Analysis of Vegetation Dynamics and Phenotypic Differentiation in Five Triticale (×Triticosecale Wittm.) Varieties Using UAV-Based Multispectral Indices
Abstract
1. Introduction
- Planning and establishing the field experiment, including sowing and experimental design.
- Conducting multispectral analyses using UAV imagery to examine trends in four key vegetation indices (NDVI, SAVI, EVI2, and NIRI).
- Monitoring and recording meteorological parameters alongside soil sample data.
- Analyzing the relationships between the collected variables to assess varietal responses and environmental influences.
2. Materials and Methods
2.1. Study Area
2.2. Research Methodology
2.3. Method for Obtaining Reflective Vegetation Indices
- -
- L = 1 for very sparse vegetation;
- -
- L = 0.5 for intermediate vegetation density;
- -
- L = 0.25 for dense vegetation cover.
2.4. Method of Recording and Processing
2.5. Triticale Varieties Studied
- -
- Four Mexican spring-type hexaploid triticale varieties from the CYMMIT collection: 17/5, 20/52, 22/78, and 22/71.
- -
- Kolorit—a Bulgarian winter hexaploid triticale variety that can also be cultivated under spring conditions. Kolorit is characterized by high yield stability under favorable environmental conditions, rapid spring development, and relatively early emergence. The variety produces large, well-filled spikes with comparatively large grains.
2.6. Statistical Processing
3. Results
3.1. Agro-Climatic Conditions During the Monitoring Period
3.2. Soil Parameters During Measurement
3.3. Field Data
3.4. Vegetation Indices
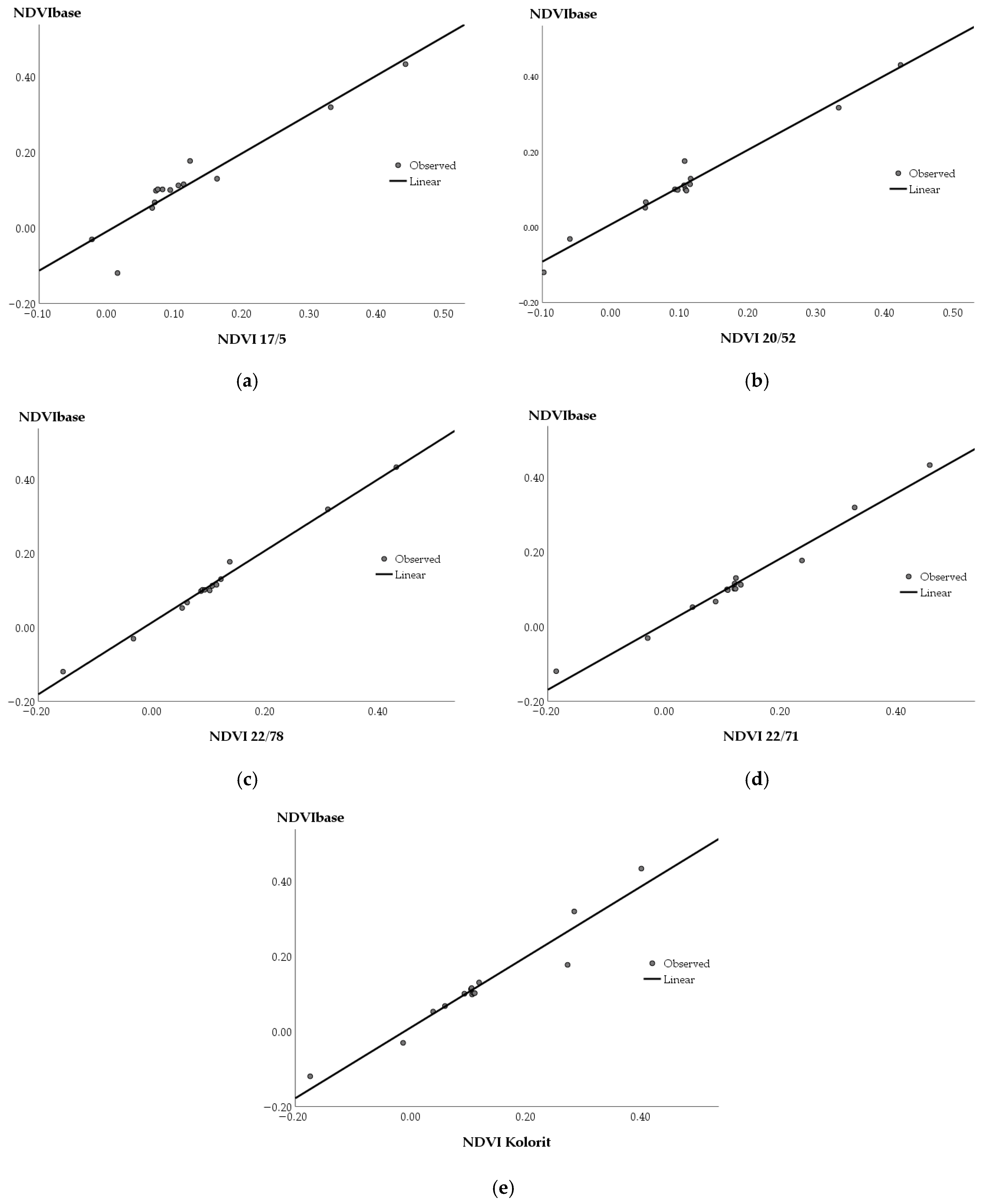
3.5. Analysis of the Temporal Dynamics of NDVI
3.5.1. Analysis of NDVI Deviations from the Mean Trend
3.5.2. Regression Analysis
4. Discussion
5. Conclusions
Author Contributions
Funding
Data Availability Statement
Acknowledgments
Conflicts of Interest
