Hydrogel Emulsion with Encapsulated Safflower Oil Enriched with Açai Extract as a Novel Fat Substitute in Beef Burgers Subjected to Storage in Cold Conditions
Abstract
:1. Introduction
2. Results and Discussion
2.1. Effect of Encapsulated Safflower Oil Concentration on the Physical Characteristics of Emulsion Hydrogel
2.1.1. Texture and Rheological Analysis
2.1.2. SEM and FT-IR Analysis
2.1.3. Biochemical Analysis of Oil and Açai Extract
2.2. Main Study
2.2.1. TBARS Analysis
2.2.2. Color and pH Analysis
2.2.3. TPA Analysis
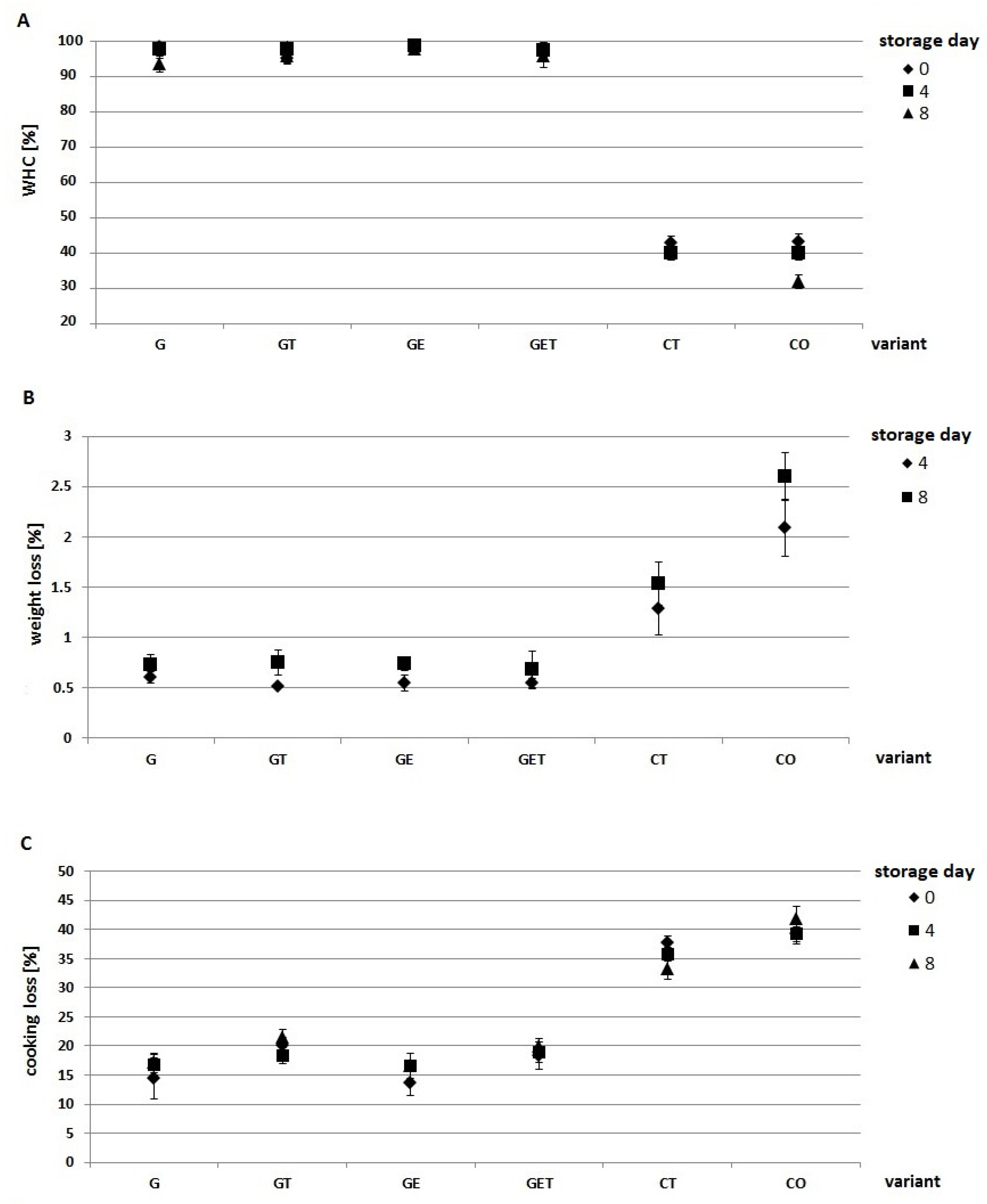
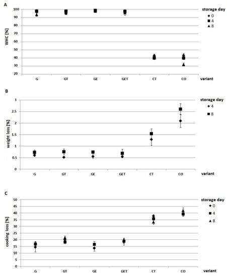
2.2.4. WHC Analysis, Weight Loss, and Cooking Loss Analysis
2.2.5. Analysis of the Volatile Compounds Profile
2.2.6. Analysis of Fatty Acid Profile and Nutritional Indexes AI, TI, and h/H
2.2.7. Analysis Correlation Coefficients among Color Parameters (L*, a*, b*, BI), Textural (Springiness, Chewiness, Cohesiveness, and Hardness), Cooking Loss, Weight Loss, Fatty Acid Profile (SFA, MUFA, and PUFA), WHC, pH, and TBARS in Raw and Grilled Burgers
3. Materials and Methods
3.1. Preliminary Studies
3.2. Beef Burgers Formation and Packaging
3.3. Rheology Analysis
3.4. Analysis of the Textural Parameters of Hydrogel Emulsion
3.5. Scanning Electron Microscope (SEM) Analysis
3.6. Fourier Transform Infrared Spectroscopy (FT-IR) Analysis
3.7. Water-Holding Capacity (WHC) Analysis
3.8. Color and pH Analysis
3.9. Weight Loss and Cooking Loss during Storage Analysis
3.10. Analysis of Total Phenolic Content (TPC) and Antioxidant Activity of the 2,2-Azinobis(3-ethylbenzothiazoline-6-suslfonic Acid (ABTS) and Ferric Reducing Antioxidant Power (FRAP)
3.10.1. Extraction Process
3.10.2. TPC Analysis
3.10.3. ABTS and FRAP Analyses
3.11. Thiobarbituric Acid Reactive Substances (TBARS) Analysis
3.12. Fatty Acid Profile Analysis, Thrombogenicity Index (Tl), Atherogenic Index (AI), and Hypocholesterolemic/Hypercholesterolemic (h/H) Ratio Analysis
3.13. Analysis of the Volatile Compounds Profile
3.14. Statistical Analysis
4. Conclusions
Author Contributions
Funding
Institutional Review Board Statement
Informed Consent Statement
Data Availability Statement
Conflicts of Interest
Sample Availability
References
- Domínguez, R.; Munekata, P.E.; Pateiro, M.; López-Fernández, O.; Lorenzo, J.M. Immobilization of oils using hydrogels as strategy to replace animal fats and improve the healthiness of meat products. Curr. Opin. Food Sci. 2021, 37, 135–144. [Google Scholar] [CrossRef]
- Bahmanyar, F.; Hosseini, S.M.; Mirmoghtadaie, L.; Shojaee-Aliabadi, S. Effects of replacing soy protein and bread crumb with quinoa and buckwheat flour in functional beef burger formulation. Meat Sci. 2020, 172, 108305. [Google Scholar] [CrossRef] [PubMed]
- Heck, R.T.; Vendruscolo, R.G.; Etchepare, M.D.A.; Cichoski, A.J.; de Menezes, C.R.; Barin, J.S.; Lorenzo, J.M.; Wagner, R.; Campagnol, P.C.B. Is it possible to produce a low-fat burger with a healthy n − 6/n − 3 PUFA ratio without affecting the technological and sensory properties? Meat Sci. 2017, 130, 16–25. [Google Scholar] [CrossRef] [PubMed]
- Jiménez-Colmenero, F.; Triki, M.; Herrero, A.M.; Rodríguez-Salas, L.; Ruiz-Capillas, C. Healthy oil combination stabilized in a konjac matrix as pork fat replacement in low-fat, PUFA-enriched, dry fermented sausages. LWT Food Sci. Technol. 2013, 51, 158–163. [Google Scholar] [CrossRef] [Green Version]
- Lorenzo, J.M.; Munekata, P.E.S.; Pateiro, M.; Campagnol, P.C.B.; Domínguez, R. Healthy Spanish salchichón enriched with encapsulated n − 3 long chain fatty acids in konjac glucomannan matrix. Food Res. Int. 2016, 89, 289–295. [Google Scholar] [CrossRef] [PubMed]
- Delgado-Pando, G.; Cofrades, S.; Ruiz-Capillas, C.; Triki, M.; Jiménez-Colmenero, F. Enriched n−3 PUFA/konjac gel low-fat pork liver pâté: Lipid oxidation, microbiological properties and biogenic amine formation during chilling storage. Meat Sci. 2012, 92, 762–767. [Google Scholar] [CrossRef]
- Melo, P.S.; Arrivetti, L.D.O.R.; de Alencar, S.M.; Skibsted, L.H. Antioxidative and prooxidative effects in food lipids and synergism with α-tocopherol of açaí seed extracts and grape rachis extracts. Food Chem. 2016, 213, 440–449. [Google Scholar] [CrossRef]
- Hanula, M.; Wyrwisz, J.; Moczkowska, M.; Horbańczuk, O.K.; Pogorzelska-Nowicka, E.; Wierzbicka, A. Optimization of Microwave and Ultrasound Extraction Methods of Açai Berries in Terms of Highest Content of Phenolic Compounds and Antioxidant Activity. Appl. Sci. 2020, 10, 8325. [Google Scholar] [CrossRef]
- Hautrive, T.P.; Piccolo, J.; Rodrigues, A.S.; Campagnol, P.C.B.; Kubota, E.H. Effect of fat replacement by chitosan and golden flaxseed flour (wholemeal and defatted) on the quality of hamburgers. LWT Food Sci. Technol. 2019, 102, 403–410. [Google Scholar] [CrossRef]
