Sign in to use this feature.

Years

Between: -

Subjects

remove_circle_outline
remove_circle_outline
remove_circle_outline
remove_circle_outline
remove_circle_outline
remove_circle_outline
remove_circle_outline
remove_circle_outline
remove_circle_outline

Journals

Article Types

Countries / Regions

remove_circle_outline
remove_circle_outline
remove_circle_outline
remove_circle_outline

Search Results (373)

Search Parameters:
Keywords = capacitance–voltage characteristic

Order results
Result details
Results per page
Select all
Export citation of selected articles as:
18 pages, 5275 KB  
Article
Interference Characteristics of a Primary–Secondary Integrated Distribution Switch Under Lightning Strike Conditions Based on a Field-Circuit Hybrid Full-Wave Model
by Ge Zheng, Shilei Guan, Yilin Tian, Changkai Shi, Hui Yin, Chengbo Jiang, Meng Yuan, Yijun Fu, Yiheng Chen, Shen Lai and Shaofei Wang
Energies 2026, 19(3), 623; https://doi.org/10.3390/en19030623 - 25 Jan 2026
Viewed by 166
Abstract
As distribution networks become increasingly intelligent, primary–secondary integrated distribution switches are replacing the traditional electromagnetic type. However, the high degree of integration intensifies inherent electromagnetic compatibility (EMC) challenges. This paper presents a field-circuit hybrid full-wave model to investigate switch characteristics during lightning strikes. [...] Read more.
As distribution networks become increasingly intelligent, primary–secondary integrated distribution switches are replacing the traditional electromagnetic type. However, the high degree of integration intensifies inherent electromagnetic compatibility (EMC) challenges. This paper presents a field-circuit hybrid full-wave model to investigate switch characteristics during lightning strikes. A 3D full-wave model of the switch and a distributed parameter circuit model of the connecting lines are coupled via a network parameter matrix. This approach comprehensively accounts for the impacts of transmission lines and structural components on electromagnetic disturbances. Simulation and experimental results reveal that lightning strikes induce high-frequency damped oscillatory waves, primarily caused by traveling wave reflections along overhead lines. The characteristic frequency of disturbance is inversely proportional to the transmission line length. Additionally, internal components significantly influence this frequency; specifically, a larger voltage dividing capacitance in the voltage transformer results in a lower frequency. Model validation was performed using a 20 m transmission line setup. A 75 kV standard lightning impulse was injected into Phase B. At a distance of 500 mm from the voltage transformer, the measured radiated electric field amplitude was 14.12 kV/m (deviation < 5%), and the characteristic frequency was 1.11 MHz (deviation < 20%). These findings offer vital guidance for the lightning protection and EMC design of primary–secondary integrated distribution switches. Full article
(This article belongs to the Topic EMC and Reliability of Power Networks)
Show Figures

Figure 1

19 pages, 2949 KB  
Article
Modeling the Characteristics of an Alkaline Electrolyzer When Powered by a Rectangular Pulse Train
by Krzysztof Górecki, Michał Lewandowski and Przemysław Ptak
Energies 2026, 19(3), 622; https://doi.org/10.3390/en19030622 - 25 Jan 2026
Viewed by 130
Abstract
This paper presents the results of modeling the DC and dynamic characteristics of an alkaline electrolyzer. A model of such an electrolyzer is proposed as a subcircuit for the SPICE software. This model describes DC and dynamic current–voltage characteristics of the electrolyzer, taking [...] Read more.
This paper presents the results of modeling the DC and dynamic characteristics of an alkaline electrolyzer. A model of such an electrolyzer is proposed as a subcircuit for the SPICE software. This model describes DC and dynamic current–voltage characteristics of the electrolyzer, taking into account the effect of solution concentration on the electrolyzer internal resistance and electrolyte capacitance, as well as the resistance and inductance of the leads. Using this model, one can calculate the voltage and current waveforms across the electrolyzer, as well as the gas flow rate produced by the electrolyzer. The correctness of the developed model was experimentally verified by powering the electrolyzer using a DC source and by powering the device using a voltage source, generating a rectangular pulse train with an adjustable frequency and duty cycle. The measurement system is described, and the obtained calculation and measurement results are presented and discussed. It was shown that the obtained calculation results differed minimally from the measurement results across a wide range of frequencies (from 0 to 50 kHz), duty cycles (from 0.3 to 0.7) of the supply voltage, and concentrations of the electrolyte (from 0.1 to 10%). The mean square error, normalized to peak measured values of each considered quantity, does not exceed 4%. Full article
(This article belongs to the Section A5: Hydrogen Energy)
Show Figures

