Microplastic-Induced Oxidative Stress in Metolachlor-Degrading Filamentous Fungus Trichoderma harzianum
Abstract
1. Introduction
2. Results and Discussion
2.1. Does MP Influence the Growth of T. harzianum and the Degradation of MET?
2.2. Does MPs Disturb T. harzianum Cell Membranes?
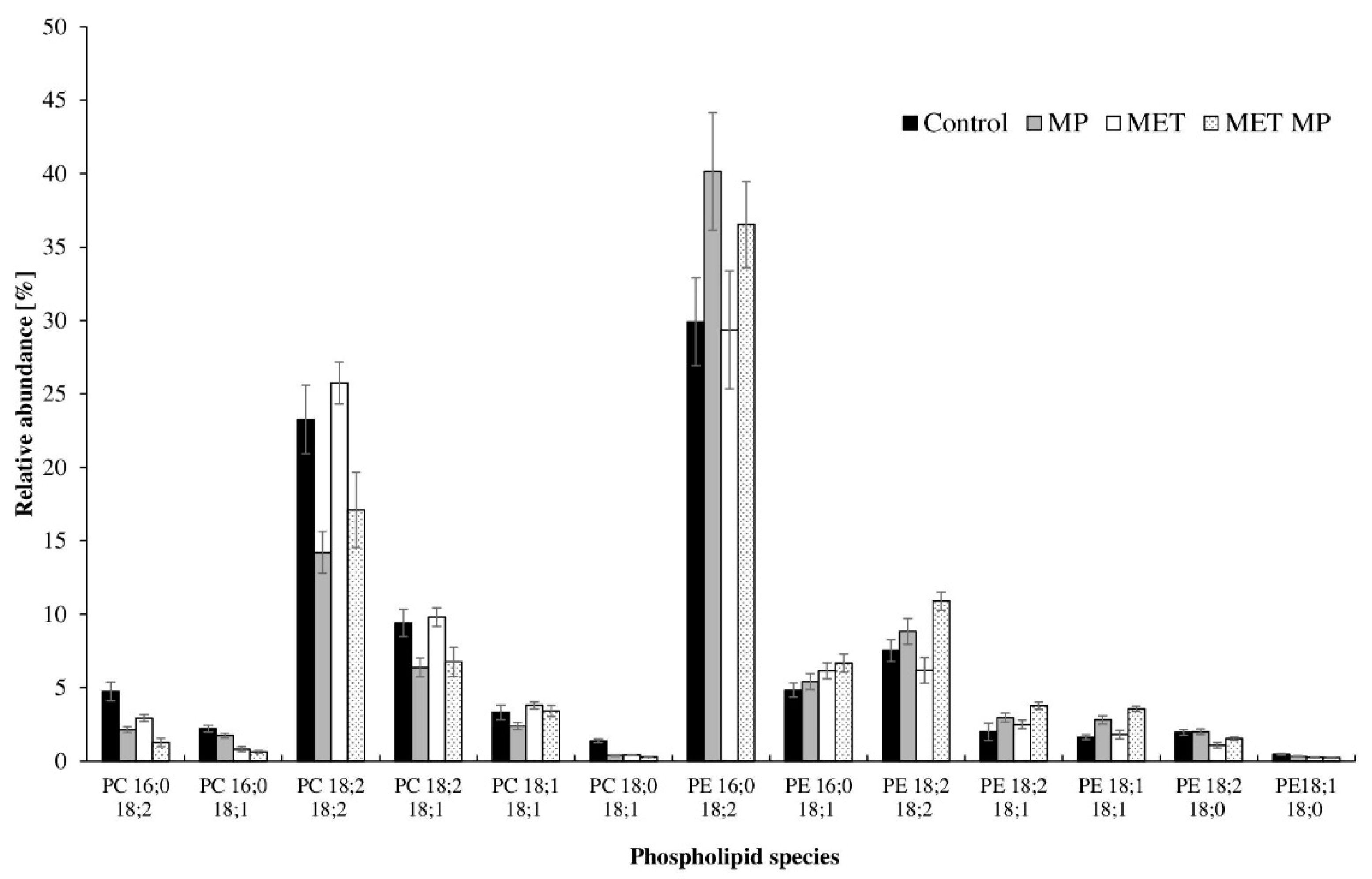
2.2.1. Phospholipids Composition
2.2.2. Fatty Acids
2.2.3. Membrane Permeability
2.3. Does MPs Induce Oxidative Stress in T. harzianum Cells?
2.3.1. ROS Level
2.3.2. Antioxidative Enzymes Activity
2.3.3. Lipid Peroxidation
3. Materials and Methods
3.1. Chemicals
3.2. MP Preparation
3.3. Microorganisms and Growth Conditions
3.4. Dry Weight Mass Analysis
3.5. Analytical Methods
3.5.1. Extraction of MET and LC–MS/MS Analysis
3.5.2. Glucose Consumption Analysis
3.5.3. Phospholipids Extraction and Analysis
3.5.4. Fatty Acids Analysis
3.5.5. Lipid Peroxidation Assay
3.5.6. Membrane Permeability
3.5.7. Enzyme Activity Determination
3.5.8. Measurement of Intracellular Peroxynitrate Anion/Hydroxyl Radical Anion
3.6. Statistical Analysis
4. Conclusions
Supplementary Materials
Author Contributions
Funding
Institutional Review Board Statement
Informed Consent Statement
Data Availability Statement
Conflicts of Interest
References
- UNEP. Mapping of Global Plastics Value Chain and Plastics Losses to the Environment: With a Particular Focus on Marine Environment, United Nations Environment Programme. 2018. Available online: https://www.unep.org/pt-br/node/27212 (accessed on 6 September 2022).
- Duis, K.; Coors, A. Microplastics in the aquatic and terrestrial environment: Sources (with a specific focus on personal care products), fate and effects. Environ. Sci. Eur. 2016, 28, 2. [Google Scholar] [CrossRef] [PubMed]
- Boyle, K.; Örmeci, B. Microplastics and Nanoplastics in the Freshwater and Terrestrial Environment: A Review. Water 2020, 12, 2633. [Google Scholar] [CrossRef]
- Kole, P.J.; Löhr, A.J.; Van Belleghem, F.G.A.J.; Ragas, A.M.J. Wear and Tear of Tyres: A Stealthy Source of Microplastics in the Environment. Int. J. Environ. Res. Public Health 2017, 14, 1265. [Google Scholar] [CrossRef]
- Dąbrowska, J.; Sobota, M.; Świąder, M.; Borowski, P.; Moryl, A.; Stodolak, R.; Kucharczak, E.; Zięba, Z.; Kazak, J.K. Marine Waste—Sources, Fate, Risks, Challenges and Research Needs. Int. J. Environ. Res. Public Health 2021, 18, 433. [Google Scholar] [CrossRef] [PubMed]
- Alabi, O.A.; Ologbonjaye, K.I.; Awosolu, O.; Alalade, O.E. Public and environmental health effects of plastic wastes disposal: A Review. J. Toxicol. Risk Assess. 2019, 5, 21. [Google Scholar] [CrossRef]
- Kedzierski, M.; Frère, D.; Le Maguer, G.; Bruzaud, S. Why is there plastic packaging in the natural environment? Understanding the roots of our individual plastic waste management behaviours. Sci. Total Environ. 2020, 740, 139985. [Google Scholar] [CrossRef]
- Ncube, L.K.; Ude, A.U.; Ogunmuyiwa, E.N.; Zulkifli, R.; Beas, I.N. An Overview of Plastic Waste Generation and Management in Food Packaging Industries. Recycling 2021, 6, 12. [Google Scholar] [CrossRef]
