Engineered Glucose Oxidase Capable of Quasi-Direct Electron Transfer after a Quick-and-Easy Modification with a Mediator
Abstract
1. Introduction
2. Results and Discussion
2.1. Engineering of GOx for PES Modification
2.1.1. Investigation of the Availability of Wild-Type Aspergillus niger-Derived GOx for Redox Mediator Modification
2.1.2. Identification of the Appropriate Site for Substitution with a Lysine Residue
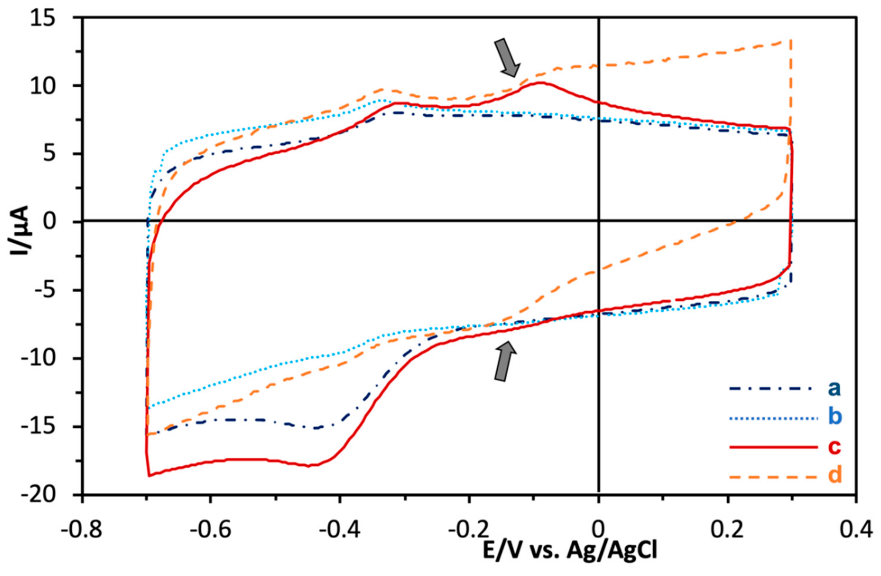
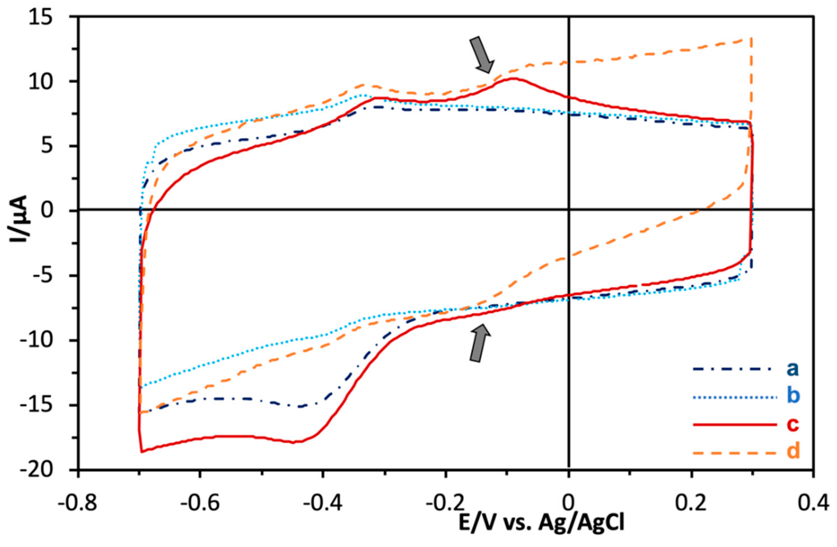
2.2. Construction and Characterization of the GOx Mutant for Quasi-DET after PES Modification
2.3. Characterization of Electrodes with PES-Modified AnGOx-I489K
3. Materials and Methods
3.1. Materials
3.2. Identification of the Appropriate Mutation Site by Comparing the GOx and GDH Structures
3.3. Expression Vector Preparation and Recombinant Expression of GOxs
3.4. PES Modification of Enzymes
3.5. Enzyme Activity
3.6. Preparation of Enzyme Electrodes
3.7. Electrochemical Evaluation
4. Conclusions
Supplementary Materials
Author Contributions
Funding
Acknowledgments
Conflicts of Interest
Abbreviations
| FAD | Flavin adenine dinucleotide |
| GOx | Glucose oxidase |
| GDH | Glucose dehydrogenase |
| DET | Direct electron transfer |
| MTT | 3-(4,5-Dimethyl-2-thiazolyl)-2,5-diphenyl-2H-tetrazolium bromide |
| PES | Phenazine ethosulfate |
| PMS | Phenazine methosulfate |
References
- Clark, L.C.; Lyons, C. Electrode systems for continuous monitoring in cardiovascular surgery. Ann. N. Y. Acad. Sci. 1962, 102, 29–45. [Google Scholar] [CrossRef] [PubMed]
- Cass, A.E.G.; Davis, G.; Francis, G.D.; Hill, H.A.O.; Aston, W.J.; Higgins, I.J.; Plotkin, E.V.; Scott, L.D.L.; Turner, A.P.F. Ferrocene-Mediated enzyme electrode for amperometric determination of glucose. Anal. Chem. 1984, 56, 667–671. [Google Scholar] [CrossRef]
- Ferri, S.; Kojima, K.; Sode, K. Review of glucose oxidases and glucose dehydrogenases: A bird’s eye view of glucose sensing enzymes. J. Diabetes Sci. Technol. 2011, 5, 1068–1076. [Google Scholar] [CrossRef] [PubMed]
- Tremey, E.; Stines-Chaumeil, C.; Gounel, S.; Mano, N. Designing an O2-insensitive glucose oxidase for improved electrochemical applications. ChemElectroChem 2017, 4, 2520–2526. [Google Scholar] [CrossRef]
- Horaguchi, Y.; Saito, S.; Kojima, K.; Tsugawa, W.; Ferri, S.; Sode, K. Engineering glucose oxidase to minimize the influence of oxygen on sensor response. Electrochim. Acta 2014, 126, 158–161. [Google Scholar] [CrossRef]
