In Vitro Maturation of Retinal Pigment Epithelium Is Essential for Maintaining High Expression of Key Functional Genes
Abstract
1. Introduction
2. Results
2.1. E-RPE Demonstrates Development in Morphology and Pigmentation as they Mature
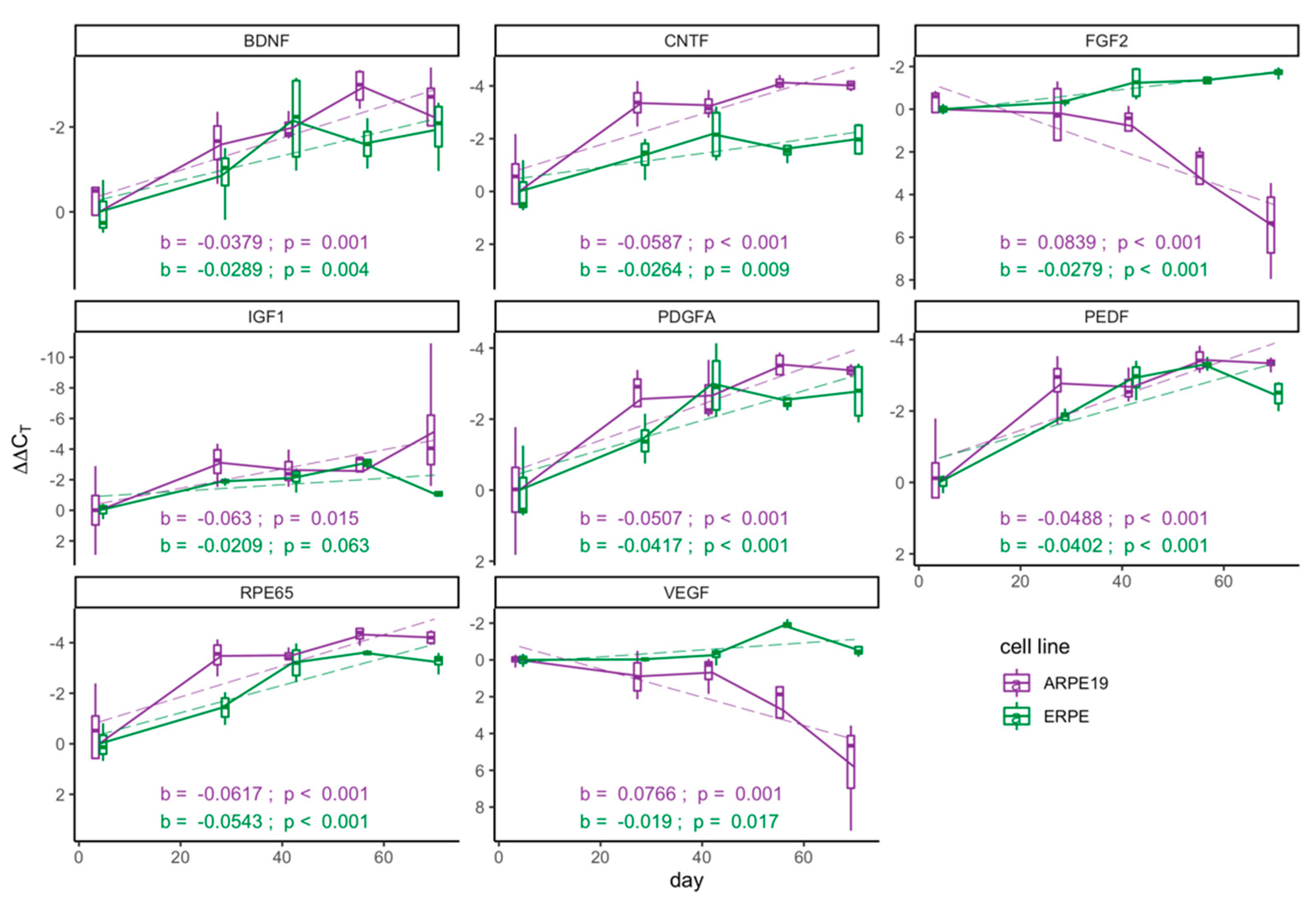
2.2. E-RPE and ARPE-19 Cultures Demonstrate Progressive Increase in mRNA Levels of Key Functional RPE Genes as They Mature
2.3. Mature ARPE-19 Upregulates Transcript Levels of Key RPE Genes
2.4. Mature E-RPE Culture Upregulates Transcript Levels of Key RPE Genes
2.5. Dissociation of the RPE Monolayer to Single Cell Suspension Resets Maturation
3. Discussion
4. Materials and Methods
4.1. Tissue Culture
4.2. RNA Extraction and cDNA Synthesis
4.3. Conditioned Media Analysis of Secreted Protein
4.4. E-RPE Differentiation
4.5. Statistical Analysis
Author Contributions
Funding
Acknowledgments
Conflicts of Interest
Abbreviations
| AMD | Age-related macular degeneration | 
| RPE | Retinal pigmented epithelium | 
| E-RPE | Embryonic-stem-cell-derived RPE | 
Appendix A
| Gene | Primers | Function | Reference | 
|---|---|---|---|
| PEDF | TCATTCACCGGGCTCTCTACT | Antiangiogenesis and antiapoptotic photoreceptor trophic factor with a potent neurotrophic effect. | [72] | 
| GGGCAGTGACCGTGTCAAG | |||
| IGF1 | GCTCTTCAGTTCGTGTGTGGA | Anti-apoptotic and photoreceptor prosurvival factor. | [36] | 
| GCCTCCTTAGATCACAGCTCC | |||
| FGF2 | AGAAGAGCGACCCTCACATCA | Neurotrophic and angiogenic factor required for photoreceptor and choroid maintenance. | [73] | 
| CGGTTAGCACACACTCCTTTG | |||
| BDNF | CTACGAGACCAAGTGCAATCC | Neurotrophic factor with a prosurvival effect on photoreceptors. | [50] | 
| AATCGCCAGCCAATTCTCTTT | |||
| GAS6 | CCGGGGACTTGTTCCAACC | Involved in the phagocytosis of photoreceptor outer segments. | [74] | 
| CTGCACGAGGTCCTTCTCAT | |||
| FASL | TGCCTTGGTAGGATTGGGC | Antiangiogenic factor that also allows RPE to uphold and maintain the immune privilege feature of the eye by inactivating immune cells. | [40,75] | 
| GCTGGTAGACTCTCGGAGTTC | |||
| TGFB | CAATTCCTGGCGATACCTCAG | Angiogenic factor that induces VEGF secretion by RPE and choroid cells. | [41] | 
| GCACAACTCCGGTGACATCAA | |||
| TIMP3 | TGGGTTGTAACTGCAAGATCAAG | Involved in the maintenance and remodeling of Bruch’s membrane. | [76] | 
| GGTCCAGAGACACTCGTTCT | |||
| VEGFA | AGGGCAGAATCATCACGAAGT | Angiogenic factor secreted by RPE to maintain the choriocapillaris. | [9] | 
| AGGGTCTCGATTGGATGGCA | |||
| PDGFA | GCAAGACCAGGACGGTCATTT | Angiogenic factor with an autocrine growth effect on RPE. | [77,78] | 
| GGCACTTGACACTGCTCGT | |||
| KDR | GTGATCGGAAATGACACTGGAG | VEGF receptor and plays a crucial role eye development. | [79] | 
| GTGATCGGAAATGACACTGGAG | |||
| BEST1 | CTGGGCTTCTACGTGACGC | Calcium-activated anion channel and a regulator of intracellular calcium signaling. | [44,80] | 
| TTGCTCGTCCTTGCCTTCG | |||
| CCL2 | CAGCCAGATGCAATCAATGCC | Chemokine involved in the regulation and modulation of an immune response. | [81] | 
| TGGAATCCTGAACCCACTTCT | |||
| CFH | GTGAAGTGTTTACCAGTGACAGC | Regulates and modulates the complement pathway. | [82] | 
| AACCGTACTGCTTGTCCAAAA | |||
| FGF2R | AGCACCATACTGGACCAACAC | FGF-2 receptor. | [46] | 
| GGCAGCGAAACTTGACAGTG | |||
| CXCL8 | ACTGAGAGTGATTGAGAGTGGAC | Encodes a chemokine (IL-8) that initiates and amplifies inflammation. It has also been implicated in the pathogenesis of AMD. | [65] | 
| AACCCTCTGCACCCAGTTTTC | |||