Figure 1

16 pages, 3808 KB  
Article
Graphene/Chalcogenide Heterojunctions for Enhanced Electric-Field-Sensitive Dielectric Performance: Combining DFT and Experimental Study
by Bo Li, Nanhui Zhang, Yuxing Lei, Mengmeng Zhu and Haitao Yang
Nanomaterials 2026, 16(2), 128; https://doi.org/10.3390/nano16020128 - 18 Jan 2026
Viewed by 211
Abstract
Electric-field-sensitive dielectrics play a crucial role in electric field induction sensing and related capacitive conversion, with interfacial polarization and charge accumulation largely determining the signal output. This paper introduces graphene/transition metal dichalcogenide (TMD) (MoSe2, MoS2, and WS2) [...] Read more.
Electric-field-sensitive dielectrics play a crucial role in electric field induction sensing and related capacitive conversion, with interfacial polarization and charge accumulation largely determining the signal output. This paper introduces graphene/transition metal dichalcogenide (TMD) (MoSe2, MoS2, and WS2) heterojunctions as functional fillers to enhance the dielectric response and electric-field-induced voltage output of flexible polydimethylsiloxane (PDMS) composites. Density functional theory (DFT) calculations were used to evaluate the stability of the heterojunctions and interfacial electronic modulation, including binding behavior, charge redistribution, and Fermi level-referenced band structure/total density of states (TDOS) characteristics. The calculations show that the graphene/TMD interface is primarily controlled by van der Waals forces, exhibiting negative binding energy and significant interfacial charge rearrangement. Based on these theoretical results, graphene/TMD heterojunction powders were synthesized and incorporated into polydimethylsiloxane (PDMS). Structural characterization confirmed the presence of face-to-face interfacial contacts and consistent elemental co-localization within the heterojunction filler. Dielectric spectroscopy analysis revealed an overall improvement in the dielectric constant of the composite materials while maintaining a stable loss trend within the studied frequency range. More importantly, calibrated electric field induction tests (based on pure PDMS) showed a significant enhancement in the voltage response of all heterojunction composite materials, with the WS2-G/PDMS system exhibiting the best performance, exhibiting an electric-field-induced voltage amplitude 7.607% higher than that of pure PDMS. This work establishes a microscopic-to-macroscopic correlation between interfacial electronic modulation and electric-field-sensitive dielectric properties, providing a feasible interface engineering strategy for high-performance flexible dielectric sensing materials. Full article
(This article belongs to the Section 2D and Carbon Nanomaterials)
Show Figures

Figure 1

20 pages, 6759 KB  
Article
Transient Voltage Support Strategy for Microgrids at the Distribution Network Edge Considering Cable Capacitance
by Shiran Cao, Ruotian Yao, Weihao Shuai, Hao Bai, Shiqi Jiang and Yawen Zheng
Electronics 2026, 15(2), 349; https://doi.org/10.3390/electronics15020349 - 13 Jan 2026
Viewed by 109
Abstract
Microgrids are commonly connected through medium-voltage cables in coastal distribution networks and other microgrids. However, a faulted microgrid may increase the collapse risk if the supporting microgrids are disconnected due to voltage sags. Conventional voltage support methods, which primarily rely on the impedance [...] Read more.
Microgrids are commonly connected through medium-voltage cables in coastal distribution networks and other microgrids. However, a faulted microgrid may increase the collapse risk if the supporting microgrids are disconnected due to voltage sags. Conventional voltage support methods, which primarily rely on the impedance characteristics of the transmission line, typically regulate the active-to-reactive current ratio (hereafter referred to as “current ratio”) to maximize positive sequence voltage while minimizing negative sequence voltage. Nevertheless, the distributed capacitance inherent in cables induces deviations in both the amplitude and phase of the transmitted current, while simultaneously intensifying the coupling between voltage and current. These effects complicate the voltage fluctuation behavior and impair the effectiveness of voltage support, thereby increasing the risk of disconnection and collapse for the faulted microgrid (hereafter referred to as “fault region”). To address this challenge, this study focuses on non-faulted microgrids (hereafter referred to as “microgrids”), proposing a method for active current correction and transient voltage support that considers the influence of cable distributed capacitance. By analyzing the voltage and current characteristics on both ends of the interconnecting cables, the method optimizes the current injection ratio. It mitigates deviation caused by cable capacitance effects, thereby enhancing the voltage support performance of the microgrid. Notably, the proposed method operates independently of real-time voltage and current measurements from the fault region, significantly reducing communication demands. Experimental results based on a practical microgrid validate the effectiveness of the proposed method, demonstrating a 27.9% improvement in voltage support performance compared to conventional methods. Full article
Show Figures

