C | 0.5438 °C |
| MedAE | 2.1808 °C | 0.3047 °C |
| RMSE | 3.5425 °C | 1.3659 °C |
| Bias | −1.6395 °C | −0.4111 °C |
| SD | 3.1425 °C | 1.3030 °C |
| 0.8971 | 0.9804 |
Disclaimer/Publisher’s Note: The statements, opinions and data contained in all publications are solely those of the individual author(s) and contributor(s) and not of MDPI and/or the editor(s). MDPI and/or the editor(s) disclaim responsibility for any injury to people or property resulting from any ideas, methods, instructions or products referred to in the content. |
© 2025 by the authors. Licensee MDPI, Basel, Switzerland. This article is an open access article distributed under the terms and conditions of the Creative Commons Attribution (CC BY) license (https://creativecommons.org/licenses/by/4.0/).
Share and Cite
Garrido-López, J.M.; Ramallo-González, A.P.; Jiménez-Buendía, M.; Toledo-Moreo, A.; Torres-Sánchez, R. Reproducing Cold-Chain Conditions in Real Time Using a Controlled Peltier-Based Climate System. Sensors 2025, 25, 6689. https://doi.org/10.3390/s25216689
Garrido-López JM, Ramallo-González AP, Jiménez-Buendía M, Toledo-Moreo A, Torres-Sánchez R. Reproducing Cold-Chain Conditions in Real Time Using a Controlled Peltier-Based Climate System. Sensors. 2025; 25(21):6689. https://doi.org/10.3390/s25216689
Chicago/Turabian StyleGarrido-López, Javier M., Alfonso P. Ramallo-González, Manuel Jiménez-Buendía, Ana Toledo-Moreo, and Roque Torres-Sánchez. 2025. "Reproducing Cold-Chain Conditions in Real Time Using a Controlled Peltier-Based Climate System" Sensors 25, no. 21: 6689. https://doi.org/10.3390/s25216689
APA StyleGarrido-López, J. M., Ramallo-González, A. P., Jiménez-Buendía, M., Toledo-Moreo, A., & Torres-Sánchez, R. (2025). Reproducing Cold-Chain Conditions in Real Time Using a Controlled Peltier-Based Climate System. Sensors, 25(21), 6689. https://doi.org/10.3390/s25216689

