Reciprocal Dysregulation of MiR-146b and MiR-451 Contributes in Malignant Phenotype of Follicular Thyroid Tumor
Abstract
1. Introduction
2. Results
2.1. Selection of Candidate MiRNAs
2.2. Construction and Validation of Two-Tailed RT-qPCR MiRNA Analysis Systems
2.3. Validation of Expression Alterations of Selected MiRNAs by Spec-TT RT-qPCR System
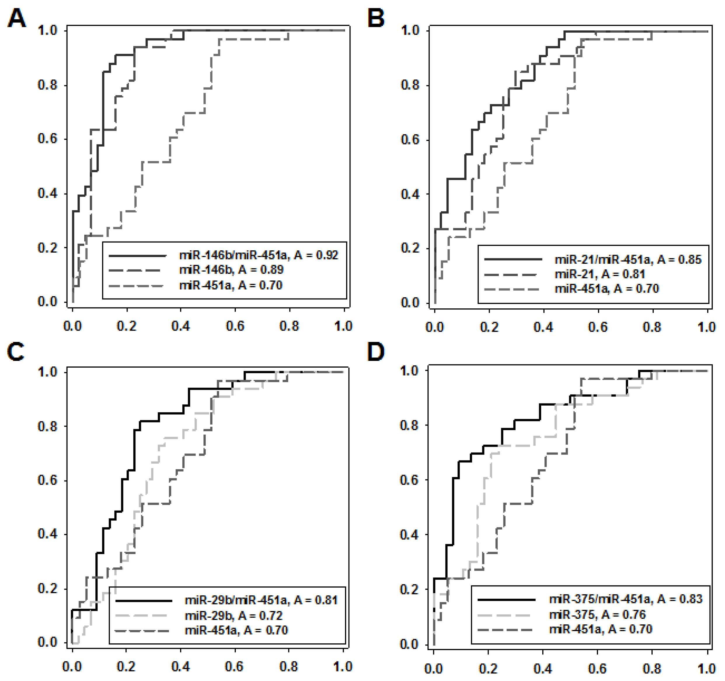
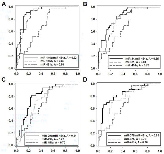
2.4. Evaluation of Diagnostic Potency of MiRNA Pairs with Reciprocal Expression Dysregulation
2.5. Systems Biology Assessment of MiRNA Pairs Opposite Dis-Regulation
3. Discussion
4. Materials and Methods
4.1. Patients and Samples
4.2. RNA Isolation
4.3. RT-QPCR
4.4. Estimation of Reciprocally Dysregulated MiRNAs Pair Diagnostic Value
4.5. Molecular Pathways Evaluation and Pathway Activation Analysis
4.6. MicroRNA Target Databases and MiRImpact Settings
Supplementary Materials
Author Contributions
Funding
Conflicts of Interest
Abbreviations
| FTC | Follicular thyroid cancer |
| miFTC | Minimally invasive follicular thyroid cancer |
| wiFTC | Widely invasive follicular thyroid cancer |
| FA | Follicular adenoma |
| Spec-TT | Reverse Transcription system with miRNA-specific two-tailed primer |
| Spec-SL | Reverse Transcription system with miRNA-specific spem-looped primer |
| Uni-Elong | Reverse Transcription system with elongation and universal primer |
References
- Sobrinho-Simões, M.; Eloy, C.; Magalhães, J.; Lobo, C.; Amaro, T. Follicular thyroid carcinoma. Mod. Pathol. 2011, 24, S10–S18. [Google Scholar] [CrossRef] [PubMed]
- Daniels, G.H. Follicular Thyroid Carcinoma: A Perspective. Thyroid 2018, 28, 1229–1242. [Google Scholar] [CrossRef] [PubMed]
- Cibas, E.S.; Ali, S.Z. The 2017 Bethesda System for Reporting Thyroid Cytopathology. Thyroid 2017, 27, 1341–1346. [Google Scholar] [CrossRef] [PubMed]
- Lloyd, R.V.; Osamura, Y.R.; Kloppel, G.; Rosai, J. WHO Classification of Tumours of Endocrine Organs; WHO Press: Geneva, Switzerland, 2017. [Google Scholar]
- Lang, B.H.-H.; Shek, T.W.H.; Wu, A.L.H.; Wan, K.Y. The total number of tissue blocks per centimetre of tumor significantly correlated with the risk of distant metastasis in patients with minimally invasive follicular thyroid carcinoma. Endocrine 2016, 55, 496–502. [Google Scholar] [CrossRef] [PubMed]
- Franc, B.; De La Salmonière, P.; Lange, F.; Hoang, C.; Louvel, A.; De Roquancourt, A.; Vildé, F.; Hejblum, G.; Chevret, S.; Chastang, C. Interobserver and intraobserver reproducibility in the histopathology of follicular thyroid carcinoma. Hum. Pathol. 2003, 34, 1092–1100. [Google Scholar] [CrossRef]
- Hermann, U.P.D.M.; Tonninger, K.; Kober, F.; Furtlehner, E.-M.; Schultheiß, A.; Neuhold, N. Minimal-invasives follikuläres Schilddrüsenkarzinom. Der Chir. 2010, 81, 627–635. [Google Scholar] [CrossRef]
