Wi-Fi Assisted Contextual Multi-Armed Bandit for Neighbor Discovery and Selection in Millimeter Wave Device to Device Communications
Abstract
1. Introduction
2. Literature Review
3. System Model
3.1. Multiband D2D Network Architecture
3.2. Wi-Fi Linkage Model
3.3. mmWave Linkage and Blockage Models
3.4. mmWave D2D NDS Problem Modeling
3.5. CMAB Concept
4. Proposed EA-CMAB Algorithms
4.1. Proposed EA-LinUCB Algorithm
| Algorithm 1: EA-LinUCB NDS |
| Input: and for ∀, For =1, 2,…, T Notice features of ∀ For ∀ do While If arm i is new then (identity matrix) (zero vector) End If End While End For Choose arm and observe its reward from (8) 1. 2. 3. End For |
4.2. Proposed EA-CTS Algorithm
- A set of parameters .
- A former distribution P() which is Gaussian in our case.
- Former observations, D, containing (context X, reward ) for the previous time steps.
- the probability of reward given a context X and a parameter .
- Posterior distribution P(|D) ∝ P(D|)P().
| Algorithm 2: EA-CTS NDS |
| Let For While Sample , from normal distributions Play arm and notice the reward , i.e., SE obtained from (8) Update 1. 2. 3. 4. End While END For |
5. Numerical Results
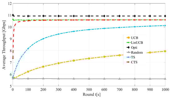
5.1. Without Battery Consideration
5.2. With Battery Consideration
6. Conclusions
Author Contributions
Funding
Institutional Review Board Statement
Informed Consent Statement
Data Availability Statement
Conflicts of Interest
Nomenclature
| Symbol | Meaning |
| Wi-Fi and mmWave Transmitted and received powers | |
| Wi-Fi and mmWave path loss exponent, | |
| , | Wi-Fi and mmWave log-normal shadowing |
| Transmitting and receiving beamforming gains angle of departures (AoD) and the angle of arrival (AoA) | |
| mmWave bandwidth, Data transmission and BT times | |
| Collected reward via selecting arm/device at round t | |
| ,, | Noise power of receiver, −3dB beamwidth, maximum antenna gain |
| Obstacles density, cylinder’s thinning factor and radius | |
| Remaining energy of the adjacent device , threshold energy | |
| D2D linkage throughput in Gbps with adjacent device at round |
References
- Wang, X.; Kong, L.; Kong, F.; Qiu, F.; Xia, M.; Arnon, S.; Chen, G. Millimeter Wave Communication: A Comprehensive Survey. IEEE Commun. Surv. Tutor. 2018, 20, 1616–1653. [Google Scholar] [CrossRef]
- Ansari, R.I.; Chrysostomou, C.; Hassan, S.A.; Guizani, M.; Mumtaz, S.; Rodriguez, J.; Rodrigues, J.J.P.C. 5G D2D Networks: Techniques, Challenges, and Future Prospects. IEEE Syst. J. 2018, 12, 3970–3984. [Google Scholar] [CrossRef]
- Mohamed, E.M.; Abdelghany, M.A.; Zareei, M. An Efficient Paradigm for Multiband WiGig D2D Networks. IEEE Access 2019, 7, 70032–70045. [Google Scholar] [CrossRef]
- Hashima, S.; Hatano, K.; Takimoto, E.; Mohamed, E.M. Neighbor Discovery and Selection in Millimeter Wave D2D Networks Using Stochastic MAB. IEEE Commun. Lett. 2020, 24, 1840–1844. [Google Scholar] [CrossRef]
- Hashima, S.; Elhalawany, B.M.; Hatano, K.; Wu, K.; Mohamed, E.M. Leveraging Machine-Learning for D2D Communications in 5G/Beyond 5G Networks. Electronics 2021, 10, 169. [Google Scholar] [CrossRef]