| RPE65 | CCTGCTGGTGGTTACAAGAAA | Encodes an essential isomerohydrolase enzyme in the retinoid visual cycle. | [43] | 
| CCTGCCTGTTACATGAGCTGT | |||
| LHX2 | ATGCTGTTCCACAGTCTGTCG | Highly involved in early eye development and regulates the expression of multiple visual cycle genes. | [83,84] | 
| GCATGGTCGTCTCGGTGTC | |||
| LOXL1 | CCACTACGACCTACTGGATGC | RPE signature gene that has been reported to be involved in ocular disorders. | [85] | 
| GTTGCCGAAGTCACAGGTG | |||
| MYRIP | CTAAGAGCGGGACGTTTCAGG | Encodes for a protein that enables the trafficking of melanosomes in RPE. | [86] | 
| TCTTCCTCGCTATCGGAGCC | |||
| TRPM1 | GTTCACCAACCAGCATATCCC | Encodes a permeable cation channel and plays a role in melanin synthesis in the RPE. | [46] | 
| AGCCTTGATCAGGCCTTTCC | |||
| CNTF | ACAGAGCATTCACCGCTGAC | Encodes neurotrophic cytokine with a photoreceptor prosurvival effect. It was determined to be the most stable gene between the 2D and 3D RPE cultures. | [38] | 
| TCAGGTCTGAACGAATCTTCCTT | 
References
- Wong, W.L.; Su, X.; Li, X.; Cheung, C.M.G.; Klein, R.; Cheng, C.-Y.; Wong, T.Y. Global prevalence of age-related macular degeneration and disease burden projection for 2020 and 2040: A systematic review and meta-analysis. Lancet Glob. Heal. 2014, 2, e106–e116. [Google Scholar] [CrossRef]
- Chou, C.-F.; Cotch, M.F.; Vitale, S.; Zhang, X.; Klein, R.; Friedman, D.S.; Klein, B.E.; Saaddine, J.B. Age-Related eye diseases and visual impairment among U.S. adults. Am. J. Prev. Med. 2013, 45, 29–35. [Google Scholar] [CrossRef] [PubMed]
- Frick, K.D.; Gower, E.W.; Kempen, J.H.; Wolff, J.L. Economic Impact of Visual Impairment and Blindness in the United States. Arch. Ophthalmol. 2007, 125, 544. [Google Scholar] [CrossRef] [PubMed]
- Rein, D.B.; Zhang, P.; Wirth, K.E.; Lee, P.P.; Hoerger, T.J.; McCall, N.; Klein, R.; Tielsch, J.M.; Vijan, S.; Saaddine, J. The Economic Burden of Major Adult Visual Disorders in the United States. Arch. Ophthalmol. 2006, 124, 1754–1760. [Google Scholar] [CrossRef] [PubMed]
- Lim, L.S.; Mitchell, P.; Seddon, J.M.; Holz, F.G.; Wong, T.Y. Age-Related macular degeneration. Lancet 2012, 379, 1728–1738. [Google Scholar] [CrossRef]
- Zając-Pytrus, H.M.; Pilecka, A.; Turno-Kręcicka, A.; Adamiec-Mroczek, J.; Misiuk-Hojło, M. The Dry Form of Age-Related Macular Degeneration (AMD): The Current Concepts of Pathogenesis and Prospects for Treatment. Adv. Clin. Exp. Med. 2015, 24, 1099–1104. [Google Scholar] [CrossRef]
- Barnstable, C.J.; Tombran-Tink, J. Neuroprotective and antiangiogenic actions of PEDF in the eye: Molecular targets and therapeutic potential. Prog. Retin. Eye Res. 2004, 23, 561–577. [Google Scholar] [CrossRef]
- Bouck, N. PEDF: Anti-Angiogenic guardian of ocular function. Trends Mol. Med. 2002, 8, 330–334. [Google Scholar] [CrossRef]
- Saint-Geniez, M.; Kurihara, T.; Sekiyama, E.; Maldonado, A.E.; D’Amore, P.A. An essential role for RPE-derived soluble VEGF in the maintenance of the choriocapillaris. Proc. Natl. Acad. Sci. USA 2009, 106, 18751–18756. [Google Scholar] [CrossRef]
- Strauß, O. The Retinal Pigment Epithelium in Visual Function. Physiol. Rev. 2005, 85, 845–881. [Google Scholar] [CrossRef]
- Sparrow, J.R.; Hicks, D.; Hamel, C.P.; Sparrow, J.R. The retinal pigment epithelium in health and disease. Curr. Mol. Med. 2010, 10, 802–823. [Google Scholar] [CrossRef] [PubMed]