- Jahan, S.; Strezov, V.; Weldekidan, H.; Kumar, R.; Kan, T.; Sarkodie, S.A.; He, J.; Dastjerdi, B.; Wilson, S.P. Interrelationship of microplastic pollution in sediments and oysters in a seaport environment of the eastern coast of Australia. Sci. Total Environ. 2019, 695, 133924. [Google Scholar] [CrossRef]
- Zhou, Y.; Liu, X.; Wang, J. Characterization of microplastics and the association of heavy metals with microplastics in suburban soil of central China. Sci. Total Environ. 2019, 694, 133798. [Google Scholar] [CrossRef]
- Balestra, V.; Bellopede, R. Microplastic pollution in show cave sediments: First evidence and detection technique. Environ. Pollut. 2021, 292, 118261. [Google Scholar] [CrossRef]
- Napper, I.E.; Davies, B.F.R.; Clifford, H.; Elvin, S.; Koldewey, H.J.; Mayewski, P.A.; Miner, K.R.; Potocki, M.; Elmore, A.C.; Gajurel, A.P.; et al. Reaching new heights in plastic pollution—Preliminary findings of microplastics on Mount Everest. One Earth 2020, 3, 621–630. [Google Scholar] [CrossRef]
- Ambrosini, R.; Azzoni, R.S.; Pittino, F.; Diolaiuti, G.; Franzetti, A.; Parolini, M. First evidence of microplastic contamination in the supraglacial debris of an alpine glacier. Environ. Pollut. 2019, 253, 297–301. [Google Scholar] [CrossRef] [PubMed]
- Fragão, J.; Bessa, F.; Otero, V.; Barbosa, A.; Sobral, P.; Waluda, C.M.; Guímaro, H.R.; Xavier, J.C. Microplastics and other anthropogenic particles in Antarctica: Using penguins as biological samplers. Sci. Total Environ. 2021, 788, 147698. [Google Scholar] [CrossRef] [PubMed]
- Maghsodian, Z.; Sanati, A.M.; Tahmasebi, S.; Shahriari, M.H.; Ramavandi, B. Study of microplastics pollution in sediments and organisms in mangrove forests: A review. Environ. Res. 2022, 208, 112725. [Google Scholar] [CrossRef]
- Law, K.L.; Morét-Ferguson, S.E.; Goodwin, D.S.; Zettler, E.R.; Deforce, E.; Kukulka, T.; Proskurowski, G. Distribution of surface plastic debris in the eastern Pacific Ocean from an 11-year data set. Environ. Sci. Technol. 2014, 48, 4732–4738. [Google Scholar] [CrossRef]
- Lebreton, L.; Slat, B.; Ferrari, F.; Sainte-Rose, B.; Aitken, J.; Marthouse, R.; Hajbane, S.; Cunsolo, S.; Schwarz, A.; Levivier, A.; et al. Evidence that the Great Pacific Garbage Patch is rapidly accumulating plastic. Sci. Rep. 2018, 8, 4666. [Google Scholar] [CrossRef]
- Harris, P.T. The fate of microplastic in marine sedimentary environments: A review and synthesis. Mar. Pollut. Bull. 2020, 158, 111398. [Google Scholar] [CrossRef]
- Chai, B.; Li, Y.; Wang, L.; Zhang, X.-T.; Wan, Y.-P.; Chen, F.; Ma, J.; Lan, W.; Pan, K. Microplastic Contamination on the Beaches of South China. Front. Mar. Sci. 2022, 9, 863652. [Google Scholar] [CrossRef]
- Urban-Malinga, B.; Zalewski, M.; Jakubowska, A.; Wodzinowski, T.; Malinga, M.; Pałys, B.; Dąbrowska, A. Microplastics on sandy beaches of the southern Baltic Sea. Mar. Pollut. Bull. 2020, 155, 111170. [Google Scholar] [CrossRef]
