A CMOS Rail-to-Rail Class AB Second-Generation Voltage Conveyor and Its Application in a Relaxation Oscillator
Abstract
1. Introduction
2. Class AB Rail-to-Rail VCII
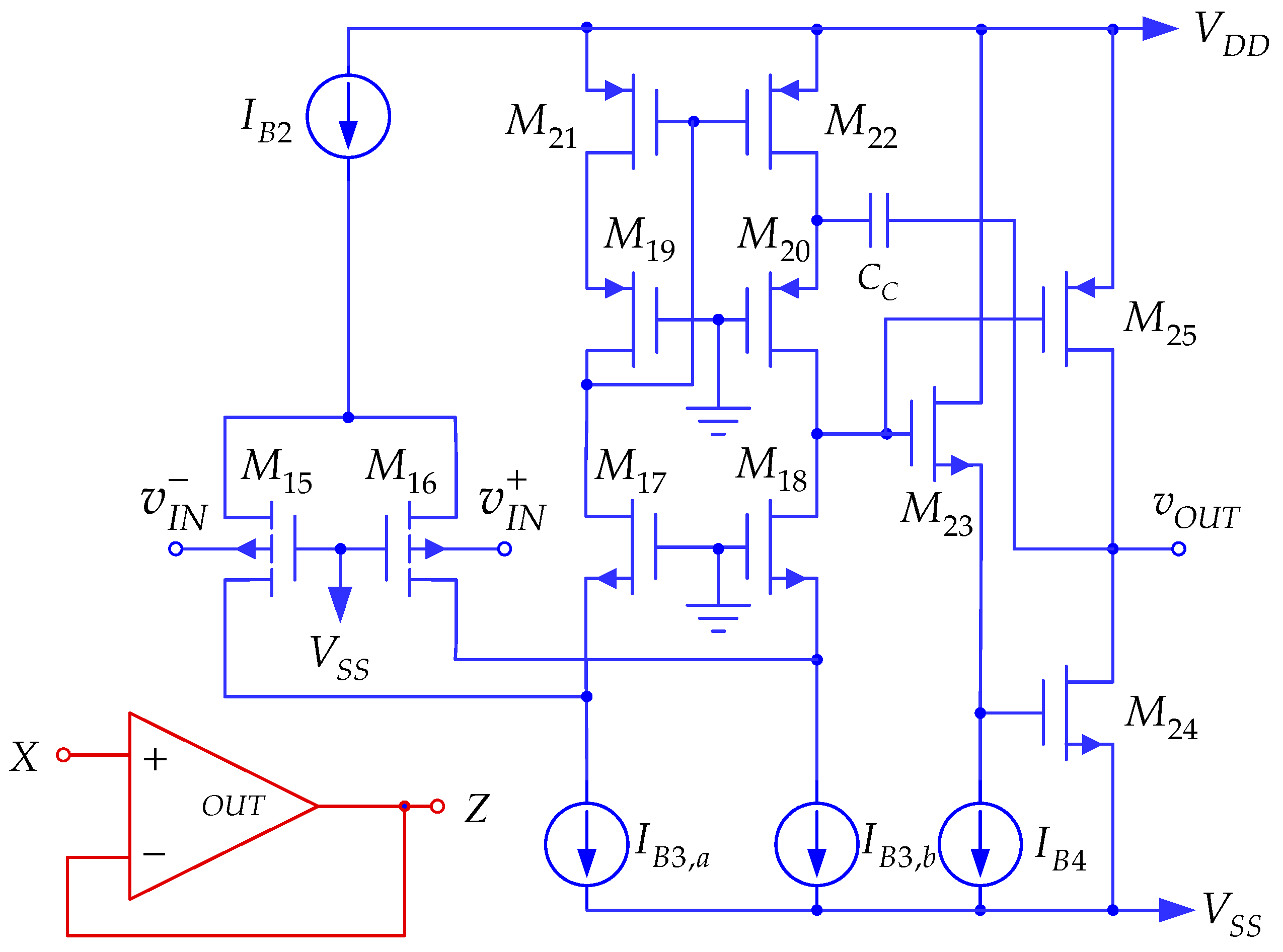
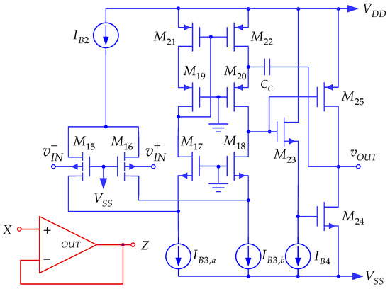
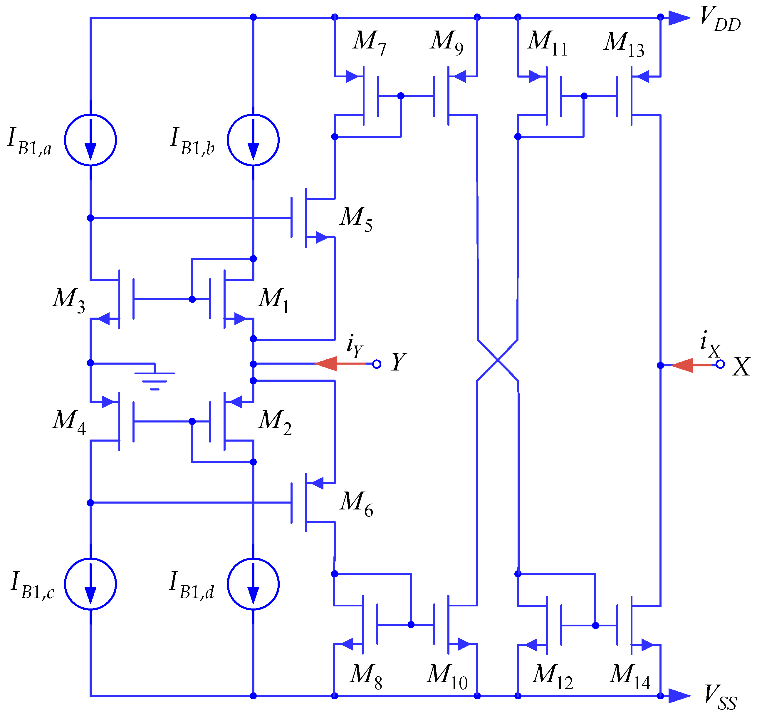
2.1. The Class AB Current Buffer
2.2. The Rail-to-Rail Voltage Buffer
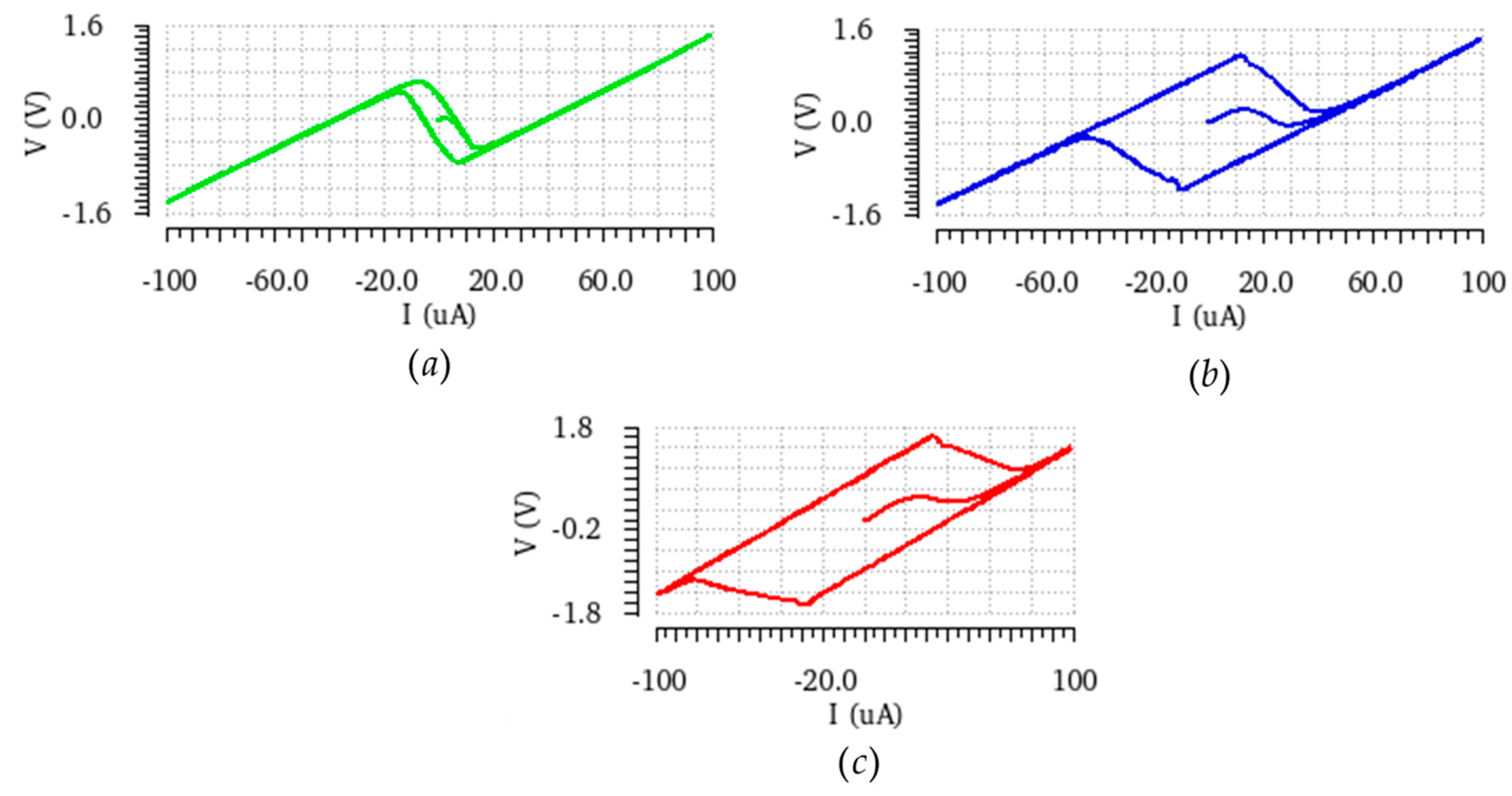
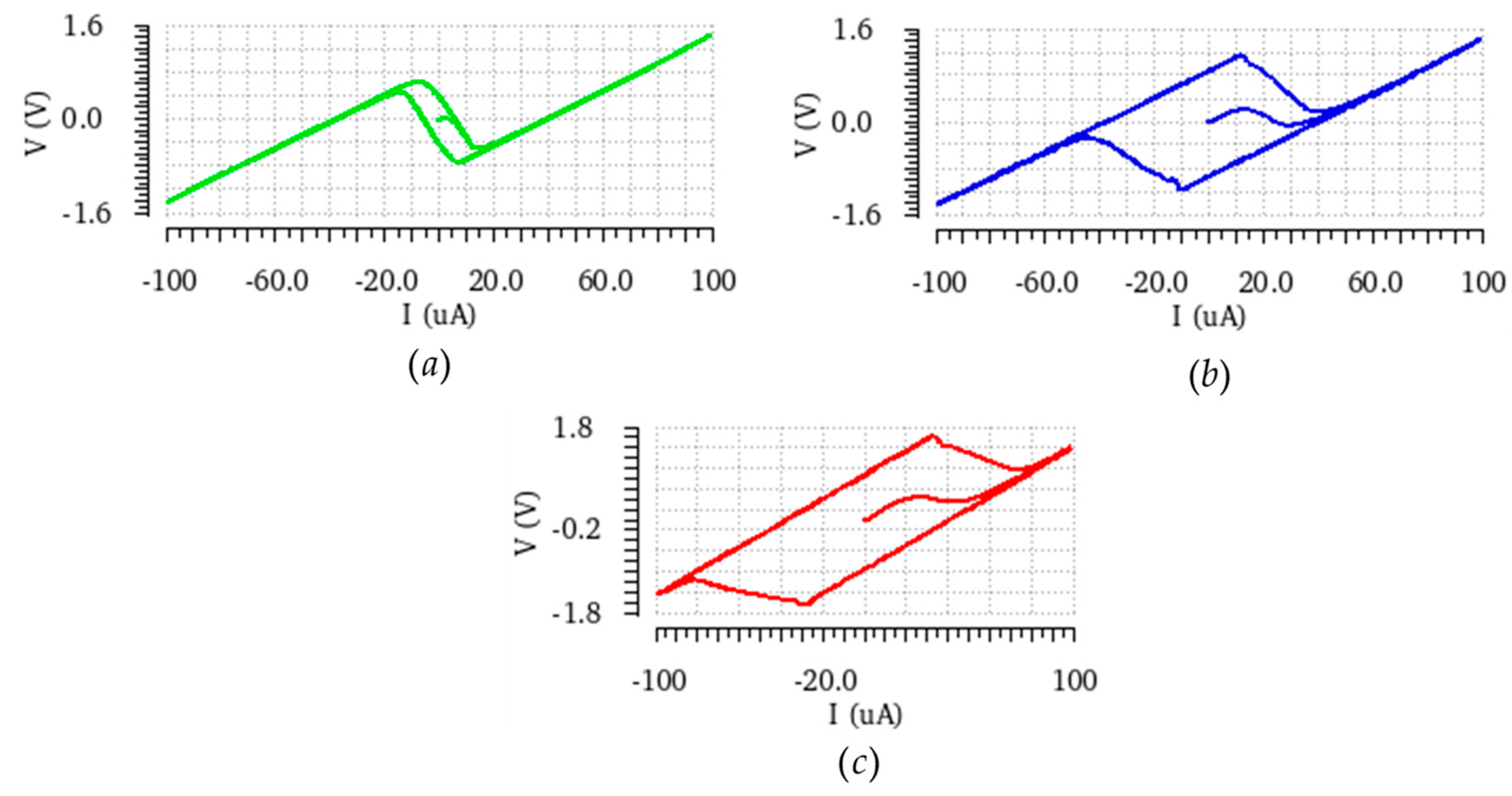
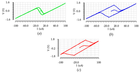
2.3. Simulation Results for VCII
3. Proposed Relaxation Oscillator with VCII−
3.1. Circuit Description and Equivalent Model
3.2. Estimation of the Oscillation Period
3.3. Analysis and Design of the Proposed Relaxation Oscillator
3.4. Simulation Results for the Relaxation Oscillator
4. Conclusions
Author Contributions
Funding
Data Availability Statement
Conflicts of Interest
References
- Smith, K.C.; Sedra, A. The current conveyor: A new circuit building block. Proc. IEEE 1968, 56, 1368–1369. [Google Scholar] [CrossRef]
- Sedra, A.; Smith, K.C. A second generation current conveyor and its application. IEEE Trans. 1970, CT-17, 132–133. [Google Scholar] [CrossRef]
- Filanovsky, I.M.; Stromsmoe, K.A. Current-voltage conveyor. Electron. Lett. 1981, 17, 129–130. [Google Scholar] [CrossRef]
- Dostal, T.; Pospısil, J. Current and voltage conveyors—A family of three-port immittance converters. In Proceedings of the International Symposium on Circuits and Systems, Roma, Italy, 10–12 May 1982; pp. 419–422. [Google Scholar]
- Filanovsky, I.M. Current conveyor, voltage conveyor, gyrator. In Proceedings of the 44th IEEE 2001 Midwest Symposium on Circuits and Systems, MWSCAS 2001, Dayton, OH, USA, 14–17 August 2001; pp. 314–317. [Google Scholar] [CrossRef]
- Filanovsky, I.M. CMOS voltage conveyors. In Proceedings of the 44th IEEE 2001 Midwest Symposium on Circuits and Systems, MWSCAS 2001, Dayton, OH, USA, 14–17 August 2001; Volume 1, pp. 318–321. [Google Scholar]
- Čajka, J.; Vrba, K. The Voltage Conveyor May Have in Fact Found its Way into Circuit Theory. AEU—Int. J. Electron. Commun. 2004, 58, 244–248. [Google Scholar] [CrossRef]
- Stornelli, V.; Safari, L.; Barile, G.; Ferri, G. A New Extremely Low Power Temperature Insensitive Electronically Tunable VCII-Based Grounded Capacitance Multiplier. IEEE Trans. Circuits Syst. II Express Briefs 2021, 68, 72–76. [Google Scholar] [CrossRef]