- Algvere, P.V.; Berglin, L.; Gouras, P.; Sheng, Y. Transplantation of RPE in age-related macular degeneration: Observations in disciform lesions and dry RPE atrophy. Graefe’s Arch. Clin. Exp. Ophthalmol. 1997, 235, 149–158. [Google Scholar] [CrossRef]
- Castillo, B.V.; Del Cerro, M.; White, R.M.; Cox, C.; Wyatt, J.; Nadiga, G.; Del Cerro, C. Efficacy of Nonfetal Human RPE for Photoreceptor Rescue: A Study in Dystrophic RCS Rats. Exp. Neurol. 1997, 146, 1–9. [Google Scholar] [CrossRef]
- Li, L.; Turner, J.E. Inherited retinal dystrophy in the RCS rat: Prevention of photoreceptor degeneration by pigment epithelial cell transplantation. Exp. Eye Res. 1988, 47, 911–917. [Google Scholar] [CrossRef]
- Little, C.W.; Castillo, B.; DiLoreto, A.D.; Cox, C.; Wyatt, J.; Del Cerro, C.; Del Cerro, M. Transplantation of human fetal retinal pigment epithelium rescues photoreceptor cells from degeneration in the Royal College of Surgeons rat retina. Investig. Ophthalmol. Vis. Sci. 1996, 37, 204–211. [Google Scholar]
- Lund, R.; Wang, S.; Klimanskaya, I.; Holmes, T.; Ramos-Kelsey, R.; Lu, B.; Girman, S.; Bischoff, N.; Sauvé, Y.; Lanza, R. Human Embryonic Stem Cell–Derived Cells Rescue Visual Function in Dystrophic RCS Rats. Cloning Stem Cells 2006, 8, 189–199. [Google Scholar] [CrossRef] [PubMed]
- Buchholz, D.E.; Hikita, S.T.; Rowland, T.J.; Friedrich, A.M.; Hinman, C.R.; Johnson, L.V.; Clegg, D.O. Derivation of Functional Retinal Pigmented Epithelium from Induced Pluripotent Stem Cells. Stem Cells 2009, 27, 2427–2434. [Google Scholar] [CrossRef] [PubMed]
- Klimanskaya, I.; Hipp, J.; Rezai, K.A.; West, M.; Atala, A.; Lanza, R. Derivation and Comparative Assessment of Retinal Pigment Epithelium from Human Embryonic Stem Cells Using Transcriptomics. Cloning Stem Cells 2014, 6, 217–245. [Google Scholar] [CrossRef] [PubMed]
- Tan, Y.S.E.; Shi, P.J.; Choo, C.-J.; Laude, A.; Yeong, W.Y. Tissue engineering of retina and Bruch’s membrane: A review of cells, materials and processes. Br. J. Ophthalmol. 2018, 102, 1182–1187. [Google Scholar] [CrossRef]
- Da Cruz, L.; Fynes, K.; Georgiadis, O.; Kerby, J.; Luo, Y.H.; Ahmado, A.; Vernon, A.; Daniels, J.T.; Nommiste, B.; Hasan, S.M.; et al. Phase 1 clinical study of an embryonic stem cell–derived retinal pigment epithelium patch in age-related macular degeneration. Nat. Biotechnol. 2018, 36, 328–337. [Google Scholar] [CrossRef]
- Kashani, A.H.; Lebkowski, J.S.; Rahhal, F.M.; Avery, R.L.; Salehi-Had, H.; Dang, W.; Lin, C.-M.; Mitra, D.; Zhu, D.; Thomas, B.B.; et al. A bioengineered retinal pigment epithelial monolayer for advanced, dry age-related macular degeneration. Sci. Transl. Med. 2018, 10. [Google Scholar] [CrossRef] [PubMed]
- Klassen, H. Stem cells in clinical trials for treatment of retinal degeneration. Expert Opin. Boil. 2015, 16, 7–14. [Google Scholar] [CrossRef] [PubMed]
- Mandai, M.; Watanabe, A.; Kurimoto, Y.; Hirami, Y.; Morinaga, C.; Daimon, T.; Fujihara, M.; Akimaru, H.; Sakai, N.; Shibata, Y.; et al. Autologous Induced Stem-Cell–Derived Retinal Cells for Macular Degeneration. N. Engl. J. Med. 2017, 376, 1038–1046. [Google Scholar] [CrossRef] [PubMed]
- Schwartz, S.D.; Hubschman, J.-P.; Heilwell, G.; Franco-Cardenas, V.; Pan, C.K.; Ostrick, R.M.; Mickunas, E.; Gay, R.; Klimanskaya, I.; Lanza, R. Embryonic stem cell trials for macular degeneration: A preliminary report. Lancet 2012, 379, 713–720. [Google Scholar] [CrossRef]
