Sign in to use this feature.

Years

Between: -

Subjects

remove_circle_outline
remove_circle_outline
remove_circle_outline
remove_circle_outline
remove_circle_outline
remove_circle_outline
remove_circle_outline
remove_circle_outline
remove_circle_outline

Journals

Article Types

Countries / Regions

Search Results (87)

Search Parameters:
Keywords = varietal variability

Order results
Result details
Results per page
Select all
Export citation of selected articles as:
15 pages, 3698 KB  
Article
Effects of Nitrogen Application Rate on Bulb Yield, Nitrogen Use Efficiency, and Normalised Difference Red Edge-Based Nitrogen Diagnostics in Garlic Varieties
by Binh T. Nguyen, Johannes B. Wehr, Timothy J. O’Hare, Neal W. Menzies and Stephen M. Harper
Agronomy 2026, 16(3), 338; https://doi.org/10.3390/agronomy16030338 - 29 Jan 2026
Viewed by 261
Abstract
Optimising nitrogen (N) management is crucial for improving garlic (Allium sativum L.) productivity and nitrogen use efficiency (NUE). This study evaluated the effects of N application rate on bulb yield, NUE, and the links between N status, Normalised Difference Eed Edge (NDRE), [...] Read more.
Optimising nitrogen (N) management is crucial for improving garlic (Allium sativum L.) productivity and nitrogen use efficiency (NUE). This study evaluated the effects of N application rate on bulb yield, NUE, and the links between N status, Normalised Difference Eed Edge (NDRE), and yield. A field experiment was conducted using nine N rates (0–360 kg N ha−1) across three garlic varieties (Glenlarge, Southern Glen and AV08). Foliage and bulb N concentrations were measured at key growth stages, and yield components were determined at 185 days after planting (DAP). NDRE values were collected at 147 DAP to evaluate their potential as non-destructive indicators of crop N status and yield. Nitrogen rate significantly affected bulb yield, with maximum yield achieved at 160–240 kg N ha−1. Increasing the N application rate reduced dry matter content and NUE across three garlic varieties. NDRE showed strong positive correlations with N rate (r2 = 0.96), leaf N concentration (r2 ≥ 0.82), and bulb yield (r2 = 0.85), demonstrating its sensitivity to in-season N variability and its potential for yield prediction. This study provides a systematic assessment of NDRE for N status diagnosis in garlic and presents initial evidence of varietal differences in N response, contributing to improving the understanding of management in this crop. Full article
Show Figures

Figure 1

26 pages, 6732 KB  
Article
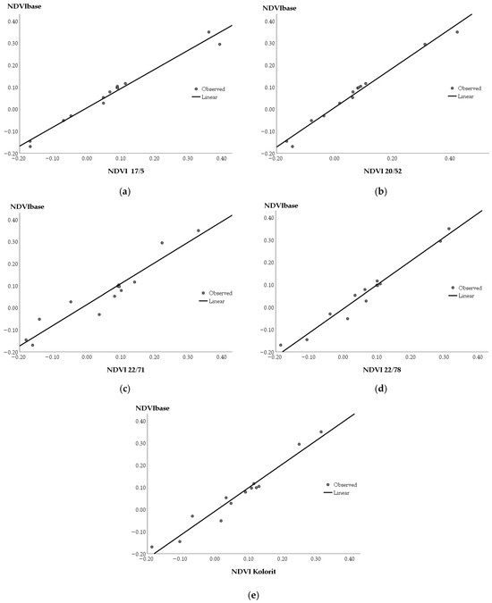
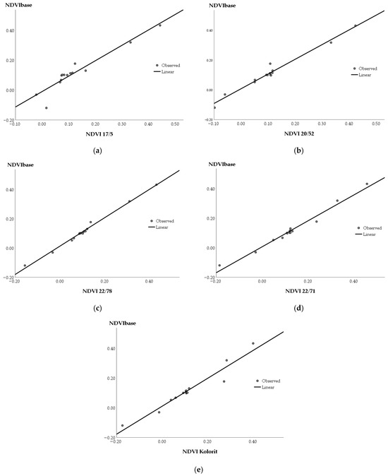
Analysis of Vegetation Dynamics and Phenotypic Differentiation in Five Triticale (×Triticosecale Wittm.) Varieties Using UAV-Based Multispectral Indices
by Asparuh I. Atanasov, Hristo P. Stoyanov, Atanas Z. Atanasov and Boris I. Evstatiev
Agronomy 2026, 16(3), 303; https://doi.org/10.3390/agronomy16030303 - 25 Jan 2026
Viewed by 585
Abstract
This study investigates the vegetation dynamics and phenotypic differentiation of five triticale (×Triticosecale Wittm.) varieties under the region-specific agroecological conditions of Southern Dobruja, Bulgaria, across two growing seasons (2024–2025), with the aim of evaluating how local climatic variability shapes vegetation index patterns. [...] Read more.
This study investigates the vegetation dynamics and phenotypic differentiation of five triticale (×Triticosecale Wittm.) varieties under the region-specific agroecological conditions of Southern Dobruja, Bulgaria, across two growing seasons (2024–2025), with the aim of evaluating how local climatic variability shapes vegetation index patterns. UAV-based multispectral imaging was employed throughout key phenological stages to obtain reflectance indices, including NDVI, SAVI, EVI2, and NIRI, which served as indicators of canopy development and physiological status. NDVI was used as the primary reference index, and a baseline value (NDVIbase), defined as the mean NDVI across all varieties on a given date, was applied to evaluate relative varietal deviations over time. Multiple linear regression analyses were performed to assess the relationship between NDVI and baseline biometric parameters for each variety, revealing that varieties 22/78 and 20/52 exhibited reflectance dynamics most closely aligned with expected developmental trends in 2025. In addition, the relationship between NDVI and meteorological variables was examined for the variety Kolorit, demonstrating that relative humidity exerted a pronounced influence on index variability. The findings highlight the sensitivity of triticale vegetation indices to both varietal characteristics and short-term climatic fluctuations. Overall, the study provides a methodological framework for integrating UAV-based multispectral data with meteorological information, emphasizing the importance of region-specific, time-resolved monitoring for improving precision agriculture practices, optimizing crop management, and supporting informed variety selection. Full article
(This article belongs to the Section Precision and Digital Agriculture)
Show Figures