- Barile, G.; Ferri, G.; Safari, L.; Stornelli, V. A New High Drive Class-AB FVF-Based Second Generation Voltage Conveyor. IEEE Trans. Circuits Syst. II Express Briefs 2020, 67, 405–409. [Google Scholar] [CrossRef]
- Psychalinos, C.; Yesil, A.; Minaei, S.; Bertsias, P. Flipped Voltage Follower-Based Voltage Conveyors: Investigation and Possible Enhancements. Circuits Syst. Signal Process 2023, 42, 2028–2048. [Google Scholar] [CrossRef]
- Safari, L.; Barile, G.; Colaiuda, D.; Stornelli, V.; Ferri, G. Realization of an Electronically Tunable Resistor-Less Floating Inductance Simulator Using VCII. Electronics 2022, 11, 312. [Google Scholar] [CrossRef]
- Barile, G.; Safari, L.; Pantoli, L.; Stornelli, V.; Ferri, G. Electronically Tunable First Order AP/LP and LP/HP Filter Topologies Using Electronically Controllable Second Generation Voltage Conveyor (CVCII). Electronics 2021, 10, 822. [Google Scholar] [CrossRef]
- Safari, L.; Barile, G.; Ferri, G.; Ragnoli, M.; Stornelli, V. A New Realization of Electronically Tunable Multiple-Input Sigle-Voltage Output Second-Order LP/BP Filter Using VCII. Electronics 2022, 11, 646. [Google Scholar] [CrossRef]
- Yesil, A.; Minaei, S.; Psychalinos, C. ±0.45 V CMOS Second-Generation Voltage Conveyor Based on Super Source Follower. Circuits Syst. Signal Process 2022, 41, 1819–1833. [Google Scholar] [CrossRef]
- Safari, L.; Barile, G.; Stornelli, V.; Ferri, G. An overview on the second generation voltage conveyor: Features, design and applications. IEEE Trans. Circuits Syst. II Express Briefs 2019, 66, 547–551. [Google Scholar] [CrossRef]
- Yesil, A.; Minaei, S. New Simple Transistor Realizations of Second-Generation Voltage Conveyor. Int. J. Circuit Theory Appl. 2020, 48, 2023–2038. [Google Scholar] [CrossRef]
- Safari, L.; Yuce, E.; Minaei, S.; Ferri, G.; Stornelli, V. A Second-Generation Voltage Conveyor (VCII)-Based Simulated Grounded Inductor. Int. J. Circuit Theory Appl. 2020, 48, 1180–1193. [Google Scholar] [CrossRef]
- Yuce, E.; Safari, L.; Minaei, S.; Ferri, G.; Barile, G.; Stornelli, V. A New Simulated Inductor with Reduced Series Resistor Using a Single VCII±. Electronics 2021, 10, 1693. [Google Scholar] [CrossRef]