- Schwartz, S.D.; Regillo, C.D.; Lam, B.L.; Eliott, D.; Rosenfeld, P.J.; Gregori, N.Z.; Hubschman, J.-P.; Davis, J.L.; Heilwell, G.; Spirn, M.; et al. Human embryonic stem cell-derived retinal pigment epithelium in patients with age-related macular degeneration and Stargardt’s macular dystrophy: Follow-up of two open-label phase 1/2 studies. Lancet 2015, 385, 509–516. [Google Scholar] [CrossRef]
- Davis, R.J.; Alam, N.M.; Zhao, C.; Müller, C.; Saini, J.S.; Blenkinsop, T.A.; Mazzoni, F.; Campbell, M.; Borden, S.M.; Charniga, C.J.; et al. The Developmental Stage of Adult Human Stem Cell-Derived Retinal Pigment Epithelium Cells Influences Transplant Efficacy for Vision Rescue. Stem Cell Rep. 2017, 9, 42–49. [Google Scholar] [CrossRef]
- Dunn, K.; Aotaki-Keen, A.; Putkey, F.; Hjelmeland, L. ARPE-19, A Human Retinal Pigment Epithelial Cell Line with Differentiated Properties. Exp. Eye Res. 1996, 62, 155–170. [Google Scholar] [CrossRef]
- German, O.L.; Buzzi, E.; Rotstein, N.P.; Rodríguez-Boulan, E.; Politi, L.E. Retinal pigment epithelial cells promote spatial reorganization and differentiation of retina photoreceptors. J. Neurosci. Res. 2008, 86, 3503–3514. [Google Scholar] [CrossRef]
- Diniz, B.; Thomas, P.; Thomas, B.; Ribeiro, R.; Hu, Y.; Brant, R.; Ahuja, A.; Zhu, D.; Liu, L.; Koss, M.; et al. Subretinal Implantation of Retinal Pigment Epithelial Cells Derived From Human Embryonic Stem Cells: Improved Survival When Implanted as a Monolayer. Investig. Opthalmol. Vis. Sci. 2013, 54, 5087–5096. [Google Scholar] [CrossRef]
- Koss, M.J.; Falabella, P.; Stefanini, F.R.; Pfister, M.; Thomas, B.B.; Kashani, A.H.; Brant, R.; Zhu, D.; Clegg, D.O.; Hinton, D.R.; et al. Subretinal implantation of a monolayer of human embryonic stem cell-derived retinal pigment epithelium: A feasibility and safety study in Yucatán minipigs. Graefe’s Arch. Clin. Exp. Ophthalmol. 2016, 254, 1553–1565. [Google Scholar] [CrossRef]
- M’Barek, K.B.; Habeler, W.; Plancheron, A.; Jarraya, M.; Regent, F.; Terray, A.; Yang, Y.; Chatrousse, L.; Domingues, S.; Masson, Y.; et al. Human ESC–derived retinal epithelial cell sheets potentiate rescue of photoreceptor cell loss in rats with retinal degeneration. Sci. Transl. Med. 2017, 9. [Google Scholar] [CrossRef] [PubMed]
- Bennis, A.; Jacobs, J.G.; Catsburg, L.A.E.; Brink, J.B.T.; Koster, C.; Schlingemann, R.O.; Van Meurs, J.; Gorgels, T.G.M.F.; Moerland, P.D.; Heine, V.M.; et al. Stem Cell Derived Retinal Pigment Epithelium: The Role of Pigmentation as Maturation Marker and Gene Expression Profile Comparison with Human Endogenous Retinal Pigment Epithelium. Stem Cell Rev. Rep. 2017, 13, 659–669. [Google Scholar] [CrossRef] [PubMed]
- Ablonczy, Z.; Dahrouj, M.; Tang, P.H.; Liu, Y.; Sambamurti, K.; Marmorstein, A.D.; Crosson, C.E. Human retinal pigment epithelium cells as functional models for the RPE in vivo. Investig. Opthalmol. Vis. Sci. 2011, 52, 8614–8620. [Google Scholar] [CrossRef] [PubMed]
- Kim, A.L.; D’Amore, P.A. A brief history of anti-VEGF for the treatment of ocular angiogenesis. Am. J. Pathol. 2012, 181, 376–379. [Google Scholar] [CrossRef]
- Sadiq, M.A.; Hanout, M.; Sarwar, S.; Hassan, M.; Do, D.V.; Nguyen, Q.D.; Sepah, Y.J. Platelet derived growth factor inhibitors: A potential therapeutic approach for ocular neovascularization. Saudi J. Ophthalmol. 2015, 29, 287–291. [Google Scholar] [CrossRef]
- Arroba, A.I.; Wallace, D.; Mackey, A.; De La Rosa, E.J.; Cotter, T.G. IGF-I maintains calpastatin expression and attenuates apoptosis in several models of photoreceptor cell death. Eur. J. Neurosci. 2009, 30, 975–986. [Google Scholar] [CrossRef]
