Genome-Wide Identification and Comparative Transcriptome Methods Reveal FaMDHAR50 Regulating Ascorbic Acid Regeneration and Quality Formation of Strawberry Fruits
Abstract
1. Introduction
2. Results
2.1. Genome-Wide Identification and Characterization of FaMDHAR Gene
2.2. Phylogenetic Analysis of FaMDHAR
2.3. Analysis of Cis-Acting Elements in the Promoter Region of the FaMDHAR Gene
2.4. Characteristics of Phenotype and Ascorbic Acid Accumulation in MT and ‘Benihoppe’
2.5. Transcriptional Differences between ‘Benihoppe’ and MT in the AsA Metabolic Pathway
2.6. Transient Overexpression of FaMDHAR50 Significantly Increases AsA Content in Strawberry Fruit
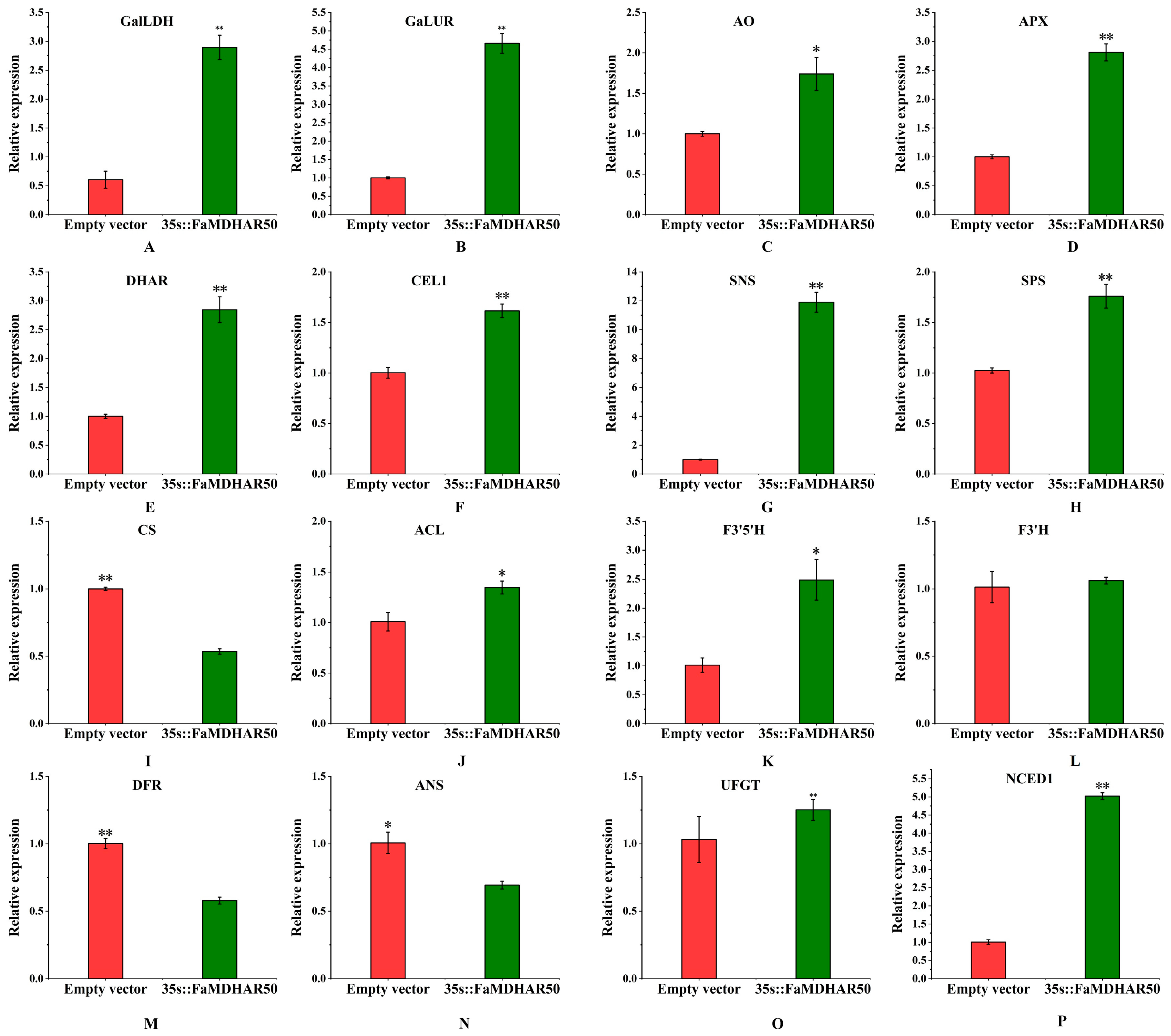
2.7. Quantification of Fruit Quality-Related Genes
3. Discussion
4. Materials and Methods
4.1. Plant Materials
4.2. Physicochemical Characterization, Chromosomal Localization, Phylogenetic Analysis, and Promoter Analysis of the FaMDHAR Gene Family
4.3. RNA Extraction, cDNA Synthesis, and PCR Amplification
4.4. Ribonucleic Acid Sequencing and Transcriptome Analysis
4.5. Transient Overexpression of FaMDHAR50 in Strawberry Fruits
4.6. Determination of Color Difference and Hardness of Strawberry Fruit
4.7. Determination of Ascorbic Acid and Dehydroascorbic Acid Content in Strawberry Fruits
4.8. Determination of Anthocyanin Content in Strawberry Fruits
4.9. Determination of Sugar Content of Strawberry Fruits
4.10. Determination of Citric Acid Content in Strawberry Fruits
4.11. Real-Time Fluorescence Quantification
4.12. Statistical Analysis of Data
5. Conclusions
Supplementary Materials
Author Contributions
Funding
Institutional Review Board Statement
Informed Consent Statement
Data Availability Statement
Acknowledgments
Conflicts of Interest
References
- Halliwell, B.; Gutteridge, J.M.C. Free Radicals in Biology and Medicine; Oxford University Press: Oxford, UK, 2015; Volume 8, p. 944. [Google Scholar]
- Gallie, D.R.J.S. L-Ascorbic Acid: A Multifunctional Molecule Supporting Plant Growth and Development. Scientifica 2013, 2013, 24. [Google Scholar] [CrossRef] [PubMed]
- Khan, T.A.; Mazid, M.A.; Mohammad, F. A review of ascorbic acid potentialities against oxidative stress induced in plants. J. Agrobiol. 2011, 28, 97–111. [Google Scholar] [CrossRef]
- El-Beltagi, H.S.; Mohamed, H.I.; Sofy, M.R. Role of Ascorbic acid, Glutathione and Proline Applied as Singly or in Sequence Combination in Improving Chickpea Plant through Physiological Change and Antioxidant Defense under Different Levels of Irrigation Intervals. Molecules 2020, 25, 1702. [Google Scholar] [CrossRef] [PubMed]