- Stornelli, V.; Safari, L.; Barile, G.; Ferri, G. A New VCII Based Grounded Positive/Negative Capacitance Multiplier. AEU Int. J. Electron. Commun. 2021, 137, 153793. [Google Scholar] [CrossRef]
- Ferri, G.; Safari, L.; Barile, G.; Scarsella, M.; Stornelli, V. New Resistor-Less Electronically Controllable ±C Simulator Employing VCII, DVCC, and a Grounded Capacitor. Electronics 2022, 11, 286. [Google Scholar] [CrossRef]
- Absi, M. A VCII Based Tunable Positive and Negative Impedance Simulator and Impedance Multiplier. TechRxiv 2022, 1–5. [Google Scholar] [CrossRef]
- Safari, L.; Barile, G.; Ferri, G.; Stornelli, V. High Performance Voltage Output Filter Realizations Using Second Generation Volage Conveyor. Int. J. RF Microw. Comput.-Aided Eng. 2018, 28, e21534. [Google Scholar] [CrossRef]
- Kulshrestha, S.; Bansal, D.; Bansal, S. A New Voltage Mode KHN Biquad Using VCII. J. Circuits Syst. Comput. 2021, 30, 2150232. [Google Scholar] [CrossRef]
- Kumngern, M.; Khateb, F.; Kulej, T. 0.5 V Current-Mode Low-Pass Filter Based on Voltage Second Generation Current Conveyor for Bio-Sensor Applications. IEEE Access 2022, 10, 12201–12207. [Google Scholar] [CrossRef]
- Koton, J.; Herencsar, N.; Vrba, K. Current and Voltage Conveyors in Current- and Voltage-Mode Precision Full-Wave Rectifiers. Radioengineering 2011, 20, 19–24. [Google Scholar]
- Stornelli, V.; Barile, G.; Leoni, A. A Novel General Purpose Combined DFVF/VCII Based Biomedical Amplifier. Electronics 2020, 9, 331. [Google Scholar] [CrossRef]
- Safari, L.; Barile, G.; Stornelli, V.; Ferri, G. A New Versatile Full Wave Rectifier Using Voltage Conveyors. AEU Int. J. Electron. Commun. 2020, 122, 153267. [Google Scholar] [CrossRef]
- Safari, L.; Barile, G.; Ferri, G.; Pantoli, L.; Ragnoli, M.; Stornelli, V. A New Architecture Proposal of Half-wave Precision Rectifier using a Single VCII. In Proceedings of the 11th International Conference on Sensor Networks, Vienna, Austria, 7–8 February 2022. [Google Scholar] [CrossRef]
- Stornelli, V.; Barile, G.; Pantoli, L.; Scarsella, M.; Ferri, G.; Centurelli, F.; Tommasino, P.; Trifiletti, A. A New VCII Application: Sinusoidal Oscillators. J. Low. Power Electron. Appl. 2021, 11, 30. [Google Scholar] [CrossRef]