- Gutierrez, E.A.; Mundhada, H.; Meier, T.; Duefel, H.; Bocola, M.; Schwaneberg, U. Reengineered glucose oxidase for amperometric glucose determination in diabetes analytics. Biosens. Bioelectron. 2013, 50, 84–90. [Google Scholar] [CrossRef]
- Horaguchi, Y.; Saito, S.; Kojima, K.; Tsugawa, W.; Ferri, S.; Sode, K. Construction of mutant glucose oxidases with increased dye-mediated dehydrogenase activity. Int. J. Mol. Sci. 2012, 13, 14149–14157. [Google Scholar] [CrossRef]
- Chaubey, A.; Malhotra, B.D. Mediated biosensors. Biosens. Bioelectron. 2002, 17, 441–456. [Google Scholar] [CrossRef]
- Lee, I.; Loew, N.; Tsugawa, W.; Lin, C.; Probst, D.; La Belle, J.T.; Sode, K. The electrochemical behavior of a FAD dependent glucosedehydrogenase with direct electron transfer subunit by immobilizationon self-assembled monolayers. Bioelectrochemistry 2018, 121, 1–6. [Google Scholar] [CrossRef]
- Bartlett, P.N.; Al-Lolage, F.A. There is no evidence to support literature claims of direct electron transfer (DET) for native glucose oxidase (GOx) at carbon nanotubes or graphene. J. Electroanal. Chem. 2018, 819, 26–37. [Google Scholar] [CrossRef]
- Wilson, G.S. Native glucose oxidase does not undergo direct electron transfer. Biosens. Bioelectron. 2016, 82, Vii–Viii. [Google Scholar] [CrossRef] [PubMed]
- Vogt, S.; Schneider, M.; Schafer-Eberwein, H.; Noll, G. Determination of the pH dependent redox potential of glucose oxidase by spectroelectrochemistry. Anal. Chem. 2014, 86, 7530–7535. [Google Scholar] [CrossRef]
- Sampath, S.; Lev, O. Renewable, reagentless glucose sensor based on a redox modified enzyme and carbon-silica composite. Electroanalysis 1996, 8, 1112–1116. [Google Scholar] [CrossRef]
- Schuhmann, W. Electron-transfer pathways in amperometric biosensors. Ferrocene-modified enzymes entrapped in conducting-polymer layers. Biosens. Bioelectron. 1995, 10, 181–193. [Google Scholar] [CrossRef]
- Badia, A.; Carlini, R.; Fernandez, A.; Battaglini, F.; Mikkelsen, S.R.; English, A.M. Intramolecular electron-transfer rates in ferrocene-derivatized glucose-oxidase. J. Am. Chem. Soc. 1993, 115, 7053–7060. [Google Scholar] [CrossRef]
- Ryabov, A.D.; Trushkin, A.M.; Baksheeva, L.I.; Gorbatova, R.K.; Kubrakova, I.V.; Mozhaev, V.V.; Gnedenko, B.B.; Levashov, A.V. Chemical attachment of organometallics to proteins in reverse micelles. Angew. Chem. Int. Ed. 1992, 31, 789–791. [Google Scholar] [CrossRef]
- Schuhmann, W.; Ohara, T.J.; Schmidt, H.L.; Heller, A. Electron-transfer between glucose-oxidase and electrodes via redox mediators bound with flexible chains to the enzyme surface. J. Am. Chem. Soc. 1991, 113, 1394–1397. [Google Scholar] [CrossRef]