- Tanentzap, A.J.; Cottingham, S.; Fonvielle, J.; Riley, I.; Walker, L.M.; Woodman, S.G.; Kontou, D.; Pichler, C.M.; Reisner, E.; Lebreton, L. Microplastics and anthropogenic fibre concentrations in lakes reflect surrounding land use. PLoS Biol. 2021, 19, e3001389. [Google Scholar] [CrossRef]
- Yang, S.; Zhou, M.; Chen, X.; Hu, L.; Xu, Y.; Fu, W.; Li, C. A comparative review of microplastics in lake systems from different countries and regions. Chemosphere 2022, 286, 131806. [Google Scholar] [CrossRef] [PubMed]
- Zhao, H.; Zhou, Y.; Han, Y.; Sun, Y.; Ren, X.; Zhang, Z.; Wang, Q. Pollution status of microplastics in the freshwater environment of China: A mini review. Water Emerg. Contam. Nanoplastics 2022, 1, 5. [Google Scholar] [CrossRef]
- Corradini, F.; Meza, P.; Eguiluz, R.; Casado, F.; Huerta-Lwanga, E.; Geissen, V. Evidence of microplastic accumulation in agricultural soils from sewage sludge disposal. Sci. Total Environ. 2019, 671, 411–420. [Google Scholar] [CrossRef]
- Guo, J.J.; Huang, X.P.; Xiang, L.; Wang, Y.Z.; Li, Y.W.; Li, H.; Cai, Q.Y.; Mo, C.H.; Wong, M.H. Source, migration and toxicology of microplastics in soil. Environ. Int. 2020, 137, 105263. [Google Scholar] [CrossRef] [PubMed]
- Yang, L.; Zhang, Y.; Kang, S.; Wang, Z.; Wu, C. Microplastics in soil: A review on methods, occurrence, sources, and potential risk. Sci. Total Environ. 2021, 780, 146546. [Google Scholar] [CrossRef] [PubMed]
- Lundebye, A.K.; Lusher, A.L.; Bank, M.S. Marine Microplastics and Seafood: Implications for Food Security. In Microplastic in the Environment: Pattern and Process; Environmental Contamination Remediation and Management; Bank, M.S., Ed.; Springer: Cham, Switzerland, 2022; pp. 131–153. [Google Scholar] [CrossRef]
- Ragusa, A.; Svelato, A.; Santacroce, C.; Catalano, P.; Notarstefano, V.; Carnevali, O.; Papa, F.; Rongioletti, M.C.A.; Baiocco, F.; Draghi, S.; et al. Plasticenta: First evidence of microplastics in human placenta. Environ. Int. 2021, 146, 10627. [Google Scholar] [CrossRef] [PubMed]
- Zhang, N.; Bin, L.Y.; He, H.R.; Zhang, J.F.; Ma, G.S. You are what you eat: Microplastics in the feces of young men living in Beijing. Sci. Total Environ. 2021, 767, 144345. [Google Scholar] [CrossRef]
- Jenner, L.C.; Rotchell, J.M.; Bennett, R.T.; Cowen, M.; Tentzeris, V.; Sadofsky, L.R. Detection of microplastics in human lung tissue using μFTIR spectroscopy. Sci. Total Environ. 2022, 831, 154907. [Google Scholar] [CrossRef]
- Leslie, H.A.; van Velzen, M.J.M.; Brandsma, S.H.; Vethaak, D.; Garcia-Vallejo, J.J.; Lamoree, M.H. Discovery and Quantification of Plastic Particle Pollution in Human Blood. Environ. Int. 2022, 163, 107199. [Google Scholar] [CrossRef]
- Karbalaei, S.; Hanachi, P.; Walker, T.R.; Cole, M. Occurrence, sources, human health impacts and mitigation of microplastic pollution. Environ. Sci. Pollut. Res. 2018, 25, 36046–36063. [Google Scholar] [CrossRef]