- Karakurt, G.; Özkaya, B.; Saka, I. Chemical composition and quality characteristics of cookies enriched with microfluidized flaxseed flour. LWT Food Sci. Technol. 2022, 154, 112773. [Google Scholar] [CrossRef]
- Zetzl, A.K.; Marangoni, A.G. Structured Emulsions and Edible Oleogels as Solutions to Trans Fat. Trans Fats Repl. Solut. 2014, 215–243. [Google Scholar] [CrossRef]
- Frolova, Y.; Sobolev, R.; Kochetkova, A. Influence of oil combinations on the structural properties of oleogels. E3S Web Conf. 2021, 285, 05009. [Google Scholar] [CrossRef]
- Cano, Y.; García-Zapateiro, L.A.; Zárate, Y. Emulsiones alimentarias del tipo aceite en agua preparadas con harina con alto contenido proteico a partir de cabezas de camarón (Penaeus vannamei). Ing. Investig. 2017, 37, 17–22. [Google Scholar] [CrossRef] [Green Version]
- Hourant, P.; Baetan, V.; Morales, M.T.; Meurens, M.; Aparicio, R. Oil and Fat Classifi cation by Selected Bands of Near-infrared Spectroscopy. Appl. Spectrosc. 2000, 54, 1168–1174. [Google Scholar] [CrossRef]
- Rohman, A.; Man, Y.B.C.; Yusof, F.M. The Use of FTIR Spectroscopy and Chemometrics for Rapid Authentication of Extra Virgin Olive Oil. J. Am. Oil Chem. Soc. 2014, 91, 207–213. [Google Scholar] [CrossRef]
- Si, H.; Cheong, L.-Z.; Huang, J.; Wang, X.; Zhang, H. Physical Properties of Soybean Oleogels and Oil Migration Evaluation in Model Praline System. J. Am. Oil Chem. Soc. 2016, 93, 1075–1084. [Google Scholar] [CrossRef]
- Mokhtar, S.M.; Eldeep, G.S.S. Impact of Mango Peel Extract on the Physicochemical Properties, Microbiological Stability and Sensory Characteristics of Beef Burgers During Cold Storage. Egypt. J. Food Sci. 2020, 48, 245–258. [Google Scholar] [CrossRef]
- Nimrouzi, M.; Ruyvaran, M.; Zamani, A.; Nasiri, K.; Akbari, A. Oil and extract of safflower seed improve fructose induced metabolic syndrome through modulating the homeostasis of trace elements, TNF-α and fatty acids metabolism. J. Ethnopharmacol. 2020, 254, 112721. [Google Scholar] [CrossRef]
- Rutkowska, J.; Antoniewska, A.; Baranowski, D.; Rasińska, E. Analiza profilu kwasów tłuszczowych wybranych olejów “nietypowych”. Bromat. Chem. Toksykol. 2016, 3, 385–389. [Google Scholar]
- Goyal, A.; Sharma, V.; Upadhyay, N.; Gill, S.; Sihag, M. Flax and flaxseed oil: An ancient medicine & modern functional food. J. Food Sci. Technol. 2014, 51, 1633–1653. [Google Scholar] [CrossRef] [Green Version]
- Alejandre, M.; Astiasarán, I.; Ansorena, D.; Barbut, S. Using canola oil hydrogels and organogels to reduce saturated animal fat in meat batters. Food Res. Int. 2019, 122, 129–136. [Google Scholar] [CrossRef] [PubMed]
- Jin, S.; Hwang, J.; Hur, S.J.; Kim, G. Quality changes in fat-reduced sausages by partial replacing sodium chloride with other chloride salts during five weeks of refrigeration. LWT Food Sci Technol. 2018, 97, 818–824. [Google Scholar] [CrossRef]
- Rather, S.A.; Masoodi, F.A.; Akhter, R.; Gani, A.; Wani, S.M.; Malik, A.H. Effects of guar gum as fat replacer on some quality parameters of mutton goshtaba, a traditional Indian meat product. Small Rumin. Res. 2016, 137, 169–176. [Google Scholar] [CrossRef]
- Sánchez-Zapata, E.; Muñoz, C.M.; Fuentes, E.; Fernández-López, J.; Sendra, E.; Sayas, E.; Navarro, C.; Pérez-Alvarez, J.A. Effect of tiger nut fibre on quality characteristics of pork burger. Meat Sci. 2010, 85, 70–76. [Google Scholar] [CrossRef] [PubMed]
- Ghaderi-Ghahfarokhi, M.; Barzegar, M.; Sahari, M.A.; Azizi, M.H. Nanoencapsulation Approach to Improve Antimicrobial and Antioxidant Activity of Thyme Essential Oil in Beef Burgers During Refrigerated Storage. Food Bioprocess Technol. 2016, 9, 1187–1201. [Google Scholar] [CrossRef]
- de Carvalho, F.A.L.; Lorenzo, J.M.; Pateiro, M.; Bermúdez, R.; Purriños, L.; Trindade, M. Effect of guarana (Paullinia cupana) seed and pitanga (Eugenia uniflora L.) leaf extracts on lamb burgers with fat replacement by chia oil emulsion during shelf life storage at 2 °C. Food Res. Int. 2019, 125, 108554. [Google Scholar] [CrossRef]
- Summo, C.; De Angelis, D.; Difonzo, G.; Caponio, F.; Pasqualone, A. Effectiveness of Oat-Hull-Based Ingredient as Fat Replacer to Produce Low Fat Burger with High Beta-Glucans Content. Foods 2020, 9, 1057. [Google Scholar] [CrossRef]
- Gök, V.; Akkaya, L.; Obuz, E.; Bulut, S. Effect of ground poppy seed as a fat replacer on meat burgers. Meat Sci. 2011, 89, 400–404. [Google Scholar] [CrossRef]
- Lucas González, R.; Roldán-Verdu, A.; Sayas-Barberá, E.; Fernández-López, J.; Pérez-Álvarez, J.A.; Viuda-Martos, M. Assessment of emulsion gels formulated with chestnut (Castanea sativa M.) flour and chia (Salvia hispanica L) oil as partial fat replacers in pork burger formulation. J. Sci. Food Agric. 2019, 100, 1265–1273. [Google Scholar] [CrossRef]
- Afshari, R.; Hosseini, H.; Khaneghah, A.M.; Khaksar, R. Physico-chemical properties of functional low-fat beef burgers: Fatty acid profile modification. LWT 2017, 78, 325–331. [Google Scholar] [CrossRef]