Abbreviations
| NDVI | Normalized difference vegetation index |
| SAVI | Soil adjusted vegetation index |
| EVI2 | Enhanced vegetation index 2 |
| NIRI | Near infra-red index |
| CNN | Convolutional neural networks |
| LSTM | Long short-term memory |
| MLP | Multi-layer perceptron |
References
- Food and Agriculture Organization of the United Nations (FAO). Statistical Databases. 2018. Available online: https://faostat.fao.org/ (accessed on 12 September 2025).
- Padhiary, M.; Rani, N.; Saha, D.; Barbhuiya, J.A.; Sethi, L.N. Efficient precision agriculture with Python-based Raspberry Pi image processing for real-time plant target identification. Int. J. Res. Anal. Rev. 2023, 10, 539–545. [Google Scholar]
- Raghu Vamsi, P.; Upadhyay, P.K. Prediction Model for Precision Agriculture Using Machine Learning. In Data Science and Communication; Tavares, J.M.R.S., Rodrigues, J.J.P.C., Misra, D., Bhattacherjee, D., Eds.; Springer: Singapore, 2024; pp. 1–15. [Google Scholar] [CrossRef]
- Abdullahi, H.S.; Sheriff, R.E. Introduction to deep learning in precision agriculture: Farm image feature detection using unmanned aerial vehicles through classification and optimization process of machine learning with convolution neural network. In Cognitive Data Science in Sustainable Computing, Deep Learning for Sustainable Agriculture; Poonia, R.C., Singh, V., Nayak, S.R., Eds.; Academic Press: Cambridge, MA, USA, 2022; pp. 81–107. [Google Scholar] [CrossRef]
- Zahra, S.; Ruiz, H.; Jung, J.; Adams, T. UAV-Based Phenotyping: A Non-Destructive Approach to Studying Wheat Growth Patterns for Crop Improvement and Breeding Programs. Remote Sens. 2024, 16, 3710. [Google Scholar] [CrossRef]
- Mia, P.; Mamun, M.A. Precision Agriculture Using Machine Learning. 2025. Available online: http://ar.cou.ac.bd:8080/handle/123456789/124 (accessed on 10 August 2025).