- Nikiforov, Y.E.; Nikiforova, M.N. Molecular genetics and diagnosis of thyroid cancer. Nat. Rev. Endocrinol. 2011, 7, 569–580. [Google Scholar] [CrossRef]
- Nikiforov, Y.E. Molecular diagnostics of thyroid tumors. Arch. Pathol. Lab. Med. 2011, 135, 569–577. [Google Scholar]
- Topf, M.C.; Wang, Z.-X.; Tuluc, M.; Pribitkin, E.A. TERT, HRAS, and EIF1AX Mutations in a Patient with Follicular Adenoma. Thyroid 2018, 28, 815–817. [Google Scholar] [CrossRef]
- Duan, H.; Liu, X.; Ren, X.; Zhang, H.; Wu, H.; Liang, Z. Mutation profiles of follicular thyroid tumors by targeted sequencing. Diagn. Pathol. 2019, 14, 39. [Google Scholar] [CrossRef]
- Jung, C.K.; Kim, Y.; Jeon, S.; Jo, K.; Lee, S.; Bae, J.S. Clinical utility of EZH1 mutations in the diagnosis of follicular-patterned thyroid tumors. Hum. Pathol. 2018, 81, 9–17. [Google Scholar] [CrossRef] [PubMed]
- Nikiforov, Y.E. Role of molecular markers in thyroid nodule management: Then and now. Endocr. Pract. 2017, 23, 979–988. [Google Scholar] [CrossRef] [PubMed]
- Dettmer, M.S.; Perren, A.; Moch, H.; Komminoth, P.; Nikiforov, Y.E.; Nikiforova, M.N. MicroRNA profile of poorly differentiated thyroid carcinomas: New diagnostic and prognostic insights. J. Mol. Endocrinol. 2014, 52, 181–189. [Google Scholar] [CrossRef] [PubMed]
- Dettmer, M.S.; Vogetseder, A.; Durso, M.B.; Moch, H.; Komminoth, P.; Perren, A.; Nikiforov, Y.E.; Nikiforova, M.N. MicroRNA expression array identifies novel diagnostic markers for conventional and oncocytic follicular thyroid carcinomas. J. Clin. Endocrinol. Metab. 2012, 98, E1–E7. [Google Scholar] [CrossRef]
- Rosignolo, F.; Memeo, L.; Monzani, F.; Colarossi, C.; Pecce, V.; Verrienti, A.; Durante, C.; Grani, G.; Martinetti, D.; Russo, D.; et al. MicroRNA-based molecular classification of papillary thyroid carcinoma. Int. J. Oncol. 2017, 50, 1767–1777. [Google Scholar] [CrossRef]
- Jahanbani, I.; Al-Abdallah, A.; Ali, R.H.; Al-Brahim, N.; Mojiminiyi, O. Discriminatory miRNAs for the Management of Papillary Thyroid Carcinoma and Noninvasive Follicular Thyroid Neoplasms with Papillary-Like Nuclear Features. Thyroid 2018, 28, 319–327. [Google Scholar] [CrossRef]
- Lassalle, S.; Hofman, V.; Ilie, M.; Bonnetaud, C.; Puissegur, M.-P.; Brest, P.; Loubatier, C.; Guevara, N.; Bordone, O.; Cardinaud, B.; et al. Can the microRNA signature distinguish between thyroid tumors of uncertain malignant potential and other well-differentiated tumors of the thyroid gland? Endocr. Relat. Cancer 2011, 18, 579–594. [Google Scholar] [CrossRef]
- Rossing, M. Classification of follicular cell-derived thyroid cancer by global RNA profiling. J. Mol. Endocrinol. 2013, 50, R39–R51. [Google Scholar] [CrossRef]
- Stokowy, T.; Wojtas, B.; Krajewska, J.; Stobiecka, E.; Dralle, H.; Musholt, T.; Hauptmann, S.; Lange, D.; Hegedüs, L.; Jarzab, B.; et al. A two miRNA classifier differentiates follicular thyroid carcinomas from follicular thyroid adenomas. Mol. Cell. Endocrinol. 2015, 399, 43–49. [Google Scholar] [CrossRef]