- Bartlett, P.N.; Bradford, V.Q.; Whitaker, R.G. Enzyme electrode studies of glucose-oxidase modified with a redox mediator. Talanta 1991, 38, 57–63. [Google Scholar] [CrossRef]
- Degani, Y.; Heller, A. Direct electrical communication between dhemically modified enzymes and metal-electrodes. 2. Methods for bonding electron-transfer relays to glucose-oxidase and D-amino-acid oxidase. J. Am. Chem. Soc. 1988, 110, 2615–2620. [Google Scholar] [CrossRef]
- Degani, Y.; Heller, A. Direct electrical communication between chemically modified enzymes and metal-electrodes. 1. Electron-transfer from glucose-oxidase to metal-electrodes via electron relays, bound covalently to the enzyme. J. Phys. Chem. 1987, 91, 1285–1289. [Google Scholar] [CrossRef]
- Bartlett, P.N.; Whitaker, R.G.; Green, M.J.; Frew, J. Covalent binding of electron relays to glucose-oxidase. J. Chem. Soc. Chem. Comm. 1987, 1603–1604. [Google Scholar] [CrossRef]
- Ban, K.; Ueki, T.; Tamada, Y.; Saito, T.; Imabayashi, S.; Watanabe, M. Fast electron transfer between glucose oxidase and electrodes via phenothiazine mediators with poly(ethylene oxide) spacers attached to the enzyme surface. Electrochem. Commun. 2001, 3, 649–653. [Google Scholar] [CrossRef]
- Ryabova, E.S.; Goral, V.N.; Csoregi, E.; Mattiasson, B.; Ryabov, A.D. Coordinative approach to mediated electron transfer: Ruthenium complexed to native glucose oxidase. Angew. Chem. Int. Ed. 1999, 38, 804–807. [Google Scholar] [CrossRef]
- Bartlett, P.N.; Booth, S.; Caruana, D.J.; Kilburn, J.D.; Santamaria, C. Modification of glucose oxidase by the covalent attachment of a tetrathiafulvalene derivative. Anal. Chem. 1997, 69, 734–742. [Google Scholar] [CrossRef]
- Krikstopaitis, K.; Kulys, J.; Tetianec, L. Bioelectrocatalytical glucose oxidation with phenoxazine modified glucose oxidase. Electrochem. Commun. 2004, 6, 331–336. [Google Scholar] [CrossRef]
- Hatada, M.; Loew, N.; Inose-Takahashi, Y.; Okuda-Shimazaki, J.; Tsugawa, W.; Mulchandani, A.; Sode, K. Development of a glucose sensor employing quick and easy modification method with mediator for altering electron acceptor preference. Bioelectrochemistry 2018, 121, 185–190. [Google Scholar] [CrossRef]
- Hiraka, K.; Kojima, K.; Tsugawa, W.; Asano, R.; Ikebukuro, K.; Sode, K. Rational engineering of Aerococcus viridans L-lactate oxidase for the mediator modification to achieve quasi-direct electron transfer type lactate sensor. Biosens. Bioelectron. 2019, 151, 111974. [Google Scholar] [CrossRef]
