Sign in to use this feature.

Years

Between: -

Subjects

remove_circle_outline
remove_circle_outline
remove_circle_outline
remove_circle_outline
remove_circle_outline

Journals

Article Types

Countries / Regions

Search Results (36)

Search Parameters:
Keywords = class AB operational amplifiers

Order results
Result details
Results per page
Select all
Export citation of selected articles as:
18 pages, 5945 KB  
Article
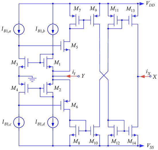
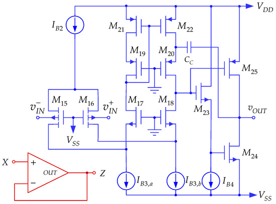
Replica-Based Bidirectional Output Current Limiting for High-Reliability CMOS Class AB Stages
by Andreea Voicu, Cristian Stancu, Ovidiu-George Profirescu, Lidia Dobrescu, Dragoș Dobrescu and Gabriel Dima
Electronics 2026, 15(8), 1595; https://doi.org/10.3390/electronics15081595 - 10 Apr 2026
Viewed by 383
Abstract
This paper presents a compact output-stage current-limiting architecture intended for reliable overcurrent protection in CMOS analog and mixed-signal circuits. In modern integrated systems, the output stages of blocks such as operational amplifiers, drivers, buffers, and reference circuits may be exposed to overload conditions, [...] Read more.
This paper presents a compact output-stage current-limiting architecture intended for reliable overcurrent protection in CMOS analog and mixed-signal circuits. In modern integrated systems, the output stages of blocks such as operational amplifiers, drivers, buffers, and reference circuits may be exposed to overload conditions, low-impedance loads, or short circuits that can lead to excessive power dissipation and device degradation. The proposed architecture employs scaled replicas of the output transistors together with local negative feedback to sense the delivered load current and independently limit both sinking and sourcing currents. The circuit is demonstrated by integration into a two-stage folded-cascode operational amplifier with a class-AB output stage and evaluated through circuit-level simulations in 130 nm CMOS technology. The results confirm a well-defined current limit across the supply and temperature corners that are relevant to high-reliability applications, spanning 2 V and 5 V supplies and a temperature range from −55 °C to 175 °C. The proposed current-limiting scheme constrains both pull-down and pull-up currents to approximately 9–12 mA across the investigated operating domain. Monte Carlo analysis further shows bounded dispersion and symmetric single-mode distributions, indicating predictable operation under device mismatch. These results demonstrate that the proposed architecture provides a compact and scalable solution for deterministic current limiting in reliability-critical CMOS systems. Full article
(This article belongs to the Special Issue Analog/Mixed Signal Integrated Circuit Design)
Show Figures

Figure 1

29 pages, 24222 KB  
Article
A 60-GHz Current Combining Class-AB Power Amplifier in 22 nm FD-SOI CMOS
by Dimitrios Georgakopoulos, Vasileios Manouras and Ioannis Papananos
Microwave 2026, 2(1), 2; https://doi.org/10.3390/microwave2010002 - 27 Dec 2025
Viewed by 771
Abstract
This work presents a fully integrated, two-stage, deep class-AB power amplifier (PA) operating at a center frequency of 60 GHz. High efficiency and suppression of third-order intermodulation products are targeted, achieving improved linearity compared to reported state-of-the-art designs. A current combining architecture is [...] Read more.
This work presents a fully integrated, two-stage, deep class-AB power amplifier (PA) operating at a center frequency of 60 GHz. High efficiency and suppression of third-order intermodulation products are targeted, achieving improved linearity compared to reported state-of-the-art designs. A current combining architecture is also employed to enhance the output power capability. The PA is designed in a 22 nm FD-SOI CMOS technology and is optimized through a complete schematic-to-layout design flow. Post-layout simulations indicate that the PA achieves a peak power-added efficiency (PAE) of 28%, a saturated output power (Psat) of 20.2 dBm, and a maximum large-signal gain (Gmax) of 19.6 dB at 60 GHz, evaluated at an operating temperature of 60 °C. The design maintains high linearity across the targeted output power range, exhibiting effective suppression of third-order intermodulation distortion (IMD3), which enhances its suitability for spectrally efficient modulation schemes. Full article
Show Figures