- Macknight, R.C.; Laing, W.A.; Bulley, S.M.; Broad, R.C.; Johnson, A.A.; Hellens, R.P. Increasing ascorbate levels in crops to enhance human nutrition and plant abiotic stress tolerance. Curr. Opin. Biotechnol. 2017, 44, 153–160. [Google Scholar] [CrossRef] [PubMed]
- Valpuesta, V.; Botella, M.A. Biosynthesis of L-ascorbic acid in plants: New pathways for an old antioxidant. Trends Plant Sci. 2004, 9, 573–577. [Google Scholar] [CrossRef] [PubMed]
- Wheeler, G.L.; Jones, M.A.; Smirnoff, N. The biosynthetic pathway of vitamin C in higher plants. Nature 1998, 393, 365–369. [Google Scholar] [CrossRef]
- Liu, X.; Wu, R.; Bulley, S.M.; Zhong, C.; Li, D. Kiwifruit MYBS1-like and GBF3 transcription factors influence l-ascorbic acid biosynthesis by activating transcription of GDP-L-galactose phosphorylase 3. New Phytol. 2022, 234, 1782–1800. [Google Scholar] [CrossRef]
- Gilbert, L.; Alhagdow, M.; Nunes-Nesi, A.; Quéméner, B.; Guillon, F.; Bouchet, B. GDP-D-mannose 3,5-epimerase (GME) plays a key role at the intersection of ascorbate and non-cellulosic cell-wall biosynthesis in tomato. Plant J. 2009, 60, 499–508. [Google Scholar] [CrossRef]
- Pineau, B.; Layoune, O.; Danon, A.; De Paepe, R. L-galactono-1,4-lactone dehydrogenase is required for the accumulation of plant respiratory complex I. J. Biol. Chem. 2008, 283, 32500–32505. [Google Scholar] [CrossRef]
- Fenech, M.; Amaya, I.; Valpuesta, V.; Botella, M.A. Vitamin C Content in Fruits: Biosynthesis and Regulation. Front. Plant Sci. 2018, 9, 2006. [Google Scholar] [CrossRef]
- Wolucka, B.A.; Van Montagu, M. GDP-mannose 3′,5′-epimerase forms GDP-L-gulose, a putative intermediate for the de novo biosynthesis of vitamin C in plants. J. Biol. Chem. 2003, 278, 47483–47490. [Google Scholar] [PubMed]
- Lorence, A.; Chevone, B.I.; Mendes, P.; Nessler, C.L. myo-inositol oxygenase offers a possible entry point into plant ascorbate biosynthesis. Plant Physiol. 2004, 134, 1200–1205. [Google Scholar] [CrossRef] [PubMed]
- Agius, F.; González-Lamothe, R.; Caballero, J.L.; Muñoz-Blanco, J.; Botella, M.A.; Valpuesta, V. Engineering increased vitamin C levels in plants by overexpression of a D-galacturonic acid reductase. Nat. Biotechnol. 2003, 21, 177–181. [Google Scholar] [CrossRef] [PubMed]
- Smirnoff, N. Ascorbic acid metabolism and functions: A comparison of plants and mammals. Free. Radic. Biol. Med. 2018, 122, 116–129. [Google Scholar] [CrossRef] [PubMed]
- Wang, Z.; Xiao, Y.; Chen, W.; Tang, K.; Zhang, L. Increased vitamin C content accompanied by an enhanced recycling pathway confers oxidative stress tolerance in Arabidopsis. J. Integr. Plant Biol. 2010, 52, 400–409. [Google Scholar] [CrossRef] [PubMed]
