Topic Editors

1. Department of Agricultural, Environmental and Food Sciences (DiAAA), University of Molise, Via de Sanctis, 86100 Campobasso, Italy
2. Division of Rome, Institute of Atmospheric Pollution Research, c/o Ministry of Environment and Energy Security, 00147 Rome, Italy
Institute for Anthropological Research, Gajeva ul. 32, 10000 Zagreb, Croatia

Ecosystems and Climate Change: Understanding Impacts to Shape the Future

Abstract submission deadline
30 September 2026
Manuscript submission deadline
31 December 2026
Viewed by
4221

Topic Information

Dear Colleagues,

This topic explores the intersection of environmental chemistry, human health, and climate change, focusing on how climate shifts influence the presence, behavior, fate, and distribution of anthropogenic substances across all environmental compartments—air, soil, sediment, water, and biota. It welcomes both experimental studies and literature reviews, with a dual emphasis on mitigation and adaptation strategies. Technological innovations applicable to large-scale environmental challenges and climate disaster response will also be featured.

A distinctive aspect of this issue is its holistic perspective, addressing critical processes such as bioconcentration, bioaccumulation, biomagnification, biotransformation, and the environmental fate of pollutants. It will also delve into contaminant dynamics, environmental processes, ecotoxicology, and toxicological impacts, all viewed through the lens of climate change.

By re-examining established topics with a climate-focused perspective, the Topic seeks to advance understanding of how environmental and chemical stressors affect both ecosystems and human health. It aligns with the journal’s mission to support sustainable development, offering timely insights and scientific contributions to pressing global issues.

Prof. Dr. Pasquale Avino
Dr. Mario Lovrić
Topic Editors

Keywords

  • climate changes
  • pollutants
  • energy
  • energy transition
  • environmental chemistry

Participating Journals

Journal Name Impact Factor CiteScore Launched Year First Decision (median) APC
Atmosphere
atmosphere
2.3 4.9 2010 19.7 Days CHF 2400 Submit
Gases
gases
- 5.4 2021 30.9 Days CHF 1200 Submit
International Journal of Environmental Research and Public Health
ijerph
- 8.5 2004 29.5 Days CHF 2500 Submit
Sustainability
sustainability
3.3 7.7 2009 17.9 Days CHF 2400 Submit
Toxics
toxics
4.1 6.4 2013 17.8 Days CHF 2600 Submit

Preprints.org is a multidisciplinary platform offering a preprint service designed to facilitate the early sharing of your research. It supports and empowers your research journey from the very beginning.

MDPI Topics is collaborating with Preprints.org and has established a direct connection between MDPI journals and the platform. Authors are encouraged to take advantage of this opportunity by posting their preprints at Preprints.org prior to publication:

  1. Share your research immediately: disseminate your ideas prior to publication and establish priority for your work.
  2. Safeguard your intellectual contribution: Protect your ideas with a time-stamped preprint that serves as proof of your research timeline.
  3. Boost visibility and impact: Increase the reach and influence of your research by making it accessible to a global audience.
  4. Gain early feedback: Receive valuable input and insights from peers before submitting to a journal.
  5. Ensure broad indexing: Web of Science (Preprint Citation Index), Google Scholar, Crossref, SHARE, PrePubMed, Scilit and Europe PMC.

Published Papers (5 papers)

Order results
Result details
Journals
Select all
Export citation of selected articles as:
25 pages, 3492 KB  
Article
AI-Driven Analysis of Meteorological and Emission Characteristics Influencing Urban Smog: A Foundational Insight into Air Quality
by Sadaf Zeeshan and Muhammad Ali Ijaz Malik
Gases 2026, 6(1), 10; https://doi.org/10.3390/gases6010010 - 5 Feb 2026
Viewed by 1024
Abstract
In South Asia, smog has become a critical environmental concern that endangers public health, ecosystems, and the regional climate. To determine the primary causes of smog formation in Lahore during peak polluted months (October and November), the current study develops a dual analytical [...] Read more.
In South Asia, smog has become a critical environmental concern that endangers public health, ecosystems, and the regional climate. To determine the primary causes of smog formation in Lahore during peak polluted months (October and November), the current study develops a dual analytical framework that combines cutting-edge machine learning with sector- and pollutant-specific emission analysis. To assess their relationship with Air Quality Index (AQI) and create a high-accuracy predictive model, meteorological factors and emission data from key sectors are used to build Random Forest and extreme gradient boosting (XGBoost) models. The current study evaluates the joint effects of weather and emission loads on AQI variability by integrating atmospheric dynamics with comprehensive emission profiles. The XGBoost model forecasts important pollutants from the transportation, industrial, and agricultural sectors, including carbon dioxide (CO2), oxides of nitrogen (NOx), Volatile Organic Compounds (VOCs), and particulate matter, in the second analytical tier. Particulate matter (PM), NOx, and transport-related pollutants are consistently identified by the models as the primary predictors of AQI, with high prediction performance. Furthermore, a 3-fold split is used for cross-validation, making sure that each fold maintained the data’s chronological order to avoid leakage. The model has modest root mean square error (RMSE) levels (4.32 and 8.14) and high coefficient of determination (R2) values (0.93–0.99). Approximately 90% of Lahore’s annual emissions resulted from the transportation sector. These results offer aid to policymakers to anticipate air quality, identify important emission sources, and execute targeted initiatives to minimize smog and promote a healthier urban environment. The current study also helps in analyzing the causes of atmospheric and sectoral pollution. While the study captures smog dynamics during peak pollution months, its temporal scope is limited, and finer spatial measurements could further improve the generalizability of the results. Full article
Show Figures