- Zhang, X.; Li, Y.; Ouyang, D.; Lei, J.; Tan, Q.; Xie, L.; Li, Z.; Liu, T.; Xiao, Y.; Farooq, T.H.; et al. Systematical review of interactions between microplastics and microorganisms in the soil environment. J. Hazard. Mater. 2021, 418, 126288. [Google Scholar] [CrossRef] [PubMed]
- Sun, X.M.; Chen, B.J.; Li, Q.F.; Liu, N.; Xia, B.; Zhu, L.; Qu, K.M. Toxicities of polystyrene nano- and microplastics toward marine bacterium Halomonas alkaliphila. Sci. Total Environ. 2018, 642, 1378–1385. [Google Scholar] [CrossRef] [PubMed]
- Mironenka, J.; Różalska, S.; Bernat, P. Potential of Trichoderma harzianum and its metabolites to protect wheat seedlings against Fusarium culmorum and 2,4-D. Int. J. Mol. Sci. 2021, 22, 13058. [Google Scholar] [CrossRef] [PubMed]
- Nykiel-Szymańska, J.; Różalska, S.; Bernat, P.; Słaba, M. Assessment of oxidative stress and phospholipids alterations in chloroacetanilides-degrading Trichoderma spp. Ecotoxicol. Environ. Saf. 2019, 184, 109629. [Google Scholar] [CrossRef] [PubMed]
- Nykiel-Szymańska, J.; Bernat, P.; Słaba, M. Biotransformation and detoxification of chloroacetanilide herbicides by Trichoderma spp. with plant growth-promoting activities. Pestic. Biochem. Physiol. 2020, 163, 216–226. [Google Scholar] [CrossRef]
- Ustabasi, G.S.; Baysal, A. Bacterial interactions of microplastics extracted from toothpaste under controlled conditions and the influence of seawater. Sci. Total Environ. 2020, 703, 135024. [Google Scholar] [CrossRef]
- Pramila, R.; Ramesh, K.V. Biodegradation of Low-Density Polyethylene (LDPE) by Fungi Isolated from Municipal Landfill Area. J. Microbiol. Biotechnol. Res. 2011, 1, 131–136. [Google Scholar] [CrossRef]
- Pelagio-Flores, R.; Esparza-Reynoso, S.; Garnica-Vergara, A.; López-Bucio, J.; Herrera-Estrella, A. Trichoderma-induced acidification is an early trigger for changes in Arabidopsis root growth and determines fungal phytostimulation. Front. Plant Sci. 2017, 8, 822. [Google Scholar] [CrossRef]
- Chang, X.; Liang, J.; Sun, Y.; Zhao, L.; Zhou, B.; Li, X.; Li, Y. Isolation, degradation performance and field application of the metolachlor-degrading fungus Penicillium oxalicum MET-F-1. Appl. Sci. 2020, 10, 8556. [Google Scholar] [CrossRef]
- Gryz, E.; Perlińska-Lenart, U.; Gawarecka, K.; Jozwiak, A.; Piłsyk, S.; Lipko, A.; Jemiola-Rzeminska, M.; Bernat, P.; Muszewska, A.; Steczkiewicz, K.; et al. Poly-Saturated Dolichols from Filamentous Fungi Modulate Activity of Dolichol-Dependent Glycosyltransferase and Physical Properties of Membranes. Int. J. Mol. Sci. 2019, 20, 3043. [Google Scholar] [CrossRef]
- Mironenka, J.; Różalska, S.; Soboń, A.; Bernat, P. Lipids, proteins and extracellular metabolites of Trichoderma harzianum modifications caused by 2,4-dichlorophenoxyacetic acid as a plant growth stimulator. Ecotoxicol. Environ. Saf. 2020, 194, 110383. [Google Scholar] [CrossRef]
- Fedoseeva, E.V.; Danilova, O.A.; Ianutsevich, E.A.; Terekhova, V.A.; Tereshina, V.M. Micromycete Lipids and Stress. Microbiology 2021, 90, 37–55. [Google Scholar] [CrossRef]