- Arroba, A.I.; Alvarez-Lindo, N.L.; Van Rooijen, N.; De La Rosa, E.J. Microglia-Mediated IGF-I Neuroprotection in therd10Mouse Model of Retinitis Pigmentosa. Investig. Opthalmol. Vis. Sci. 2011, 52, 9124–9130. [Google Scholar] [CrossRef]
- Azadi, S.; Johnson, L.E.; Paquet-Durand, F.; Perez, M.-T.R.; Zhang, Y.; Ekström, P.A.; Van Veen, T. CNTF + BDNF treatment and neuroprotective pathways in the rd1 mouse retina. Brain Res. 2007, 1129, 116–129. [Google Scholar] [CrossRef]
- Zhang, M.; Mo, X.; Fang, Y.; Guo, W.; Wu, J.; Zhang, S.; Huang, Q. Rescue of photoreceptors by BDNF gene transfer using in vivo electroporation in the RCS rat of retinitis pigmentosa. Curr. Eye Res. 2009, 34, 791–799. [Google Scholar] [CrossRef]
- Kaplan, H.J.; Leibole, M.A.; Tezel, T.; Ferguson, T.A. Fas ligand (CD95 ligand) controls angiogenesis beneath the retina. Nat. Med. 1999, 5, 292–297. [Google Scholar] [CrossRef]
- Nagineni, C.N.; Samuel, W.; Nagineni, S.; Pardhasaradhi, K.; Wiggert, B.; Detrick, B.; Hooks, J.J. Transforming growth factor-? Induces expression of vascular endothelial growth factor in human retinal pigment epithelial cells: Involvement of mitogen-activated protein kinases. J. Cell. Physiol. 2003, 197, 453–462. [Google Scholar] [CrossRef] [PubMed]
- Tosi, G.M.; Orlandini, M.; Galvagni, F. The Controversial Role of TGF-β in Neovascular Age-Related Macular Degeneration Pathogenesis. Int. J. Mol. Sci. 2018, 19, 3363. [Google Scholar] [CrossRef] [PubMed]
- Moiseyev, G.; Chen, Y.; Takahashi, Y.; Wu, B.X.; Ma, J.; Nathans, J. RPE65 visual is the cycle in the isomerohydrolase retinoid. Proc. Natl. Acad. Sci. USA 2005, 102, 12413–12418. [Google Scholar] [CrossRef] [PubMed]
- Johnson, A.A.; Guziewicz, K.E.; Lee, C.J.; Kalathur, R.C.; Pulido, J.S.; Marmorstein, L.Y.; Marmorstein, A.D. Bestrophin 1 and retinal disease. Prog. Retin. Eye Res. 2017, 58, 45–69. [Google Scholar] [CrossRef]
- Donato, L.; Scimone, C.; Alibrandi, S.; Nicocia, G.; Rinaldi, C.; Sidoti, A.; D’Angelo, R. Discovery of GLO1 New Related Genes and Pathways by RNA-Seq on A2E-Stressed Retinal Epithelial Cells Could Improve Knowledge on Retinitis Pigmentosa. Antioxidants 2020, 9, 416. [Google Scholar] [CrossRef]
- Samuel, W.; Jaworski, C.; Postnikova, O.A.; Kutty, R.K.; Duncan, T.; Tan, L.X.; Poliakov, E.; Lakkaraju, A.; Redmond, T.M. Appropriately differentiated ARPE-19 cells regain phenotype and gene expression profiles similar to those of native RPE cells. Mol. Vis. 2017, 23, 60–89. [Google Scholar]
- Lu, B.; Malcuit, C.; Wang, S.; Girman, S.; Francis, P.R.; Lemieux, L.; Lanza, R.; Lund, R.D. Long-Term Safety and Function of RPE from Human Embryonic Stem Cells in Preclinical Models of Macular Degeneration. Stem Cells 2009, 27, 2126–2135. [Google Scholar] [CrossRef]
- Sachdeva, M.M.; Eliott, D. Stem Cell-Based Therapy for Diseases of the Retinal Pigment Epithelium: From Bench to Bedside. Semin. Ophthalmol. 2016, 31, 25–29. [Google Scholar] [CrossRef]
- Schwartz, S.D.; Tan, G.; Hosseini, H.; Nagiel, A. Subretinal Transplantation of Embryonic Stem Cell–Derived Retinal Pigment Epithelium for the Treatment of Macular Degeneration: An Assessment at 4 Years. Investig. Opthalmol. Vis. Sci. 2016, 57, 1. [Google Scholar] [CrossRef]
- Caffé, A.R.; Söderpalm, A.K.; Holmqvist, I.; Van Veen, T. A combination of CNTF and BDNF rescues rd photoreceptors but changes rod differentiation in the presence of RPE in retinal explants. Investig. Ophthalmol. Vis. Sci. 2001, 42, 275–282. [Google Scholar]