- Liu, F.; Guo, X.; Yao, Y.; Tang, W.; Zhang, W.; Cao, S. Cloning and Function Characterization of Two Dehydroascorbate Reductases from Kiwifruit (Actinidia chinensis L.). Plant Mol. Biol. Rep. 2016, 34, 815–826. [Google Scholar] [CrossRef]
- Haroldsen, V.M.; Chi-Ham, C.L.; Kulkarni, S.; Lorence, A.; Bennett, A.B. Constitutively expressed DHAR and MDHAR influence fruit, but not foliar ascorbate levels in tomato. Plant Physiol. Biochem. PPB 2011, 49, 1244–1249. [Google Scholar] [CrossRef]
- Ren, J.; Duan, W.; Chen, Z.; Zhang, S.; Song, X.; Liu, T. Overexpression of the Monodehydroascorbate Reductase Gene from Non-heading Chinese Cabbage Reduces Ascorbate Level and Growth in Transgenic Tobacco. Plant Mol. Biol. Rep. 2014, 33, 881–892. [Google Scholar] [CrossRef]
- Eltelib, H.; Fujikawa, Y.; Esaka, M. Overexpression of the acerola (Malpighia glabra) monodehydroascorbate reductase gene in transgenic tobacco plants results in increased ascorbate levels and enhanced tolerance to salt stress. S. Afr. J. Bot. 2012, 78, 295–301. [Google Scholar] [CrossRef]
- Eastmond, P.J. MONODEHYROASCORBATE REDUCTASE4 Is Required for Seed Storage Oil Hydrolysis and Postgerminative Growth in Arabidopsis. Plant Cell 2007, 19, 1376–1387. [Google Scholar] [CrossRef]
- Cai, X.; Zhang, C.; Shu, W.; Ye, Z.; Li, H.; Zhang, Y. The transcription factor SlDof22 involved in ascorbate accumulation and salinity stress in tomato. Biochem. Biophys. Res. Commun. 2016, 474, 736–741. [Google Scholar] [CrossRef] [PubMed]
- Ye, J.; Liu, G.; Chen, W.; Zhang, F.; Li, H.; Ye, Z. Knockdown of SlNL33 accumulates ascorbate, enhances disease and oxidative stress tolerance in tomato (Solanum lycopersicum). Plant Growth Regul. 2019, 89, 49–58. [Google Scholar] [CrossRef]
- Xing, C.; Liu, Y.; Zhao, L.; Zhang, S.; Huang, X. A novel MYB transcription factor regulates ascorbic acid synthesis and affects cold tolerance. Plant Cell Environ. 2019, 42, 832–845. [Google Scholar] [CrossRef]
- Aaby, K.; Mazur, S.; Nes, A.; Skrede, G. Phenolic compounds in strawberry (Fragaria x ananassa Duch.) fruits: Composition in 27 cultivars and changes during ripening. Food Chem. 2012, 132, 86–97. [Google Scholar] [CrossRef] [PubMed]
- Cruz-Rus, E.; Amaya, I.; Sánchez-Sevilla, J.F.; Botella, M.A.; Valpuesta, V. Regulation of L-ascorbic acid content in strawberry fruits. J. Exp. Bot. 2011, 62, 4191–4201. [Google Scholar] [CrossRef]
- Wei, L.; Liu, H.; Ni, Y.; Dong, J.; Zhong, C.; Sun, R. FaAKR23 Modulates Ascorbic Acid and Anthocyanin Accumulation in Strawberry (Fragaria × ananassa) Fruits. Antioxidants 2022, 11, 1828. [Google Scholar] [CrossRef]
- Huang, C.; Qin, N.; Sun, L.; Yu, M.; Hu, W.; Qi, Z. Selenium Improves Physiological Parameters and Alleviates Oxidative Stress in Strawberry Seedlings under Low-Temperature Stress. Int. J. Mol. Sci. 2018, 19, 1913. [Google Scholar] [CrossRef]