- Bernat, P.; Szewczyk, R.; Krupiński, M.; Długoński, J. Butyltins degradation by Cunninghamella elegans and Cochliobolus lunatus co-culture. J. Hazard. Mater. 2013, 246–247, 277–282. [Google Scholar] [CrossRef] [PubMed]
- Słaba, M.; Bernat, P.; Różalska, S.; Nykiel, J.; Długoński, J. Comparative study of metal induced phospholipid modifications in the heavy metal tolerant filamentous fungus Paecilomyces marquandii and implications for the fungal membrane integrity. Acta Biochim. Pol. 2013, 60, 695–700. [Google Scholar] [CrossRef] [PubMed]
- Bernat, P.; Gajewska, E.; Szewczyk, R.; Słaba, M.; Długoński, J. Tributyltin (TBT) induces oxidative stress and modifies lipid profile in the filamentous fungus Cunninghamella elegans. Environ. Sci. Pollut. Res. 2014, 21, 4228–4235. [Google Scholar] [CrossRef] [PubMed]
- Siewiera, P.; Bernat, P.; Różalska, S.; Długoński, J. Estradiol improves tributyltin degradation by the filamentous fungus Metarhizium robertsii. Int. Biodeterior. Biodegrad. 2015, 104, 258–263. [Google Scholar] [CrossRef]
- Stolarek, P.; Różalska, S.; Bernat, P. Lipidomic adaptations of the Metarhizium robertsii strain in response to the presence of butyltin compounds. Biochim. Biophys. Acta Biomembr. 2019, 1861, 316–326. [Google Scholar] [CrossRef]
- Paraszkiewicz, K.; Bernat, P.; Długoński, J. Effect of nickel, copper, and zinc on emulsifier production and saturation of cellular fatty acids in the filamentous fungus Curvularia lunata. Int. Biodeterior. Biodegrad. 2009, 63, 100–105. [Google Scholar] [CrossRef]
- Konova, I.V.; Sergeeva, I.E.; Galanina, L.A.; Kochkina, G.A.; Ivanushkina, N.E.; Ozerskaia, S.M. Lipid synthesis by Geomyces pannorum under the impact of stress factors. Mikrobiologiia 2009, 78, 42–47. [Google Scholar] [CrossRef]
- Bernat, P.; Nykiel-Szymańska, J.; Stolarek, P.; Słaba, M.; Szewczyk, R.; Różalska, S. 2,4-dichlorophenoxyacetic acid-induced oxidative stress: Metabolome and membrane modifications in Umbelopsis isabellina, a herbicide degrader. PLoS ONE 2018, 13, e0199677. [Google Scholar] [CrossRef]
- Felczak, A.; Bernat, P.; Różalska, S.; Lisowska, K. Quinoline biodegradation by filamentous fungus Cunninghamella elegans and adaptive modifications of the fungal membrane composition. Environ. Sci. Pollut. Res. Int. 2016, 23, 8872–8880. [Google Scholar] [CrossRef] [PubMed]
- Felczak, A.; Zawadzka, K.; Bernat, P.; Nowak-Lange, M.; Lisowska, K. Effect of Quinoline on the Phospholipid Profile of Curvularialunata and Its Microbial Detoxification. Molecules 2022, 27, 2081. [Google Scholar] [CrossRef] [PubMed]
- You, X.; Cao, X.; Zhang, X.; Guo, J.; Sun, W. Unraveling individual and combined toxicity of nano/microplastics and ciprofloxacin to Synechocystis sp. at the cellular and molecular levels. Environ. Int. 2021, 157, 106842. [Google Scholar] [CrossRef] [PubMed]
- Qin, L.; Duan, Z.; Cheng, H.; Wang, Y.; Zhang, H.; Zhu, Z.; Wang, L. Size-dependent impact of polystyrene microplastics on the toxicity of cadmium through altering neutrophil expression and metabolic regulation in zebrafish larvae. Environ. Pollut. 2021, 291, 118169. [Google Scholar] [CrossRef]