- Qiao, J.; Shen, X.S.; Mark, J.W.; Shen, Q.; He, Y.; Lei, L. Enabling device-to-device communications in millimeter-wave 5G cellular networks. IEEE Commun. Mag. 2015, 53, 209–215. [Google Scholar] [CrossRef]
- Morocho-Cayamcela, M.E.; Lee, H.; Lim, W. Machine Learning for 5G/B5G Mobile and Wireless Communications: Potential, Limitations, and Future Directions. IEEE Access 2019, 7, 137184–137206. [Google Scholar] [CrossRef]
- Jiang, C.; Zhang, H.; Ren, Y.; Han, Z.; Chen, K.-C.; Hanzo, L. Machine Learning Paradigms for Next-Generation Wireless Networks. IEEE Wirel. Commun. 2017, 24, 98–105. [Google Scholar] [CrossRef]
- Wang, J.B.; Cheng, M.; Wang, J.Y.; Lin, M.; Wu, Y.; Zhu, H.; Wang, J. Bandit Inspired Beam Searching Scheme for mmWave High-Speed Train Communications. arXiv 2018, arXiv:1810.06150. [Google Scholar]
- Auer, P.; Cesa-Bianchi, N.; Fischer, P. Finite-time Analysis of the Multiarmed Bandit Problem. Mach. Learn. 2002, 47, 235–256. [Google Scholar] [CrossRef]
- Aleksandrs, S. Introduction to Multi-Armed Bandits. arXiv 2019, arXiv:1904.07272. [Google Scholar]
- Zhou, P.; Cheng, K.; Han, X.; Fang, X.; Fang, Y.; He, R.; Long, Y.; Liu, Y. IEEE 802.11ay-Based mmWave WLANs: Design Challenges and Solutions. IEEE Commun. Surv. Tutor. 2018, 20, 1654–1681. [Google Scholar] [CrossRef]
- Qualcomm Tri-Band Solution. Available online: https://goo.gl/jD26KH (accessed on 16 April 2021).
- Intel Tri-Band Wireless-AC 18260. Available online: https://goo.gl/RBMsmb (accessed on 16 April 2021).
- TP-Link Talon AD7200 WiFi Router. Available online: https://goo.gl/2hLDcB (accessed on 16 April 2021).
- Mohamed, E.M.; Sakaguchi, K.; Sampei, S. Wi-Fi Coordinated WiGig Concurrent Transmissions in Random Access Scenarios. IEEE Trans. Veh. Technol. 2017, 66, 10357–10371. [Google Scholar] [CrossRef]
- Mohamed, E.M.; Elhalawany, B.M.; Khallaf, H.S.; Zareei, M.; Zeb, A.; Abdelghany, M.A. Relay Probing for Millimeter Wave Multi-Hop D2D Networks. IEEE Access 2020, 8, 30560–30574. [Google Scholar] [CrossRef]
- Mubarak, A.S.; Esmaiel, H.; Mohamed, E.M. LTE/Wi-Fi/mmWave RAN-Level Interworking Using 2C/U Plane Splitting for Future 5G Networks. IEEE Access 2018, 6, 53473–53488. [Google Scholar] [CrossRef]
- Mohamed, E.M.; Sakaguchi, K.; Sampei, S. Millimeter wave beamforming based on WiFi fingerprinting in indoor environment. In Proceedings of the 2015 IEEE International Conference on Communication Workshop (ICCW), London, UK, 8–12 June 2015; pp. 1155–1160. [Google Scholar]
- Li, L.; Chu, W.; Langford, J.; Schapire, R.E. A Contextual-Bandit Approach to Personalized News Article Recommendation. In Proceedings of the 19th International World Wide Web Conference, Raleigh, NC, USA, 26–30 April 2010. [Google Scholar]
- Agrawal, S.; Goyal, N. Thompson Sampling for Contextual Bandits with Linear Payoffs. In Proceedings of the 30th International Conference on Machine Learning, Atlanta, GA, USA, 16–21 June 2013. [Google Scholar]