- Mathur, K.; Venkateswaran, P.; Nandi, R. A linear voltage controlled quadrature oscillator implementation using VCII. IEICE Electron. Express 2022, 19, 1–4. [Google Scholar] [CrossRef]
- Anand, A.; Pandey, R. A Novel Dual Output Schmitt Trigger Using Second Generation Voltage Controlled Conveyer. In Proceedings of the 2nd International Conference on Intelligent Technologies (CONIT), Hubli, India, 24–26 June 2022; pp. 1–5. [Google Scholar] [CrossRef]
- Colaiuda, D.; Barile, G.; Leoni, A.; Stornelli, V.; Ferri, G. Low-Power VCII-Based Current-Mode Schmitt Trigger with High Drive Capabilities. In Proceedings of the 19th Conference on Ph.D Research in Microelectronics and Electronics (PRIME), Larnaca, Cyprus, 9–12 June 2024; pp. 1–4. [Google Scholar] [CrossRef]
- Barile, G.; Safari, L.; Ferri, G.; Stornelli, V. A VCII-Based Stray Insensitive Analog Interface for Differential Capacitance Sensors. Sensors 2019, 19, 3545. [Google Scholar] [CrossRef]
- Scarsella, M.; Barile, G.; Stornelli, V.; Safari, L.; Ferri, G. A Survey on Current-Mode Interfaces for Bio Signals and Sensors. Sensors 2023, 23, 3194. [Google Scholar] [CrossRef]
- Barile, G.; Stornelli, V.; Ferri, G.; Safari, L.; D’Amico, E. A New Rail-to-Rail Second Generation Voltage Conveyor. Electronics 2019, 8, 1292. [Google Scholar] [CrossRef]
- Kumngern, M.; Torteanchai, U.; Khateb, F. CMOS Class AB Second Generation Voltage Conveyor. In Proceedings of the 2019 IEEE International Circuits and Systems Symposium (ICSyS), Sapporo, Japan, 18–19 September 2019; pp. 1–4. [Google Scholar]
- Safari, L.; Barile, G.; Stornelli, V.; Minaei, S.; Ferri, G. Towards Realization of a Low-Voltage Class-AB VCII with High Current Drive Capability. Electronics 2021, 10, 2303. [Google Scholar] [CrossRef]
- Esposito, P.; Barile, G.; Ferri, G.; Stornelli, V. A Rail-to-Rail Second Generation Voltage Conveyor for Low-Power Applications. In Proceedings of the 19th Conference on Ph.D Research in Microelectronics and Electronics (PRIME), Larnaca, Cyprus, 9–12 June 2024; pp. 1–5. [Google Scholar] [CrossRef]
- Barile, G.; Ferri, G.; Pantoli, L.; Ragnoli, M.; Stornelli, V.; Safari, L.; Centurelli, F.; Tommasino, P.; Trifiletti, A. Low Power Class-AB VCII with Extended Dynamic Range. AEU—Int. J. Electron. Commun. 2022, 146, 154120. [Google Scholar] [CrossRef]