Figure 1

23 pages, 4680 KB  
Article
Economic and Technical Viability of Solar-Assisted Methane Pyrolysis for Sustainable Hydrogen Production from Stranded Gas in Nigeria
by Campbell Oribelemam Omuboye and Chigozie Nweke-Eze
Gases 2026, 6(1), 8; https://doi.org/10.3390/gases6010008 - 2 Feb 2026
Viewed by 452
Abstract
This study presents a techno-economic assessment of a modular, solar-assisted methane pyrolysis pilot plant designed for sustainable hydrogen production in Nigeria using concentrated solar power (CSP). Driven by the need to convert flare gas into value and reduce emissions, the work evaluates a [...] Read more.
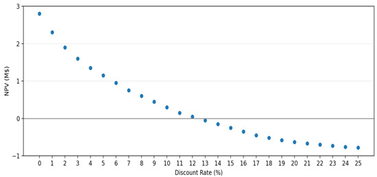
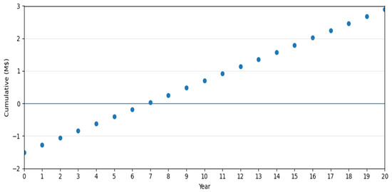
This study presents a techno-economic assessment of a modular, solar-assisted methane pyrolysis pilot plant designed for sustainable hydrogen production in Nigeria using concentrated solar power (CSP). Driven by the need to convert flare gas into value and reduce emissions, the work evaluates a hypothetical 100 kg/day hydrogen system by integrating a methane pyrolysis reactor with a solar heliostat–receiver field. Process modelling was carried out in DWSIM, while solar concentration behavior was represented using Tonatiuh. The mass–energy balance results show a hydrogen output of 3.95 kg/h accompanied by 12.30 kg/h of carbon black, with the reactor demanding roughly 44 kW of high-temperature heat at 900 °C. The total capital cost of the ≈50 kW pilot plant is approximately USD 1.5 million, with heliostat and receiver technologies forming the bulk of the investment. Annual operating costs are estimated at USD 69,580, alongside feedstock expenses of USD 43,566. Using annualized cost and discounted cash flow approaches, the resulting levelized cost of hydrogen (LCOH) is USD 5.87/kg, which is competitive with off-grid electrolysis in the region, though still above blue and gray hydrogen benchmarks. The results indicate that hydrogen cost is primarily driven by solar field capital expenditure and carbon by-product valorization. Financial indicators reveal a positive NPV, a 13% IRR, and a 13-year discounted payback period, highlighting the promise of solar-assisted methane pyrolysis as a transitional hydrogen pathway for Nigeria. Full article
Show Figures

Graphical abstract

14 pages, 4593 KB  
Article
Evolution of Tropospheric Ozone and Surface Temperature in Mexico City from 2000 to 2021
by Telma Castro, Oscar Peralta, Armando Sánchez-Vargas and Alejandro Salcido
Atmosphere 2025, 16(12), 1379; https://doi.org/10.3390/atmos16121379 - 5 Dec 2025
Viewed by 597
Abstract
We analyze the relation between maximum tropospheric ozone concentration and surface temperature in Mexico City between 2000 and 2021. Changes in ozone levels over the decades appear to respond to public strategies aimed at reducing its precursors. The exponential fit between temperature and [...] Read more.
We analyze the relation between maximum tropospheric ozone concentration and surface temperature in Mexico City between 2000 and 2021. Changes in ozone levels over the decades appear to respond to public strategies aimed at reducing its precursors. The exponential fit between temperature and maximum ozone concentration is [O3] = 9.33 × exp (0.0957 × T), with a coefficient of determination of 0.73, for the period 2000–2021. Reordering the data by five-year period improves the fit slightly; the intercepts increase from 8.431 (2000–2004) to 10.428 (2015–2019), and the slopes decrease from 0.1051 (2000–2004) to 0.0839 (2015–2019), providing a quantitative insight into how public strategies and policies modify air pollution and make Mexico City’s atmosphere less reactive. Full article
Show Figures

