Ecological Suitability Modeling of Sweet Cherry (Prunus avium L.) in the Fez-Meknes Region of Morocco Under Current Climate Conditions
Abstract
1. Introduction
- (i)
- model the current potential distribution of Prunus avium in the Fez-Meknes region using the MaxEnt algorithm;
- (ii)
- identify the key environmental variables shaping its ecological niche, with a focus on winter chilling requirements and water availability;
- (iii)
- delineate priority zones for sustainable cherry cultivation under current climatic conditions;
- (iv)
- provide practical recommendations for varietal selection, agroecological zoning, and long-term adaptation strategies to climate change;
- (v)
- develop a decision-support tool that integrates field occurrence data, high-resolution environmental variables, and robust statistical modeling, targeting agronomists, land-use planners, and agricultural stakeholders.
2. Materials and Methods
2.1. Study Site
2.2. Acquisition and Processing of Occurrence Data
2.3. Environmental Data for Cherry Distribution
2.4. Ecological Niche Modeling with MaxEnt
2.5. Variable Importance Assessment
3. Results
3.1. Selection of Non-Redundant Bioclimatic Variables
3.2. Model Performance and Predictive Accuracy
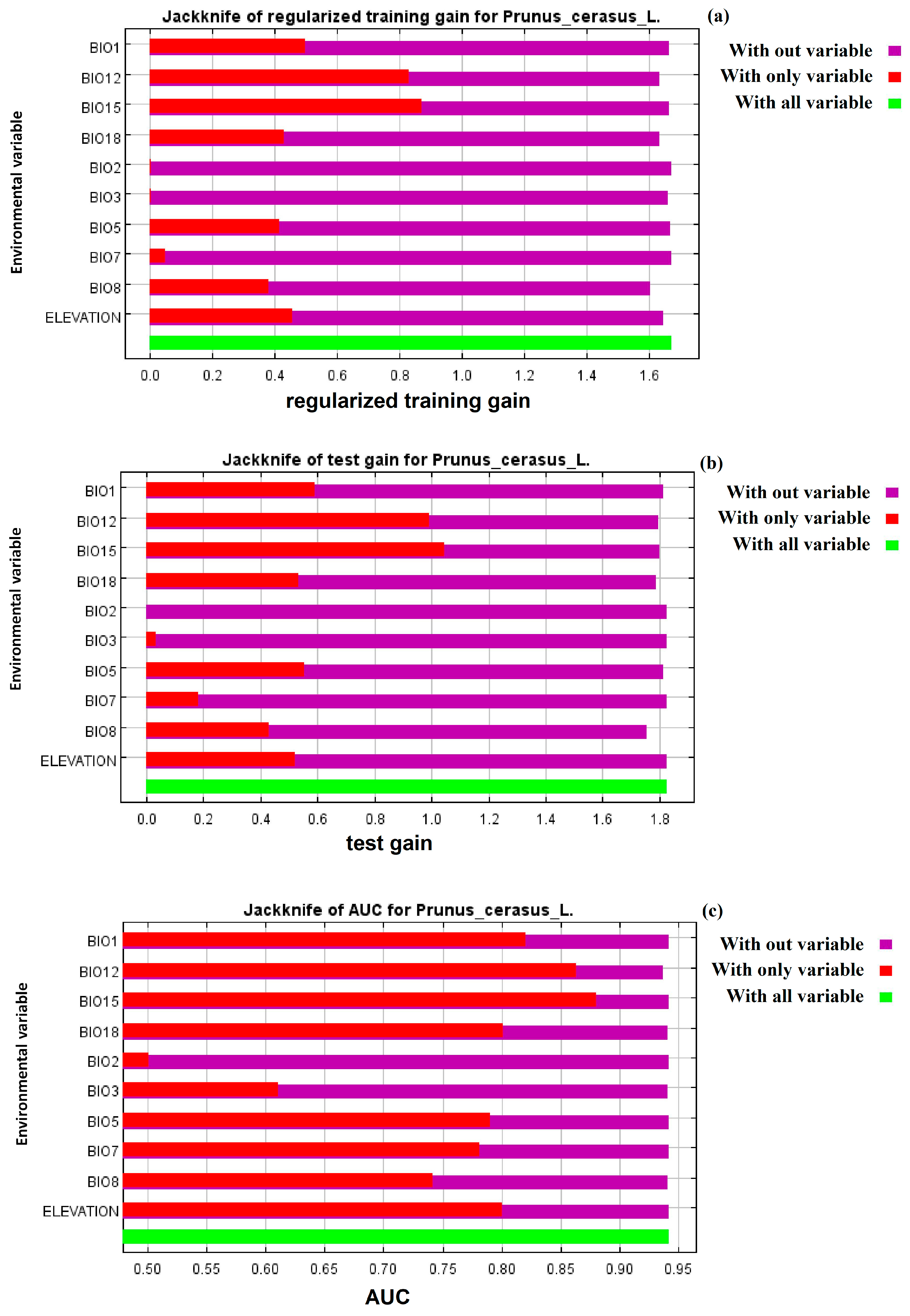
3.3. Variable Importance: Jackknife and SPCPI Analysis
3.4. Species-Environment Response Patterns
- BIO12 (Annual Precipitation): Optimal occurrence probability peaked at approximately 400 mm/year, indicating a preference for moderately humid climates.