- Dai, L.; Harjani, R. Design of low-phase-noise CMOS ring oscillators. IEEE Trans. Circuits Syst. II Analog. Digit. Signal Process. 2002, 49, 328–338. [Google Scholar] [CrossRef]
- Jespers, P.; Murmann, B. Systematic Design of Analog CMOS Circuits: Using Pre-Computed Lookup Tables, 1st ed.; Cambridge University Press: Cambridge, UK, 2017; pp. 62–92. [Google Scholar]
- Grasso, A.D.; Palumbo, G.; Pennisi, S. Dual Push–Pull High-Speed Rail-to-Rail CMOS Buffer Amplifier for Flat-Panel Displays. IEEE Trans. Circuits Syst. II Express Briefs 2018, 65, 1879–1883. [Google Scholar] [CrossRef]
- Blalock, B.J.; Allen, P.E.; Rincon-Mora, G.A. Designing 1-V Op Amps Using Standard Digital CMOS Technology. IEEE Trans. Circuits Syst. II 1998, 45, 769–780. [Google Scholar] [CrossRef]
- Carrillo, J.M.; Torelli, G.; Valverde, R.P.A.; Duque-Carrillo, J.F.; Raman, D.R. 1-V Rail-to-Rail CMOS OpAmp With Improved Bulk-Driven Input Stage. IEEE J. Solid-State Circuits 2007, 42, 508–517. [Google Scholar] [CrossRef]
- Wang, M.; Mayhugh, T.L.; Embabi, S.H.K.; Sanchez-Sinencio, E. Constant-gm rail-to-rail CMOS op-amp input stage with overlapped transition regions. IEEE J. Solid-State Circuits 1999, 34, 148–156. [Google Scholar] [CrossRef]
- Blackman, R. Effect of feedback on impedance. Bell Syst. Tech. J. 1943, 22, 269–277. [Google Scholar] [CrossRef]
- Popovic, J.; Pavasovic, A.; Zivkovic-DZunja, Z.; Vasiljevic, D. CMOS RLC and crystal oscillators based on current conveyors. IEEE Trans. UFFC 1996, 43, 410–416. [Google Scholar] [CrossRef]
- Andronov, A.A.; Vitt, A.A.; Khaikin, S.E. Theory of Oscillators; Dover Publications: New York, NY, USA, 1987. [Google Scholar]
- Pandey, R.; Pandey, N.; Paul, S.K.; Anand, K.; Gautam, K.G. Voltage mode astable multivibrator using single CDBA. ISRN Electron. 2013, 2, 390160. [Google Scholar] [CrossRef]
- Del Re, S.; De Marcellis, A.; Ferri, G.; Stornelli, V. Low voltage integrated astable multivibrator based on a single CCII. In Proceedings of the 2007 Ph.D Research in Microelectronics and Electronics Conference, PRIME, Bordeaux, France, 2–5 July 2007; pp. 177–180. [Google Scholar] [CrossRef]