- Francisco-Valencia, I.; Marcial-Romero, J.R.; Valdovinos-Rosas, R.M. A comparison between UCB and UCB-Tuned as selection policies in GGP. J. Intell. Fuzzy Syst. 2019, 36, 5073–5079. [Google Scholar] [CrossRef]
- Kaufmann, E.; Korda, N.; Munos, R. Thompson sampling: An asymptotically optimal finite-time analysis. In Algorithmic Learning Theory (ALT); Springer: Berlin/Heidelberg, Germany, 2012; pp. 199–213. [Google Scholar]
- Uwaechia, A.N.; Mahyuddin, N.M. A Comprehensive Survey on Millimeter Wave Communications for Fifth-Generation Wireless Networks: Feasibility and Challenges. IEEE Access 2020, 8, 62367–62414. [Google Scholar] [CrossRef]
- Hayat, O.; Ngah, R.; Hashim, S.Z.M.; Dahri, M.H.; Malik, R.F.; Rahayu, Y. Device Discovery in D2D Communication: A Survey. IEEE Access 2019, 7, 131114–131134. [Google Scholar] [CrossRef]
- Riaz, A.; Saleem, S.; Hassan, S.A. Energy Efficient Neighbor Discovery for mmWave D2D Networks Using Polya’s Necklaces. In Proceedings of the 2018 IEEE Global Communications Conference (GLOBECOM), Abu Dhabi, United Arab Emirates, 9–13 December 2018; pp. 1–6. [Google Scholar]
- Bahadori, N.; Namvar, N.; Kelley, B.; Homaifar, A. Device-to-device communications in the millimeter wave band: A novel distributed mechanism. In Proceedings of the 2018 Wireless Telecommunications Symposium (WTS), Phoenix, AZ, USA, 17–20 April 2018; pp. 1–6. [Google Scholar]
- Gao, D.; Li, Z.; Liu, Y.; He, T. Neighbor Discovery Based on Cross-Technology Communication for Mobile Applications. IEEE Trans. Veh. Technol. 2020, 69, 11179–11191. [Google Scholar] [CrossRef]
- Zhou, A.; Wei, T.; Zhang, X.; Ma, H. FastND: Accelerating Directional Neighbor Discovery for 60-GHz Millimeter-Wave Wireless Networks. IEEE/ACM Trans. Netw. 2018, 26, 2282–2295. [Google Scholar] [CrossRef]
- Brilhante, D.D.S.; De Rezende, J.F. A Clustering Approach for Multiband Neighbor Discovery on 60 GHz WLAN. Wirel. Commun. Mob. Comput. 2019, 2019, 5268549. [Google Scholar] [CrossRef]
- Capone, A.; Filippini, I.; Sciancalepore, V. Context Information for Fast Cell Discovery in mm-wave 5G Networks. In Proceedings of the European Wireless 2015, 21th European Wireless Conference, Budapest, Hungary, 20–22 May 2015; pp. 1–6. [Google Scholar]
- Burghal, D.; Tehrani, A.S.; Molisch, A.F. Directional neighbor discovery in dual-band systems. In Proceedings of the 2015 49th Asilomar Conference on Signals, Systems and Computers, Pacific Grove, CA, USA, 8–11 November 2015; pp. 1021–1025. [Google Scholar]
- DeVoti, F.; Filippini, I.; Capone, A. Facing the Millimeter-Wave Cell Discovery Challenge in 5G Networks With Context-Awareness. IEEE Access 2016, 4, 8019–8034. [Google Scholar] [CrossRef]
- Wang, Y.; Zhang, T.; Mao, S.; Rappaport, T.S. Directional neighbor discovery in mmWave wireless networks. Digit. Commun. Netw. 2021, 7, 1–15. [Google Scholar] [CrossRef]
- Maghsudi, S.; Hossain, E. Multi-armed bandits with application to 5G small cells. IEEE Wirel. Commun. 2016, 23, 64–73. [Google Scholar] [CrossRef]
- Li, F.; Yu, D.; Yang, H.; Yu, J.; Karl, H.; Cheng, X. Multi-Armed-Bandit-Based Spectrum Scheduling Algorithms in Wireless Networks: A Survey. IEEE Wirel. Commun. 2020, 27, 24–30. [Google Scholar] [CrossRef]