- Comitato, A.; Subramanian, P.; Turchiano, G.; Montanari, M.; Becerra, S.P.; Marigo, V. Pigment epithelium-derived factor hinders photoreceptor cell death by reducing intracellular calcium in the degenerating retina. Cell Death Dis. 2018, 9, 560. [Google Scholar] [CrossRef] [PubMed]
- Bird, A. Therapeutic targets in age-related macular disease. J. Clin. Investig. 2010, 120, 3033–3041. [Google Scholar] [CrossRef] [PubMed]
- Domenici, L. Translational Research on BDNF may Lead to New Research Therapy in Glaucoma. JOJ Ophthalmol. 2017, 3. [Google Scholar] [CrossRef]
- Singer, M. Advances in the management of macular degeneration. F1000Prime Rep. 2014, 6, 29. [Google Scholar] [CrossRef] [PubMed]
- Bhutto, I.A.; McLeod, D.S.; Hasegawa, T.; Kim, S.Y.; Merges, C.; Tong, P.; Lutty, G.A. Pigment epithelium-derived factor (PEDF) and vascular endothelial growth factor (VEGF) in aged human choroid and eyes with age-related macular degeneration. Exp. Eye Res. 2006, 82, 99–110. [Google Scholar] [CrossRef] [PubMed]
- Haurigot, V.A.; Villacampa, P.; Ribera, A.; Bosch, A.; Ramos, D.; Ruberte, J.; Bosch, F. Long-Term Retinal PEDF Overexpression Prevents Neovascularization in a Murine Adult Model of Retinopathy. PLoS ONE 2012, 7, e41511. [Google Scholar] [CrossRef] [PubMed]
- Ohno-Matsui, K.; Morita, I.; Tombran-Tink, J.; Mrazek, D.; Onodera, M.; Uetama, T.; Hayano, M.; Murota, S.-I.; Mochizuki, M. Novel mechanism for age-related macular degeneration: An equilibrium shift between the angiogenesis factors VEGF and PEDF. J. Cell. Physiol. 2001, 189, 323–333. [Google Scholar] [CrossRef]
- Regent, F.; Morizur, L.; Lesueur, L.; Habeler, W.; Plancheron, A.; Ben M’Barek, K.; Monville, C. Automation of human pluripotent stem cell differentiation toward retinal pigment epithelial cells for large-scale productions. Sci. Rep. 2019, 9, 10646. [Google Scholar] [CrossRef]
- Zamiri, P.; Masli, S.; Kitaichi, N.; Taylor, A.W.; Streilein, J.W. Thrombospondin Plays a Vital Role in the Immune Privilege of the Eye. Investig. Opthalmol. Vis. Sci. 2005, 46, 908–919. [Google Scholar] [CrossRef]
- Warwick, A.; Gibson, J.; Sood, R.; Lotery, A. A rare penetrant TIMP3 mutation confers relatively late onset choroidal neovascularisation which can mimic age-related macular degeneration. Eye 2015, 30, 488–491. [Google Scholar] [CrossRef]
- Kamei, M.; Hollyfield, J.G. TIMP-3 in Bruch’s membrane: Changes during aging and in age-related macular degeneration. Investig. Ophthalmol. Vis. Sci. 1999, 40, 2367–2375. [Google Scholar]
- Weber, B.H.F.; Vogt, G.; Pruett, R.C.; Sto¨hr, H.; Felbor, U. Mutations in the tissue inhibitor of metalloproteinases-3 (TIMP3) in patients with Sorsby’s fundus dystrophy. Nat. Genet. 1994, 8, 352–356. [Google Scholar] [CrossRef] [PubMed]
- Raoul, W.; Auvynet, C.; Camelo, S.; Guillonneau, X.; Feumi, C.; Combadière, C.; Sennlaub, F. CCL2/CCR2 and CX3CL1/CX3CR1 chemokine axes and their possible involvement in age-related macular degeneration. J. Neuroinflamm. 2010, 7, 87. [Google Scholar] [CrossRef] [PubMed]
- Jonas, J.B.; Tao, Y.; Neumaier, M.; Findeisen, P. Monocyte Chemoattractant Protein 1, Intercellular Adhesion Molecule 1, and Vascular Cell Adhesion Molecule 1 in Exudative Age-Related Macular Degeneration. Arch. Ophthalmol. 2010, 128, 1281–1286. [Google Scholar] [CrossRef] [PubMed]