- Ashish, R.; Harika, P.; Huirem, T. A novel Schmitt trigger and its application using a single four terminal floating nullor (FTFN). Analog. Integr. Circuits Signal Process. 2018, 96, 455–467. [Google Scholar] [CrossRef]
- Sotner, R.; Jerabek, J.; Herencsar, N.; Dostal, T.; Vrba, K. Design of Z-copy controlled-gain voltage differencing current conveyor based adjustable functional generator. Microelectron. J. 2015, 46, 143–152. [Google Scholar] [CrossRef]
- Mohammad, U.; Yasin, M.Y.; Yousuf, R.; Anwar, I. A novel square wave generator based on the translinear circuit scheme of second generation current controlled current conveyor-CCCII. SN Appl. Sci. 2019, 1, 587. [Google Scholar] [CrossRef]
- Chaturvedi, B.; Kumar, A. Novel CMOS MO-CFDITA based fully electronically controlled square/triangular wave generator with adjustable duty cycle. IET Circuits Devices Syst. 2018, 12, 817–826. [Google Scholar] [CrossRef]
- Alzaher, H.A. Novel Schmitt Trigger and Square-Wave Generator Using Single Current Amplifier. IEEE Access 2019, 7, 186175–186181. [Google Scholar] [CrossRef]
- Kok, C.L.; Tang, H.; Teo, T.H.; Koh, Y.Y. A DC-DC Converter with Switched-Capacitor Delay Deadtime Controller and Enhanced Unbalanced-Input Pair Zero-Current Detector to Boost Power Efficiency. Electronics 2024, 13, 1237. [Google Scholar] [CrossRef]

















| Transistor | W (μm) | gm/ID (S/A) |
|---|---|---|
| M1, M3, M5 | 2.88 | 17.5 |
| M2, M4, M6 | 7.31 | 17.1 |
| M7, M9 | 8.64 | 18.8 |
| M8, M10 | 2.88 | 17 |
| M11, M13 | 8.64 | 18.3 |
| M12, M14 | 2.88 | 17.2 |
| Transistor | W (μm) | gm/ID (S/A) |
|---|---|---|
| M15, M16 | 10.8 | 18 |
| M17, M18 | 2.88 | 15.2 |
| M19–M22 | 8.64 | 14.7 |
| M23 | 1.44 | 14.8 |
| M24 | 3.24 | 13 |
| M25 | 4.32 | 9.1 |
| Parameter | P | V(VDD − VSS) | T (°C) | ||||||
|---|---|---|---|---|---|---|---|---|---|
| FF | FS | SF | SS | ±0.99 V | ±0.81 V | −20 | 25 | 80 | |
| rY [Ω] | 107.6 | 113.4 | 108.2 | 112.3 | 101.8 | 123.3 | 110.1 | 110.3 | 116.4 |
| LY [µH] | 2.05 | 2.37 | 2.27 | 2.60 | 2.22 | 2.44 | 2.20 | 2.32 | 2.56 |
| rX [kΩ] | 642.4 | 788.0 | 734.4 | 896.0 | 762.9 | 756.8 | 744.3 | 759.1 | 772.0 |
| CX [fF] | 40.64 | 43.59 | 40.36 | 43.50 | 41.35 | 42.97 | 41.20 | 41.95 | 42.64 |
| rZ [Ω] | 3.65 | 4.42 | 5.64 | 7.59 | 2.84 | 12.2 | 6.62 | 4.90 | 4.40 |