Figure 1

19 pages, 2687 KB  
Article
Flowering Phenograms and Genetic Sterilities of Ten Olive Cultivars Grown in a Super-High-Density Orchard
by Francesco Maldera, Francesco Nicolì, Simone Pietro Garofalo, Francesco Laterza, Gaetano Alessandro Vivaldi and Salvatore Camposeo
Horticulturae 2026, 12(1), 110; https://doi.org/10.3390/horticulturae12010110 - 19 Jan 2026
Viewed by 374
Abstract
The introduction of Super-High-Density (SHD) olive orchards represents a crucial innovation in modern olive growing, enhancing sustainability. However, the long-term success of these planting systems depends strongly on cultivar selection, combining suitable vegetative and reproductive traits. This three-year field study investigated key floral [...] Read more.
The introduction of Super-High-Density (SHD) olive orchards represents a crucial innovation in modern olive growing, enhancing sustainability. However, the long-term success of these planting systems depends strongly on cultivar selection, combining suitable vegetative and reproductive traits. This three-year field study investigated key floral biology parameters—flowering phenograms, gynosterility, and self-compatibility—of ten olive cultivars grown under irrigated conditions in southern Italy: ‘Arbequina’, ‘Arbosana’, ‘Cima di Bitonto’, ‘Coratina’, ‘Don Carlo’, ‘Frantoio’, ‘Favolosa’ (=‘Fs-17’), ‘I-77’, ‘Koroneiki’, and ‘Urano’ (=‘Tosca’). Flowering phenograms varied significantly across years and cultivars, showing temporal shifts related to chilling accumulation and yield of the previous year. Early blooming cultivars (‘Arbequina’, ‘Arbosana’, and ‘Coratina’) exhibited partial flowering overlap with mid-season ones, enhancing cross-pollination opportunities. Quantitative analysis of flowering overlap revealed that most cultivar combinations exceeded the 70% threshold required for effective pollination, although specific genotypes (‘Coratina’, ‘Fs-17’, and especially ‘I-77’) showed critical mismatches, while ‘Frantoio’ and ‘Arbequina’ emerged as the most reliable pollinizers. Gynosterility exhibited statistical differences among cultivars and canopy positions: ‘I-77’ showed the highest values (71.4%), while ‘Coratina’ and ‘Cima di Bitonto’ showed the lowest ones (7.3 and 8.4%, respectively). The median portions of the canopies generally displayed a greater number of sterile flowers (29.4%), reflecting the combined effect of genetic and environmental factors such as light exposure. In the inflorescence, the majority of gynosterile flowers were concentrated in the lower part, for all canopy portions (modal value). Self-compatibility tests were performed considering a fruit set of 1% as a threshold to discriminate. For open pollination, the fruit set was highly variable among cultivars, ranging from 0.5% in ‘I-77’ to 4.7% in ‘Arbosana’. Apart from ‘I77’, all varieties achieved a fruit set greater than 1%. Instead, for the self-pollination, only ‘Arbequina’, ‘Koroneiki’, ‘Frantoio’, and ‘Cima di Bitonto’ could be identified as pseudo-self-compatible, whereas ‘Coratina’, ‘Fs-17’, and the others were clearly self-incompatible and therefore unsuitable for monovarietal orchards in areas with limited availability of pollen. By integrating self-compatibility and gynosterility data, the cultivars were ranked according to reproductive aptitude, identifying ‘Cima di Bitonto’ and ‘Frantoio’ as the most fertile genotypes, whereas ‘Don Carlo’ and particularly ‘I-77’ showed severe genetic sterility constraints. The findings underline the critical role of floral biology in defining reproductive efficiency and varietal adaptability in SHD systems. This research provides valuable insights for optimizing cultivar selection, orchard design, and management practices, contributing to the development of sustainable, climate-resilient olive production models for Mediterranean environments. Full article
(This article belongs to the Special Issue Fruit Tree Physiology, Sustainability and Management)
Show Figures