- Ricci, F.; Staurenghi, G.; Lepre, T.; Missiroli, F.; Zampatti, S.; Cascella, R.; Borgiani, P.; Marsella, L.T.; Eandi, C.M.; Cusumano, A.; et al. Haplotypes in IL-8 Gene Are Associated to Age-Related Macular Degeneration: A Case-Control Study. PLoS ONE 2013, 8, e66978. [Google Scholar] [CrossRef] [PubMed]
- Al-Ani, A.; Toms, D.; Kondro, D.; Thundathil, J.; Yü, Y.; Ungrin, M. Oxygenation in cell culture: Critical parameters for reproducibility are routinely not reported. PLoS ONE 2018, 13, e0204269. [Google Scholar] [CrossRef] [PubMed]
- Calton, M.A.; Beaulieu, M.O.; Benchorin, G.; Vollrath, D. Method for measuring extracellular flux from intact polarized epithelial monolayers. Mol. Vis. 2018, 24, 425–433. [Google Scholar]
- Liu, X.; Xie, J.; Liu, Z.; Gong, Q.; Tian, R.; Su, G.-F. Identification and validation of reference genes for quantitative RT-PCR analysis of retinal pigment epithelium cells under hypoxia and/or hyperglycemia. Gene 2016, 580, 41–46. [Google Scholar] [CrossRef]
- Ren, S.; Zhang, F.; Li, C.; Jia, C.; Li, S.; Xi, H.; Zhang, H.; Yang, L.; Wang, Y.-Q. Selection of housekeeping genes for use in quantitative reverse transcription PCR assays on the murine cornea. Mol. Vis. 2010, 16, 1076–1086. [Google Scholar]
- Maruotti, J.; Sripathi, S.R.; Bharti, K.; Fuller, J.; Wahlin, K.J.; Ranganathan, V.; Sluch, V.M.; Berlinicke, C.A.; Davis, J.; Kim, C.; et al. Small-Molecule–Directed, efficient generation of retinal pigment epithelium from human pluripotent stem cells. Proc. Natl. Acad. Sci. USA 2015, 112, 10950–10955. [Google Scholar] [CrossRef]
- R Core Team. R: A Language and Environment for Statistical Computing. v.3.5.1; R Core Team: Vienna, Austria, 2018. [Google Scholar]
- Geiger, M.; Wahlmüller, F.; Furtmüller, M. The Serpin Family; Springer International Publishing: Cham, Switzerland, 2015. [Google Scholar]
- Hochmann, S.; Kaslin, J.; Hans, S.; Weber, A.; Machate, A.; Geffarth, M.; Funk, R.H.W.; Brand, M. Fgf Signaling is Required for Photoreceptor Maintenance in the Adult Zebrafish Retina. PLoS ONE 2012, 7, e30365. [Google Scholar] [CrossRef] [PubMed]
- Hall, M.O.; Obin, M.S.; Prieto, A.L.; Burgess, B.L.; Abrams, T.A. Gas6 Binding to Photoreceptor Outer Segments Requires γ-Carboxyglutamic Acid (Gla) and Ca2+ and is Required for OS Phagocytosis by RPE Cells in vitro. Exp. Eye Res. 2002, 75, 391–400. [Google Scholar] [CrossRef] [PubMed]
- Hettich, C.; Wilker, S.; Mentlein, R.; Lucius, R.; Roider, J.; Klettner, A. The retinal pigment epithelium (RPE) induces FasL and reduces iNOS and Cox2 in primary monocytes. Graefe’s Arch. Clin. Exp. Ophthalmol. 2014, 252, 1747–1754. [Google Scholar] [CrossRef] [PubMed]
- Ruiz, A.; Brett, P.; Bok, D. TIMP-3 Is Expressed in the Human Retinal Pigment Epithelium. Biochem. Biophys. Res. Commun. 1996, 226, 467–474. [Google Scholar] [CrossRef] [PubMed]
- Campochiaro, A.P.; Hackett, S.F.; Vinores, S.A.; Freund, J.; Csaky, C.; LaRochelle, W.; Henderer, J.; Johnson, M.; Rodriguez, I.R.; Friedman, Z. Platelet-Derived growth factor is an autocrine growth stimulator in retinal pigmented epithelial cells. J. Cell Sci. 1994, 107, 2459–2469. [Google Scholar]
- Mori, K.; Gehlbach, P.; Ando, A.; Dyer, G.; Lipinsky, E.; Chaudhry, A.G.; Hackett, S.F.; Campochiaro, P.A. Retina-Specific expression of PDGF-B versus PDGF-A: Vascular versus nonvascular proliferative retinopathy. Investig. Ophthalmol. Vis. Sci. 2002, 43, 2001–2006. [Google Scholar]