| LZ [µH] | 1.16 | 1.60 | 1.89 | 2.89 | 1.09 | 3.52 | 2.26 | 1.74 | 1.54 |
| β | 1.151 | 1.118 | 1.121 | 1.091 | 1.145 | 1.091 | 1.110 | 1.119 | 1.128 |
| α | 0.9996 | 0.9995 | 0.9994 | 0.9992 | 0.9997 | 0.9998 | 0.9993 | 0.9995 | 0.9995 |
| THDY-X [%] | 1.32 | 1.21 | 1.20 | 1.09 | 1.19 | 1.23 | 1.09 | 1.19 | 1.30 |
| THDX-Z [%] | 0.39 | 0.29 | 0.28 | 0.32 | 0.37 | 1.45 | 0.28 | 0.29 | 0.45 |
| Pdiss [µW] | 186.9 | 159.6 | 153.5 | 137.6 | 218.5 | 118.8 | 141.5 | 155.9 | 174 |
| MC | rY [Ω] | LY [µH] | rX [kΩ] | Cx [fF] | rZ [Ω] | LZ [µH] | β | α | Pdiss [µW] | THDY-X [%] | THDX-Z [%] |
|---|---|---|---|---|---|---|---|---|---|---|---|
| Mean | 111.2 | 2.091 | 752.1 | 41.47 | 5.014 | 1.751 | 1.120 | 0.9994 | 157 | 1.204 | 0.2866 |
| Sigma | 2.220 | 0.079 | 28.42 | 0.629 | 0.606 | 0.233 | 7.827 m | 52.35 μ | 6.99 | 28.07 m | 10.837 m |
| [38] | [35] | [36] | [37] | Proposed | Proposed | |
|---|---|---|---|---|---|---|
| VCII type | positive | positive | positive | Positive | positive | negative |
| Class | AB | AB | AB | AB | AB | AB |
| α | 0.94 | 0.972 | 1 | 0.953 | 0.9994 | 0.9994 |
| αBW [MHz] | 191.5 | 50 | 100 | 50 | 173.2 | 173.2 |
| β | 1 | 0.996 | 0.987 | 0.993 | 1.044 | 1.119 |
| βBW [MHz] | 86.6 | 165 | 169.7 | 11 | 311.1 | 298.3 |
| rY [Ω] | 602 | 23 | 1.88 k | 973 | 97.48 | 110.4 |
| rX [Ω] | 591 k | 522 k | 273.8 k | 120 k | 804.4 k | 759.7 k |
| rZ [Ω] | 370 | 160 | 1.75 k | 217 | 4.86 | 4.86 |
| Pdiss [µW] | 70 | 120 | 179 | 393 | 136.6 | 157 |
| THDY-X [%] | - | 1.1 | 1 | 2.4 | 1 | 1.19 |
| Ixpp @ 1 MHz | 0.5 mA | 1.22 mA | 10 mA | 2 mA | 200 μA | |
| THDX-Z [%] | - | 2.4 | 1 | 3.9 | 0.29 | 0.29 |
| Vxpp @ 1 MHz | 1.6 V | 1.78 V | 0.8 V | 1.5 V | 1.5 V | |
| Number of transistors | 19 | 37 | 12 | 38 | 31 | 35 |
| Technology | 0.18 μm | 0.15 μm | 0.18 μm | 0.18 μm | 0.18 μm | 0.18 μm |
| Rail-to-rail | yes | yes | Yes | No | yes | yes |
| Parameter | P | V(VDD − VSS) | T (°C) | ||||||
|---|---|---|---|---|---|---|---|---|---|
| FF | FS | SF | SS | ±0.99 V | ±0.81 V | −20 | 25 | 80 | |
| f0 [MHz] | 1.025 | 1.046 | 1.051 | 1.049 | 0.978 | 1.067 | 1.056 | 1.056 | 1.027 |
| Pdiss [μW] | 216.8 | 210.4 | 209.8 | 205.7 | 229.3 | 192.6 | 207.8 | 209.9 | 213.1 |
| PN [dBc/Hz] | −85.70 | −86.41 | −85.79 | −86.76 | −86.58 | −86.03 | −85.97 | −86.05 | −86.53 |