Figure 1

11 pages, 3116 KB  
Article
A Fully Integrated Direct Conversion Transmitter with I/Q-Isolated CMOS PA for Sub-6 GHz 5G NR
by Donghwi Kang, Jeheon Lee, Hyeong-Ju Kwon, So-Min Park, Soo-Jin Park, Sung-Uk We and Ji-Seon Paek
Electronics 2026, 15(1), 64; https://doi.org/10.3390/electronics15010064 - 23 Dec 2025
Viewed by 453
Abstract
This work presents a direct conversion transmitter (DCT) for 5G new radio (NR) that eliminates the RF driver by directly feeding a single stage cascode PA through a baseband buffer amplifier and passive up-conversion mixer. The baseband interface uses Class-AB buffers to hold [...] Read more.
This work presents a direct conversion transmitter (DCT) for 5G new radio (NR) that eliminates the RF driver by directly feeding a single stage cascode PA through a baseband buffer amplifier and passive up-conversion mixer. The baseband interface uses Class-AB buffers to hold the output capacitor voltage, enabling accurate sampling at the PA input. A mixer switch is selected for minimal on-resistance variation over the required baseband swing. The PA is designed with separate I and Q voltage inputs and a current summing structure. The PA operates at 2.5 V; other blocks use 1.2 V. Post-layout two-tone simulations at 5 GHz indicate 21 dBm output saturation power and −36.1 dBc of IMD3 at 9 dB PBO power while removing the driver to inter stage matching network of a two-stage design. The results validate a compact, driverless architecture for integrated transmitters. Full article
Show Figures

Figure 1

18 pages, 16099 KB  
Article
A 0.3 V High-Efficiency Bulk-Driven Rail-to-Rail OTA with High Gain-Bandwidth for Wearable Applications
by Yongqing Wang, Jinhang Zhang, Shengyan Zhang, Hongjie Zheng and Qisheng Zhang
Electronics 2025, 14(23), 4702; https://doi.org/10.3390/electronics14234702 - 28 Nov 2025
Cited by 1 | Viewed by 604
Abstract
This paper presents a high-efficiency, nW-level operational transconductance amplifier (OTA) capable of operating at 0.3 V with rail-to-rail input and output. The design utilizes a bulk-driven technique in the input stage to extend the common-mode input range under ultra-low-voltage conditions. A simplified intermediate [...] Read more.
This paper presents a high-efficiency, nW-level operational transconductance amplifier (OTA) capable of operating at 0.3 V with rail-to-rail input and output. The design utilizes a bulk-driven technique in the input stage to extend the common-mode input range under ultra-low-voltage conditions. A simplified intermediate stage ensures reliable MOS operation at ultra-low-voltage levels while reducing power consumption, and a modified Class-AB controlled output stage facilitates rail-to-rail output and enhances current efficiency. Fabricated using SMIC 0.18 μm technology and operating at a 0.3 V supply, the OTA achieves a DC gain of 63.07 dB, phase margin of 61.5°, a gain-bandwidth product of 37.68 kHz, and a slew rate of 21.85 V/ms while consuming only 123 nW with a 60 pF load. The design also demonstrates superior small-signal figures of merit (12.25 MHz·pF/μW) and large-signal figures of merit (10.66 V/μs·pF/μW) compared to state-of-the-art low-voltage OTAs. These results indicate that the proposed amplifier offers a balanced solution of low power consumption, wide bandwidth, and high slew rate, making it well-suited for energy-constrained applications such as portable electronics, IoT sensors, and biomedical devices. Full article
Show Figures