Figure 1

18 pages, 2837 KB  
Article
Grid-Connected Active Support and Oscillation Suppression Strategy of Energy Storage System Based on Virtual Synchronous Generator
by Zhuan Zhao, Jinming Yao, Shuhuai Shi, Di Wang, Duo Xu and Jingxian Zhang
Electronics 2026, 15(2), 323; https://doi.org/10.3390/electronics15020323 - 11 Jan 2026
Viewed by 146
Abstract
This paper addresses stability issues, including voltage fluctuation, a frequency offset, and broadband oscillation resulting from the high penetration of renewable energy in a photovoltaic high-permeability distribution network. This paper proposes an active support control strategy which is energy storage grid-connected based on [...] Read more.
This paper addresses stability issues, including voltage fluctuation, a frequency offset, and broadband oscillation resulting from the high penetration of renewable energy in a photovoltaic high-permeability distribution network. This paper proposes an active support control strategy which is energy storage grid-connected based on a virtual synchronous generator (VSG). This strategy endows the energy storage system with virtual inertia and a damping capacity by simulating the rotor motion equation and excitation regulation characteristics of the synchronous generator, and effectively enhances the system’s ability to suppress power disturbances. The small-signal model of the VSG system is established, and the influence mechanism of the virtual inertia and damping coefficient on the system stability is revealed. A delay compensator in series with a current feedback path is proposed. Combined with the damping optimization of the LCL filter, the instability risk caused by high-frequency resonance and a control delay is significantly suppressed. The novelty lies in the specific configuration of the compensator within the grid–current feedback loop and its coordinated design with VSG parameters, which differs from traditional capacitive–current feedback compensation methods. The experimental results obtained from a semi-physical simulation platform demonstrate that the proposed control strategy can effectively suppress voltage fluctuations, suppress broadband oscillations, and improve the dynamic response performance and fault ride-through capability of the system under typical disturbance scenarios such as sudden illumination changes, load switching, and grid faults. It provides a feasible technical path for the stable operation of the distribution network with a high proportion of new energy access. Full article
(This article belongs to the Special Issue Innovations in Intelligent Microgrid Operation and Control)
Show Figures