Graphical abstract

16 pages, 728 KB  
Article
Influence of Yeast and Enzyme Formulation on Prosecco Wine Aroma During Storage on Lees
by Jessica Anahi Samaniego Solis, Giovanni Luzzini, Naíssa Prévide Bernardo, Anita Boscaini, Andrea Dal Cin, Vittorio Zandonà, Maurizio Ugliano, Olga Melis and Davide Slaghenaufi
Beverages 2026, 12(1), 8; https://doi.org/10.3390/beverages12010008 - 6 Jan 2026
Viewed by 675
Abstract
This study investigated the impact of two yeast strains (SP665 and CGC62) and glucanase enzyme treatments (A-D) on the secondary fermentation kinetics and aroma profile of sparkling Prosecco wines. The strains exhibited markedly different fermentation behaviors: SP665 induced rapid refermentation, reaching 8.5 bar [...] Read more.
This study investigated the impact of two yeast strains (SP665 and CGC62) and glucanase enzyme treatments (A-D) on the secondary fermentation kinetics and aroma profile of sparkling Prosecco wines. The strains exhibited markedly different fermentation behaviors: SP665 induced rapid refermentation, reaching 8.5 bar in 46 days, while CGC62 showed a slower fermentation rate, reaching 6.5 bar in 64 days. Despite these kinetic differences, basic enological parameters after refermentation and following three months of lees aging were similar for both strains. A total of 66 volatile compounds across various chemical families were identified and quantified. Principal component analysis (PCA) revealed that aging time (T1 vs. T2) was the main driver of variability (50.74% of total variance), with SP665 and CGC62 wines showing distinct profiles. At T1, SP665 wines had higher levels of acetate esters and norisoprenoids, while CGC62 wines were richer in volatile sulfur compounds (VSCs) and monoterpenoids. At T2, SP665 wines showed increased levels of carbon disulfide, higher alcohols, and ethyl butanoate, whereas CGC62 wines retained higher concentrations of varietal compounds and certain esters. The effect of glucanase enzymes varied depending on yeast strain and aging stage. Enzyme treatments, especially C (β-glucanase) and D, influenced the concentration of several aroma compounds, particularly in CGC62 wines, enhancing varietal aromas and esters. However, the impact on SP665 wines was more limited and emerged primarily after aging. Although differences in aroma composition were statistically significant, most changes were below olfactory perception thresholds. Overall, glucanase enzymes and yeast selection influenced aroma development, though their effects may have limited sensory relevance. Full article
(This article belongs to the Section Wine, Spirits and Oenological Products)
Show Figures

Figure 1

24 pages, 3640 KB  
Article
Differences in Non-Anthocyanin Phenolics and Antioxidant Capacity of 27 Red Grapevine Varieties Grown in Northern Portugal
by Miguel Baltazar, Sandra Pereira, Eliana Monteiro, Vânia Silva, Helena Ferreira, Joana Valente, Fernando Alves, Isaura Castro and Berta Gonçalves
Molecules 2026, 31(1), 11; https://doi.org/10.3390/molecules31010011 - 19 Dec 2025
Cited by 1 | Viewed by 465
Abstract
Climate change imposes significant challenges on vitiviniculture, increasing the need to identify more resilient grapevine varieties. While red grape varieties are known for their high anthocyanin content, other phenolic compounds should also be considered when assessing adaptability to biotic and abiotic stresses. For [...] Read more.
Climate change imposes significant challenges on vitiviniculture, increasing the need to identify more resilient grapevine varieties. While red grape varieties are known for their high anthocyanin content, other phenolic compounds should also be considered when assessing adaptability to biotic and abiotic stresses. For this, the phenolic composition and antioxidant capacity of 27 red Vitis vinifera L. varieties grown in Portugal were studied across two years. Under warmer and drier conditions, most varieties exhibited higher total phenolic content (TPC) and antioxidant activity, with ‘Donzelinho Tinto’ and ‘Zinfandel’ displaying the most pronounced increases. These varieties also had the highest increases in phenolic acids and flavan-3-ols, highlighting how environmental stress modulates secondary metabolites. Varieties such as ‘Aragonez’, ‘Trincadeira’, ‘Touriga Franca’, and ‘Tinta Francisca’, demonstrated stable profiles, indicating a robust response to climatic fluctuation. Correlation analysis revealed strong associations between TPC and antioxidant capacity, highlighting the importance of phenolics in mitigating oxidative stress. By identifying varieties with enhanced phenolic and antioxidant plasticity, the diversity observed in this work offers valuable insights for future varietal selection aimed at mitigating climate change-induced challenges. Overall, this work reinforces the potential of varietal selection to promote sustainable viticulture in regions increasingly impacted by climatic variability. Full article
(This article belongs to the Special Issue Food Bioactive Components in Functional Foods and Nutraceuticals)
Show Figures