- Moghtadaei, M.; Soltanizadeh, N.; Goli, S.A.H.; Sharifimehr, S. Physicochemical properties of beef burger after partial incorporation of ethylcellulose oleogel instead of animal fat. J. Food Sci. Technol. 2021, 58, 4775–4784. [Google Scholar] [CrossRef] [PubMed]
- Vargas-Ramella, M.; Munekata, P.E.S.; Pateiro, M.; Franco, D.; Campagnol, P.C.B.; Tomasevic, I.; Domínguez, R.; Lorenzo, J.M. Physicochemical Composition and Nutritional Properties of Deer Burger Enhanced with Healthier Oils. Foods 2020, 9, 571. [Google Scholar] [CrossRef] [PubMed]
- Gómez-Estaca, J.; Pintado, T.; Jiménez-Colmenero, F.; Cofrades, S. The effect of household storage and cooking practices on quality attributes of pork burgers formulated with PUFA- and curcumin-loaded oleogels as healthy fat substitutes. LWT 2020, 119, 108909. [Google Scholar] [CrossRef]
- Youssef, M.K.; Barbut, S. Effects of protein level and fat/oil on emulsion stability, texture, microstructure and color of meat batters. Meat Sci. 2009, 82, 228–233. [Google Scholar] [CrossRef] [PubMed]
- Moghtadaei, M.; Soltanizadeh, N.; Goli, S.A.H. Production of sesame oil oleogels based on beeswax and application as partial substitutes of animal fat in beef burger. Food Res. Int. 2018, 108, 368–377. [Google Scholar] [CrossRef]
- Ganhão, R.; Morcuende, D.; Estévez, M. Protein oxidation in emulsified cooked burger patties with added fruit extracts: Influence on colour and texture deterioration during chill storage. Meat Sci. 2010, 83, 402–409. [Google Scholar] [CrossRef]
- Patinho, I.; Selani, M.M.; Saldaña, E.; Bortoluzzi, A.C.T.; Rios-Mera, J.D.; da Silva, C.M.; Kushida, M.M.; Contreras-Castillo, C.J. Agaricus bisporus mushroom as partial fat replacer improves the sensory quality maintaining the instrumental characteristics of beef burger. Meat Sci. 2020, 172, 108307. [Google Scholar] [CrossRef]
- Zinina, O.; Merenkova, S.; Galimov, D.; Okuskhanova, E.; Rebezov, M.; Khayrullin, M.; Anichkina, O. Effects of Microbial Transglutaminase on Technological, Rheological, and Microstructural Indicators of Minced Meat with the Addition of Plant Raw Materials. Int. J. Food Sci. 2020, 2020, 1–11. [Google Scholar] [CrossRef]
- Sharefiabadi, E.; Nacak, B.; Serdaroğlu, M. Use of linseed and coconut flours in chicken patties as gluten free extenders. IOP Conf. Ser. Earth Environ. Sci. 2021, 854, 012086. [Google Scholar] [CrossRef]
- Al-Mrazeeq, K.M.; Al-Abdullah, B.M.; Al-Ismail, K.M. Evaluation of some sensory properties and cooking loss of different burger formulations. Ital. J. Food Sci. 2010, 22, 134–142. [Google Scholar]
- Salcedo-Sandoval, L.; Cofrades, S.; Ruiz-Capillas, C.; Jiménez-Colmenero, F. Effect of cooking method on the fatty acid content of reduced-fat and PUFA-enriched pork patties formulated with a konjac-based oil bulking system. Meat Sci. 2014, 98, 795–803. [Google Scholar] [CrossRef] [PubMed] [Green Version]
- Heck, R.T.; Fagundes, M.B.; Cichoski, A.J.; de Menezes, C.R.; Barin, J.S.; Lorenzo, J.M.; Wagner, R.; Campagnol, P.C.B. Volatile compounds and sensory profile of burgers with 50% fat replacement by microparticles of chia oil enriched with rosemary. Meat Sci. 2019, 148, 164–170. [Google Scholar] [CrossRef] [PubMed]
- Watanabe, A.; Kamada, G.; Imanari, M.; Shiba, N.; Yonai, M.; Muramoto, T. Effect of aging on volatile compounds in cooked beef. Meat Sci. 2015, 107, 12–19. [Google Scholar] [CrossRef] [PubMed]
- Gardner, K.; Legako, J.F. Volatile flavor compounds vary by beef product type and degree of doneness. J. Anim. Sci. 2018, 96, 4238–4250. [Google Scholar] [CrossRef] [Green Version]
- He, J.; Liu, H.; Balamurugan, S.; Shao, S. Fatty acids and volatile flavor compounds in commercial plant-based burgers. J. Food Sci. 2021, 86, 293–305. [Google Scholar] [CrossRef]
- Rutkowska, J.; Antoniewska, A.; Martinez-Pineda, M.; Nawirska-Olszańska, A.; Zbikowska, A.; Baranowski, D. Black Chokeberry Fruit Polyphenols: A Valuable Addition to Reduce Lipid Oxidation of Muffins Containing Xylitol. Antioxidants 2020, 9, 394. [Google Scholar] [CrossRef]
- Barros, J.C.; Munekata, P.E.S.; de Carvalho, F.A.L.; Pateiro, M.; Barba, F.J.; Domínguez, R.; Trindade, M.A.; Lorenzo, J.M. Use of tiger nut (Cyperus esculentus L.) oil emulsion as animal fat replacement in beef burgers. Foods 2020, 9, 44. [Google Scholar] [CrossRef] [Green Version]
- Sikora, M.; Adamczyk, G.; Krystyjan, M.; Dobosz, A.; Tomasik, P.; Berski, W.; Lukasiewicz, M.; Izak, P. Thixotropic properties of normal potato starch depending on the degree of the granules pasting. Carbohydr. Polym. 2015, 121, 254–264. [Google Scholar] [CrossRef]
- Półtorak, A.; Wyrwisz, J.; Moczkowska, M.; Marcinkowska-Lesiak, M. The impact of the aging process on the components of texture of beef from different production systems. Postępy Tech. Przetwórstw. Spożywczego 2014, 2, 112–119. [Google Scholar]