- Cheng, Y.; Lu, J.; Fu, S.; Wang, S.; Senehi, N.; Yuan, Q. Enhanced propagation of intracellular and extracellular antibiotic resistance genes in municipal wastewater by microplastics. Environ. Pollut. 2022, 292, 118284. [Google Scholar] [CrossRef]
- Yan, Z.; Xu, L.; Zhang, W.; Yang, G.; Zhao, Z.; Wang, Y.; Li, X. Comparative toxic effects of microplastics and nanoplastics on Chlamydomonas reinhardtii: Growth inhibition, oxidative stress, and cell morphology. J. Water Process. Eng. 2021, 43, 102291. [Google Scholar] [CrossRef]
- Liu, X.; Ma, J.; Yang, C.; Wang, L.; Tang, J. The toxicity effects of nano/microplastics on an antibiotic producing strain—Streptomyces coelicolor M145. Sci. Total Environ. 2021, 764, 142804. [Google Scholar] [CrossRef]
- Magara, G.; Khan, F.R.; Pinti, M.; Syberg, K.; Inzirillo, A.; Elia, A.C. Effects of combined exposures of fluoranthene and polyethylene or polyhydroxybutyrate microplastics on oxidative stress biomarkers in the blue mussel (Mytilus edulis). J. Toxicol. Environ. Health A 2019, 82, 616–625. [Google Scholar] [CrossRef]
- Han, X.; Zheng, Y.; Dai, C.; Duan, H.; Gao, M.; Ali, M.R.; Sui, L. Effect of polystyrene microplastics and temperature on growth, intestinal histology and immune responses of brine shrimp Artemia franciscana. J. Ocean. Limnol. 2021, 39, 979–988. [Google Scholar] [CrossRef]
- Yu, P.; Liu, Z.; Wu, D.; Chen, M.; Lv, W.; Zhao, Y. Accumulation of polystyrene microplastics in juvenile Eriocheir sinensis and oxidative stress effects in the liver. Aquat. Toxicol. 2018, 200, 28–36. [Google Scholar] [CrossRef]
- Barboza, L.G.A.; Vieira, L.R.; Branco, V.; Figueiredo, N.; Carvalho, F.; Carvalho, C.; Guilhermino, L. Microplastics cause neurotoxicity, oxidative damage and energy-related changes and interact with the bioaccumulation of mercury in the European seabass, Dicentrarchus labrax (Linnaeus, 1758). Aquat. Toxicol. 2018, 195, 49–57. [Google Scholar] [CrossRef]
- Ning, Q.; Wang, D.; An, J.; Ding, Q.; Huang, Z.; Zou, Y.; Wu, F.; You, J. Combined effects of nanosized polystyrene and erythromycin on bacterial growth and resistance mutations in Escherichia coli. J. Hazard. Mater. 2022, 422, 126858. [Google Scholar] [CrossRef] [PubMed]
- Soboń, A.; Szewczyk, R.; Długoński, J.; Różalska, S. A proteomic study of Cunninghamella echinulata recovery during exposure to tributyltin. Environ. Sci. Pollut. Res. 2019, 26, 32545–32558. [Google Scholar] [CrossRef] [PubMed]
- Das, K.; Roychoudhury, A. Reactive oxygen species (ROS) and response of antioxidants as ROS-scavengers during environmental stress in plants. Front. Environ. Sci. 2014, 2, 53. [Google Scholar] [CrossRef]
- Han, M.; Gao, T.; Liu, G.; Zhu, C.; Zhang, T.; Sun, M.; Li, J.; Ji, F.; Si, Q.; Jiang, Q. The effect of a polystyrene nanoplastic on the intestinal microbes and oxidative stress defense of the freshwater crayfish, Procambaru sclarkii. Sci. Total Environ. 2022, 833, 155722. [Google Scholar] [CrossRef] [PubMed]