Figure 1

15 pages, 9660 KB  
Article
Ecological Suitability Modeling of Sweet Cherry (Prunus avium L.) in the Fez-Meknes Region of Morocco Under Current Climate Conditions
by Kamal El Fallah, Amine Amar, El Hassan Mayad, Zahra El Kettabi, Miloud Maqas and Jamal Charafi
Sustainability 2025, 17(23), 10573; https://doi.org/10.3390/su172310573 - 25 Nov 2025
Viewed by 857
Abstract
Sweet cherry (Prunus avium L.), a temperate fruit species highly sensitive to thermal and hydric stress, faces increasing cultivation challenges in semi-arid regions such as Fez-Meknes (Morocco) due to climate change. This study aims to identify ecologically suitable zones for sweet cherry [...] Read more.
Sweet cherry (Prunus avium L.), a temperate fruit species highly sensitive to thermal and hydric stress, faces increasing cultivation challenges in semi-arid regions such as Fez-Meknes (Morocco) due to climate change. This study aims to identify ecologically suitable zones for sweet cherry cultivation by modeling its current potential distribution using the MaxEnt (Maximum Entropy) approach. A total of 1151 georeferenced occurrence records were collected through field surveys and validated with satellite imagery. Nineteen bioclimatic variables from the WorldClim database were initially considered, and a subset with low multicollinearity (|r| < 0.7) was retained for analysis. Model performance, evaluated using the area under the ROC curve (AUC), yielded a high mean value of 0.960 ± 0.014, indicating excellent predictive accuracy. Elevation, annual precipitation (BIO12), and precipitation seasonality (BIO15) emerged as key drivers of the species’ distribution, as confirmed by both Jackknife and SPCPI analyses. Spatial prediction maps highlighted high-suitability zones in the provinces of Ifrane, El Hajeb, Azrou, and Sefrou, aligning with known agro-climatic production areas. In contrast, lower suitability was observed in more arid or heat-prone provinces such as Boulemane and Midelt. These findings provide a robust bioclimatic framework for agroecological planning, supporting adaptive varietal zoning and long-term planning for climate-resilient horticulture. Full article
Show Figures

Figure 1

18 pages, 1447 KB  
Article
Influence of Thermal Treatment Conditions and Fruit Batches Variability on the Rheology and Physicochemical Profile of Golden Delicious Apple Purée
by Shichao Li, Alessandro Zanchin, Anna Perbellini, Sebastiano Meggio, Nicola Gabardi, Marco Luzzini and Lorenzo Guerrini
Foods 2025, 14(22), 3912; https://doi.org/10.3390/foods14223912 - 15 Nov 2025
Viewed by 681
Abstract
Apple purée is a processed food typically obtained from ground apples, where quality depends on colour, consistency, and shelf-life. Thermal treatments are commonly applied to adjust rheology and deactivate enzymes responsible for post-packaging deterioration. This study evaluated the effects of heating temperature (87–102 [...] Read more.
Apple purée is a processed food typically obtained from ground apples, where quality depends on colour, consistency, and shelf-life. Thermal treatments are commonly applied to adjust rheology and deactivate enzymes responsible for post-packaging deterioration. This study evaluated the effects of heating temperature (87–102 °C) and duration (6–17 min) on the physical and chemical properties of Golden Delicious apple purée. Three independent batches were processed to examine intra-varietal variability. Chemical analyses assessed enzyme activity and nutritional profile, while physical tests focused on rheology. Image analysis was employed to characterise colour and syneresis. Results showed that short-duration heating at higher temperatures (>100 °C, <12 min) achieved desirable rheological properties but intensified browning. No significant correlations were found between residual enzymatic activity, polyphenol content, antioxidant activity, and thermal treatment conditions. This suggests that changes in colour and texture are primarily related to the physical parameters of heating independently of the origin batch. In contrast, the batch had a significant impact on enzymatic and nutritional profiles, highlighting the need for strict monitoring of incoming fruit. Overall, the heating conditions influenced the visual and textural quality of the purée, while the variability in raw materials remained a significant factor affecting its biochemical characteristics. Full article
(This article belongs to the Section Food Engineering and Technology)
Show Figures