- Stokowy, T.; Wojtas, B.; Jarzab, B.; Krohn, K.; Fredman, D.; Dralle, H.; Musholt, T.; Hauptmann, S.; Lange, D.; Hegedüs, L.; et al. Two-miRNA classifiers differentiate mutation-negative follicular thyroid carcinomas and follicular thyroid adenomas in fine needle aspirations with high specificity. Endocrine 2016, 54, 440–447. [Google Scholar] [CrossRef]
- Androvic, P.; Valihrach, L.; Elling, J.; Sjoback, R.; Kubista, M. Two-tailed RT-qPCR: A novel method for highly accurate miRNA quantification. Nucleic Acids Res. 2017, 45, e144. [Google Scholar] [CrossRef] [PubMed]
- Beneš, V.; Castoldi, M. Expression profiling of microRNA using real-time quantitative PCR, how to use it and what is available. Methods 2010, 50, 244–249. [Google Scholar] [CrossRef] [PubMed]
- Ivanov, M.K.; Titov, S.E.; Glushkov, S.A.; Dzyubenko, V.V.; Malek, A.V.; Arkhangelskaya, P.A.; Samsonov, R.B.; Mikhetko, A.A.; Bakhidze, E.V.; Berlev, I.V.; et al. Detection of high-grade neoplasia in air-dried cervical PAP smears by a microRNA-based classifier. Oncol. Rep. 2018, 39, 1099–1111. [Google Scholar] [CrossRef] [PubMed]
- Artcibasova, A.; Korzinkin, M.B.; Sorokin, M.I.; Shegay, P.V.; Zhavoronkov, A.A.; Gaifullin, N.M.; Alekseev, B.Y.; Vorobyev, N.V.; Kuzmin, D.V.; Kaprin, A.D.; et al. MiRImpact, a new bioinformatic method using complete microRNA expression profiles to assess their overall influence on the activity of intracellular molecular pathways. Cell Cycle 2016, 15, 689–698. [Google Scholar] [CrossRef] [PubMed]
- Titov, S.E.; Demenkov, P.S.; Ivanov, M.K.; Malakhina, E.S.; Poloz, T.L.; Tsivlikova, E.V.; Ganzha, M.S.; Shevchenko, S.P.; Gulyaeva, L.; Kolesnikov, N.N. Selection and validation of miRNAs as normalizers for profiling expression of microRNAs isolated from thyroid fine needle aspiration smears. Oncol. Rep. 2016, 36, 2501–2510. [Google Scholar] [CrossRef]
- Androvic, P.; Romanyuk, N.; Urdzikova-Machova, L.; Rohlova, E.; Kubista, M.; Valihrach, L. Two-tailed RT-qPCR panel for quality control of circulating microRNA studies. Sci. Rep. 2019. [Google Scholar] [CrossRef]
- Chen, C.; Ridzon, D.A.; Broomer, A.J.; Zhou, Z.; Lee, D.H.; Nguyen, J.T.; Barbisin, M.; Xu, N.L.; Mahuvakar, V.R.; Andersen, M.R.; et al. Real-time quantification of microRNAs by stem-loop RT-PCR. Nucleic Acids Res. 2005, 33, e179. [Google Scholar] [CrossRef]
- Beneš, V.; Collier, P.; Kordes, C.; Stolte, J.; Rausch, T.; Muckentaler, M.U.; Häussinger, D.; Castoldi, M. Identification of cytokine-induced modulation of microRNA expression and secretion as measured by a novel microRNA specific qPCR assay. Sci. Rep. 2015, 5, 11590. [Google Scholar] [CrossRef]
- Malek, A.; Győrffy, B.; Catapano, C.V.; Schäfer, R. Selection of optimal combinations of target genes for therapeutic multi-gene silencing based on miRNA co-regulation. Cancer Gene Ther. 2013, 20, 326–329. [Google Scholar] [CrossRef][Green Version]