Figure 1

40 pages, 3330 KB  
Review
EMC-Friendly Gate Driver Design in GaN-Based DC-DC Converters for Automotive Electronics: A Review
by Xinyu Wu, Li Zhang, Haitao You, Shizeng Zhang, Dimitar Nikolov and Qiang Cui
Electronics 2026, 15(2), 283; https://doi.org/10.3390/electronics15020283 - 8 Jan 2026
Viewed by 399
Abstract
The imperative for EMC-optimized gate drivers in Gallium Nitride (GaN)-based automotive DC-DC converters stems from the stringent CISPR 25 standards and GaN’s intrinsic high-speed switching characteristics, which paradoxically exacerbate electromagnetic interference (EMI). This review distinguishes itself by proposing a novel frequency-domain classification framework [...] Read more.
The imperative for EMC-optimized gate drivers in Gallium Nitride (GaN)-based automotive DC-DC converters stems from the stringent CISPR 25 standards and GaN’s intrinsic high-speed switching characteristics, which paradoxically exacerbate electromagnetic interference (EMI). This review distinguishes itself by proposing a novel frequency-domain classification framework (Zone I: <50 MHz for conducted harmonics; Zone II: >50 MHz for switching noise and ringing), which systematically organizes and assesses gate driving techniques against the triad of fundamental GaN EMC challenges: pronounced capacitance nonlinearity, low threshold voltage, and extreme parasitic sensitivity. Unlike prior surveys that primarily catalog techniques, the analysis elevates the gate driver from a simple switch interface to the central “electromagnetic actuator” of the power stage, explicitly elucidating its pivotal role in mediating the critical trade-offs among switching speed, loss, and EMC performance. A comprehensive evaluation and comparison of advanced techniques—from spread-spectrum modulation for Zone I to adaptive current shaping and resonant topologies for Zone II—are provided, alongside an analysis of their design trade-offs. Furthermore, this review presents a first-of-its-kind, phased implementation roadmap towards holistic EMC compliance, integrating intelligent hybrid control, heterogeneous integration, and system-level co-design. This review bridges the gap between device physics and system engineering, offering structured design methodologies and a clear future direction for achieving electromagnetic integrity in next-generation automotive power electronics. Full article
Show Figures

Figure 1

18 pages, 3932 KB  
Article
Drain-Voltage Assessment-Based RC Snubber Design Approach for GaN HEMT Flyback Converters
by Byeong-Je Park, Chae-Jeong Hwang, Geon-Ung Park, Min-Su Park and Daeyong Shim
Electronics 2026, 15(2), 271; https://doi.org/10.3390/electronics15020271 - 7 Jan 2026
Viewed by 287
Abstract
Conventional RC snubber design relies on oscillation frequency-based estimation, which is often influenced by uncontrolled parasitic elements and can therefore limit the accuracy of surge voltage prediction in GaN HEMT flyback converters. To overcome this limitation, a drain-voltage assessment-based design approach is introduced, [...] Read more.
Conventional RC snubber design relies on oscillation frequency-based estimation, which is often influenced by uncontrolled parasitic elements and can therefore limit the accuracy of surge voltage prediction in GaN HEMT flyback converters. To overcome this limitation, a drain-voltage assessment-based design approach is introduced, in which the snubber parameters are extracted directly from the measured voltage characteristics during the turn off transition. This method allows the surge voltage to be modeled more precisely and enables the snubber capacitance to be selected without unnecessary oversizing. Simulation results using the GaN Systems GS66516T device show that the proposed approach reduces the total power loss by 27.67% and 21.84% relative to two empirical design methods and achieves up to 53.64% lower loss compared with other RC combinations in the explored design space. The method suppresses the surge voltage from 877 V to 556 V, which closely aligns with the design target of 550 V, whereas the empirical methods result in maximum voltages of 637 V and 603 V. Finally, the thermal feasibility of the snubber resistor is analytically assessed, indicating that the estimated temperature rise remains within the safe operating range of commercial components. Full article
Show Figures