Figure 1

22 pages, 1623 KB  
Article
Another View of Genotype by Environment Interaction (G × E) Through Correspondence Analysis
by Nikolaos Papafilippou, Zacharenia Kyrana, Emmanouil D. Pratsinakis, Christos Dordas, Angelos Markos and Georgios C. Menexes
Agronomy 2025, 15(11), 2583; https://doi.org/10.3390/agronomy15112583 - 10 Nov 2025
Viewed by 637
Abstract
Understanding genotype × environment (G × E) interaction is essential for the improvement of aromatic crops such as basil (Ocimum basilicum), where yield is strongly influenced by environmental variability. In this study, five basil varieties (Burns Lemon, Cinnamon, Sweet, Red Rubin, [...] Read more.
Understanding genotype × environment (G × E) interaction is essential for the improvement of aromatic crops such as basil (Ocimum basilicum), where yield is strongly influenced by environmental variability. In this study, five basil varieties (Burns Lemon, Cinnamon, Sweet, Red Rubin, and Thai) were evaluated across two years (2015–2016, 2016–2017) and three irrigation levels (40%, 70%, and 100% of the full water requirement) to assess dry biomass yield. ANOVA and mean performance plots confirmed significant varietal differences (F = 33.972, p < 0.001) and substantial Y × V interaction (F = 23.578, p < 0.001), motivating a deeper exploration of association patterns. To this end, we proposed the use of a modified version of Simple Correspondence Analysis (CA) combined with three variations of bi-plot analyses in order to explore the (G × E) interaction. In addition, another modification of CA is proposed and used, CA of raw data (CA-raw), for the same reason. For the purpose of the study, the combinations of the two cultivation periods (years) by the three irrigation levels were considered as six environments. Results showed that the proposed modification of CA of raw data serves as a faithful baseline for the study of (G × E) interaction. On the other hand, the proposed modified version of simple CA, after proper normalization (row, column, symmetrical, principal) of the factorial scores of the five basil varieties and the six environments, provide insights depending on whether the research focus lies on varieties, environments, or their joint associations (interaction). Overall, the combined use of ANOVA, mean plots, and CA under multiple normalizations and modifications demonstrated the robustness of the primary varietal–environment contrast, while also showing how methodological choices shape interpretation. The proposed methods are “model free” and can be used also with secondary published data. Full article
Show Figures

Figure 1

18 pages, 2981 KB  
Article
Multispectral and Colorimetric Approaches for Non-Destructive Maturity Assessment of Specialty Arabica Coffee
by Seily Cuchca Ramos, Jaris Veneros, Carlos Bolaños-Carriel, Grobert A. Guadalupe, Marilu Mestanza, Heyton Garcia, Segundo G. Chavez and Ligia Garcia
Foods 2025, 14(21), 3644; https://doi.org/10.3390/foods14213644 - 25 Oct 2025
Viewed by 828
Abstract
This study evaluated the integration of non-invasive remote sensing and colorimetry to classify the maturity stages of Coffea arabica fruits across four varieties: Caturra Amarillo, Excelencia, Milenio, and Típica. Multispectral signatures were captured using a Parrot Sequoia camera at wavelengths of 550 nm, [...] Read more.
This study evaluated the integration of non-invasive remote sensing and colorimetry to classify the maturity stages of Coffea arabica fruits across four varieties: Caturra Amarillo, Excelencia, Milenio, and Típica. Multispectral signatures were captured using a Parrot Sequoia camera at wavelengths of 550 nm, 660 nm, 735 nm, and 790 nm, while colorimetric parameters L*, a*, and b* were measured with a high-precision colorimeter. We conducted multivariate analyses, including Principal Component Analysis (PCA) and multiple linear regression (MLR), to identify color patterns and develop predictors for fruit maturity. Spectral curve analysis revealed consistent changes related to ripening: a decrease in reflectance in the green band (550 nm), a progressive increase in the red band (660 nm), and relative stability in the RedEdge and near-infrared regions (735–790 nm). Colorimetric analysis confirmed systematic trends, indicating that the a* component (green to red) was the most reliable indicator of ripeness. Additionally, L* (lightness) decreased with maturity, and the b* component (yellowness to blue) showed varying importance depending on the variety. PCA accounted for over 98% of the variability across all varieties, demonstrating that these three parameters effectively characterize maturity. MLR models exhibited strong predictive performance, with adjusted R2 values ranging between 0.789 and 0.877. Excelencia achieved the highest predictive accuracy, while Milenio demonstrated the lowest, highlighting varietal differences in pigmentation dynamics. These findings show that combining multispectral imaging, colorimetry, and statistical modeling offers a non-destructive, accessible, and cost-effective method for objectively classifying coffee maturity. Integrating this approach into computer vision or remote sensing systems could enhance harvest planning, reduce variability in specialty coffee lots, and improve competitiveness by ensuring greater consistency in cup quality. Full article
(This article belongs to the Special Issue Coffee Science: Innovations Across the Production-to-Consumer Chain)
Show Figures