- Murthy, S.; Zilinskas, B. Molecular cloning and characterization of a cDNA encoding pea monodehydroascorbate reductase. J. Biol. Chem. 1995, 269, 31129–31133. [Google Scholar] [CrossRef]
- Grantz, A.A.; Brummell, D.A.; Bennett, A.B. Ascorbate free radical reductase mRNA levels are induced by wounding. Plant Physiol. 1995, 108, 411–418. [Google Scholar] [CrossRef]
- Sano, S.; Tao, S.; Endo, Y.; Inaba, T.; Hossain, M.A.; Miyake, C. Purification and cDNA cloning of chloroplastic monodehydroascorbate reductase from spinach. Biosci. Biotechnol. Biochem. 2005, 69, 762–772. [Google Scholar] [CrossRef]
- Sandowski, Y.; Raver, N.; Gussakovsky, E.E.; Shochat, S.; Dym, O.; Livnah, O.; Rubinstein, M.; Krishna, R.; Gertler, A. Purification and characterization of monodehydroascorbate reductase from soybean root nodules. Arch. Biochem. Biophys. 1992, 292, 281–286. [Google Scholar]
- Zhou, F.; Zheng, B.; Wang, F.; Cao, A.; Xie, S.; Chen, X. Genome-Wide Analysis of MDHAR Gene Family in Four Cotton Species Provides Insights into Fiber Development via Regulating AsA Redox Homeostasis. Plants 2021, 10, 227. [Google Scholar] [CrossRef] [PubMed]
- Lisenbee, C.S.; Lingard, M.J.; Trelease, R.N. Arabidopsis peroxisomes possess functionally redundant membrane and matrix isoforms of monodehydroascorbate reductase. Plant J. Cell Mol. Biol. 2005, 43, 900–914. [Google Scholar] [CrossRef]
- Jimenez, A.; Hernandez, J.A.; Del Rio, L.A.; Sevilla, F. Evidence for the Presence of the Ascorbate-Glutathione Cycle in Mitochondria and Peroxisomes of Pea Leaves. Plant Physiol. 1997, 114, 275–284. [Google Scholar] [CrossRef]
- Mittova, V.; Tal, M.; Volokita, M.; Guy, M. Up-regulation of the leaf mitochondrial and peroxisomal antioxidative systems in response to salt-induced oxidative stress in the wild salt-tolerant tomato species Lycopersicon pennellii. Plant Cell Environ. 2003, 26, 845–856. [Google Scholar] [CrossRef]
- Eltayeb, A.E.; Kawano, N.; Badawi, G.H.; Kaminaka, H.; Sanekata, T.; Shibahara, T. Overexpression of monodehydroascorbate reductase in transgenic tobacco confers enhanced tolerance to ozone, salt and polyethylene glycol stresses. Planta 2007, 225, 1255–1264. [Google Scholar]
- Boonyakiat, D.; Chuamuangphan, C.; Maniwara, P.; Seehanam, P. Comparison of physico-chemical quality of different strawberry cultivars at three maturity stages. Int. Food Res. J. 2016, 23, 2405–2412. [Google Scholar]
- Dun, W.; Wei, X.; Wang, L.; Liu, J.; Zhao, J.; Sun, P. Over-expression of FaGalLDH Increases Ascorbic Acid Concentrations and Enhances Salt Stress Tolerance in Arabidopsis thaliana. J. Plant Biol. 2023, 66, 35–46. [Google Scholar] [CrossRef]