- Agrawal, N.; Akbani, R.; Aksoy, B.A.; Ally, A.; Arachchi, H.; Asa, S.L.; Auman, J.T.; Balasundaram, M.; Balu, S.; Baylin, S.B.; et al. Integrated Genomic Characterization of Papillary Thyroid Carcinoma. Cell 2014, 159, 676–690. [Google Scholar] [CrossRef]
- Reddi, H.V.; Madde, P.; Milosevic, D.; Hackbarth, J.S.; Algeciras-Schimnich, A.; McIver, B.; Grebe, S.K.G.; Eberhardt, L.N. The Putative PAX8/PPAR Fusion Oncoprotein Exhibits Partial Tumor Suppressor Activity through Up-Regulation of Micro-RNA-122 and Dominant-Negative PPAR Activity. Genes Cancer 2011, 2, 46–55. [Google Scholar] [CrossRef] [PubMed]
- Rossing, M.; Borup, R.; Henao, R.; Winther, O.; Vikeså, J.; Niazi, O.; Godballe, C.; Krogdahl, A.; Glud, M.; Hjort-Sørensen, C.; et al. Down-regulation of microRNAs controlling tumourigenic factors in follicular thyroid carcinoma. J. Mol. Endocrinol. 2011, 48, 11–23. [Google Scholar] [CrossRef] [PubMed]
- Hossain, A.; Asa, T.A.; Rahman, M.; Uddin, S.; Moustafa, A.A.; Quinn, J.M.; Moni, M.A. Network-Based Genetic Profiling Reveals Cellular Pathway Differences between Follicular Thyroid Carcinoma and Follicular Thyroid Adenoma. Int. J. Environ. Res. Public Health 2020, 17, 1373. [Google Scholar] [CrossRef] [PubMed]
- Rossi, E.D.; Bizzarro, T.; Martini, M.; Bd, S.C.; Sarti, D.; Cenci, T.; Bilotta, M.; Fadda, G.; LaRocca, L.M. The evaluation of miRNAs on thyroid FNAC: The promising role of miR-375 in follicular neoplasms. Endocrinne 2016, 54, 723–732. [Google Scholar] [CrossRef] [PubMed]
- Kolesnikov, N.N.; Titov, S.E.; Veryaskina, Y.A.; Vladimirova, A.V.; Samsonov, R.B.; Artem’Eva, A.S.; Novik, V.I.; Bershteyn, L.M.; Zhimulev, I.F.; Malek, A.V. Improvement of accuracy and diagnostic significance of breast tumor fine-needle aspiration biopsy by miRNA analysis of material isolated from cytological smears. Adv. Mol. Oncol. 2016, 3, 44–52. [Google Scholar] [CrossRef]
- Wojtas, B.; Ferraz, C.; Stokowy, T.; Hauptmann, S.; Lange, D.; Dralle, H.; Musholt, T.J.; Jarzab, B.; Paschke, R.; Eszlinger, M. Differential miRNA expression defines migration and reduced apoptosis in follicular thyroid carcinomas. Mol. Cell. Endocrinol. 2014, 388, 1–9. [Google Scholar] [CrossRef]
- Chou, C.-K.; Liu, R.-T.; Kang, H.-Y. MicroRNA-146b: A Novel Biomarker and Therapeutic Target for Human Papillary Thyroid Cancer. Int. J. Mol. Sci. 2017, 18, 636. [Google Scholar] [CrossRef]
- Yang, W.; Zhang, C.; Li, Y.; Jin, A.; Sun, Y.; Yang, X.; Wang, B.; Guo, W. Phosphorylase Kinase β Represents a Novel Prognostic Biomarker and Inhibits Malignant Phenotypes of Liver Cancer Cell. Int. J. Boil. Sci. 2019, 15, 2596–2606. [Google Scholar] [CrossRef]