Figure 1

35 pages, 6909 KB  
Article
Contribution of Artificial Neural Networks (ANNs) in Analyzing and Modeling Phenological Synchronization of Fig and Caprifig in Northern Morocco
by Abdelhalim Chmarkhi, Salama El Fatehi, Imane Mehdi, Widad Benziane, Nouhaila Dihaz, Khaoula El Khatib, Aliki Kapazoglou and Younes Hmimsa
Horticulturae 2025, 11(10), 1235; https://doi.org/10.3390/horticulturae11101235 - 13 Oct 2025
Viewed by 1201
Abstract
The Mediterranean fig (Ficus carica L.) is a dioecious fruit tree of high nutritional and economic value in the Mediterranean basin. In northern Morocco, phenological desynchronization between male and female fig trees limits pollination and production. This study aimed to characterize the [...] Read more.
The Mediterranean fig (Ficus carica L.) is a dioecious fruit tree of high nutritional and economic value in the Mediterranean basin. In northern Morocco, phenological desynchronization between male and female fig trees limits pollination and production. This study aimed to characterize the phenological stages of indigenous fig and caprifig varieties using the BBCH scale and to evaluate the predictive capacity of artificial neural networks (ANNs). This study was conducted in the Bni Ahmed region over two consecutive years (2021 and 2022) at two sites. At each site, a total of 80 female fig trees were selected. Caprifig trees were selected in accordance with their availability (37 trees/site 1; 24 trees/site 2). Local meteorological data were incorporated into the analysis to evaluate the influence of climatic conditions on phenological stages. Our results revealed significant effects of temperature, humidity, and rainfall on phenological dynamics, along with a clear inter-varietal variability and pronounced desynchronization between male and female fig trees. Early-ripening caprifig varieties showed limited pollination efficiency, whereas late-ripening varieties were better synchronized with the longer receptivity period of female fig trees. Importantly, the ANN model demonstrated exceptional predictive performance (R2 up to 0.985, RMSE < 1 day), serving as a robust and practical tool for forecasting key phenological stages and minimizing potential yield losses. These findings demonstrate the value of combining phenological monitoring with AI-based modeling to improve adaptive management of fig orchards under Mediterranean climate change. This is the first study in Morocco to implement such an integrated approach to fig and caprifig trees. Full article
(This article belongs to the Section Fruit Production Systems)
Show Figures

Figure 1

19 pages, 6389 KB  
Article
Morphological and Molecular Insights into Genetic Variability and Heritability in Four Strawberry (Fragaria × ananassa) Cultivars
by Dilrabo K. Ernazarova, Asiya K. Safiullina, Madina D. Kholova, Laylo A. Azimova, Shalola A. Hasanova, Ezozakhon F. Nematullaeva, Feruza U. Rafieva, Navbakhor S. Akhmedova, Mokhichekhra Sh. Khursandova, Ozod S. Turaev, Barno B. Oripova, Mukhlisa K. Kudratova, Aysuliw A. Doshmuratova, Perizat A. Kubeisinova, Nargiza M. Rakhimova, Doston Sh. Erjigitov, Doniyor J. Komilov, Farid A. Ruziyev, Nurbek U. Khamraev, Marguba A. Togaeva, Zarifa G. Nosirova and Fakhriddin N. Kushanovadd Show full author list remove Hide full author list
Horticulturae 2025, 11(10), 1195; https://doi.org/10.3390/horticulturae11101195 - 3 Oct 2025
Cited by 1 | Viewed by 4428
Abstract
Strawberry (Fragaria × ananassa Duch.) is a widely cultivated and economically important fruit crop with increasing consumer demand worldwide. Nowadays, in Uzbekistan, strawberry cultivation surpasses that of many other fruits and vegetables in terms of production volume. However, most genetic studies have [...] Read more.
Strawberry (Fragaria × ananassa Duch.) is a widely cultivated and economically important fruit crop with increasing consumer demand worldwide. Nowadays, in Uzbekistan, strawberry cultivation surpasses that of many other fruits and vegetables in terms of production volume. However, most genetic studies have focused on a limited set of cultivars, leaving a substantial portion of varietal diversity unexplored. This study aimed to evaluate the genetic variability and heritability among selected strawberry cultivars, as well as correlations between certain valuable agronomic traits, using molecular and statistical approaches. Polymorphism analysis was performed, using 67 gene-specific SSR markers, through PCR, and allele variations were observed in 46.3% of the markers analyzed. Among them, 31 markers displayed polymorphic bands, identifying fifty alleles, with one to four alleles per marker. Phylogenetic analysis was performed using MEGA 11 software, while statistical evaluations included AMOVA (GenAIEx), correlation (OriginPro), and descriptive statistics based on standard agronomic methods. Additionally, the degree of cross-compatibility and pollen viability among the cultivars were studied, and their significance for cultivar hybridization was analyzed. The highest fruit weight was observed in the Cinderella cultivar (26.2 g), and a moderate negative correlation (r = −0.688) was found between fruit number and fruit weight. These findings demonstrate the potential of molecular tools for assessing genetic diversity and provide valuable insights for breeding programs aimed at developing improved strawberry cultivars with desirable agronomic traits. Full article
Show Figures