- Li, Q.; Harvey, L.M.; McNeil, B. Oxidative stress in industrial fungi. Crit. Rev. Biotechnol. 2009, 29, 199–213. [Google Scholar] [CrossRef]
- Yu, H.; Qi, W.; Cao, X.; Hu, J.; Li, Y.; Peng, J.; Hu, C.; Qu, J. Microplastic residues in wetland ecosystems: Do they truly threaten the plant-microbe-soil system? Environ. Int. 2021, 156, 106708. [Google Scholar] [CrossRef]
- Boughattas, I.; Hattab, S.; Zitouni, N.; Mkhinini, M.; Missawi, O.; Bousserrhine, N.; Banni, M. Assessing the presence of microplastic particles in Tunisian agriculture soils and their potential toxicity effects using Eisenia andrei as bioindicator. Sci. Total Environ. 2021, 796, 148959. [Google Scholar] [CrossRef]
- Li, Z.; Chang, X.; Hu, M.; Fang, J.K.H.; Huang, W.; Xu, E.G.; Wang, Y. Is microplastic an oxidative stressor? Evidence from a meta-analysis on bivalves. J. Hazard. Mater. 2021, 423, 127211. [Google Scholar] [CrossRef]
- Milczarek, K.; Wrońska, N.; Felczak, A. Media in Microbial biotechnology in the laboratory and in practice. In Theory, Exercises and Specialist Laboratories; Długoński, J., Ed.; Łódź University Press & Jagiellonian University Press: Łódź-Kraków, Poland, 2021; Volume 475, e-ISBN 978-83-8220-420-9. [Google Scholar]
- Nykiel-Szymańska, J.; Bernat, P.; Słaba, M. Potential of Trichoderma koningii to eliminate alachlor in the presence of copper ions. Ecotoxicol. Environ. Saf. 2018, 162, 1–9. [Google Scholar] [CrossRef]
- Jo, C.; Ahn, D.U. Fluorometric analysis of 2-thiobarbituric acid reactive substances in turkey. Poult. Sci. 1998, 77, 475–480. [Google Scholar] [CrossRef] [PubMed]
- Jasińska, A.; Soboń, A.; Różalska, S.; Średnicka, P. Bisphenol A removal by the fungus Myrothecium roridum IM 6482—Analysis of the cellular and subcellular Level. Int. J. Mol. Sci. 2021, 22, 10676. [Google Scholar] [CrossRef] [PubMed]
- Liu, P.; Luo, L.; Guo, J.; Liu, H.; Wang, B.; Deng, B.; Long, C.; Cheng, Y. Farnesol induces apoptosis and oxidative stress in the fungal pathogen Penicillium expansum. Mycologia 2010, 102, 311–318. [Google Scholar] [CrossRef] [PubMed]




| Time of Cultivation [h] | Culture | Relative Abundance [%] | ||||||
|---|---|---|---|---|---|---|---|---|
| PA | PC | PE | PI | PS | PC/PE | PI/PS | ||
| 24 | Control | 1.89 | 44.32 | 48.33 | 4.37 | 1.10 | 0.92 | 3.99 |
| MP | 2.52 | 27.24 | 62.46 | 6.53 | 1.24 | 0.44 | 5.25 | |
| MET | 2.21 | 43.48 | 47.31 | 5.49 | 1.51 | 0.92 | 3.64 | |
| MET MP | 1.39 | 29.46 | 63.18 | 4.89 | 1.08 | 0.47 | 4.51 | |
| 48 | Control | 1.48 | 32.27 | 61.17 | 3.63 | 1.46 | 0.53 | 2.49 |
| MP | 2.29 | 15.90 | 70.47 | 8.75 | 2.59 | 0.23 | 3.38 | |
| MET | 1.95 | 19.17 | 69.70 | 7.22 | 1.96 | 0.28 | 3.69 | |
| MET MP | 0.67 | 15.50 | 73.84 | 8.08 | 1.91 | 0.21 | 4.22 | |
| 72 | Control | 0.34 | 30.49 | 64.84 | 2.82 | 1.51 | 0.47 | 1.86 |
| MP | 0.32 | 29.90 | 65.55 | 2.92 | 1.31 | 0.46 | 2.23 | |
| MET | 0.26 | 25.64 | 68.15 | 4.21 | 1.73 | 0.38 | 2.43 | |
| MET MP | 1.33 | 26.69 | 67.80 | 3.18 | 1.00 | 0.39 | 3.19 | |
| 96 | Control | 0.13 | 48.41 | 48.08 | 2.75 | 0.63 | 1.01 | 4.37 |