- Grau, R.; Hamm, R. Eine einfache Methode zur Bestimmung der Wasserbindung im Muskel. Die Naturwissenschaften 1953, 40, 29–30. [Google Scholar] [CrossRef]
- Hanula, M.; Pogorzelska-Nowicka, E.; Pogorzelski, G.; Szpicer, A.; Wojtasik-Kalinowska, I.; Wierzbicka, A.; Półtorak, A. Active Packaging of Button Mushrooms with Zeolite and Açai Extract as an Innovative Method of Extending Its Shelf Life. Agriculture 2021, 11, 653. [Google Scholar] [CrossRef]
- Ablay, Ö.D.; Özdikicierler, O.; Gümüşkesen, A.S. Optimization of Ultrasound-Assisted Alkali Neutralization in the Refining of Safflower Oil to Minimize the Loss of Bioactive Compounds. Eur. J. Lipid Sci. Technol. 2021, 123, 2100004. [Google Scholar] [CrossRef]
- Singleton, V.L.; Rossi, J.A. Colorimetry of total phenolics with phosphomolybdic-phosphotungstic acid reagents. Am. J. Enol. Viticult. 1965, 16, 144–158. [Google Scholar]
- Belwal, T.; Dhyani, P.; Bhatt, I.D.; Rawal, S.R.; Pande, V. Optimization extraction conditions for improving phenolic content and antioxidant activity in Berberis asiatica fruits using response surface methodology (RSM). Food Chem. 2016, 207, 115–124. [Google Scholar] [CrossRef] [PubMed]
- Brodowska, M.; Guzek, D.; Kołota, A.; Głąbska, D.; Górska-Horczyczak, E.; Wojtasik-Kalinowska, I.; Weirzbicka, A. Effect of diet on oxidation and profile of volatile compounds of pork after freezing storage. J. Food Nutr. Res. 2016, 55, 40–47. [Google Scholar]
- Wojtasik-Kalinowska, I.; Guzek, D.; Brodowska, M.; Godziszewska, J.; Górska-Horczyczak, E.; Pogorzelska-Nowicka, E.; Sakowska, A.; Gantner, M.; Wierzbicka, A. The effect of addition of Nigella sativa L. oil on the quality and shelf life of pork patties. J. Food Process. Preserv. 2017, 41, e13294. [Google Scholar] [CrossRef]
- Ulbricht, T.L.V.; Southgate, D.A.T. Coronary heart disease: Seven dietary factors. Lancet 1991, 338, 985–992. [Google Scholar] [CrossRef]
- Fernández, M.; Ordóñez, J.A.; Cambero, I.; Santos, C.; Pin, C.; de la Hoz, L. Fatty acid compositions of selected varieties of Spanish dry ham related to their nutritional implications. Food Chem. 2007, 101, 107–112. [Google Scholar] [CrossRef]
- Górska-Horczyczak, E.; Wojtasik-Kalinowska, I.; Wierzbicka, A. Supplemental linseed oil and antioxidants affect fatty acid composition, oxidation and colour stability of frozen pork. S. Afr. J. Anim. Sci. 2020, 50, 253–263. [Google Scholar] [CrossRef]





| Oil (%) | Firmness (N) | Lubricity (N × s) | Viscosity (N) | Adhesiveness (N × s) |
|---|---|---|---|---|
| 0 | 5.65 ± 0.34 A | 4.81 ± 0.39 A | −3.38 ± 0.21 D | −1.02 ± 0.04 E |
| 29 | 10.15 ± 0.44 C | 9.41 ± 0.55 C,D | −6.01 ± 0.59 C | −2.10 ± 0.25 B,C |
| 33 | 11.17 ± 0.69 D | 10.37 ± 1.02 D,E | −7.03 ± 0.56 B | −2.42 ± 0.29 B |
| 38 | 11.91 ± 0.43 D | 11.22 ± 0.61 E | −8.03 ± 0.30 A | −2.45 ± 0.32 A |
| 42 | 10.20 ± 1.03 C | 9.17 ± 1.04 C | −7.10 ± 0.69 B | −1.90 ± 0.35 C,D |
| 45 | 9.31 ± 0.61 B,C | 8.66 ± 0.90 B,C | −6.61 ± 0.24 B,C | −1.87 ± 0.41 C,D |
| 48 | 8.89 ± 1.16 B | 8.07 ± 1.10 B | −6.37 ± 0.82 C | −1.47 ± 0.66 D |
| Oil (%) | Ostwald–de Waele Model | Area of Hysteresis Loop (Pa × s) | |||
|---|---|---|---|---|---|
| K (Pa × sn) | n (−) | R2 | Thixotropy | Area | |
| 0 | 53.51 ± 2.18 A | 0.34 ± 0.02 D | 0.98 ± 0.01 | 1157.33 ± 52.45 A | 26,801.67 ± 1615.65 A |
| 29 | 117.05 ± 2.33 B,C | 0.25 ± 0.02 A,B | 0.97 ± 0.02 | 3566.67 ± 76.48 B | 41,850.00 ± 1800.13 BC |
| 33 | 125.92 ± 1.79 E | 0.24 ± 0.04 A,B | 0.97 ± 0.01 | 4516.00 ± 124.61 E | 44,446.67 ± 2536.03 B,C |
| 38 | 139.42 ± 0.67 F | 0.24 ± 0.02 A,B | 0.98 ± 0.01 | 4562.83 ± 167.84 E | 53,178.33 ± 3242.89 D |
| 42 | 122.05 ± 2.19 C | 0.21 ± 0.03 A | 0.98 ± 0.01 | 4223.83 ± 109.58 D | 45,855.00 ± 1596.82 C |
| 45 | 120.57 ± 2.11 C,D | 0.23 ± 0.02 A,B | 0.97 ± 0.01 | 3980.50 ± 89.72 C | 42,505.00 ± 2921.69 B,C |
| 48 | 114.95 ± 2.83 B | 0.26 ± 0.01 C | 0.98 ± 0.01 | 3413.67 ± 93.66 B | 40,705.00 ± 2564.98 B |
| Safflower Oil | Açai Extract | |
|---|---|---|
| TPC (mg gallic acid/g of sample) | 0.27 ± 0.011 | 31.36 ± 1.220 |
| ABTS (mg ascorbic acid/g of sample0 | 0.09 ± 0.003 | 50.54 ± 0.296 |
| FRAP (mg ascorbic acid/g of sample) | 0.32 ± 0.004 | 38.05 ± 1.268 |
| Fatty acid profile (%) | ||
| SFA | 10.88 ± 1.36 | |
| MUFA | 9.74 ± 1.13 | |
| PUFA | 79.19 ± 0.95 | |
| ∑n-6 | 78.91 ± 0.98 | |
| ∑n-3 | 0.15 ± 0.02 | |
| Variant | Day | Raw | ||||
|---|---|---|---|---|---|---|
| L* | a* | b* | BI | pH | ||
| G | 0 | 44.5 ± 2.85 B,C,b | 22.6 ± 2.36 B | 14.7 ± 1.52 A,B,b | 75.32 ± 6.83 A | 5.70 ± 0.04 C |
| GT | 46.2 ± 3.06 A,b | 22.7 ± 2.80 B | 15.2 ± 1.52 A,b | 74.20 ± 7.75 A,B | 5.71 ± 0.04 C | |
| GE | 45.0 ± 3.25 A,B,a,b | 21.9 ± 1.93 B | 14.7 ± 2.01 A,B,b | 73.38 ± 5.89 A,B | 5.72 ± 0.03 C | |
| GET | 43.2 ± 3.02 C,D,c | 22.8 ± 2.20 B,b | 14.0 ± 1.50 B,a | 75.57 ± 7.24 A | 5.71 ± 0.05 C | |
| CT | 42.0 ± 2.66 D,E,b | 24.1 ± 1.81 A,a | 11.5 ± 0.97 C | 71.30 ± 7.18 B,a | 5.64 ± 0.04 A | |