- Wang, G.; Shen, W.; Liu, C.-Y.; Liu, Y.; Wu, T.; Cui, X.; Yu, T.; Zhu, Y.; Song, J.; Du, P.; et al. Phosphorylase kinase β affects colorectal cancer cell growth and represents a novel prognostic biomarker. J. Cancer Res. Clin. Oncol. 2017, 143, 971–980. [Google Scholar] [CrossRef]
- Nikolic, A.; Ristanović, M.; Živaljević, V.; Rankov, A.D.; Radojkovic, A.; Paunovic, I. SMAD4 gene promoter mutations in patients with thyroid tumors. Exp. Mol. Pathol. 2015, 99, 100–103. [Google Scholar] [CrossRef]
- Yang, X. Smad4-mediated TGF-β signaling in tumorigenesis. Int. J. Boil. Sci. 2010, 1–8. [Google Scholar] [CrossRef] [PubMed]
- Wang, L.; Bo, X.; Zheng, Q.; Ge, W.; Liu, Y.; Li, B. Paired box 8 suppresses tumor angiogenesis and metastasis in gastric cancer through repression of FOXM1 via induction of microRNA-612. J. Exp. Clin. Cancer Res. 2018, 37, 159. [Google Scholar] [CrossRef] [PubMed]
- Qiu, W.; Yang, Z.; Fan, Y.; Zheng, Q. ZNRF3 is downregulated in papillary thyroid carcinoma and suppresses the proliferation and invasion of papillary thyroid cancer cells. Tumor Boil. 2016, 37, 12665–12672. [Google Scholar] [CrossRef] [PubMed]
- Ma, W.; Zhao, X.; Liang, L.; Wang, G.; Li, Y.; Miao, X.; Zhao, Y. miR-146a and miR-146b promote proliferation, migration and invasion of follicular thyroid carcinoma via inhibition of ST8SIA4. Oncotarget 2017, 8, 28028–28041. [Google Scholar] [CrossRef]
- Wei, W.; Yan, T.; Yuhong, G.; Baoyu, L.; Gang, D. MicroRNA-451 functions as a tumor suppressor in thyroid cancer for multiple antitumor effects via directly targeting MIF. Int. J. Clin. Exp. Med. 2016, 9, 1039–1050. [Google Scholar]
- Wang, G.; Yao, L.; Yang, T.; Guo, L.; Gu, S.; Liu, J.; Yang, K. MiR-451 suppresses the growth, migration, and invasion of prostate cancer cells by targeting macrophage migration inhibitory factor. Transl. Cancer Res. 2019, 8, 647–654. [Google Scholar] [CrossRef]
- Liu, Y.; Yang, H.-Z.; Jiang, Y.-J.; Xu, L.-Q. miR-451a is downregulated and targets PSMB8 in prostate cancer. Kaohsiung J. Med. Sci. 2020, 36, 494–500. [Google Scholar] [CrossRef]
- Fan, X.; Zhao, Y. miR-451a inhibits cancer growth, epithelial-mesenchymal transition and induces apoptosis in papillary thyroid cancer by targeting PSMB8. J. Cell. Mol. Med. 2019, 23, 8067–8075. [Google Scholar] [CrossRef]
- Wang, W.; Zhang, L.; Wang, Y.; Ding, Y.; Chen, T.; Wang, Y.; Wang, H.; Li, Y.; Duan, K.; Chen, S.; et al. Involvement of miR-451 in resistance to paclitaxel by regulating YWHAZ in breast cancer. Cell Death Dis. 2017, 8, e3071. [Google Scholar] [CrossRef]
- Wei, G.-Y.; Hu, M.; Zhao, L.; Guo, W.-S. MiR-451a suppresses cell proliferation, metastasis and EMT via targeting YWHAZ in hepatocellular carcinoma. Eur. Rev. Med. Pharmacol. Sci. 2019, 23, 5158–5167. [Google Scholar]
- Gan, Y.; Ye, F.; He, X.-X. The role of YWHAZ in cancer: A maze of opportunities and challenges. J. Cancer 2020, 11, 2252–2264. [Google Scholar] [CrossRef] [PubMed]