| Ref | [50] | [51] | [52] | [53] | [54] | [55] | Proposed |
|---|---|---|---|---|---|---|---|
| ABB | CCII | FTFN | ZC-CG-VDCC | CCCII | MO-CFDITA | CA | VCII |
| Num. of ABB | 1 | 1 | 1 | 1 | 1 | 1 | 1 |
| Passive elem. | 3R, 1C | 2R, 1C | 2R, 1C | 2R, 1C | 1C | - | 2R, 1C |
| Max Op. Freq. | 50 MHz | 5 MHz | 4.385 MHz | 4.99 MHz | 50 MHz | 7 MHz | 10 MHz |
| Number of transistors | 17 | 23 | 52 | 13 | 21 | 33 | 35 |
| Area [μm2] | - | - | - | - | - | 50,000 | 1250 |
| Power supply | ±0.75 V | ±1.65 V | ±1.0 V | ±1.0 V | ±1.25 V | ±0.75 V | ±0.9 V |
| Power dissip. | 0.750 mW | 2.81 mW | 6.28 mW | 0.6 mW | 1.45 mW | 11 μW | 0.19 mW |
| FOM [kHz/μW] | 66.7 | 1.78 | 0.70 | 8.32 | 34.5 | 636.36 | 52.6 |
Disclaimer/Publisher’s Note: The statements, opinions and data contained in all publications are solely those of the individual author(s) and contributor(s) and not of MDPI and/or the editor(s). MDPI and/or the editor(s) disclaim responsibility for any injury to people or property resulting from any ideas, methods, instructions or products referred to in the content. |
© 2024 by the authors. Licensee MDPI, Basel, Switzerland. This article is an open access article distributed under the terms and conditions of the Creative Commons Attribution (CC BY) license (https://creativecommons.org/licenses/by/4.0/).
Share and Cite
Djurić, R.; Popović-Božović, J. A CMOS Rail-to-Rail Class AB Second-Generation Voltage Conveyor and Its Application in a Relaxation Oscillator. Electronics 2024, 13, 3511. https://doi.org/10.3390/electronics13173511
Djurić R, Popović-Božović J. A CMOS Rail-to-Rail Class AB Second-Generation Voltage Conveyor and Its Application in a Relaxation Oscillator. Electronics. 2024; 13(17):3511. https://doi.org/10.3390/electronics13173511
Chicago/Turabian StyleDjurić, Radivoje, and Jelena Popović-Božović. 2024. "A CMOS Rail-to-Rail Class AB Second-Generation Voltage Conveyor and Its Application in a Relaxation Oscillator" Electronics 13, no. 17: 3511. https://doi.org/10.3390/electronics13173511
APA StyleDjurić, R., & Popović-Božović, J. (2024). A CMOS Rail-to-Rail Class AB Second-Generation Voltage Conveyor and Its Application in a Relaxation Oscillator. Electronics, 13(17), 3511. https://doi.org/10.3390/electronics13173511