| CO | 40.4 ± 2.40 E,b | 22.0 ± 1.61 B,a | 10.4 ± 0.86 D | 67.10 ± 5.54 C,a | 5.56 ± 0.04 B | |
| G | 4 | 44.2 ± 3.13 A,b | 22.3 ± 1.87 A | 14.7 ± 1.31 A,b | 75.57 ± 5.06 A | 5.81 ± 0.06 C |
| GT | 45.3 ± 4.24 A,b | 22.3 ± 2.45 A | 14.6 ± 1.9 A,b | 73.42 ± 7.15 A | 5.77 ± 0.03 C | |
| GE | 43.7 ± 3.85 A,b | 21.6 ± 2.09 A,B | 14.0 ± 1.5 A,b | 73.09 ± 7.35 A | 5.76 ± 0.05 C | |
| GET | 44.9 ± 3.78 A,b | 21.8 ± 2.32 A,B,a | 14.4 ± 1.52 A,a,b | 72.87 ± 8.00 A | 5.76 ± 0.05 C | |
| CT | 41.4 ± 3.64 B,b | 22.8 ± 2.29 A,b | 11.0 ± 1.42 B | 68.89 ± 7.57 B,a | 5.63 ± 0.09 A | |
| CO | 41.0 ± 3.06 B,b | 20.8 ± 1.68 B,b | 10.2 ± 1.11 C | 63.50 ± 6.32 C,b | 5.57 ± 0.07 B | |
| G | 8 | 46.9 ± 3.16 a | 22.7 ± 2.18 A | 16.3 ± 1.51 A,a | 76.35 ± 6.28 A | 5.73 ± 0.04 B |
| GT | 48.6 ± 3.55 a | 21.1 ± 2.47 A | 16.6 ± 1.45 A,a | 72.36 ± 6.68 A | 5.73 ± 0.03 B | |
| GE | 46.9 ± 3.02 a | 21.1 ± 1.15 A | 16.0 ± 1.51 A,a | 73.44 ± 5.66 A | 5.75 ± 0.01 B | |
| GET | 47.5 ± 4.00 a | 20.9 ± 2.54 A,a,c | 15.4 ± 1.69 A,b | 70.18 ± 8.77 A | 5.75 ± 0.03 B | |
| CT | 46.9 ± 6.54 a | 18.5 ± 2.94 B,b | 10.9 ± 1.76 B | 55.01 ± 11.42 B,b | 5.58 ± 0.03 A | |
| CO | 44.9 ± 5.44 a | 18.6 ± 2.03 B,c | 10.8 ± 1.51 B | 56.83 ± 7.73 B,c | 5.58 ± 0.03 A | |
| Grilled | ||||||
| L* | a* | b* | BI | |||
| G | 0 | 52.2 ± 1.68 A | 7.4 ± 0.75 A,B,a,b | 13.5 ± 0395 A | 39.87 ± 2.66 A,b | |
| GT | 52.7 ± 1.71 A | 7.0 ± 0.40 A,a | 13.7 ± 1.25 A | 39.27 ± 2.38 A | ||
| GE | 51.4 ± 1.92 A,a | 7.3 ± 0.81 A,B,a | 12.6 ± 1.47 A,a | 38.09 ± 2.95 A,b | ||
| GET | 52.7 ± 1.38 A,a | 7.3 ± 0.56 A,B,a | 13.5 ± 1.32 A | 39.27 ± 2.80 A,b | ||
| CT | 51.6 ± 2.25 A | 7.7 ± 1.00 B,a | 10.0 ± 0.88 B,a | 32.18 ± 1.75 B,a | ||
| CO | 49.1 ± 2.37 B,a | 7.9 ± 0.66 B | 9.8 ± 0.62 B,a | 33.72 ± 2.53 B,a | ||
| G | 4 | 52.5 ± 1.61 | 7.0 ± 0.41 A,C,b | 13.0 ± 0.84 A | 37.83 ± 1.69 B,b | |
| GT | 52.3 ± 2.378 | 7.3 ± 0.45 A,b | 13.7 ± 1.30 A | 40.03 ± 2.32 A | ||
| GE | 53.9 ± 1.81 b | 6.7 ± 0.35 C,D,b,c | 13.7 ± 1.16 A,b | 37.96 ± 2.87 B,b | ||
| GET | 53.3 ± 1.85 a | 6.2 ± 0.50 D,b | 13.9 ± 0.62 A | 38.43 ± 2.16 A,B,b | ||
| CT | 53.1 ± 2.04 | 7.1 ± 0.45 A,C,b | 9.6 ± 1.04 B,a | 29.23 ± 1.94 D,b | ||
| CO | 51.0 ± 1.44 b | 7.8 ± 0.23 B | 9.4 ± 0.55 B,b,c | 31.21 ± 1.80 C,b | ||
| G | 8 | 51.4 ± 4.93 A | 10.7 ± 5.29 A,a | 12.7 ± 1.73 A | 43.74 ± 9.60 A,a | |
| GT | 52.7 ± 2.38 A | 7.7 ± 0.72 A,b | 13.6 ± 1.10 A | 40.02 ± 2.54 B | ||
| GE | 48.6 ± 4.44 B,C,a | 6.8 ± 0.59 B,a,c | 13.5 ± 1.14 A,b | 42.62 ± 4.18 A,B,a | ||
| GET | 51.0 ± 2.12 A,C,b | 7.0 ± 0.56 B,a | 13.7 ± 0.85 A | 41.03 ± 2.60 A,B,a | ||
| CT | 52.2 ± 1.40 A | 8.1 ± 0.63 A,a | 9.0 ± 0.80 B,b | 29.84 ± 2.10 D,b | ||
| CO | 47.6 ± 1.64 B,c | 8.0 ± 0.37 A | 9.6 ± 0.70 B,a,c | 34.54 ± 1.97 C,a | ||
| Variant | Springiness (−) | Chewiness (N) | Cohesiveness (−) | Hardness (N) |
|---|---|---|---|---|
| G | 0.4 ± 0.20 | 0.6 ± 0.26 B,a,b | 0.1 ± 0.04 C,a | 6.4 ± 1.59 B |
| GT | 0.4 ± 0.11 a | 0.3 ± 0.17 B | 0.0 ± 0.05 B,C | 5.3 ± 1.23 B |
| GE | 0.8 ± 0.30 a | 0.4 ± 0.26 B | 0.1 ± 0.04 B,C | 5.5 ± 0.98 B |
| GET | 0.5 ± 0.2 | 0.5 ± 0.24 B | 0.1 ± 0.10 B,C | 5.6 ± 1.53 B |
| CT | 0.9 ± 0.22 | 10.6 ± 2.30 A,b | 0.4 ± 0.03 A | 27.5 ± 5.25 A,b |
| CO | 0.5 ± 0.12 a | 8.8 ± 1.50 A,c | 0.4 ± 0.04 A | 24.8 ± 1.95 A,c |
| G | 0.2 ± 0.05 C | 1.0 ± 0.49 B,a | 0.1 ± 0.03 C,a | 9.5 ± 2.16 B |
| GT | 0.2 ± 0.03 C,b | 0.4 ± 0.59 B | 0.0 ± 0.07 B,C | 7.8 ± 2.68 B |
| GE | 0.1 ± 0.03 C,b | 0.5 ± 0.62 B | 0.0 ± 0.07 B,C | 7.9 ± 2.46 B |
| GET | 0.1 ± 0.04 C | 0.0 ± 0.36 B | 0.0 ± 0.09 B,C | 5.8 ± 1.20 B |
| CT | 0.4 ± 0.06 A | 17.1 ± 4.73 A,a,b | 0.4 ± 0.03 A | 47.3 ± 12.23 A,a,b |
| CO | 0.3 ± 0.04 B,b | 21.4 ± 4.25 A,b | 0.4 ± 0.02 A | 58.6 ± 12.04 A,b |
| G | 0.1 ± 0.03 C | −0.3 ± 0.90 C,b | −0.1 ± 0.14 B,b | 10.4 ± 3.34 C |
| GT | 0.1 ± 0.03 C,b | −0.5 ± 0.70 C | −0.1 ± 0.08 B | 10.2 ± 2.51 C |
| GE | 0.2 ± 0.04 C,b | −0.1 ± 0.99 C | 0.0 ± 0.10 B | 11.6 ± 3.93 C |
| GET | 0.1 ± 0.03 C | 0.5 ± 1.43 C | 0.0 ± 0.12 B | 15.0 ± 7.16 C |
| CT | 0.5 ± 0.04 A | 19.6 ± 6.80 B,a | 0.3 ± 0.04 A | 58.6 ± 17.54 B,a |
| CO | 0.3 ± 0.01 B,b | 29.1 ± 6.22 A,a | 0.3 ± 0.03 A | 90.9 ± 18.76 A,a |
| Raw Burger | ||||||||||||||||||
|---|---|---|---|---|---|---|---|---|---|---|---|---|---|---|---|---|---|---|
| Volatile Compounds | 0 | 4 | 8 | |||||||||||||||
| G | GT | GE | GET | CT | CO | G | GT | GE | GET | CT | CO | G | GT | GE | GET | CT | CO | |
| aldehyde | ||||||||||||||||||
| (E,E) −2,4−hexadienal | + | + | + | + | ||||||||||||||
| 2−-Methylpropanal | + | + | + | + | + | + | + | + | + | + | + | + | + | + | + | |||
| 3−Methylbutanal | + | + | + | |||||||||||||||
| Benzaldehyde | + | |||||||||||||||||
| Benzeneacetaldehyde | + | + | + | + | + | + | + | + | ||||||||||
| Propanal | + | + | + | + | + | + | + | + | + | + | + | + | + | + | + | + | + | + |
| alcohol | ||||||||||||||||||
| 1−Hexanol | + | + | + | + | + | + | + | + | + | + | + | + | ||||||
| 1−Hexen−3−ol | + | + | ||||||||||||||||