- Weber, R.; Bertoni, A.; Bessestil, L.W.; Brasil, B.M.D.A.A.; Brum, L.S.; Furlanetto, T. Validation of Reference Genes for Normalization Gene Expression in Reverse Transcription Quantitative PCR in Human Normal Thyroid and Goiter Tissue. BioMed Res. Int. 2014, 2014, 1–5. [Google Scholar] [CrossRef] [PubMed]
- Zolotovskaia, M.A.; Tkachev, V.; Seryakov, A.P.; Kuzmin, D.; Kamashev, D.E.; Sorokin, M.; Roumiantsev, S.A.; Buzdin, A. Mutation Enrichment and Transcriptomic Activation Signatures of 419 Molecular Pathways in Cancer. Cancers 2020, 12, 271. [Google Scholar] [CrossRef] [PubMed]
- Borisov, N.; Sorokin, M.; Garazha, A.; Buzdin, A. Quantitation of Molecular Pathway Activation Using RNA Sequencing Data. Methods Mol. Biol. 2020, 2063, 189–206. [Google Scholar] [CrossRef] [PubMed]
- Rennie, W.; Kanoria, S.; Liu, C.; Mallick, B.; Long, D.; Wolenc, A.; Carmack, C.S.; Lu, J.; Ding, Y. STarMirDB: A database of microRNA binding sites. RNA Boil. 2016, 13, 554–560. [Google Scholar] [CrossRef]
- Karagkouni, D.; Paraskevopoulou, M.D.; Chatzopoulos, S.; Vlachos, I.S.; Tastsoglou, S.; Kanellos, I.; Papadimitriou, D.; Kavakiotis, I.; Maniou, S.; Skoufos, G.; et al. DIANA-TarBase v8: A decade-long collection of experimentally supported miRNA-gene interactions. Nucleic Acids Res. 2018, 46, D239–D245. [Google Scholar] [CrossRef]
- Buzdin, A.A.; Artcibasova, A.V.; Fedorova, N.F.; Suntsova, M.V.; Garazha, A.V.; Sorokin, M.; Allina, D.; Shalatonin, M.; Borisov, N.M.; Zhavoronkov, A.A.; et al. Early stage of cytomegalovirus infection suppresses host microRNA expression regulation in human fibroblasts. Cell Cycle 2016, 15, 3378–3389. [Google Scholar] [CrossRef]
- Sorokin, M.; Kholodenko, R.V.; Suntsova, M.V.; Malakhova, G.; Garazha, A.; Kholodenko, I.; Poddubskaya, E.; Lantsov, D.; Stilidi, I.; Arhiri, P.; et al. Oncobox Bioinformatical Platform for Selecting Potentially Effective Combinations of Target Cancer Drugs Using High-Throughput Gene Expression Data. Cancers 2018, 10, 365. [Google Scholar] [CrossRef]





| Synthetic MiRNA | Biological RNA Samples | ||
|---|---|---|---|
| miRNA | Plateau (Ct) | Minimal MiRNA Concentration Detected (Molecules/Reaction) | Interval (Ct) |
| miR-21 | From 31.8 | 107 | From 20.3 to 31.1 |
| miR-29b | From 32.8 | 104 | From 20.3 to 24.9 |
| miR-30a | From 28.5 | 106 | From 18.9 to 24.4 |
| miR-146b | From 24.9 | 107 | From 20.3 to 24.6 |
| miR-375 | From 30.1 | 107 | From 25.9 to 39.8 |
| miR-451 | From 33.4 | 106 | From 17.9 to 23.8 |
| MiR-29b | MiR-375 | MiR-451 | MiR-146b | MiR-21 | MiR-30a | MiR-204 | |
|---|---|---|---|---|---|---|---|
| Goiter | 81.51 | 0.34 | 403.78 | 70.33 | 165.76 | 171.04 | 0.16 |
| SEM | 24.70 | 0.10 | 88.31 | 23.12 | 27.85 | 42.97 | 0.04 |
| FA | 69.24 | 0.30 | 30.85 | 75.07 | 62.88 | 175.93 | 1.42 |
| SEM | 8.67 | 0.11 | 66.15 | 10.54 | 11.19 | 24.54 | 0.44 |
| miFTC | 125.66 | 5.17 | 161.95 | 1960.68 | 263.69 | 495.07 | 119.09 |