| MP | 0.44 | 42.45 | 52.63 | 3.58 | 0.89 | 0.81 | 4.00 | |
| MET | 0.09 | 62.56 | 34.16 | 2.74 | 0.45 | 1.83 | 6.10 | |
| MET MP | 0.27 | 32.64 | 63.03 | 3.06 | 1.00 | 0.52 | 3.07 | |
| 120 | Control | 0.25 | 64.38 | 33.14 | 1.84 | 0.40 | 1.94 | 4.61 |
| MP | 0.12 | 61.08 | 34.87 | 3.42 | 0.51 | 1.75 | 6.70 | |
| MET | 0.05 | 63.66 | 32.90 | 3.05 | 0.34 | 1.93 | 8.98 | |
| MET MP | 0.04 | 66.44 | 29.85 | 3.16 | 0.50 | 2.23 | 6.38 | |
| Culture | Relative Abundance [%] | Unsaturation Index | |||
|---|---|---|---|---|---|
| 16:0 | 18:0 | 18:1 | 18:2 | ||
| Control | 37.70 | 17.59 | 22.82 | 21.89 | 66.61 |
| MP | 32.17 | 14.36 | 26.59 | 26.89 | 80.06 |
| MET | 31.88 | 11.70 | 27.16 | 29.25 | 83.57 |
| MET MP | 33.51 | 15.04 | 24.02 | 27.44 | 75.47 |
| Culture | Membrane Permeability Expressed as Propidium Iodide Fluorescence Intensity (U·mg−1 of Dry Biomass) | ||
|---|---|---|---|
| 24 h | 72 h | 120 h | |
| Control | 18,231.10 ± 8805.60 | 56,703.85 ± 2806.94 | 51,053.15 ± 1510.17 |
| MP | 51,847.00 ± 1179.00 | 33,750.92 ± 5951.27 | 30,214.06 ± 1020.57 |
| MET | 45,799.75 ± 7376.89 | 44,132.70 ± 1931.15 | 29,158.80 ± 868.97 |
| MET MP | 20,119.80 ± 2027.42 | 29,740.88 ± 470.86 | 27,784.66 ± 7612.87 |
| Culture | TBARS Level [µM g−1 of Wet Biomass] | ||
|---|---|---|---|
| 24 h | 72 h | 120 h | |
| Control | 7.83 ± 1.63 | 14.40 ± 1.37 | 15.79 ± 0.31 |
| MP | 7.83 ± 0.80 | 19.08 ± 1.91 | 18.47 ± 2.70 |
| MET | 7.53 ± 0.26 | 18.21 ± 0.92 | 18.37 ± 0.83 |
| MET MP | 7.67 ± 0.77 | 18.24 ± 1.55 | 22.01 ± 0.46 |
Publisher’s Note: MDPI stays neutral with regard to jurisdictional claims in published maps and institutional affiliations. |
© 2022 by the authors. Licensee MDPI, Basel, Switzerland. This article is an open access article distributed under the terms and conditions of the Creative Commons Attribution (CC BY) license (https://creativecommons.org/licenses/by/4.0/).
Share and Cite
Jasińska, A.; Różalska, S.; Rusetskaya, V.; Słaba, M.; Bernat, P. Microplastic-Induced Oxidative Stress in Metolachlor-Degrading Filamentous Fungus Trichoderma harzianum. Int. J. Mol. Sci. 2022, 23, 12978. https://doi.org/10.3390/ijms232112978
Jasińska A, Różalska S, Rusetskaya V, Słaba M, Bernat P. Microplastic-Induced Oxidative Stress in Metolachlor-Degrading Filamentous Fungus Trichoderma harzianum. International Journal of Molecular Sciences. 2022; 23(21):12978. https://doi.org/10.3390/ijms232112978
Chicago/Turabian StyleJasińska, Anna, Sylwia Różalska, Volha Rusetskaya, Mirosława Słaba, and Przemysław Bernat. 2022. "Microplastic-Induced Oxidative Stress in Metolachlor-Degrading Filamentous Fungus Trichoderma harzianum" International Journal of Molecular Sciences 23, no. 21: 12978. https://doi.org/10.3390/ijms232112978
APA StyleJasińska, A., Różalska, S., Rusetskaya, V., Słaba, M., & Bernat, P. (2022). Microplastic-Induced Oxidative Stress in Metolachlor-Degrading Filamentous Fungus Trichoderma harzianum. International Journal of Molecular Sciences, 23(21), 12978. https://doi.org/10.3390/ijms232112978