Figure 1

19 pages, 4778 KB  
Article
Design of a Bandgap Reference Circuit for MEMS Integrated Accelerometers
by Wenbo Zhang, Shanshan Wang, Yihang Wang, Qiang Fu, Pengjun Wang and Xiangyu Li
Micromachines 2025, 16(11), 1225; https://doi.org/10.3390/mi16111225 - 28 Oct 2025
Viewed by 2903
Abstract
To meet the requirements of integrated accelerometers for a high-precision reference voltage under wide supply voltage range, high current drive capability, and low power consumption, this paper presents a bandgap reference operational amplifier (op-amp) circuit implemented in CMOS/BiCMOS technology. The proposed design employs [...] Read more.
To meet the requirements of integrated accelerometers for a high-precision reference voltage under wide supply voltage range, high current drive capability, and low power consumption, this paper presents a bandgap reference operational amplifier (op-amp) circuit implemented in CMOS/BiCMOS technology. The proposed design employs a folded-cascode input stage, a push–pull Class-AB output stage, an adaptive output switching mechanism, and a composite frequency compensation scheme. In addition, overcurrent protection and low-frequency noise suppression techniques are incorporated to balance low static power consumption with high load-driving capability. Simulation results show that, under the typical process corner (TT), with VDD = 3 V and T = 25 °C, the op-amp achieves an output swing of 0.2 V~2.8 V, a low-frequency gain of 102~118 dB, a PSRR of 90 dB at 60 Hz, overcurrent protection of ±25 mA, and a phase margin exceeding 48.8° with a 10 μF capacitive load. Across the entire supply voltage range, the static current remains below 150 μA, while maintaining a line regulation better than 150 μV/V and a load regulation better than 150 μV/mA. These results verify the feasibility of achieving both high drive capability and high stability under stringent power constraints, making the proposed design well-suited as a bandgap reference buffer stage for integrated accelerometers, with strong engineering practicality and potential for broad application. Full article
(This article belongs to the Special Issue MEMS Inertial Device, 3rd Edition)
Show Figures

Figure 1

12 pages, 5365 KB  
Article
A 100 MHz 3 dB Bandwidth, 30 V Rail-to-Rail Class-AB Buffer Amplifier for Base Station ET-PA Hybrid Supply Modulator
by Min-Ju Kim, Donghwi Kang, Gyujin Choi, Seong-Jun Youn and Ji-Seon Paek
Electronics 2025, 14(15), 3036; https://doi.org/10.3390/electronics14153036 - 30 Jul 2025
Viewed by 1079
Abstract
This paper presents the first hybrid supply modulator (HSM) designed for envelope tracking power amplifiers (ET-PAs) in base station applications. The focus is on a rail-to-rail Class-AB linear amplifier (LA) optimized for high-voltage and wide-bandwidth operation. The LA is designed using 130 nm [...] Read more.
This paper presents the first hybrid supply modulator (HSM) designed for envelope tracking power amplifiers (ET-PAs) in base station applications. The focus is on a rail-to-rail Class-AB linear amplifier (LA) optimized for high-voltage and wide-bandwidth operation. The LA is designed using 130 nm BCD technology, utilizing Laterally Diffused Metal-Oxide Semiconductor (LDMOS) transistors for high-voltage operation and incorporating shielding MOSFETs to protect the low-voltage devices. The circuit utilizes dual power supply domains (5 V and 30 V) to improve power efficiency. The proposed LA achieves a bandwidth of 100 MHz and a slew rate of +1003/−852 V/μs, with a quiescent power consumption of 0.89 W. Transient simulations using a 50 MHz bandwidth 5G NR envelope input demonstrate that the proposed HSM achieves a power efficiency of 83%. Consequently, the proposed HSM supports high-output (100 W) wideband 5G NR transmission with enhanced efficiency. Full article
(This article belongs to the Special Issue Analog/Mixed Signal Integrated Circuit Design)
Show Figures

Figure 1

20 pages, 2183 KB  
Review
Bulk-Driven CMOS Differential Stages for Ultra-Low-Voltage Ultra-Low-Power Operational Transconductance Amplifiers: A Comparative Analysis
by Muhammad Omer Shah, Andrea Ballo and Salvatore Pennisi
Electronics 2025, 14(10), 2085; https://doi.org/10.3390/electronics14102085 - 21 May 2025
Cited by 1 | Viewed by 1916
Abstract
Energy-efficient integrated circuits require scaled-down supply voltages, posing challenges for analog design, particularly for operational transconductance amplifiers (OTAs) essential in high-accuracy CMOS feedback systems. Below 1 V, gate-driven OTAs are limited in common-mode input range and minimum supply voltage. This work investigates CMOS [...] Read more.
Energy-efficient integrated circuits require scaled-down supply voltages, posing challenges for analog design, particularly for operational transconductance amplifiers (OTAs) essential in high-accuracy CMOS feedback systems. Below 1 V, gate-driven OTAs are limited in common-mode input range and minimum supply voltage. This work investigates CMOS Bulk-Driven (BD) sub-threshold techniques as an efficient alternative for ultra-low voltage (ULV) and ultra-low power (ULP) designs. Although BD overcomes MOS threshold voltage limitations, historical challenges like lower transconductance, latch-up, and layout complexity hindered its use. Recent advancements in CMOS processes and the need for ULP solutions have revived industrial interest in BD. Through theoretical analysis and computer simulations, we explore BD topologies for ULP OTA input stages, classifying them as tailed/tail-less and class A/AB, evaluating their effectiveness for robust analog design, while offering valuable insights for circuit designers. Full article
(This article belongs to the Special Issue Advanced CMOS Technologies and Applications)
Show Figures