- Mohamed, E.M.; Hashima, S.; Aldosary, A.; Hatano, K.; Abdelghany, M.A. Gateway Selection in Millimeter Wave UAV Wireless Networks Using Multi-Player Multi-Armed Bandit. Sensors 2020, 20, 3947. [Google Scholar] [CrossRef]
- Hashima, S.; Hatano, K.; Takimoto, E.; Mohamed, E.M. Minimax Optimal Stochastic Strategy (MOSS) For Neighbor Discovery and Selection In Millimeter Wave D2D Networks. In Proceedings of the 2020 23rd International Symposium on Wireless Personal Multimedia Communications (WPMC), Okayama, Japan, 19–26 October 2020. [Google Scholar]
- Aykin, I.; Akgun, B.; Feng, M.; Krunz, M. MAMBA: A Multi-armed Bandit Framework for Beam Tracking in Millimeter-wave Systems. In Proceedings of the IEEE INFOCOM 2020—IEEE Conference on Computer Communications, Toronto, ON, Canada, 6–9 July 2020; pp. 1469–1478. [Google Scholar]
- Bouneffouf, D.; Rish, I.; Aggarwal, C. Survey on Applications of Multi-Armed and Contextual Bandits. In Proceedings of the 2020 IEEE Congress on Evolutionary Computation (CEC), Glasgow, UK, 19–24 July 2020; pp. 1–8. [Google Scholar]
- Ali, S.; AsghariMoghaddam, H.; Rajatheva, N.; Saad, W.; Haapola, J. Contextual Bandit Learning for Machine Type Communications in the Null Space of Multi-Antenna Systems. IEEE Trans. Commun. 2019, 68, 1284–1296. [Google Scholar] [CrossRef]
- Sakakibara, T.; Nishio, T.; Taya, A.; Morikura, M.; Yamamoto, K.; Nabetani, T. Communication-Efficient Cooperative Contextual Bandit and Its Application to Wi-Fi BSS Selection. In Proceedings of the 2020 IEEE 17th Annual Consumer Communications & Networking Conference (CCNC), Las Vegas, NV, USA, 10–13 January 2020; pp. 1–6. [Google Scholar]
- Saxena, V.; Jaldén, J.; Gonzalez, J.E.; Bengtsson, M.; Tullberg, H.; Stoica, I. Contextual Multi-Armed Bandits for Link Adaptation in Cellular Networks. In Proceedings of the NetAI’19, 2019 Workshop on Network Meets AI & ML, Beijing, China, 23 August 2019. [Google Scholar]
- Colin, I.; Thomas, A.; Draief, M. Parallel Contextual Bandits in Wireless Handover Optimization. In Proceedings of the 2018 IEEE International Conference on Data Mining Workshops (ICDMW), Singapore, 17–20 November 2018; pp. 258–265. [Google Scholar]
- Umehira, M.; Saito, G.; Wada, S.; Takeda, S.; Miyajima, T.; Kagoshima, K.; Saito, G. Feasibility of RSSI based access network detection for multi-band WLAN using 2.4/5 GHz and 60 GHz. In Proceedings of the 2014 International Symposium on Wireless Personal Multimedia Communications (WPMC), Sydney, Australia, 7–10 September 2014; pp. 243–248. [Google Scholar]
- Chandra, K.; Prasad, R.V.; Quang, B.; Niemegeers, I.G.M.M. CogCell: Cognitive interplay between 60 GHz picocells and 2.4/5 GHz hotspots in the 5G era. IEEE Commun. Mag. 2015, 53, 118–125. [Google Scholar] [CrossRef]
- Xiu, Y.; Wu, J.; Xiu, C.; Zhang, Z. Millimeter Wave Cell Discovery Based on Out-of-Band Information and Design of Beamforming. IEEE Access 2019, 7, 23076–23088. [Google Scholar] [CrossRef]