Figure 1

18 pages, 2980 KB  
Article
Deep Learning-Based Identification of Kazakhstan Apple Varieties Using Pre-Trained CNN Models
by Jakhfer Alikhanov, Tsvetelina Georgieva, Eleonora Nedelcheva, Aidar Moldazhanov, Akmaral Kulmakhambetova, Dmitriy Zinchenko, Alisher Nurtuleuov, Zhandos Shynybay and Plamen Daskalov
AgriEngineering 2025, 7(10), 331; https://doi.org/10.3390/agriengineering7100331 - 1 Oct 2025
Viewed by 1278
Abstract
This paper presents a digital approach for the identification of apple varieties bred in Kazakhstan using deep learning methods and transfer learning. The main objective of this study is to develop and evaluate an algorithm for automatic varietal classification of apples based on [...] Read more.
This paper presents a digital approach for the identification of apple varieties bred in Kazakhstan using deep learning methods and transfer learning. The main objective of this study is to develop and evaluate an algorithm for automatic varietal classification of apples based on color images obtained under controlled conditions. Five representative cultivars were selected as research objects: Aport Alexander, Ainur, Sinap Almaty, Nursat, and Kazakhskij Yubilejnyj. The fruit samples were collected in the pomological garden of the Kazakh Research Institute of Fruit and Vegetable Growing, ensuring representativeness and taking into account the natural variability of the cultivars. Two convolutional neural network (CNN) architectures—GoogLeNet and SqueezeNet—were fine-tuned using transfer learning with different optimization settings. The data processing pipeline included preprocessing, training and validation set formation, and augmentation techniques to improve model generalization. Network performance was assessed using standard evaluation metrics such as accuracy, precision, and recall, complemented by confusion matrix analysis to reveal potential misclassifications. The results demonstrated high recognition efficiency: the classification accuracy exceeded 95% for most cultivars, while the Ainur variety achieved 100% recognition when tested with GoogLeNet. Interestingly, the Nursat variety achieved the best results with SqueezeNet, which highlights the importance of model selection for specific apple types. These findings confirm the applicability of CNN-based deep learning for varietal recognition of Kazakhstan apple cultivars. The novelty of this study lies in applying neural network models to local Kazakhstan apple varieties for the first time, which is of both scientific and practical importance. The practical contribution of the research is the potential integration of the developed method into industrial fruit-sorting systems, thereby increasing productivity, objectivity, and precision in post-harvest processing. The main limitation of this study is the relatively small dataset and the use of controlled laboratory image acquisition conditions. Future research will focus on expanding the dataset, testing the models under real production environments, and exploring more advanced deep learning architectures to further improve recognition performance. Full article
(This article belongs to the Special Issue Implementation of Artificial Intelligence in Agriculture)
Show Figures

Figure 1

21 pages, 5613 KB  
Article
Training Strategy Optimization of a Tea Canopy Dataset for Variety Identification During the Harvest Period
by Zhi Zhang, Yongzong Lu and Pengfei Liu
Agriculture 2025, 15(19), 2027; https://doi.org/10.3390/agriculture15192027 - 27 Sep 2025
Viewed by 632
Abstract
Accurate identification of tea plant varieties during the harvest period is a critical prerequisite for developing intelligent multi-variety tea harvesting systems. Different tea varieties exhibit distinct chemical compositions and require specialized processing methods, making varietal purity a key factor in ensuring product quality. [...] Read more.
Accurate identification of tea plant varieties during the harvest period is a critical prerequisite for developing intelligent multi-variety tea harvesting systems. Different tea varieties exhibit distinct chemical compositions and require specialized processing methods, making varietal purity a key factor in ensuring product quality. However, achieving reliable classification under real-world field conditions is challenging due to variable illumination, complex backgrounds, and subtle phenotypic differences among varieties. To address these challenges, this study constructed a diverse canopy image dataset and systematically evaluated 14 convolutional neural network models through transfer learning. The best-performing model was chosen as a baseline, and a comprehensive optimization of the training strategy was conducted. Experimental analysis demonstrated that the combination of Adamax optimizer, input size of 608 × 608, training and validation sets split ratio of 80:20, learning rate of 0.0001, batch size of 8, and 20 epochs produced the most stable and accurate results. The final optimized model achieved an accuracy of 99.32%, representing a 2.20% improvement over the baseline. This study demonstrates the feasibility of highly accurate tea variety identification from canopy imagery but also provides a transferable deep learning framework and optimized training pipeline for intelligent tea harvesting applications. Full article
(This article belongs to the Section Artificial Intelligence and Digital Agriculture)
Show Figures