Figure 1

14 pages, 3285 KB  
Article
Design of Interface ASIC with Power-Saving Switches for Capacitive Accelerometers
by Juncheng Cai, Yongbin Cai, Xiangyu Li, Shanshan Wang, Xiaowei Zhang, Xinpeng Di and Pengjun Wang
Micromachines 2025, 16(1), 96; https://doi.org/10.3390/mi16010096 - 15 Jan 2025
Cited by 1 | Viewed by 1992
Abstract
High-precision, low-power MEMS accelerometers are extensively utilized across civilian applications. Closed-loop accelerometers employing switched-capacitor (SC) circuit topologies offer notable advantages, including low power consumption, high signal-to-noise ratio (SNR), and excellent linearity. Addressing the critical demand for high-precision, low-power MEMS accelerometers in modern geophones, [...] Read more.
High-precision, low-power MEMS accelerometers are extensively utilized across civilian applications. Closed-loop accelerometers employing switched-capacitor (SC) circuit topologies offer notable advantages, including low power consumption, high signal-to-noise ratio (SNR), and excellent linearity. Addressing the critical demand for high-precision, low-power MEMS accelerometers in modern geophones, this work focuses on the design and implementation of closed-loop interface ASICs (Application-Specific Integrated Circuits). The proposed interface circuit, based on switched-capacitor modulation technology, incorporates a low-noise charge amplifier, sample-and-hold circuit, integrator, and clock divider circuit. To minimize average power consumption, a switched operational amplifier (op-amp) technique is adopted, which temporarily disconnects idle op-amps from the power supply. Additionally, a class-AB output stage is employed to enhance the dynamic range of the circuit. The design was realized using a standard 0.35 μm CMOS process, culminating in the completion of layout design and small-scale engineering fabrication. The performance of the MEMS accelerometers was evaluated under a 3.3 V power supply, achieving a power consumption of 3.3 mW, an accelerometer noise density below 1 μg/√Hz, a sensitivity of 1.65 V/g, a measurement range of ±1 g, a nonlinearity of 0.15%, a bandwidth of 300 Hz, and a bias stability of approximately 36 μg. These results demonstrate the efficacy of the proposed design in meeting the stringent requirements of high-precision MEMS accelerometer applications. Full article
(This article belongs to the Special Issue MEMS Inertial Device, 2nd Edition)
Show Figures

Figure 1

18 pages, 5516 KB  
Article
Novel Class-AB Operational Amplifier for Compact and Energy-Efficient Wake-Up Sensor Systems
by Hussam AlShammary
Sensors 2025, 25(2), 316; https://doi.org/10.3390/s25020316 - 7 Jan 2025
Cited by 1 | Viewed by 5458
Abstract
This paper presents a novel rail-to-rail Class-AB operational amplifier tailored for wake-up systems in motion sensor applications. By addressing limitations in free Class-AB designs, such as large inrush current, unstable bias conditions, and area ineffiiency, the proposed design achieves a gain of 59 [...] Read more.
This paper presents a novel rail-to-rail Class-AB operational amplifier tailored for wake-up systems in motion sensor applications. By addressing limitations in free Class-AB designs, such as large inrush current, unstable bias conditions, and area ineffiiency, the proposed design achieves a gain of 59 dB and unity gain frequency of 550 kHz driving a 5 pF load. The inrush current is reduced from 1 mA to 7 µA, increasing the battery life. The layout area is reduced by 53% compared to the free Class-AB design, making it highly suitable for compact implementations. Operating at a low power consumption of 2 µW with a 1.8 V supply, the amplifier achieves a Signal-to-Noise-and-Distortion Ratio (SNDR) of 22 dB. These advancements demonstrate the potential of the design for energy-efficient analog front-end solutions in IoT and portable systems. Full article
(This article belongs to the Special Issue Advanced Interface Circuits for Sensor Systems (Volume II))
Show Figures