- Jia, H.; Wang, Y.; Sun, M.; Li, B.; Han, Y.; Zhao, Y.; Li, X.; Ding, N.; Li, C.; Ji, W.; et al. Sucrose functions as a signal involved in the regulation of strawberry fruit development and ripening. New Phytol. 2013, 198, 453–465. [Google Scholar] [CrossRef]
- Jia, H.F.; Chai, Y.M.; Li, C.L.; Lu, D.; Luo, J.J.; Qin, L. Abscisic acid plays an important role in the regulation of strawberry fruit ripening. Plant Physiol. 2011, 157, 188–199. [Google Scholar] [CrossRef]
- Truffault, V.; Gest, N.; Garchery, C.; Florian, A.; Fernie, A.R.; Gautier, H. Reduction of MDHAR activity in cherry tomato suppresses growth and yield and MDHAR activity is correlated with sugar levels under high light. Plant Cell Environ. 2016, 39, 1279–1292. [Google Scholar]
- Zhang, Z.-W.; Liu, H.; Li, H.; Yang, X.-Y.; Fu, Y.-F.; Kang, Q. Beneficial Effects of Sodium Nitroprusside on the Aroma, Flavors, and Anthocyanin Accumulation in Blood Orange Fruits. Foods 2022, 11, 2218. [Google Scholar] [CrossRef]
- Kallio, H.; Hakala, M.; Pelkkikangas, A.M.; Lapveteläinen, A. Sugars and acids of strawberry varieties. Eur. Food Res. Technol. 2000, 212, 81–85. [Google Scholar] [CrossRef]
- Aubert, C.; Bruaut, M.; Chalot, G.; Cottet, V. Impact of maturity stage at harvest on the main physicochemical characteristics, the levels of vitamin C, polyphenols and volatiles and the sensory quality of Gariguette strawberry. Eur. Food Res. Technol. 2021, 247, 37–49. [Google Scholar]
- Silva, F.; Escribano, T.; Alonso, J.; Rivas-Gonzalo, J.; Santos-Buelga, C. Anthocyanin pigments in strawberry. Lwt-Food Sci. Technol. 2007, 40, 374–382. [Google Scholar] [CrossRef]
- Liu, T.; Li, M.; Liu, Z.; Ai, X.; Li, Y. Reannotation of the cultivated strawberry genome and establishment of a strawberry genome database. Hortic. Res. 2021, 8, 41. [Google Scholar]
- Thiagalingam, S.; Cheng, K.H.; Lee, H.J.; Mineva, N.; Thiagalingam, A.; Ponte, J.F. Histone deacetylases: Unique players in shaping the epigenetic histone code. Ann. N. Y. Acad. Sci. 2003, 983, 84–100. [Google Scholar] [CrossRef]
- Pertea, M.; Kim, D.; Pertea, G.M.; Leek, J.T.; Salzberg, S.L. Transcript-level expression analysis of RNA-seq experiments with HISAT, StringTie and Ballgown. Nat. Protoc. 2016, 11, 1650–1667. [Google Scholar] [CrossRef]
- Lin, Y.; Jiang, L.; Chen, Q.; Li, Y.; Zhang, Y.; Luo, Y. Comparative Transcriptome Profiling Analysis of Red- and White-Fleshed Strawberry (Fragaria�ananassa) Provides New Insight into the Regulation of the Anthocyanin Pathway. Plant Cell Physiol. 2018, 59, 1844–1859. [Google Scholar]