| 1−Penten−3−ol | + | |||||||||||||||||
| 1−Propanol | + | + | + | + | + | + | + | + | + | + | + | + | + | + | + | + | + | + |
| 1−Propanol, 2−methyl | + | + | + | + | + | + | + | + | + | + | + | |||||||
| 2−Nonen−1−ol | + | + | + | + | ||||||||||||||
| Pentan−2−ol | + | + | + | + | + | |||||||||||||
| ester | ||||||||||||||||||
| Ethyl 2−methylbutyrate | + | + | ||||||||||||||||
| Ethyl isobutyrate | + | + | + | + | + | + | + | |||||||||||
| Hexyl propionate | + | |||||||||||||||||
| Methyl isobutyrate | + | + | + | + | + | |||||||||||||
| Propyl propanoate | + | + | + | + | + | + | + | + | + | |||||||||
| ketone | ||||||||||||||||||
| 1−Hexen−3−one | + | + | ||||||||||||||||
| 2,3−Butanediol | + | + | ||||||||||||||||
| Sotolon | + | + | + | |||||||||||||||
| acid | ||||||||||||||||||
| Acetic acid | + | + | + | + | + | + | + | + | + | + | + | + | + | + | + | + | + | |
| Pentanoic acid | + | + | + | |||||||||||||||
| Propanoic acid | + | + | + | + | + | + | ||||||||||||
| acetate | ||||||||||||||||||
| Bezyl acetate | + | + | + | |||||||||||||||
| Isoamyl acetate | + | |||||||||||||||||
| Isopropyl acetate | + | + | + | + | + | + | ||||||||||||
| terpene | ||||||||||||||||||
| Alpha−phellandrene | + | |||||||||||||||||
| Alphapinene | + | + | + | + | + | + | + | + | ||||||||||
| Limonene | + | + | ||||||||||||||||
| sulphur compounds | ||||||||||||||||||
| Dimethyl sulfide | + | + | ||||||||||||||||
| 2−Methyl−2−propanethiol | + | + | + | + | + | + | + | + | + | |||||||||
| Grilled Burger | ||||||||||||||||||
| Volatile compounds | 0 | 4 | 8 | |||||||||||||||
| G | GT | GE | GET | CT | CO | G | GT | GE | GET | CT | CO | G | GT | GE | GET | CT | CO | |
| aldehyde | ||||||||||||||||||
| (E) −3−hexenal | + | + | + | + | + | + | + | |||||||||||
| (E,E) −2,4−hexadienal | + | + | + | + | + | + | + | + | ||||||||||
| 2−Methylpropanal | + | + | + | + | + | + | ||||||||||||
| 3−Methylbutanal | + | |||||||||||||||||
| Benzaldehyde | + | + | + | + | ||||||||||||||
| Benzeneacetaldehyde | + | + | + | + | + | + | + | + | + | + | + | + | + | + | + | |||
| Methional | + | + | + | + | ||||||||||||||
| Propanal | + | + | + | + | + | |||||||||||||
| alcohol | ||||||||||||||||||
| 1−Hexanol | + | + | + | + | ||||||||||||||
| 1−Hexen−3−ol | + | + | + | + | + | + | + | + | ||||||||||
| 1−Propanol | + | + | + | + | + | + | + | + | + | + | + | + | + | + | + | + | + | + |
| 1−Propanol, 2-methyl | + | + | + | + | + | + | + | + | + | + | + | + | ||||||
| 2−Furanmethanol | + | + | + | |||||||||||||||
| n−Butanol | + | |||||||||||||||||
| Pentan−2−ol | + | + | + | + | + | |||||||||||||
| esther | ||||||||||||||||||
| ethyl 2−methylbutyrate | + | + | ||||||||||||||||
| propyl propanoate | + | |||||||||||||||||
| ketone | ||||||||||||||||||
| 1−Hexen−3−one | + | |||||||||||||||||
| 2,3-Butanediol | + | |||||||||||||||||
| 2−Acetyl−1−pyrroline | + | + | + | |||||||||||||||
| Acetophenone | + | + | + | + | ||||||||||||||
| acid | ||||||||||||||||||
| 3−Methylbutanoic acid | + | + | + | |||||||||||||||
| Acetic acid | + | + | + | + | + | + | + | |||||||||||
| Benzoic acid | + | |||||||||||||||||
| acetate | ||||||||||||||||||
| Ethyl acetate | + | + | + | + | + | + | + | + | + | + | + | |||||||
| terpene | ||||||||||||||||||
| Alpha−phellandrene | + | |||||||||||||||||
| Alphapinene | + | + | + | + | + | + | + | + | + | |||||||||
| nitrogenous compounds | ||||||||||||||||||
| Pyrazine | + | + | + | + | + | + | + | + | + | + | + | + | + | |||||
| Pyrrole | + | + | + | + | + | |||||||||||||
| sulphur compounds | ||||||||||||||||||
| 2−Methyl−2−propanethiol | + | + | + | + | + | |||||||||||||
| Dimethyl sulfide | + | + | + | |||||||||||||||
| Raw Burger | ||||||
|---|---|---|---|---|---|---|
| G | GT | GE | GET | CT | CO | |
| SFA | ||||||
| 0 | 38.2 ± 0.46 A | 36.3 ± 2.62 A,B | 35.0 ± 0.51 B | 38.9 ± 1.00 A | 39.4 ± 0.37 A | 32.7 ± 0.18 C |
| 4 | 41.5 ± 0.16 B | 40.7 ± 0.52 B | 41.6 ± 1.61 B | 42.7 ± 0.62 B | 50.1 ± 0.03 A | 37.7 ± 0.29 C |
| 8 | 43.8 ± 0.60 B | 45.3 ± 1.08 B | 40.3 ± 0.48 C | 44.1 ± 1.65 B | 50.5 ± 0.64 A | 51.6 ± 2.13 A |
| MUFA | ||||||
| 0 | 35.9 ± 0.26 D | 43.4 ± 2.47 B | 39.7 ± 0.32 B | 41.2 ± 0.92 B | 58.8 ± 0.45 A | 37.5 ± 0.42 C |
| 4 | 36.7 ± 1.26 C | 39.9 ± 0.26 B | 32.5 ± 0.52 E | 38.2 ± 0.27 C | 48.5 ± 0.01 A | 34.2 ± 0.79 D |
| 8 | 33.6 ± 1.09 C | 36.5 ± 0.51 B | 36.7 ± 0.55 B | 37.1 ± 1.32 B | 48.0 ± 0.68 A | 28.9 ± 1.70 D |
| PUFA | ||||||
| 0 | 25.4 ± 0.78 B | 19.7 ± 0.12 C | 24.8 ± 0.14 B | 19.5 ± 0.07 C | 1.0 ± 0.02 D | 28.8 ± 0.10 A |
| 4 | 21.4 ± 1.39 C | 18.9 ± 0.75 D | 24.0 ± 1.09 B | 18.7 ± 0.67 D | 0.9 ± 0.01 E | 27.6 ± 0.51 A |
| 8 | 20.2 ± 1.69 B | 17.7 ± 0.58 C | 22.6 ± 0.10 A | 18.3 ± 0.21 C | 1.0 ± 0.02 D | 19.1 ± 0.44 B |
| CLA | ||||||
| 0 | 0.46 ± 0.06 C | 0.57 ± 0.04 B | 0.50 ± 0.05 C | 0.49 ± 0.01 C | 0.72 ± 0.06 A | 0.49 ± 0.00 C |