- BIO5 (Maximum Temperature of Warmest Month): Suitability declined sharply above 32 °C, with an optimal range between 28 and 31 °C.
- BIO15 (Precipitation Seasonality): The species favored moderate seasonality (index ~50), suggesting intolerance to highly irregular rainfall patterns.
- BIO18 (Precipitation of Warmest Quarter): High suitability corresponded to summer precipitation between 25 and 38 mm, highlighting drought sensitivity.
- Elevation: Occurrence probabilities peaked between 1000 and 1800 m, consistent with the altitudinal range of traditional Moroccan cherry orchards.
3.5. Spatial Distribution of Suitable Habitats
- Highly Suitable Areas (>0.7999 probability): Concentrated in the mountainous provinces of Ifrane, Azrou, El Hajeb, and Sefrou, typically above 1200 m altitude, where precipitation and temperature conditions are optimal.
- Moderately Suitable Areas (0.5999–0.7999): Located in foothill regions between 900 and 1200 m, potentially suitable for lower-chill cultivars.
- Low Suitability Areas (<0.4): Found in arid or low-altitude zones such as Boulemane, Midelt, and Taounate, where extreme heat and insufficient chilling make cherry cultivation risky.
4. Discussion
4.1. Comparative Modeling Performance
4.2. Climatic Constraints and Altitudinal Dependency
4.3. Hydrothermal Stress and Adaptive Thresholds
4.4. Implications for Land-Use Planning and Agroecological Zoning
4.5. Limitations and Perspectives
5. Conclusions
Author Contributions
Funding
Institutional Review Board Statement
Informed Consent Statement
Data Availability Statement
Acknowledgments
Conflicts of Interest
References
- Sabir, I.A.; Ullah, I.; Ahmad, M.; Alam, M.; Ahmad, A.; Ur Rehman, S.; Iqbal, M.; Naz, A.A.; Shafiq, S.; Ali, G.M.; et al. MYB transcription factor family in sweet cherry (Prunus avium L.): Genome-wide investigation, evolution, structure, characterization and expression patterns. BMC Plant Biol. 2022, 22, 2. [Google Scholar] [CrossRef]
- Götz, K.P.; Naher, J.; Fettke, J.; Chmielewski, F.M. Changes of proteins during dormancy and bud development of sweet cherry (Prunus avium L.). Sci. Hortic. 2018, 239, 41–49. [Google Scholar] [CrossRef]
- Oukabli, A.; Mahhou, A. Dormancy in sweet cherry (Prunus avium L.) under Mediterranean climatic conditions. Biotechnol. Agron. Soc. Environ. 2007, 11, 133–139. [Google Scholar]
- Faniadis, D.; Drogoudi, P.D.; Vasilakakis, M. Effects of cultivar, orchard elevation, and storage on fruit quality characters of sweet cherry (Prunus avium L.). Sci. Hortic. 2010, 125, 301–304. [Google Scholar] [CrossRef]
- Tan, Y.; Zhang, X.; Li, W.; Zhao, Y.; Liu, Q.; Wang, L.; Wei, H. High temperature inhibited the accumulation of anthocyanin by promoting ABA catabolism in sweet cherry fruits. Front. Plant Sci. 2023, 14, 1079292. [Google Scholar] [CrossRef]
- Fadón, E.; Herrero, M.; Rodrigo, J. Dormant flower buds actively accumulate starch over winter in sweet cherry. Front. Plant Sci. 2018, 9, 171. [Google Scholar] [CrossRef]
- Oukabli, A.; Mahhou, A. Flower cluster formation and floral induction in cherry (Prunus avium L.) under mild-winter Moroccan climatic conditions. Acta Hortic. 1997, 52, 177–181. [Google Scholar]