Figure 1

14 pages, 566 KB  
Article
Compositional and Bioactive Differentiation of Opuntia spp. Fruit Varieties by PCA and LDA
by Liliana Espírito Santo, Cláudia S. G. P. Pereira, Anabela S. G. Costa, Agostinho Almeida, João C. M. Barreira, Maria Beatriz P. P. Oliveira and Ana F. Vinha
Foods 2025, 14(18), 3170; https://doi.org/10.3390/foods14183170 - 11 Sep 2025
Viewed by 966
Abstract
The nutritional, mineral, and bioactive profiles of four Opuntia fruit varieties—Opuntia robusta red variety (OR-RV) and three Opuntia ficus-indica varieties (red, yellow, and green: OFI-RV, OFI-YV, and OFI-GV, respectively)—were characterized to assess their compositional diversity and potential discriminant markers. Standard analytical procedures [...] Read more.
The nutritional, mineral, and bioactive profiles of four Opuntia fruit varieties—Opuntia robusta red variety (OR-RV) and three Opuntia ficus-indica varieties (red, yellow, and green: OFI-RV, OFI-YV, and OFI-GV, respectively)—were characterized to assess their compositional diversity and potential discriminant markers. Standard analytical procedures were applied to determine proximate composition, individual sugars, fibre content, mineral concentration, and bioactive compounds, followed by antioxidant activity assays. Principal Component Analysis (PCA) and Linear Discriminant Analysis (LDA) were used to explore multivariate patterns and identify variables with the greatest discriminatory power. Results revealed significant inter-varietal differences across all measured parameters (p < 0.05). OR-RV displayed the highest non-fibre carbohydrate, protein, copper, and ascorbic acid contents, as well as superior antioxidant activity. OFI-GV stood out for its high soluble and insoluble fibre, magnesium, and strontium levels, while OFI-YV was characterized by elevated sodium and calcium, and OFI-RV by increased protein and glucose contents. LDA identified ascorbic acid, protein, and five mineral elements (Sr, Zn, Cu, Mn, B) as key discriminant variables, achieving 100% classification accuracy. These findings highlight compositional diversity among Opuntia varieties and support their differentiated use in food and health applications. Full article
Show Figures

Figure 1

27 pages, 5105 KB  
Article
Uncovering the Genetic Identity and Diversity of Grapevine (Vitis vinifera L.) in La Palma Island (Canary Archipelago, Spain) Through SSR-Based Varietal Profiling and Population Structure Analysis
by Qiying Lin-Yang, Leonor Deis, Joan Miquel Canals, Fernando Zamora and Francesca Fort
Horticulturae 2025, 11(8), 983; https://doi.org/10.3390/horticulturae11080983 - 19 Aug 2025
Viewed by 1097
Abstract
The primary challenge facing modern agriculture, including viticulture, is the impact of climate change. The scientific community recommends exploring and utilizing both inter-varietal and intra-varietal variability of local grapevines within each region. The goal is to prioritize planting local varieties over international and [...] Read more.
The primary challenge facing modern agriculture, including viticulture, is the impact of climate change. The scientific community recommends exploring and utilizing both inter-varietal and intra-varietal variability of local grapevines within each region. The goal is to prioritize planting local varieties over international and imported ones to mitigate the effects of climate change. Within this context, La Palma Island has undertaken a comprehensive assessment evaluating its viticultural heritage. A total of 96 individuals were collected and subjected to genotyping utilizing 20 simple sequence repeats (SSRs). This analysis yielded 44 unique molecular profiles, of which 3 represent new varieties reported for the first time (Aromatica Eufrosina, Cagarruta de oveja, and Viñarda rosada). Additionally, fourteen previously unreported mutations were identified, of which two contain triallelic SSRs. Consequently, the present population of local grapevines on La Palma Island comprises seven varieties (Albillo criollo, Aromatica Eufrosina, Bienmesabe tinto, Cagarruta de oveja, Gual Mazo, Sabro, and Viñarda rosada). The Bienmesabe tinto variety is possibly an interspecific cross. The varieties Aromatica Eufrosina and Viñarda rosada also presented somewhat particular behavior. The distinctiveness of this grapevine population from La Palma Island reinforces the notion that the Canary Archipelago represents a significant center of grapevine biodiversity. The volcanic activity of Tajogaite (2021) did not have a significant impact on grapevine biodiversity on the island. Full article
Show Figures

Graphical abstract

Back to TopTop