| 4 | 0.50 ± 0.02 A | 0.48 ± 0.04 B | 0.38 ± 0.00 C | 0.45 ± 0.00 B | 0.54 ± 0.01 A | 0.40 ± 0.02 C |
| 8 | 0.45 ± 0.00 B | 0.41 ± 0.01 B | 0.41 ± 0.03 B | 0.47 ± 0.06 A,B | 0.54 ± 0.02 A | 0.40 ± 0.01 B |
| ∑n3 | ||||||
| 0 | 3.24 ± 0.46 B | 3.16 ± 0.06 B | 3.95 ± 0.16 A | 3.25 ± 0.01 B | 0.52 ± 0.01 C | 0.58 ± 0.04 C |
| 4 | 3.15 ± 0.69 A,B | 2.69 ± 0.46 B | 3.91 ± 0.16 A | 3.12 ± 0.05 B | 0.46 ± 0.01 D | 0.53 ± 0.01 C |
| 8 | 3.33 ± 0.72 A | 2.18 ± 0.07 B | 3.53 ± 0.05 A | 3.15 ± 0.27 A | 0.60 ± 0.07 C | 0.46 ± 0.05 D |
| ∑n6 | ||||||
| 0 | 21.98 ± 0.31 B | 16.35 ± 0.11 C | 20.65 ± 0.02 B | 16.00 ± 0.06 C | 0.31 ± 0.02 D | 28.01 ± 0.06 A |
| 4 | 18.01 ± 0.69 C | 16.04 ± 0.28 D | 19.88 ± 0.92 B | 15.40 ± 0.62 D | 0.30 ± 0.00 E | 26.88 ± 0.50 A |
| 8 | 18.73 ± 0.96 A | 15.39 ± 0.51 B | 18.86 ± 0.06 A | 16.48 ± 1.44 A,B | 0.25 ± 0.05 C | 18.45 ± 0.51 A |
| ∑n6/∑n3 | ||||||
| 0 | 6.92 ± 0.89 B | 5.18 ± 0.03 C | 5.24 ± 0.22 C | 4.92 ± 0.01 C | 0.60 ± 0.04 D | 48.29 ± 3.04 A |
| 4 | 5.95 ± 1.08 B | 6.12 ± 0.93 B | 5.09 ± 0.03 C | 4.94 ± 0.12 C | 0.66 ± 0.02 D | 50.57 ± 0.35 A |
| 8 | 5.84 ± 0.98 C | 7.06 ± 0.01 B | 5.35 ± 0.05 C | 5.23 ± 0.00 C | 0.44 ± 0.13 D | 41.22 ± 5.84 A |
| Tl | ||||||
| 0 | 0.95 ± 0.05 B | 0.88 ± 0.09 B,C | 0.80 ± 0.02 C | 0.97 ± 0.04 B | 1.16 ± 0.02 A | 0.91 ± 0.00 B |
| 4 | 1.08 ± 0.06 B | 1.09 ± 0.06 B | 1.10 ± 0.08 B | 1.13 ± 0.02 B | 1.78 ± 0.01 A | 1.13 ± 0.01 B |
| 8 | 1.17 ± 0.09 D | 1.34 ± 0.06 C | 1.01 ± 0.02 D | 1.17 ± 0.01 D | 1.72 ± 0.02 B | 1.99 ± 0.15 A |
| Al | ||||||
| 0 | 0.49 ± 0.01 B | 0.54 ± 0.04 B | 0.49 ± 0.01 B | 0.55 ± 0.01 B | 0.69 ± 0.04 A | 0.44 ± 0.03 C |
| 4 | 0.58 ± 0.01 B | 0.57 ± 0.01 B | 0.52 ± 0.02 B | 0.60 ± 0.00 B | 0.85 ± 0.00 A | 0.49 ± 0.00 B |
| 8 | 0.59 ± 0.02 CD | 0.65 ± 0.03 C | 0.54 ± 0.00 D | 0.61 ± 0.02 C | 0.90 ± 0.02 A | 0.72 ± 0.09 B |
| h/H | ||||||
| 0 | 2.53 ± 0.01 B | 2.37 ± 0.21 B,C | 2.59 ± 0.02 B | 2.21 ± 0.06 C | 1.77 ± 0.08 C | 2.93 ± 0.03 A |
| 4 | 2.14 ± 0.02 B | 2.11 ± 0.02 B | 2.29 ± 0.10 B | 1.99 ± 0.01 C | 1.33 ± 0.01 D | 2.50 ± 0.01 A |
| 8 | 2.06 ± 0.10 B | 1.89 ± 0.08 C | 2.24 ± 0.03 A | 1.91 ± 0.02 C | 1.25 ± 0.02 D | 1.63 ± 0.19 C |
| Grilled Burger | ||||||
| G | GT | GE | GET | CT | CO | |
| SFA | ||||||
| 0 | 42.93 ± 0.69 A | 40.86 ± 2.47 A | 50.20 ± 1.25 A | 48.88 ± 4.36 A | 50.21 ± 1.06 A | 47.47 ± 10.32 A |
| 4 | 43.81 ± 1.28 A,B,C | 41.06 ± 1.86 B,C | 38.56 ± 1.89 C | 45.35 ± 0.83 A,B | 50.21 ± 1.67 A | 42.85 ± 1.84 B,C |
| 8 | 43.92 ± 0.71 A | 40.86 ± 2.47 A | 51.66 ± 0.81 A | 47.48 ± 2.38 A | 50.04 ± 0.84 A | 51.41 ± 15.90 A |
| MUFA | ||||||
| 0 | 34.06 ± 3.32 B,C | 38.54 ± 0.57 A,B | 31.52 ± 2.71 B,C | 32.32 ± 0.27 B,C | 46.85 ± 1.32 A | 28.64 ± 2.58 C |
| 4 | 34.94 ± 0.11 B | 39.55 ± 0.90 B | 37.00 ± 1.74 B | 35.81 ± 1.53 B | 47.95 ± 0.74 A | 40.66 ± 2.50 B |
| 8 | 35.33 ± 1.50 B,C | 38.34 ± 0.85 B | 32.73 ± 0.99 C,D | 32.32 ± 0.27 C,D | 47.36 ± 0.60 A | 28.64 ± 2.58 D |
| PUFA | ||||||
| 0 | 20.55 ± 0.53 A | 19.40 ± 0.36 A | 19.86 ± 1.49 A | 18.73 ± 4.20 A | 2.76 ± 0.00 B | 12.65 ± 3.00 A |
| 4 | 21.25 ± 1.39 B | 18.46 ± 0.36 B,C | 27.01 ± 0.00 A | 17.89 ± 1.01 C | 3.91 ± 0, 03 D | 18.27 ± 0.22 C |
| 8 | 20.75 ± 0.79 A | 19.40 ± 0.36 A | 20.11 ± 1.14 A | 20.20 ± 2.11 A | 2.77 ± 0.00 C | 12.65 ± 3.00 B |
| CLA | ||||||
| 0 | 0.21 ± 0.04 B | 0.26 ± 0.02 A,B | 0.26 ± 0.02 A,B | 0.20 ± 0.01 B | 0.33 ± 0.03 A | 0.23 ± 0.04 A,B |
| 4 | 0.25 ± 0.01 A | 0.27 ± 0.03 A | 0.30 ± 0.03 A | 0.24 ± 0.01 A | 0.32 ± 0.02 A | 0.25 ± 0.04 A |
| 8 | 0.21 ± 0.04 B | 0.26 ± 0.02 A,B | 0.25 ± 0.02 A,B | 0.20 ± 0.01 B | 0.33 ± 0.03 A | 0.23 ± 0.04 A,B |
| ∑n3 | ||||||
| 0 | 3.56 ± 0.13 A | 2.80 ± 0.61 A | 3.28 ± 0.21 A | 3.45 ± 0.37 A | 0.46 ± 0.03 B | 0.61 ± 0.27 B |
| 4 | 3.40 ± 0.41 A,B | 2.51 ± 0.01 B | 4.26 ± 0.00 A | 3.95 ± 0.53 A | 0.52 ± 0.08 C | 0.74 ± 0.03 C |
| 8 | 3.03 ± 0.63 A | 3.01 ± 0.32 A | 3.28 ± 0.21 A | 3.45 ± 0.37 A | 0.46 ± 0.03 B | 0.48 ± 0.09 B |
| ∑n6 | ||||||
| 0 | 16.34 ± 0.49 A | 15.96 ± 0.28 A | 15.31 ± 0.38 A | 14.89 ± 3.55 A | 1.76 ± 0.24 B | 11.59 ± 2.83 A |
| 4 | 19.28 ± 4.15 A,B | 15.29 ± 0.35 A,B | 22.05 ± 0.00 A | 13.32 ± 0.52 B | 2.49 ± 0.38 C | 16.78 ± 0.10 A,B |
| 8 | 17.07 ± 1.51 A | 17.53 ± 2.51 A | 16.02 ± 1.27 A | 16.19 ± 1.71 A | 1.59 ± 0.01 C | 11.59 ± 2.83 B |
| ∑n6/∑n3 | ||||||
| 0 | 4.59 ± 0.03 C | 6.86 ± 0.09 B | 4.96 ± 0.03 B,C | 4.61 ± 0.12 C | 3.77 ± 0.27 C | 24.08 ± 1.33 A |
| 4 | 5.48 ± 0.76 B,C | 6.10 ± 0.11 B | 5.18 ± 0.00 B,C,D | 3.39 ± 0.32 D | 3.70 ± 0.20 C,D | 22.55 ± 0.88 A |
| 8 | 5.82 ± 1.71 B | 5.90 ± 1.45 B | 4.96 ± 0.02 B | 4.64 ± 0.07 B | 3.60 ± 0.02 B | 24.08 ± 1.33 A |
| Tl | ||||||
| 0 | 1.19 ± 0.08 A | 1.09 ± 0.11 A | 1.38 ± 0.21 A | 1.42 ± 0.29 A | 1.90 ± 0.03 A | 2.16 ± 0.33 A |
| 4 | 1.02 ± 0.26 B | 1.15 ± 0.02 B | 0.85 ± 0.00 B | 1.18 ± 0.08 B | 1.87 ± 0.14 A | 1.37 ± 0.11 A,B |
| 8 | 1.19 ± 0.09 A | 1.14 ± 0.03 A | 1.60 ± 0.52 A | 1.32 ± 0.15 A | 1.87 ± 0.07 A | 2.16 ± 0.33 A |
| Al | ||||||