- Miyazawa, T.; Matsumoto, A.; Miyahara, Y. Determination of cellular vitamin C dynamics by HPLC-DAD. Analyst 2019, 144, 3483–3487. [Google Scholar] [CrossRef]
- Donno, D.; Cavanna, M.; Beccaro, G.L.; Mellano, M.G.; Marinoni, D.T.; Cerutti, A.K. Currants and strawberries as bioactive compound sources: Determination of antioxidant profiles with HPLC-DAD/MS. J. Appl. Bot. Food Qual. 2013, 86, 1–10. [Google Scholar]
- Xu, W.; Liang, L.; Zhu, M. Determination of Sugars in Molasses by HPLC Following Solid-Phase Extraction. Int. J. Food Prop. 2015, 18, 547–557. [Google Scholar] [CrossRef]







Disclaimer/Publisher’s Note: The statements, opinions and data contained in all publications are solely those of the individual author(s) and contributor(s) and not of MDPI and/or the editor(s). MDPI and/or the editor(s) disclaim responsibility for any injury to people or property resulting from any ideas, methods, instructions or products referred to in the content. |
© 2023 by the authors. Licensee MDPI, Basel, Switzerland. This article is an open access article distributed under the terms and conditions of the Creative Commons Attribution (CC BY) license (https://creativecommons.org/licenses/by/4.0/).
Share and Cite
Hou, G.; Yang, M.; He, C.; Jiang, Y.; Peng, Y.; She, M.; Li, X.; Chen, Q.; Li, M.; Zhang, Y.; et al. Genome-Wide Identification and Comparative Transcriptome Methods Reveal FaMDHAR50 Regulating Ascorbic Acid Regeneration and Quality Formation of Strawberry Fruits. Int. J. Mol. Sci. 2023, 24, 9510. https://doi.org/10.3390/ijms24119510
Hou G, Yang M, He C, Jiang Y, Peng Y, She M, Li X, Chen Q, Li M, Zhang Y, et al. Genome-Wide Identification and Comparative Transcriptome Methods Reveal FaMDHAR50 Regulating Ascorbic Acid Regeneration and Quality Formation of Strawberry Fruits. International Journal of Molecular Sciences. 2023; 24(11):9510. https://doi.org/10.3390/ijms24119510
Chicago/Turabian StyleHou, Guoyan, Min Yang, Caixia He, Yuyan Jiang, Yuting Peng, Musha She, Xin Li, Qing Chen, Mengyao Li, Yong Zhang, and et al. 2023. "Genome-Wide Identification and Comparative Transcriptome Methods Reveal FaMDHAR50 Regulating Ascorbic Acid Regeneration and Quality Formation of Strawberry Fruits" International Journal of Molecular Sciences 24, no. 11: 9510. https://doi.org/10.3390/ijms24119510
APA StyleHou, G., Yang, M., He, C., Jiang, Y., Peng, Y., She, M., Li, X., Chen, Q., Li, M., Zhang, Y., Lin, Y., Zhang, Y., Wang, Y., He, W., Wang, X., Tang, H., & Luo, Y. (2023). Genome-Wide Identification and Comparative Transcriptome Methods Reveal FaMDHAR50 Regulating Ascorbic Acid Regeneration and Quality Formation of Strawberry Fruits. International Journal of Molecular Sciences, 24(11), 9510. https://doi.org/10.3390/ijms24119510