- Medda, S.; Fadda, A.; Mulas, M. Influence of Climate Change on Metabolism and Biological Characteristics in Perennial Woody Fruit Crops in the Mediterranean Environment. Horticulturae 2022, 8, 273. [Google Scholar] [CrossRef]
- Measham, P.F.; Quentin, A.G.; MacNair, N. Climate, winter chill, and decision-making in sweet cherry production. HortScience 2014, 49, 254–259. [Google Scholar] [CrossRef]
- Hedhly, A.; Hormaza, J.I.; Herrero, M. Warm temperatures at bloom reduce fruit set in sweet cherry. J. Appl. Bot. Food Qual. 2007, 81, 158–164. [Google Scholar]
- Çelik, M.Ö.; Orhan, O.; Kurt, M.A. Predicting Climate Change Impacts on Sub-Tropical Fruit Suitability Using MaxEnt: A Regional Study from Southern Türkiye. Int. J. Curr. Microbiol. Appl. Sci. 2025, 17, 5487. [Google Scholar] [CrossRef]
- Food and Agriculture Organization (FAO). Terms and Definitions FRA 2025. FAO Forest Resources Assessment Working Paper. 2025. Available online: www.fao.org/forestry (accessed on 5 March 2025).
- Aguilera, E.; Díaz-Gaona, C.; García-Laureano, R.; Reyes-Palomo, C.; Guzmán, G.I.; Ortolani, L.; Sánchez-Rodríguez, M.; Rodríguez-Estévez, V. Agroecology for adaptation to climate change and resource depletion in the Mediterranean region. A review. Agric. Syst. 2020, 181, 102809. [Google Scholar] [CrossRef]
- Sharma, A.; Patel, P.L.; Sharma, P.J. Climate Change Impact on Crop Stress and Food Security in a Semi-Arid River Basin. AQUA—Water Infrastruct. Ecosyst. Soc. 2023, 72, 2313–2330. [Google Scholar] [CrossRef]
- Wu, H.; Zhang, Z.; Xue, Z.; Zhao, W.; Sang, L.; Wu, H.; Wang, W.; Guan, Q.; Lu, K. Predicting the Potential Geographical Distribution of Peatlands in Northeast China Based on the Ensemble Model. Glob. Planet. Chang. 2025, 252, 104866. [Google Scholar] [CrossRef]
- Li, H.; Peng, X.; Jiang, P.; Xing, L.; Sun, X. Prediction of Potential Suitable Distribution for Sweet Cherry (Prunus avium) Based on the MaxEnt Model. PLoS ONE 2024, 19, e0294098. [Google Scholar] [CrossRef] [PubMed]
- Zhao, C.; Zhang, F.; Huang, J.; Zhang, Q.; Lu, Y.; Cao, W. Prediction of the Climatically Suitable Areas of Rice in China Based on Optimized MaxEnt Model. Int. J. Plant Prod. 2024, 18, 549–561. [Google Scholar] [CrossRef]
- Phillips, S.J.; Anderson, R.P.; Dudík, M.; Schapire, R.E.; Blair, M.E. Opening the Black Box: An Open-Source Release of MaxEnt. Ecography 2017, 40, 887–893. [Google Scholar] [CrossRef]
- Brunton, A.J.; Conroy, G.C.; Schoeman, D.S.; Rossetto, M.; Ogbourne, S.M. Seeing the Forest through the Trees: Applications of Species Distribution Models across an Australian Biodiversity Hotspot for Threatened Rainforest Species of Fontainea. Glob. Ecol. Conserv. 2023, 42, e02376. [Google Scholar] [CrossRef]
- Mao, B.; Zhu, Y. Prediction of Potential Suitable Areas and Distribution Evolution of Phoebe zhennan under Different Climate Scenarios. Sustainability 2024, 16, 7971. [Google Scholar] [CrossRef]
- Dai, X.; Wu, W.; Ji, L.; Tian, S.; Yang, B.; Guan, B.; Wu, D. MaxEnt Model-Based Prediction of Potential Distributions of Parnassia wightiana (Celastraceae) in China. Biodivers. Data J. 2022, 10, e81073. [Google Scholar] [CrossRef]
- Yang, J.; Huang, Y.; Jiang, X.; Chen, H.; Liu, M.; Wang, R. Potential Geographical Distribution of the Endangered Plant Isoetes under Human Activities Using MaxEnt and GARP. Glob. Ecol. Conserv. 2022, 38, e02186. [Google Scholar] [CrossRef]