- Gogat, K.; Le Gat, L.; Berghe, L.V.D.; Marchant, D.; Kobetz, A.; Gadin, S.; Gasser, B.; Abitbol, M.; Menasche, M. VEGF and KDR gene expression during human embryonic and fetal eye development. Investig. Opthalmol. Vis. Sci. 2004, 45, 7–14. [Google Scholar] [CrossRef]
- LaVail, M.M.; Ash, J.D.; Anderson, R.E.; Hollyfield, J.G.; Grimm, C. Retinal Degenerative Diseases; Springer International Publishing: Cham, Switzerland, 2012. [Google Scholar]
- Chen, H.; Liu, B.; Lukas, T.J.; Neufeld, A.H. The Aged Retinal Pigment Epithelium/Choroid: A Potential Substratum for the Pathogenesis of Age-Related Macular Degeneration. PLoS ONE 2008, 3, e2339. [Google Scholar] [CrossRef]
- Kim, Y.H.; He, S.; Kase, S.; Kitamura, M.; Ryan, S.J.; Hinton, D.R. Regulated secretion of complement factor H by RPE and its role in RPE migration. Graefe’s Arch. Clin. Exp. Ophthalmol. 2009, 247, 651–659. [Google Scholar] [CrossRef]
- Hägglund, A.-C.; Dahl, L.; Carlsson, L. Lhx2 Is Required for Patterning and Expansion of a Distinct Progenitor Cell Population Committed to Eye Development. PLoS ONE 2011, 6, e23387. [Google Scholar] [CrossRef]
- Masuda, T.; Wahlin, K.; Wan, J.; Hu, J.; Maruotti, J.; Yang, X.; Iacovelli, J.; Wolkow, N.; Kist, R.; Dunaief, J.L.; et al. Transcription Factor SOX9 Plays a Key Role in the Regulation of Visual Cycle Gene Expression in the Retinal Pigment Epithelium. J. Boil. Chem. 2014, 289, 12908–12921. [Google Scholar] [CrossRef] [PubMed]
- Strunnikova, N.V.; Maminishkis, A.; Barb, J.J.; Wang, F.; Zhi, C.; Sergeev, Y.; Chen, W.; Edwards, A.O.; Stambolian, D.; Abecasis, G.R.; et al. Transcriptome analysis and molecular signature of human retinal pigment epithelium. Hum. Mol. Genet. 2010, 19, 2468–2486. [Google Scholar] [CrossRef] [PubMed]
- Kopplin, L.J.; Igo, J.R.P.; Wang, Y.; Sivakumaran, A.T.; Hagstrom, A.S.; Peachey, N.S.; Francis, P.J.; Klein, M.L.; SanGiovanni, J.P.; Chew, E.Y.; et al. Genome-Wide association identifies SKIV2L and MYRIP as protective factors for age-related macular degeneration. Genes Immun. 2010, 11, 609–621. [Google Scholar] [CrossRef] [PubMed]





© 2020 by the authors. Licensee MDPI, Basel, Switzerland. This article is an open access article distributed under the terms and conditions of the Creative Commons Attribution (CC BY) license (http://creativecommons.org/licenses/by/4.0/).
Share and Cite
Al-Ani, A.; Sunba, S.; Hafeez, B.; Toms, D.; Ungrin, M. In Vitro Maturation of Retinal Pigment Epithelium Is Essential for Maintaining High Expression of Key Functional Genes. Int. J. Mol. Sci. 2020, 21, 6066. https://doi.org/10.3390/ijms21176066
Al-Ani A, Sunba S, Hafeez B, Toms D, Ungrin M. In Vitro Maturation of Retinal Pigment Epithelium Is Essential for Maintaining High Expression of Key Functional Genes. International Journal of Molecular Sciences. 2020; 21(17):6066. https://doi.org/10.3390/ijms21176066
Chicago/Turabian StyleAl-Ani, Abdullah, Saud Sunba, Bilal Hafeez, Derek Toms, and Mark Ungrin. 2020. "In Vitro Maturation of Retinal Pigment Epithelium Is Essential for Maintaining High Expression of Key Functional Genes" International Journal of Molecular Sciences 21, no. 17: 6066. https://doi.org/10.3390/ijms21176066
APA StyleAl-Ani, A., Sunba, S., Hafeez, B., Toms, D., & Ungrin, M. (2020). In Vitro Maturation of Retinal Pigment Epithelium Is Essential for Maintaining High Expression of Key Functional Genes. International Journal of Molecular Sciences, 21(17), 6066. https://doi.org/10.3390/ijms21176066
 
        


 
       