- Khan, A.; Patil, C.H.; Vibhute, A.D.; Mali, S. Application of image processing and machine learning techniques for vegetation cover classification in precision agriculture. In Image Processing with Python; IOP Publishing: Bristol, UK, 2024; pp. 11-1–11-29. [Google Scholar] [CrossRef]
- Deng, L.; Mao, Z.; Li, X.; Hu, Z.; Duan, F.; Yan, Y. UAV-based multispectral remote sensing for precision agriculture: A comparison between different cameras. ISPRS J. Photogramm. Remote Sens. 2018, 146, 124–136. [Google Scholar] [CrossRef]
- Ganeva, D.; Roumenina, E.; Dimitrov, P.; Gikov, A.; Jelev, G.; Dyulgenova, B.; Valcheva, D.; Bozhanova, V. Remotely Sensed Phenotypic Traits for Heritability Estimates and Grain Yield Prediction of Barley Using Multispectral Imaging from UAVs. Sensors 2023, 23, 5008. [Google Scholar] [CrossRef]
- Atanasov, A. Possibilities of small robotic UAVs for surveillance of agricultural areas in Southern Dobruja. Bulg. J. Crop Sci. 2024, 61, 100–108. [Google Scholar] [CrossRef]
- Chlingaryan, A.; Sukkarieh, S.; Whelan, B. Machine learning approaches for crop yield prediction and nitrogen status estimation in precision agriculture: A review. Comput. Electron. Agric. 2018, 151, 61–69. [Google Scholar] [CrossRef]
- Omia, E. Remote sensing in field crop monitoring: A comprehensive review of sensor systems, data analyses and recent advances. Remote Sens. 2023, 15, 354. [Google Scholar] [CrossRef]
- Andujar, D.; Martinez-Guanter, J. An overview of precision weed mapping and management based on remote sensing. Remote Sens. 2022, 14, 3621. [Google Scholar] [CrossRef]
- Forkuor, G.; Hounkpatin, O.K.L.; Welp, G.; Thiel, M. High-resolution mapping of soil properties using remote sensing variables in south-western Burkina Faso: A comparison of machine learning and multiple linear regression models. PLoS ONE 2017, 12, e0170478. [Google Scholar] [CrossRef]
- Sheffield, J. Satellite remote sensing for water resources management: Potential for supporting sustainable development in data-poor regions. Water Resour. Res. 2018, 54, 9724–9758. [Google Scholar] [CrossRef]
- Yang, C. Remote sensing and precision agriculture technologies for crop disease detection and management with a practical application example. Eng. J. 2020, 6, 528–532. [Google Scholar] [CrossRef]
- Hopoocolor. Available online: https://www.hopoocolor.com/product/detail/HPCS320.html (accessed on 10 August 2025).
- Elimex. Available online: https://elimex.bg/product/67884-ured-anemometar-termometar-hidrometar-va8021 (accessed on 10 August 2025).
- Rouse, J.W.; Haas, R.H.; Schell, J.A.; Deering, D.W.; Harlan, J.C. Monitoring the Vernal Advancement and Retrogradation of Natural Vegetation; NASA/GSFC: Greenbelt, MD, USA, 1974; p. 371.
- Huete, A.R. A soil-adjusted vegetation index (SAVI). Remote Sens. Environ. 1988, 25, 295–309. [Google Scholar] [CrossRef]
- Jiang, Z.Y.; Huete, A.R.; Didan, K.; Miura, T. Development of a two-band enhanced vegetation index without a blue band. Remote Sens. Environ. 2008, 112, 3833–3845. [Google Scholar] [CrossRef]
- Stevens, F.R. Bridging the Landsat Data Gap: Evaluating ASTER as an Alternative; University of Florida: Gainesville, FL, USA, 2009. [Google Scholar]
- Atanasov, A. A drone-based study on the possibilities of agricultural crop assessment using reflectance index in NIR. Bulg. J. Agric. Sci. 2024, 30, 1136–1140. [Google Scholar]
- Mapir. Available online: https://www.mapir.camera/en-gb/collections/survey3/products/survey3w-camera-red-green-nir-rgn-ndvi (accessed on 10 August 2025).
- DJI. Available online: https://www.dji.com/support/product/phantom-4-adv (accessed on 10 January 2026).
- Pix4D. Available online: https://www.pix4d.com/download-software/ (accessed on 10 August 2025).
- IBM. Available online: https://www.ibm.com/products/spss-statistics (accessed on 10 August 2025).