- El Fallah, K.; Adiba, A.; Charafi, J.; Ouhakki, H.; El Kharrim, K.; Belghyti, D. Modeling Current and Future Pomegranate Distribution under Climate Change Scenarios in the Fes-Meknes Region, Morocco. Euro-Mediterr. J. Environ. Integr. 2024, 9, 1271–1285. [Google Scholar] [CrossRef]
- Vafeidis, A.T.; Abdulla, A.A.; Bondeau, A.; Brotons, L.S.; Ludwig, R.J.; Portman, M.; Reimann, L.; Vousdoukas, M.; Xoplaki, E. Managing Future Risks and Building Socioecological Resilience. In Climate and Environmental Change in the Mediterranean Basin—First Mediterranean Assessment Report (MAR); Union for the Mediterranean, Plan Bleu, UNEP/MAP: Marseille, France, 2022. [Google Scholar]
- INRA. Rapport d’Activité INRA 2022; Institut National de la Recherche Agronomique: Paris, France, 2022. [Google Scholar]
- Haut-Commissariat au Plan (HCP). Guide du Foncier—Région de Fès-Meknès. Édition du Centre Régional d’Investissement de Région de Fès-Meknès, Maroc 2021, 76p. Available online: http://www.abhatoo.net.ma/maalama-textuelle/developpement-economique-et-social/developpement-economique/agriculture/regime-foncier/guide-du-foncier-region-de-fes-meknes (accessed on 26 August 2025).
- Harbouze, R.; Khechimi, W. Rapport de synthèse sur l’agriculture au Maroc; Ciheam-Iamm: Montpellier, France, 2019; p. 104. [Google Scholar]
- Harbouze, R.; Khechimi, W. Rapport de synthèse sur l’agriculture au Maroc; Ciheam-Iamm: Montpellier, France, 2021. [Google Scholar]
- El Fallah, K.; El Kharrim, K.; Belghyti, D. Modeling of ecological niches of Barbary Partridge (Alectoris barbara) under conditions of bioclimatic variability in the Fes-Meknes region (Morocco). IOP Conf. Ser. Earth Environ. Sci. 2024, 1398, 012018. [Google Scholar] [CrossRef]
- Tang, X.; Yuan, Y.; Li, X.; Zhang, J. Maximum Entropy Modeling to Predict the Impact of Climate Change on Pine Wilt Disease in China. Front. Plant Sci. 2021, 12, 652500. [Google Scholar] [CrossRef] [PubMed]
- Li, A.; Wang, J.; Wang, R.; Yang, H.; Yang, W.; Yang, C. MaxEnt modeling to predict current and future distributions of Batocera lineolata (Coleoptera: Cerambycidae) under climate change in China. Écoscience 2020, 27, 23–31. [Google Scholar] [CrossRef]
- Zhang, L.; Zhu, L.; Li, Y.; Zhu, W.; Chen, Y. Maxent Modelling Predicts a Shift in Suitable Habitats of a Subtropical Evergreen Tree (Cyclobalanopsis glauca) under Climate Change Scenarios in China. Forests 2022, 13, 126. [Google Scholar] [CrossRef]
- Wu, R.; Guan, J.Y.; Wu, J.G.; Ju, X.F.; An, Q.H.; Zheng, J.H. Predictions Based on Different Climate Change Scenarios: The Habitat of Typical Locust Species Is Shrinking in Kazakhstan and Xinjiang, China. Insects 2022, 13, 942. [Google Scholar] [CrossRef]
- Adiba, A.; Hejazi, Z.; El Fallah, K.; Adiba, A. Climate change resilience of pomegranate: A comprehensive analysis of geographical distribution and adaptation in Morocco. Plant Physiol. Rep. 2024, 29, 499–513. [Google Scholar] [CrossRef]
- Vanhussel, M. Assessment of Ecological Factors Influencing the Winter Habitat Suitability of Erithacus Rubecula Across Europe Through Ecological Niche Modeling. 2e Master BOE University of Liège. 2021, 52p. Available online: https://matheo.uliege.be/handle/2268.2/12605 (accessed on 2 February 2025).