Figure 1

17 pages, 6346 KB  
Article
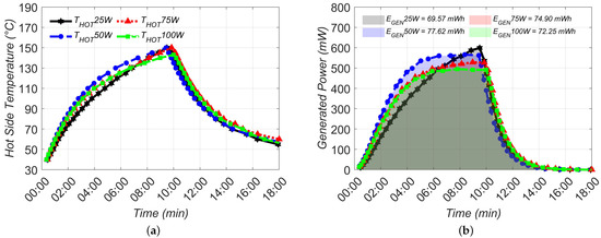
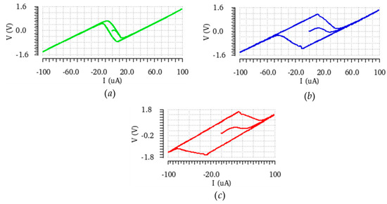
Improving Efficiency of AB-Class Audio Power Amplifier Using Thermoelectric Generators
by Ivan Marinović and Ivan Škalic
Electronics 2025, 14(1), 34; https://doi.org/10.3390/electronics14010034 - 25 Dec 2024
Cited by 3 | Viewed by 2319
Abstract
Since circuit-based solutions for increasing the efficiency of Class AB audio amplifiers have reached their peak, this article presents a non-circuit-based approach for the same purpose. The output transistors of this class of amplifiers dissipate a significant amount of thermal energy, resulting in [...] Read more.
Since circuit-based solutions for increasing the efficiency of Class AB audio amplifiers have reached their peak, this article presents a non-circuit-based approach for the same purpose. The output transistors of this class of amplifiers dissipate a significant amount of thermal energy, resulting in relatively low amplifier efficiency and requiring the transistors to be mounted on large heatsinks. This study was conducted with the aim of capturing the waste heat energy dissipated by the output transistors and converting it into electrical energy using thermoelectric generators (TEGs), which can then be used to increase the efficiency of the amplifier system. In addition to improving efficiency, this study aims to determine the extent to which heatsinks with smaller dimensions can be used in combination with the amplifier through the use of TEGs, potentially leading to a wider commercial application of Class AB audio amplifiers. The experimental results show that the thermoelectric conversion efficiency of TEGs reached 1.097% in the best case, indicating a potential increase of 0.275% in the overall efficiency of the amplifier system. These results show that the low thermoelectric efficiency of TEGs is a limiting factor that prevents a breakthrough in improving the efficiency of the power amplifier system with the proposed non-circuit-based approach. Full article
(This article belongs to the Section Semiconductor Devices)
Show Figures

Figure 1

8 pages, 3216 KB  
Communication
A Ku-Band Fully Differential Low-Power High-Input P1dB Low-Noise Amplifier
by Sang-Rok Lee, Joon-Hyung Kim, Min-Seok Baek and Choul-Young Kim
Nanomaterials 2024, 14(23), 1913; https://doi.org/10.3390/nano14231913 - 28 Nov 2024
Viewed by 2124
Abstract
This paper introduces a Ku-band fully differential low-power high-input 1 dB compression point (P1dB) low-noise amplifier (LNA). A fully differential structure is employed to enhance the input P1dB, common-mode noise rejection, and second harmonic cancellation. The first stage adopts large transistors and is [...] Read more.
This paper introduces a Ku-band fully differential low-power high-input 1 dB compression point (P1dB) low-noise amplifier (LNA). A fully differential structure is employed to enhance the input P1dB, common-mode noise rejection, and second harmonic cancellation. The first stage adopts large transistors and is optimized for power consumption and noise figure (NF). The output stage is designed with class AB bias, resulting in improved P1dB, power consumption, and linearity. The proposed two-stage fully differential common-source (CS) LNA was implemented using 65 nm bulk complementary metal oxide semiconductor (CMOS) technology. The fabricated LNA achieved a minimum NF of 2.7 dB at 13.6 GHz. Furthermore, it achieved a maximum gain of 19.92 dB at 12.2 GHz. Additionally, the LNA has an input P1dB of −7.45 dBm and an output power 1 dB compression point (OP1dB) of 10.09 dBm, both measured at 15.6 GHz. The LNA operates with a power consumption of 11 mW at a 1 V supply, and occupies a core size of 0.75 mm × 0.35 mm. Full article
(This article belongs to the Special Issue Integrated Circuit Research for Nanoscale Field-Effect Transistors)
Show Figures