Figure 1

21 pages, 7051 KB  
Article
Inter-Monthly Variations in CO2 and CH4 Fluxes in a Temperate Forest: Coupling Dynamics and Environmental Drivers
by Chuying Guo, Fuxi Ke, Leiming Zhang and Shenggong Li
Atmosphere 2025, 16(12), 1326; https://doi.org/10.3390/atmos16121326 - 24 Nov 2025
Viewed by 532
Abstract
Climate change, driven largely by anthropogenic greenhouse gas emissions, is a major global issue. Long-term high-frequency measurements of gas fluxes remain limited, especially outside the growing season. This study addresses two key gaps: the absence of continuous annual data capturing diurnal and seasonal [...] Read more.
Climate change, driven largely by anthropogenic greenhouse gas emissions, is a major global issue. Long-term high-frequency measurements of gas fluxes remain limited, especially outside the growing season. This study addresses two key gaps: the absence of continuous annual data capturing diurnal and seasonal variations, and the biases from suboptimal sampling timing. Using automated chambers, we monitored soil CO2 and CH4 fluxes throughout 2016 in a temperate forest on Changbai Mountain, China. Our results showed a strong negative correlation between annual CO2 and CH4 fluxes, with a slope of −0.21 and R2 of 0.70. This relationship persisted from March to November but was absent during the winter and April. Both gases exhibited the largest diurnal variations in summer. Statistical analysis identified 16:00 as the optimal single sampling time for estimating daily mean fluxes in most months. CO2 fluxes were primarily governed by temperature but modulated by VWC (soil volumetric water content). They were suppressed during summer drought and enhanced during winter freeze–thaw cycles. CH4 uptake rates were strongly dependent on VWC throughout the growing season, while their temperature response underwent a reversal from positive in summer to negative in winter. Decision tree analysis revealed nonlinear threshold responses. CO2 fluxes exhibited three temperature thresholds between 5.30 and 15.64 °C and two VWC thresholds between 0.30 and 0.42 m3 m−3. CH4 fluxes showed five temperature thresholds ranging from 2.34 to 15.71 °C and seven VWC thresholds from 0.11 to 0.44 m3 m−3. The strongest anticorrelation between CH4 flux and temperature occurred at intermediate VWC levels. This study provides detailed characteristics of greenhouse gas fluxes based on complete annual high-frequency data. It emphasizes the importance of year-round monitoring and offers improved sampling strategies and mechanistic insights for better flux monitoring and climate prediction. Full article
Show Figures

Figure 1

28 pages, 5708 KB  
Article
Exploring the Spatiotemporal Impact of Landscape Patterns on Carbon Emissions Based on the Geographically and Temporally Weighted Regression Model: A Case Study of the Yellow River Basin in China
by Junhui Hu, Yang Du, Yueshan Ma, Danfeng Liu, Jingwei Yu and Zefu Miao
Sustainability 2025, 17(20), 9140; https://doi.org/10.3390/su17209140 - 15 Oct 2025
Viewed by 626
Abstract
In promoting the “dual-carbon goals” and sustainable development strategy, analyzing the spatio-temporal response mechanism of landscape patterns to carbon emissions is a critical foundation for achieving carbon emission reductions. However, existing research primarily targets urbanized zones or individual ecosystem types, often overlooking how [...] Read more.
In promoting the “dual-carbon goals” and sustainable development strategy, analyzing the spatio-temporal response mechanism of landscape patterns to carbon emissions is a critical foundation for achieving carbon emission reductions. However, existing research primarily targets urbanized zones or individual ecosystem types, often overlooking how landscape pattern affects carbon emissions across entire watersheds. This research examines spatial–temporal characteristics of carbon emissions and landscape patterns in China’s Yellow River Basin, utilizing Kernel Density Estimation, Moran’s I, and landscape indices. The Geographically and Temporally Weighted Regression model is used to analyze the impact of landscape patterns and their spatial–temporal changes, and recommendations for sustainable low-carbon development planning are made accordingly. The findings indicate the following: (1) The overall carbon emissions show a spatial pattern of “low upstream, high midstream and medium downstream”, with obvious spatial clustering characteristics. (2) The degree of fragmentation in the upstream area decreases, and the aggregation and heterogeneity increase; the landscape fragmentation in the midstream area increases, the aggregation decreases, and the diversity increases; the landscape pattern in the downstream area is generally stable, and the diversity increases. (3) The number of patches, staggered adjacency index, separation index, connectivity index and modified Simpson’s evenness index are positively correlated with carbon emissions; landscape area, patch density, maximum number of patches, and average shape index are negatively correlated with carbon emissions; the distribution of areas positively or negatively correlated with average patch area is more balanced, while the spread index shows a nonlinear relationship. (4) The effects of landscape pattern indices on carbon emissions exhibit substantial spatial heterogeneity. For example, the negative impact of landscape area expands upstream, patch density maintains a strengthened negative effect downstream, and the diversity index shifts from negative to positive in the upper reaches but remains stable downstream. This study offers scientific foundation and data support for optimizing landscape patterns and promoting low-carbon sustainable development in the basin, aiding in the establishment of carbon reduction strategies. Full article
Show Figures

Figure 1

Back to TopTop