- Farooq, M.; Wahid, A.; Kobayashi, N.; Fujita, D.; Basra, S.M.A. Plant drought stress: Effects, mechanisms and management. Agron. Sustain. Dev. 2009, 29, 185–212. [Google Scholar] [CrossRef]
- Liu, Y.; Wang, S.; Chen, J.; Chen, B. Rice yield prediction and model interpretation based on satellite and climatic indicators using a transformer method. Remote Sens. 2022, 14, 5045. [Google Scholar] [CrossRef]
- Sun, J.; Di, L.; Sun, Z.; Shen, Y.; Lai, Z. County-level soybean yield prediction using deep CNN-LSTM. Sensors 2019, 19, 4363. [Google Scholar] [CrossRef] [PubMed]
- Zhou, W.; Song, C.; Liu, C.; Fu, Q.; An, T.; Wang, Y.; Sun, X.; Wen, N.; Tang, H.; Wang, Q. A prediction model of maize field yield based on the fusion of multitemporal and multimodal UAV data: A case study in Northeast China. Remote Sens. 2023, 15, 3483. [Google Scholar] [CrossRef]
- Qiao, D.; Yang, J.; Bai, B.; Li, G.; Wang, J.; Li, Z.; Liu, J.; Liu, J. Non-Destructive Monitoring of Peanut Leaf Area Index by Combing UAV Spectral and Textural Characteristics. Remote Sens. 2024, 16, 2182. [Google Scholar] [CrossRef]
- Fu, H.; Li, J.; Lu, J.; Lin, X.; Kang, J.; Zou, W.; Ning, X.; Sun, Y. Prediction of soybean yield at the county scale based on multi-source remote-sensing data and deep learning models. Agriculture 2025, 15, 1337. [Google Scholar] [CrossRef]
- Aslam, A.; Farhan, S. Enhancing rice yield prediction: A deep fusion model ResNet50-LSTM with multi-source data. PeerJ Comput. Sci. 2024, 10, e2219. [Google Scholar] [CrossRef] [PubMed]
- Khallikkunaisa, S.D.J.; Teja, V.T.; Raj, E.S.; Tharun, R. Comprehensive analysis of crop yield prediction using deep learning and remote sensing techniques. Preprints 2025. [Google Scholar] [CrossRef]




















| No | Date | Time | Soil Temp (°C) | Moisture (%) | Conductivity (us/cm) | pH | N (mg/kg) | P (mg/kg) | K (mg/kg) | Fertility (mg/kg) |
|---|---|---|---|---|---|---|---|---|---|---|
| 1 | 27.3 2025 | 14:16 | 18.9 | 18.9 | 117.0 | 6.7 | 5 | 8 | 18 | 64 |
| 2 | 9.4 2025 | 13:04 | 14.9 | 31.5 | 291.0 | 6.3 | 14 | 20 | 46 | 160 |
| 3 | 16.4 2025 | 13:18 | 21.4 | 22.2 | 163.0 | 6.3 | 8 | 11 | 26 | 89 |
| 4 | 23.4 2025 | 12:57 | 26.5 | 20.3 | 132.0 | 6.3 | 6 | 9 | 21 | 72 |
| 5 | 30.4 2025 | 13:03 | 25.4 | 20.8 | 238.0 | 6.4 | 11 | 16 | 38 | 130 |
| 6 | 5.5 2025 | 10:56 | 23.0 | 23.1 | 221.0 | 6.2 | 11 | 15 | 35 | 121 |
| 7 | 13.5 2025 | 13:53 | 21.9 | 21.7 | 258.0 | 6.2 | 12 | 18 | 41 | 141 |
| 8 | 21.5 2025 | 13:19 | 26.9 | 23.5 | 269.0 | 6.3 | 13 | 18 | 43 | 147 |
| 9 | 28.5 2025 | 12:30 | 21.8 | 14.2 | 128.0 | 6.3 | 6 | 8 | 20 | 70 |
| 10 | 5.6 2025 | 14:46 | 35.7 | 22.0 | 185.0 | 6.2 | 9 | 12 | 29 | 101 |
| 11 | 10.6 2025 | 13:59 | 30.5 | 10.3 | 60.0 | 7.0 | 3 | 4 | 9 | 33 |