Figure 1

21 pages, 22924 KB  
Article
A Piezoresistive-Sensor Nonlinearity Correction on-Chip Method with Highly Robust Class-AB Driving Capability
by Kai Jing, Yuhang Han, Shaoxiong Yuan, Rong Zhao and Jiabo Cao
Sensors 2024, 24(19), 6395; https://doi.org/10.3390/s24196395 - 2 Oct 2024
Cited by 2 | Viewed by 1963
Abstract
This paper presents a thorough robust Class-AB power amplifier design and its application in pressure-mode sensor-on-chip nonlinearity correction. Considering its use in piezoresistive sensing applications, a gain-boosting-aided folded cascode structure is utilized to increase the amplifier’s gain by a large amount as well [...] Read more.
This paper presents a thorough robust Class-AB power amplifier design and its application in pressure-mode sensor-on-chip nonlinearity correction. Considering its use in piezoresistive sensing applications, a gain-boosting-aided folded cascode structure is utilized to increase the amplifier’s gain by a large amount as well as enhancing the power rejection ability, and a push–pull structure with miller compensation, a floating gate technique, and an adaptive output driving limiting structures are adopted to achieve high-efficiency current driving capability, high stability, and electronic environmental compatibility. This amplifier is applied in a real sensor nonlinearity correction on-chip system. With the help of a self-designed 7-bit + sign DAC and a self-designed two-stage operational amplifier, this system is compatible with nonlinear correction at different signal conditioning output values. It can also drive resistive sensors as small as 300 ohms and as high as tens of thousands of ohms. The designed two-stage operational amplifier utilizes the TSMC 0.18 um process, resulting in a final circuit power consumption of 0.183 mW. The amplifier exhibits a gain greater than 140 dB, a phase margin of 68°, and a unit gain bandwidth exceeding 199.76 kHz. The output voltage range spans from 0 to 4.6 V. The final simulation results indicate that the nonlinear correction system designed in this paper can correct piezoresistive sensors with a nonlinearity of up to ±2.5% under various PVT (Process–Voltage–Temperature) conditions. After calibration by this system, the maximum error in the output voltage is 4 mV, effectively reducing the nonlinearity to 4% of its original value in the worst-case scenario. Full article
(This article belongs to the Section Physical Sensors)
Show Figures

Figure 1

22 pages, 7320 KB  
Article
A CMOS Rail-to-Rail Class AB Second-Generation Voltage Conveyor and Its Application in a Relaxation Oscillator
by Radivoje Djurić and Jelena Popović-Božović
Electronics 2024, 13(17), 3511; https://doi.org/10.3390/electronics13173511 - 4 Sep 2024
Cited by 7 | Viewed by 2144
Abstract
In this paper, we present a CMOS rail-to-rail second-generation voltage conveyor (VCII) suitable for low power applications, implemented in 180 nm CMOS technology with a supply voltage of ± 0.9 V. The proposed VCII consists of a current and voltage buffer operating in [...] Read more.
In this paper, we present a CMOS rail-to-rail second-generation voltage conveyor (VCII) suitable for low power applications, implemented in 180 nm CMOS technology with a supply voltage of ± 0.9 V. The proposed VCII consists of a current and voltage buffer operating in class AB. At the input of the voltage buffer, there is a bulk-driven differential amplifier, which provides a rail-to-rail input common-mode voltage. A common source output stage in class AB provides rail-to-rail at the output of the voltage buffer. The transistors are designed to operate in moderate inversion, achieving a relatively large current and voltage buffer bandwidth of 298.3 MHz and 173.2 MHz, respectively, with a power consumption of 157 μW. A sine wave with an amplitude of 1.5 Vpp and a frequency of 1 MHz on the output buffer has a total harmonic distortion of only 0.29%. The application of VCII in a relaxation oscillator with a frequency of up to 10 MHz is demonstrated, as well as its comparative characteristics with reference to other relevant square-wave generators published in the literature. Full article
(This article belongs to the Section Circuit and Signal Processing)
Show Figures