- Yoshida, H.; Sakai, G.; Mori, K.; Kojima, K.; Kamitori, S.; Sode, K. Structural analysis of fungus-derived FAD glucose dehydrogenase. Sci. Rep. 2015, 5, 13498. [Google Scholar] [CrossRef]
- Thompson, J.D.; Higgins, D.G.; Gibson, T.J. CLUSTAL W: Improving the sensitivity of progressive multiple sequence alignment through sequence weighting, position-specific gap penalties and weight matrix choice. Nucleic Acids Res. 1994, 22, 4673–4680. [Google Scholar] [CrossRef]
- Okurita, M.; Suzuki, N.; Loew, N.; Yoshida, H.; Tsugawa, W.; Mori, K.; Kojima, K.; Klonoff, D.C.; Sode, K. Engineered fungus derived FAD-dependent glucose dehydrogenase with acquired ability to utilize hexaammineruthenium(III) as an electron acceptor. Bioelectrochemistry 2018, 123, 62–69. [Google Scholar] [CrossRef]





| Enzyme | PES Modification | Dehydrogenase Activity [U/mg] | |
|---|---|---|---|
| PMS/MTT System | MTT System | ||
| AnGOx-WT | − | 16 | n.d.* |
| + | 18 | 5.3 × 10−2 | |
| AnGOx-I489K | − | 25 | 7.5 × 10−3 |
| + | 19 | 10 | |
© 2020 by the authors. Licensee MDPI, Basel, Switzerland. This article is an open access article distributed under the terms and conditions of the Creative Commons Attribution (CC BY) license (http://creativecommons.org/licenses/by/4.0/).
Share and Cite
Suzuki, N.; Lee, J.; Loew, N.; Takahashi-Inose, Y.; Okuda-Shimazaki, J.; Kojima, K.; Mori, K.; Tsugawa, W.; Sode, K. Engineered Glucose Oxidase Capable of Quasi-Direct Electron Transfer after a Quick-and-Easy Modification with a Mediator. Int. J. Mol. Sci. 2020, 21, 1137. https://doi.org/10.3390/ijms21031137
Suzuki N, Lee J, Loew N, Takahashi-Inose Y, Okuda-Shimazaki J, Kojima K, Mori K, Tsugawa W, Sode K. Engineered Glucose Oxidase Capable of Quasi-Direct Electron Transfer after a Quick-and-Easy Modification with a Mediator. International Journal of Molecular Sciences. 2020; 21(3):1137. https://doi.org/10.3390/ijms21031137
Chicago/Turabian StyleSuzuki, Nanami, Jinhee Lee, Noya Loew, Yuka Takahashi-Inose, Junko Okuda-Shimazaki, Katsuhiro Kojima, Kazushige Mori, Wakako Tsugawa, and Koji Sode. 2020. "Engineered Glucose Oxidase Capable of Quasi-Direct Electron Transfer after a Quick-and-Easy Modification with a Mediator" International Journal of Molecular Sciences 21, no. 3: 1137. https://doi.org/10.3390/ijms21031137
APA StyleSuzuki, N., Lee, J., Loew, N., Takahashi-Inose, Y., Okuda-Shimazaki, J., Kojima, K., Mori, K., Tsugawa, W., & Sode, K. (2020). Engineered Glucose Oxidase Capable of Quasi-Direct Electron Transfer after a Quick-and-Easy Modification with a Mediator. International Journal of Molecular Sciences, 21(3), 1137. https://doi.org/10.3390/ijms21031137