| SEM | 19.20 | 2.23 | 41.63 | 484.85 | 33.90 | 84.44 | 112.97 |
| wiFTC | 239.80 | 0.44 | 65.09 | 1344.30 | 114.20 | 635.06 | 60.67 |
| SEM | 51.42 | 0.29 | 16.63 | 835.22 | 18.14 | 362.06 | 44.70 |
| MiR146b/MiR-451a | MiR375/MiR-451a | MiR21/MiR-451a | MiR30a/MiR-451a | miR29b/MiR-451a | ||
|---|---|---|---|---|---|---|
| SpecTT-RT-qPCR | Experimentally observed miRNA expression alteration (fold change between FA and FTC groups) | 22.01/0.37 | 9.35/0.37 | 3.00/0.37 | 3.21/0.37 | 2.64/0.37 |
| MiRImpact method | PTEN Pathway Adhesion or Migration | 3.16 | 2.44 | - | 1.12 | - |
| PTEN Pathway Migration | 3.16 | - | - | - | - | |
| KEGG Gap junction Main Pathway | 3.16 | 1.60 | 1.23 | - | - | |
| KEGG Focal adhesion Main Pathway | 2.32 | - | - | - | - | |
| KEGG Adherens junction Main Pathway | 2.44 | 1.23 | - | - | ||
| KEGG Regulation of actin cytoskeleton Main Pathway | 3.16 | - | 1.23 | 1.12 | - | |
| ROC analysis | Diagnostic robustness, FA vs. FTC discrimination (AUC) | 0.91 | 0.88 | 0.88 | 0.73 | 0.7 |
| Sensitivity (%) | 84.85 | 78.79 | 72.33 | 78.79 | 81.82 | |
| Specificity (%) | 86.36 | 75 | 79.55 | 75 | 75 |
| Gender (M/F) | Age Averaged | Number | |
|---|---|---|---|
| Goiter | 3/27 | 63/51 | 30 |
| Follicular adenoma (FA) | 5/28 | 52/54 | 33 |
| FTC minimally invasive (miFTC) | 4/30 | 44/47 | 34 |
| FTC widely invasive (wiFTC) | 6/11 | 64/48 | 17 |
© 2020 by the authors. Licensee MDPI, Basel, Switzerland. This article is an open access article distributed under the terms and conditions of the Creative Commons Attribution (CC BY) license (http://creativecommons.org/licenses/by/4.0/).
Share and Cite
Knyazeva, M.; Korobkina, E.; Karizky, A.; Sorokin, M.; Buzdin, A.; Vorobyev, S.; Malek, A. Reciprocal Dysregulation of MiR-146b and MiR-451 Contributes in Malignant Phenotype of Follicular Thyroid Tumor. Int. J. Mol. Sci. 2020, 21, 5950. https://doi.org/10.3390/ijms21175950
Knyazeva M, Korobkina E, Karizky A, Sorokin M, Buzdin A, Vorobyev S, Malek A. Reciprocal Dysregulation of MiR-146b and MiR-451 Contributes in Malignant Phenotype of Follicular Thyroid Tumor. International Journal of Molecular Sciences. 2020; 21(17):5950. https://doi.org/10.3390/ijms21175950
Chicago/Turabian StyleKnyazeva, Margarita, Ekaterina Korobkina, Alexey Karizky, Maxim Sorokin, Anton Buzdin, Sergey Vorobyev, and Anastasia Malek. 2020. "Reciprocal Dysregulation of MiR-146b and MiR-451 Contributes in Malignant Phenotype of Follicular Thyroid Tumor" International Journal of Molecular Sciences 21, no. 17: 5950. https://doi.org/10.3390/ijms21175950
APA StyleKnyazeva, M., Korobkina, E., Karizky, A., Sorokin, M., Buzdin, A., Vorobyev, S., & Malek, A. (2020). Reciprocal Dysregulation of MiR-146b and MiR-451 Contributes in Malignant Phenotype of Follicular Thyroid Tumor. International Journal of Molecular Sciences, 21(17), 5950. https://doi.org/10.3390/ijms21175950