- Xiang, H.; Xi, Y.; Mao, D.; Mahdianpari, M.; Zhang, J.; Wang, M.; Jia, M.; Yu, F.; Wang, Z. Prediction of Potentially Suitable Distribution Areas for Prunus tomentosa in China Based on an Optimized MaxEnt Model. Glob. Ecol. Conserv. 2023, 42, e02397. [Google Scholar] [CrossRef]
- Zhang, K.; Yao, L.; Meng, J.; Tao, J. Maxent modeling for predicting the potential geographical distribution of two peony species under climate change. Sci. Total Environ. 2018, 634, 1326–1334. [Google Scholar] [CrossRef]
- Abdelaal, M.; Fois, M.; Fenu, G.; Bacchetta, G. Using MaxEnt modeling to predict the potential distribution of the endemic plant Rosa arabica Crép. in Egypt. Ecol. Inform. 2019, 50, 68–75. [Google Scholar] [CrossRef]
- Khosravi, R.; Hemami, M.R.; Malekian, M.; Flint, A.L.; Flint, L.E. Maxent modeling for predicting potential distribution of goitered gazelle in central Iran: The effect of extent and grain size on performance of the model. Turk. J. Zool. 2016, 40, 574–585. [Google Scholar] [CrossRef]
- Balew, A.; Korme, T. Monitoring land surface temperature in Bahir Dar city and its surrounding using Landsat images. Egypt. J. Remote Sens. Sp. Sci. 2020, 23, 371–386. [Google Scholar] [CrossRef]
- Hamadou, O.; Oumani, A.A.; Yahou, H.; Morou, B.; Mahamane, A. Modélisation de la distribution spatiale de la girafe (Giraffa camelopardalis peralta) de l’Afrique de l’Ouest pour sa conservation au Niger. Int. J. Biol. Chem. Sci. 2022, 15, 2486–2499. [Google Scholar] [CrossRef]
- Wouyou, H.G.; Lokonon, B.E.; Idohou, R.; Zossou-Akete, A.G.; Assogbadjo, A.E.; Glèlè Kakaï, R. Predicting the potential impacts of climate change on the endangered Caesalpinia bonduc (L.) Roxb in Benin (West Africa). Heliyon 2022, 8, e09022. [Google Scholar] [CrossRef]
- Mathur, M.; Mathur, P.; Purohit, H. Ecological niche modelling of a critically endangered species Commiphora wightii (Arn.) Bhandari using bioclimatic and non-bioclimatic variables. Ecol. Process. 2023, 12, 8. [Google Scholar] [CrossRef]
- Amelia, M.; Jasaputra, D.K.; Tjokropranoto, R. Effects of Pomegranate Peel (Punica granatum L.) Extract as an Anthelmintic. J. Med. Health 2017, 1, 409–416. [Google Scholar] [CrossRef][Green Version]
- Niu, K.; Zhao, L.; Zhang, Y.; Wang, Z.; Wang, Z.; Yang, H. Prediction of Potential Sorghum Suitability Distribution in China Based on Maxent Model. Am. J. Plant Sci. 2022, 13, 856–871. [Google Scholar] [CrossRef]
- Oukabli, A. Comportement de clones locaux et de variétés étrangères de grenadier. Al Awama 2004, 3, 111. [Google Scholar]
- Campoy, J.A.; Ruiz, D.; Egea, J. Seasonal progression of bud dormancy in apricot (Prunus armeniaca L.) in a Mediterranean climate: A single-node cutting approach. Plant Biosyst. 2011, 145, 596–605. [Google Scholar] [CrossRef]
- Bacelar, E.; Pinto, T.; Anjos, R.; Morais, M.C.; Oliveira, I.; Vilela, A.; Cosme, F. Impacts of Climate Change and Mitigation Strategies for Some Abiotic and Biotic Constraints Influencing Fruit Growth and Quality. Plants 2024, 13, 1942. [Google Scholar] [CrossRef] [PubMed]







| S. No | Environmental Variable | Description | Units |
|---|---|---|---|
| 1 | BIO 1 | Annual mean temperature | °C |
| 2 | BIO 2 | Mean diurnal range [Mean of monthly (max temp−min temp)] | °C |