| 12 | 17.6 2025 | 13:26 | 30.8 | 16.1 | 63.0 | 6.5 | 3 | 4 | 10 | 34 |
| 13 | 24.6 2025 | 13:00 | 39.0 | 10.2 | 8.0 | 7.0 | 0 | 0 | 1 | 4 |
| 14 | 9.7 2025 | 16:35 | 45.3 | 4.6 | 0.0 | 7.0 | 0 | 0 | 0 | 0 |
| I | II | III | IV | V | |
|---|---|---|---|---|---|
| 5 | 90–97 | 85–92 | 70–90 | 65–75 | 80–85 |
| 4 | 80–95 | 90–100 | 85–100 | 65–75 | 70–75 |
| 3 | 90–95 | 90–95 | 82–87 | 65–70 | 70–80 |
| 2 | 90–95 | 85–90 | 85–90 | 80–85 | 75–80 |
| 1 | 85–100 | 90–98 | 85–90 | 70–75 | 70–75 |
| I | II | III | IV | V | |
|---|---|---|---|---|---|
| 3 | 100–117 | 92–117 | 90–96 | 86–96 | 85–96 |
| 2 | 106–112 | 88–96 | 86–93 | 94–103 | 94–96 |
| 1 | 94–106 | 90–106 | 82–96 | 82–92 | 90–92 |
| NDVIbase | NDVI 17/5 | NDVI 20/52 | NDVI 22/78 | NDVI 22/71 | NDVI Kolorit | ||
|---|---|---|---|---|---|---|---|
| Pearson Correlation | NDVIbase | 1.000 | 0.946 | 0.986 | 0.996 | 0.989 | 0.968 |
| NDVI 17/5 | . | 1.000 | 0.960 | 0.938 | 0.891 | 0.851 | |
| NDVI 20/52 | . | . | 1.000 | 0.986 | 0.957 | 0.919 | |
| NDVI 22/78 | . | . | . | 1.000 | 0.984 | 0.956 | |
| NDVI 22/71 | . | . | . | . | 1.000 | 0.990 | |
| NDVI Kolorit | . | . | . | . | . | 1.000 | |
| NDVIbase | NDVI 17/5 | NDVI 20/52 | NDVI 22/78 | NDVI 22/71 | NDVI Kolorit | ||
|---|---|---|---|---|---|---|---|
| Pearson Correlation | NDVIbase | 1.000 | 0.988 | 0.990 | 0.953 | 0.983 | 0.975 |
| NDVI 17/5 | . | 1.000 | 0.981 | 0.920 | 0.975 | 0.952 | |
| NDVI 20/52 | . | . | 1.000 | 0.950 | 0.960 | 0.947 | |
| NDVI 22/78 | . | . | . | 1.000 | 0.891 | 0.893 | |
| NDVI 22/71 | . | . | . | . | 1.000 | 0.990 | |
| NDVI Kolorit | . | . | . | . | . | 1.000 | |
| Mean | Std. Deviation | N | |
|---|---|---|---|
| NDVI | 0.0787 | 0.13589 | 12 |
| Moisture | 16.5833 | 6.25501 | 12 |
| Air temperature | 28.6667 | 8.28211 | 12 |
| Relative humidity | 39.6333 | 8.14687 | 12 |
| NDVI | Moisture | Air Temperature | Relative Humidity | ||
|---|---|---|---|---|---|
| Pearson Correlation | NDVI | 1.000 | 0.439 | −0.097 | 0.562 |
| Moisture | 0.439 | 1.000 | −0.670 | 0.399 | |
| Air temperature | −0.097 | −0.670 | 1.000 | −0.554 | |
| Relative humidity | 0.562 | 0.399 | −0.554 | 1.000 | |
| Sig. (1-tailed) | NDVI | . | 0.077 | 0.383 | 0.029 |
| Moisture | 0.077 | . | 0.009 | 0.099 | |
| Air temperature | 0.383 | 0.009 | . | 0.031 | |
| Relative humidity | 0.029 | 0.099 | 0.031 | . | |
| Model | R | R Square | Adjusted R Square | Std. Error of the Estimate | Change Statistics | Durbin-Watson | ||||
|---|---|---|---|---|---|---|---|---|---|---|
| R Square Change | F Change | df1 | df2 | Sig. F Change | ||||||
| 1 | 0.781 a | 0.610 | 0.464 | 0.09952 | 0.610 | 4.169 | 3 | 8 | 0.047 | 1.477 |
| Model | Sum of Squares | df | Mean Square | F | Sig. | |