| 0 | 0.63 ± 0.01 A | 0.58 ± 0.03 A | 0.63 ± 0.02 A | 0.70 ± 0.17 A | 0.85 ± 0.01 A | 0.94 ± 0.14 A |
| 4 | 0.54 ± 0.11 A,B | 0.57 ± 0.04 A,B | 0.50 ± 0.00 B | 0.65 ± 0.09 A,B | 0.76 ± 0.03 A | 0.57 ± 0.00 A,B |
| 8 | 0.62 ± 0.02 A | 0.56 ± 0.05 A | 0.69 ± 0.10 A | 0.58 ± 0.05 A | 0.84 ± 0.02 A | 0.79 ± 0.35 A |
| h/H | ||||||
| 0 | 1.93 ± 0.04 A | 2.09 ± 0.12 A | 1.91 ± 0.06 A | 1.98 ± 0.11 A | 1.32 ± 0.00 B | 1.21 ± 0.20 B |
| 4 | 2.38 ± 0.35 A | 2.17 ± 0.15 A,B | 2.50 ± 0.00 A | 1.82 ± 0.30 A,B | 1.42 ± 0.20 B | 2.11 ± 0.01 A,B |
| 8 | 2.00 ± 0.05 A | 2.17 ± 0.23 A | 1.85 ± 0.15 A,B | 1.98 ± 0.11 A | 1.34 ± 0.02 B,C | 1.21 ± 0.20 C |
| Raw Burger | ||||||||||||
|---|---|---|---|---|---|---|---|---|---|---|---|---|
| SFA | MUFA | PUFA | L* | a* | b* | BI | WHC | pH | Weight Loss | TBARS | ||
| SFA | 1 | −0.040 | −0.580 * | 0.345 | −0.523 * | −0.116 | −0.474 * | −0.292 | −0.108 | 0.677 * | 0.445 | |
| MUFA | 1 | −0.790 * | −0.230 | 0.396 | −0.282 | −0.027 | −0.309 | −0.201 | −0.311 | −0.319 | ||
| PUFA | 1 | −0.020 | −0.001 | 0.307 | 0.318 | 0.438 | 0.236 | −0.162 | −0.006 | |||
| L* | 1 | −0.343 | 0.727 * | 0.112 | 0.539 * | 0.497 * | 0.008 | 0.848 * | ||||
| a* | 1 | 0.277 | 0.809 * | 0.345 | 0.381 | −0.750 * | −0.226 | |||||
| b* | 1 | 0.751 * | 0.928 * | 0.880 * | −0.473 * | 0.765 * | ||||||
| BI | 1 | 0.810 * | 0.797 * | −0.764 * | 0.281 | |||||||
| WHC | 1 | 0.925 * | −0.588 * | 0.654 * | ||||||||
| pH | 1 | −0.487 * | 0.698 * | |||||||||
| Weight loss | 1 | 0.072 | ||||||||||
| TBARS | 1 | |||||||||||
| Grilled burger | ||||||||||||
| SFA | MUFA | PUFA | Springiness | Chewiness | Cohesiveness | Hardness | Cooking loss | L* | a* | b* | BI | |
| SFA | 1 | −0.040 | −0.611 * | 0.401 | 0.435 | 0.416 | 0.440 | 0.395 | −0.546 * | 0.035 | −0.492 * | −0.345 |
| MUFA | 1 | −0.612 * | 0.129 | 0.285 | 0.391 | 0.210 | 0.306 | 0.506 * | −0.004 | −0.384 | −0.565 * | |
| PUFA | 1 | −0.408 | −0.657 * | −0.765 * | −0.594 * | −0.739 * | 0.133 | −0.125 | 0.790 * | 0.782 * | ||
| Springiness | 1 | 0.139 | 0.437 | 0.031 | 0.176 | −0.026 | −0.007 | −0.329 | −0.367 | |||
| Chewiness | 1 | 0.850 * | 0.985 * | 0.891 * | −0.428 | 0.185 | −0.905 * | −0.811 * | ||||
| Cohesiveness | 1 | 0.759 * | 0.901 * | −0.268 | 0.060 | −0.936 * | −0.937 * | |||||
| Hardness | 1 | 0.845 * | −0.492 * | 0.220 | −0.848 * | −0.716 * | ||||||
| Cooking loss | 1 | −0.433 | 0.181 | −0.920 * | −0.830 * | |||||||
| L* | 1 | −0.267 | 0.382 | 0.024 | ||||||||
| a* | 1 | −0.302 | 0.076 | |||||||||
| b* | 1 | 0.887 * | ||||||||||
| BI | 1 |
| Variant | Component | |||
|---|---|---|---|---|
| Type of Fat Added | Linseed Flour (g) | Meat (g) | Salt (g) | |
| G | 9.5 g Hydrogel with encapsulated oil | 10.5 | 100 | 1.7 |
| GT | 9.5 g Hydrogel with encapsulated oil + 5 g beef tallow | 10.5 | 95 | 1.7 |
| GE | 9.5 g Hydrogel with encapsulated oil with açai extract | 10.5 | 100 | 1.7 |
| GET | 9.5 g Hydrogel with encapsulated oil with açai extract + 5 g beef tallow | 10.5 | 95 | 1.7 |
| CT | 20 g Beef tallow | - | 100 | 1.7 |
| CO | 8 g Oil | - | 112 | 1.7 |
Publisher’s Note: MDPI stays neutral with regard to jurisdictional claims in published maps and institutional affiliations. |
© 2022 by the authors. Licensee MDPI, Basel, Switzerland. This article is an open access article distributed under the terms and conditions of the Creative Commons Attribution (CC BY) license (https://creativecommons.org/licenses/by/4.0/).
Share and Cite
Hanula, M.; Szpicer, A.; Górska-Horczyczak, E.; Khachatryan, G.; Pogorzelski, G.; Pogorzelska-Nowicka, E.; Poltorak, A. Hydrogel Emulsion with Encapsulated Safflower Oil Enriched with Açai Extract as a Novel Fat Substitute in Beef Burgers Subjected to Storage in Cold Conditions. Molecules 2022, 27, 2397. https://doi.org/10.3390/molecules27082397
Hanula M, Szpicer A, Górska-Horczyczak E, Khachatryan G, Pogorzelski G, Pogorzelska-Nowicka E, Poltorak A. Hydrogel Emulsion with Encapsulated Safflower Oil Enriched with Açai Extract as a Novel Fat Substitute in Beef Burgers Subjected to Storage in Cold Conditions. Molecules. 2022; 27(8):2397. https://doi.org/10.3390/molecules27082397
Chicago/Turabian StyleHanula, Monika, Arkadiusz Szpicer, Elżbieta Górska-Horczyczak, Gohar Khachatryan, Grzegorz Pogorzelski, Ewelina Pogorzelska-Nowicka, and Andrzej Poltorak. 2022. "Hydrogel Emulsion with Encapsulated Safflower Oil Enriched with Açai Extract as a Novel Fat Substitute in Beef Burgers Subjected to Storage in Cold Conditions" Molecules 27, no. 8: 2397. https://doi.org/10.3390/molecules27082397
APA StyleHanula, M., Szpicer, A., Górska-Horczyczak, E., Khachatryan, G., Pogorzelski, G., Pogorzelska-Nowicka, E., & Poltorak, A. (2022). Hydrogel Emulsion with Encapsulated Safflower Oil Enriched with Açai Extract as a Novel Fat Substitute in Beef Burgers Subjected to Storage in Cold Conditions. Molecules, 27(8), 2397. https://doi.org/10.3390/molecules27082397