| 3 | BIO 3 | Isothermality (BIO2/BIO7) (×100) | % |
| 4 | BIO 4 | Temperature Seasonality (standard deviation ×100) | % |
| 5 | BIO 5 | Max. Temperature of Warmest Month | °C |
| 6 | BIO 6 | Min. Temperature of Coldest Month | °C |
| 7 | BIO 7 | Temperature Annual Range (BIO5–BIO6) | °C |
| 8 | BIO 8 | Mean Temperature of Wettest Quarter | °C |
| 9 | BIO9 | Mean Temperature of Driest Quarter | °C |
| 10 | BIO10 | Mean Temperature of Warmest Quarter | °C |
| 11 | BIO11 | Mean Temperature of Coldest Quarter | °C |
| 12 | BIO12 | Annual Precipitation | mm |
| 13 | BIO13 | Precipitation of Wettest Month | mm |
| 14 | BIO14 | Precipitation of Driest Month | mm |
| 15 | BIO15 | Precipitation Seasonality (Coefficient of Variation) | % |
| 16 | BIO16 | Precipitation of Wettest Quarter | mm |
| 17 | BIO17 | Precipitation of Driest Quarter | mm |
| 18 | BIO18 | Precipitation of Warmest Quarter | mm |
| 19 | BIO19 | Precipitation of Coldest Quarter | mm |
| 20 | Elevation | - | m |
| Variable | Percent Contribution | Permutation Importance | SPCPI |
|---|---|---|---|
| BIO12 | 19.1 | 13.2 | 32.3 |
| BIO5 | 14.6 | 11.8 | 26.4 |
| BIO15 | 14.1 | 13.9 | 28 |
| BIO18 | 12.7 | 12.8 | 25.5 |
| ELEVATION | 11.8 | 20.8 | 32.6 |
| BIO3 | 10.7 | 8.7 | 19.4 |
| BIO8 | 8.1 | 13.8 | 21.9 |
| BIO7 | 5.9 | 0.4 | 6.3 |
| BIO1 | 2.2 | 4.7 | 6.9 |
| BIO2 | 0 | 0 | 0.8 |
Disclaimer/Publisher’s Note: The statements, opinions and data contained in all publications are solely those of the individual author(s) and contributor(s) and not of MDPI and/or the editor(s). MDPI and/or the editor(s) disclaim responsibility for any injury to people or property resulting from any ideas, methods, instructions or products referred to in the content. |
© 2025 by the authors. Licensee MDPI, Basel, Switzerland. This article is an open access article distributed under the terms and conditions of the Creative Commons Attribution (CC BY) license (https://creativecommons.org/licenses/by/4.0/).
Share and Cite
El Fallah, K.; Amar, A.; Mayad, E.H.; El Kettabi, Z.; Maqas, M.; Charafi, J. Ecological Suitability Modeling of Sweet Cherry (Prunus avium L.) in the Fez-Meknes Region of Morocco Under Current Climate Conditions. Sustainability 2025, 17, 10573. https://doi.org/10.3390/su172310573
El Fallah K, Amar A, Mayad EH, El Kettabi Z, Maqas M, Charafi J. Ecological Suitability Modeling of Sweet Cherry (Prunus avium L.) in the Fez-Meknes Region of Morocco Under Current Climate Conditions. Sustainability. 2025; 17(23):10573. https://doi.org/10.3390/su172310573
Chicago/Turabian StyleEl Fallah, Kamal, Amine Amar, El Hassan Mayad, Zahra El Kettabi, Miloud Maqas, and Jamal Charafi. 2025. "Ecological Suitability Modeling of Sweet Cherry (Prunus avium L.) in the Fez-Meknes Region of Morocco Under Current Climate Conditions" Sustainability 17, no. 23: 10573. https://doi.org/10.3390/su172310573
APA StyleEl Fallah, K., Amar, A., Mayad, E. H., El Kettabi, Z., Maqas, M., & Charafi, J. (2025). Ecological Suitability Modeling of Sweet Cherry (Prunus avium L.) in the Fez-Meknes Region of Morocco Under Current Climate Conditions. Sustainability, 17(23), 10573. https://doi.org/10.3390/su172310573