Figure 1

16 pages, 5599 KB  
Article
A Wideband Hybrid Envelope Tracking Supply Modulator with Slew-Rate-Enhanced Linear Amplifier
by Kaida Zhang, Jianhui Wu, Huabao Zhuang, Zhening Shi, Xiaofeng Lyu, Zhiyu Wang, Hua Chen and Faxin Yu
Electronics 2024, 13(14), 2701; https://doi.org/10.3390/electronics13142701 - 10 Jul 2024
Cited by 2 | Viewed by 2205
Abstract
A wideband hybrid envelope tracking supply modulator (HETSM) with a slew-rate-enhanced linear amplifier (LA) is described in this work. The proposed slew-rate enhancement (SRE) structure introduces a parallel auxiliary current path directly to the gate of the class-AB output stage, significantly accelerating the [...] Read more.
A wideband hybrid envelope tracking supply modulator (HETSM) with a slew-rate-enhanced linear amplifier (LA) is described in this work. The proposed slew-rate enhancement (SRE) structure introduces a parallel auxiliary current path directly to the gate of the class-AB output stage, significantly accelerating the charging and discharging processes of the Miller capacitor without modifying the operating point of the remaining LA. The current delivered via this supplementary path shows a rapid increase, with changes in input voltage, culminating in diminished quiescent current levels. The supply modulator is fabricated in a 180 nm CMOS process. The measurement results show that HETSM is able to track a 100 MHz, 16QAM signal accurately, achieving the maximum efficiency of 87.4% at a 5.12 W output power, with a load that consists of a 5 Ω resistor and a paralleled 100 pF capacitor. The proposed LA realizes a slew rate of −1857/+1239 V/μs and a bandwidth of 226.6 MHz under a 24 mA quiescent current. Full article
Show Figures

Figure 1

16 pages, 1559 KB  
Article
Front-End Development for Radar Applications: A Focus on 24 GHz Transmitter Design
by Tahesin Samira Delwar, Unal Aras, Abrar Siddique, Yangwon Lee and Jee-Youl Ryu
Sensors 2023, 23(24), 9704; https://doi.org/10.3390/s23249704 - 8 Dec 2023
Cited by 3 | Viewed by 3642
Abstract
The proliferation of radar technology has given rise to a growing demand for advanced, high-performance transmitter front-ends operating in the 24 GHz frequency band. This paper presents a design analysis of a radio frequency (RF) transmitter (TX) front-end operated at a 24 GHz [...] Read more.
The proliferation of radar technology has given rise to a growing demand for advanced, high-performance transmitter front-ends operating in the 24 GHz frequency band. This paper presents a design analysis of a radio frequency (RF) transmitter (TX) front-end operated at a 24 GHz frequency and designed using 65 nm complementary metal-oxide-semiconductor (CMOS) technology for radar applications. The proposed TX front-end design includes the integration of an up-conversion mixer and power amplifier (PA). The up-conversion mixer is a Gilbert cell-based design that translates the 2.4 GHz intermediate frequency (IF) signal and 21.6 GHz local oscillator (LO) signal to the 24 GHz RF output signal. The mixer is designed with a novel technique that includes a duplex transconductance path (DTP) for enhancing the mixer’s linearity. The DTP of the mixer includes a primary transconductance path (PTP) and a secondary transconductance path (STP). The PTP incorporates a common source (CS) amplifier, while the STP incorporates an improved cross-quad transconductor (ICQT). The integrated PA in the TX front-end is a class AB tunable two-stage PA that can be tuned with the help of varactors as a synchronous mode to increase the PA bandwidth or stagger mode to obtain a high gain. The PA is tuned to 24 GHz as a synchronous mode PA for the TX front-end operation. The proposed TX front-end showed an excellent output power of 11.7 dBm and dissipated 7.5 mW from a 1.2 V supply. In addition, the TX front-end achieved a power-added efficiency (PAE) of 47% and 1 dB compression point (OP1dB) of 10.5 dBm. In this case, the output power is 10.5 dBm higher than the linear portion of the response. The methodologies presented herein have the potential to advance the state of the art in 24 GHz radar technology, fostering innovations in fields such as autonomous vehicles, industrial automation, and remote sensing. Full article
(This article belongs to the Special Issue Advanced and Intelligent Interface Circuits for Sensor Systems)
Show Figures

Figure 1

Back to TopTop