|---|---|---|---|---|---|---|
| 1 | Regression | 0.124 | 3 | 0.041 | 4.169 | 0.047 b |
| Residual | 0.079 | 8 | 0.010 | |||
| Total | 0.203 | 11 | ||||
| Model | Relative_Humidity | Moisture | Air_Temperature | ||
|---|---|---|---|---|---|
| 1 | Correlations | Relative_humidity | 1.000 | −0.045 | 0.422 |
| Moisture | −0.045 | 1.000 | 0.588 | ||
| Air_temperature | 0.422 | 0.588 | 1.000 | ||
| Covariances | Relative_humidity | 1.963 × 10−5 | −1.278 × 10−6 | 1.006 × 10−5 | |
| Moisture | −1.278 × 10−6 | 4.184 × 10−5 | 2.048 × 10−5 | ||
| Air_temperature | 1.006 × 10−5 | 2.048 × 10−5 | 2.897 × 10−5 | ||
| Minimum | Maximum | Mean | Std. Deviation | N | |
|---|---|---|---|---|---|
| Predicted Value | −0.1343 | 0.2171 | 0.0787 | 0.10612 | 12 |
| Residual | −0.13847 | 0.13230 | 0.00000 | 0.08487 | 12 |
| Std. Predicted Value | −2.008 | 1.304 | 0.000 | 1.000 | 12 |
| Std. Residual | −1.391 | 1.329 | 0.000 | 0.853 | 12 |
Disclaimer/Publisher’s Note: The statements, opinions and data contained in all publications are solely those of the individual author(s) and contributor(s) and not of MDPI and/or the editor(s). MDPI and/or the editor(s) disclaim responsibility for any injury to people or property resulting from any ideas, methods, instructions or products referred to in the content. |
© 2026 by the authors. Licensee MDPI, Basel, Switzerland. This article is an open access article distributed under the terms and conditions of the Creative Commons Attribution (CC BY) license.
Share and Cite
Atanasov, A.I.; Stoyanov, H.P.; Atanasov, A.Z.; Evstatiev, B.I. Analysis of Vegetation Dynamics and Phenotypic Differentiation in Five Triticale (×Triticosecale Wittm.) Varieties Using UAV-Based Multispectral Indices. Agronomy 2026, 16, 303. https://doi.org/10.3390/agronomy16030303
Atanasov AI, Stoyanov HP, Atanasov AZ, Evstatiev BI. Analysis of Vegetation Dynamics and Phenotypic Differentiation in Five Triticale (×Triticosecale Wittm.) Varieties Using UAV-Based Multispectral Indices. Agronomy. 2026; 16(3):303. https://doi.org/10.3390/agronomy16030303
Chicago/Turabian StyleAtanasov, Asparuh I., Hristo P. Stoyanov, Atanas Z. Atanasov, and Boris I. Evstatiev. 2026. "Analysis of Vegetation Dynamics and Phenotypic Differentiation in Five Triticale (×Triticosecale Wittm.) Varieties Using UAV-Based Multispectral Indices" Agronomy 16, no. 3: 303. https://doi.org/10.3390/agronomy16030303
APA StyleAtanasov, A. I., Stoyanov, H. P., Atanasov, A. Z., & Evstatiev, B. I. (2026). Analysis of Vegetation Dynamics and Phenotypic Differentiation in Five Triticale (×Triticosecale Wittm.) Varieties Using UAV-Based Multispectral Indices. Agronomy, 16(3), 303. https://doi.org/10.3390/agronomy16030303