- Bai, T.; Vaze, R.; Heath, R.W. Analysis of Blockage Effects on Urban Cellular Networks. IEEE Trans. Wirel. Commun. 2014, 13, 5070–5083. [Google Scholar] [CrossRef]
- Agarwal, A.; Hsu, D.; Kale, S.; Langford, J.; Li, L.; Schapire, R. Taming the monster: A fast and simple algorithm for contextual bandits. arXiv 2014, arXiv:1402.0555. [Google Scholar]
- Allesiardo, R.; Féraud, R.; Bouneffouf, D. A Neural Networks Committee for the Contextual Bandit Problem. In Proceedings of the 21st International Conference on Neural Information Processing, Kuching, Malaysia, 3–6 November 2014; pp. 374–381. [Google Scholar]
- Gutowski, N.; Amghar, T.; Camp, O.; Chhel, F. Context Enhancement for Linear Contextual Multi-Armed Bandits. In Proceedings of the 2018 IEEE 30th International Conference on Tools with Artificial Intelligence (ICTAI), Volos, Greece, 5–7 November 2018; pp. 1048–1055. [Google Scholar]










| Parameter | Value |
|---|---|
| and | 20 and 10 dBm |
| and | 2.16 GHZ [1], 0.28 msec [1], and 1 Gbit. |
| , T | 20°, 1000 |
| 2.22 [3] and 3.88 [3] | |
| 10.3 [3], and 14.6 [3] | |
| 1 and uniform [0.3–0.6] m [6] | |
| Uniform random in the range of [0.1…1] J and 0.1 J | |
| , | −174 + 10log10(W) + 10, 1 |
| , ,, | 0.4, 10−7, , 10−8 |
| Algorithm | EA-UCB | EA-TS | EA-LinUCB | EA-CTS | Conventional | |
|---|---|---|---|---|---|---|
| No of Devices | ||||||
| 20 | 0.1 msec | 0.2 msec | 0.3 msec | 0.31 msec | 5.6 msec | |
| 60 | 0.1 msec | 0.5 msec | 0.6 msec | 0.66 msec | 16.8 msec | |
| 80 | 0.2 msec | 0.6 msec | 0.8 msec | 0.9 msec | 22.4 msec | |
| 100 | 0.2 msec | 0.7 msec | 0.9 msec | 1 msec | 28 msec | |
Publisher’s Note: MDPI stays neutral with regard to jurisdictional claims in published maps and institutional affiliations. |
© 2021 by the authors. Licensee MDPI, Basel, Switzerland. This article is an open access article distributed under the terms and conditions of the Creative Commons Attribution (CC BY) license (https://creativecommons.org/licenses/by/4.0/).
Share and Cite
Hashima, S.; Hatano, K.; Kasban, H.; Mahmoud Mohamed, E. Wi-Fi Assisted Contextual Multi-Armed Bandit for Neighbor Discovery and Selection in Millimeter Wave Device to Device Communications. Sensors 2021, 21, 2835. https://doi.org/10.3390/s21082835
Hashima S, Hatano K, Kasban H, Mahmoud Mohamed E. Wi-Fi Assisted Contextual Multi-Armed Bandit for Neighbor Discovery and Selection in Millimeter Wave Device to Device Communications. Sensors. 2021; 21(8):2835. https://doi.org/10.3390/s21082835
Chicago/Turabian StyleHashima, Sherief, Kohei Hatano, Hany Kasban, and Ehab Mahmoud Mohamed. 2021. "Wi-Fi Assisted Contextual Multi-Armed Bandit for Neighbor Discovery and Selection in Millimeter Wave Device to Device Communications" Sensors 21, no. 8: 2835. https://doi.org/10.3390/s21082835
APA StyleHashima, S., Hatano, K., Kasban, H., & Mahmoud Mohamed, E. (2021). Wi-Fi Assisted Contextual Multi-Armed Bandit for Neighbor Discovery and Selection in Millimeter Wave Device to Device Communications. Sensors, 21(8), 2835. https://doi.org/10.3390/s21082835