Figure 1

10 pages, 2901 KB  
Article
Inverters with Different Load Configurations and a Two-Input Multiplexer Based on IGZO NMOS TFTs
by Isai S. Hernandez-Luna, Jimena Quintero, Arturo Torres-Sanchez, Rodolfo García, Miguel Aleman and Norberto Hernandez-Como
Nanomaterials 2026, 16(2), 78; https://doi.org/10.3390/nano16020078 - 6 Jan 2026
Viewed by 327
Abstract
Amorphous indium-gallium-zinc-oxide (a-IGZO) thin-film transistors (TFTs) have emerged as promising candidates for next-generation large-area and low-power electronics due to their high mobility, low leakage current, and compatibility with low-temperature fabrication on flexible or transparent substrates. In this work, we report the fabrication of [...] Read more.
Amorphous indium-gallium-zinc-oxide (a-IGZO) thin-film transistors (TFTs) have emerged as promising candidates for next-generation large-area and low-power electronics due to their high mobility, low leakage current, and compatibility with low-temperature fabrication on flexible or transparent substrates. In this work, we report the fabrication of bottom-gate a-IGZO NMOS TFTs using HfO2 as high-k gate dielectric and Mo top contacts. The devices were electrically characterized through capacitance–voltage (C–V) and current–voltage (I–V) measurements, from which key parameters were extracted. Based on these transistors, we designed, fabricated, and characterized inverters employing four different load configurations: resistive, diode, depletion, and pseudo-CMOS. A comparative analysis was performed in terms of voltage transfer characteristics (VTCs), gain, and noise margins, highlighting that depletion-load inverters offer the highest gain and robust noise margins. Finally, a two-channel multiplexer was designed and fabricated. The multiplexer was characterized under both square and sinusoidal input signals up to 1 kHz, demonstrating correct channel selection and robust switching behavior. These results confirm the potential of a-IGZO TFT-based circuits as building blocks for low-power and high-reliability digital and mixed-signal electronics. Full article
(This article belongs to the Special Issue Wide Bandgap Semiconductor Material, Device and System Integration)
Show Figures

Figure 1

17 pages, 1911 KB  
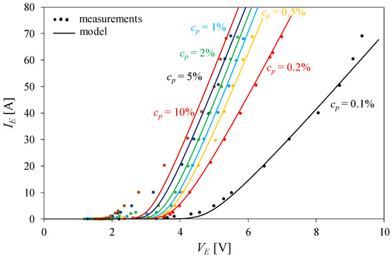
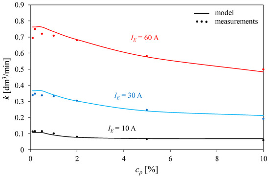
Article
Recommendation for Calculation of Energy Demand in Pulsed Electric Field Pretreatment of Lignocellulosic Biomass for Efficient Biogas Production
by Slavko Rupčić, Vanja Mandrić, Đurđica Kovačić and Davor Kralik
Sustainability 2026, 18(1), 537; https://doi.org/10.3390/su18010537 - 5 Jan 2026
Viewed by 202
Abstract
This study addresses the lack of transparent methods for calculating the energy requirements of pulsed electric field (PEF) pretreatments in biogas research. Two detailed approaches are proposed and evaluated to quantify the energy consumed during the pretreatment of lignocellulosic harvest residues (corn, soybean, [...] Read more.
This study addresses the lack of transparent methods for calculating the energy requirements of pulsed electric field (PEF) pretreatments in biogas research. Two detailed approaches are proposed and evaluated to quantify the energy consumed during the pretreatment of lignocellulosic harvest residues (corn, soybean, and sunflower) using a low-frequency electric field. The first approach is based on previously measured capacitor parameters, including resistance (Rs, Rp), inductance (Ls), capacitance (Cp), and loss factor (D), which were interpolated to 50 Hz from measurements performed over the frequency range of 100 Hz to 10 kHz. The second approach relies on direct measurements of the effective voltage and current waveforms across the capacitor, followed by calculation of the power factor (cos φ). Both methods enable reliable estimation of energy consumption and differ primarily in the type of input data required: Method 1 is based on capacitor characteristics determined before and after pretreatment, while Method 2 uses real-time treatment data. Despite these differences, the two approaches yielded highly consistent results, confirming their robustness and applicability. The calculated energy values were subsequently incorporated into a net energy balance by comparing the energy consumed during pretreatment with the methane energy output from anaerobic digestion. For all three investigated lignocellulosic substrates, PEF pretreatment resulted in a positive energy balance under the applied process conditions. Full article
(This article belongs to the Section Energy Sustainability)
Show Figures

Graphical abstract

16 pages, 2022 KB  
Article
Impedance Mismatch Mechanism and Matching Network Design of Incident End in Single-Core Cable Fault Location of IT System
by Yanming Han, Qingfeng Wang, Jianqiong Zhang and Xiangqiang Li
World Electr. Veh. J. 2026, 17(1), 20; https://doi.org/10.3390/wevj17010020 - 31 Dec 2025
Viewed by 232
Abstract
The reliability of the Medium-Voltage Direct-Current (MVDC) power supply system is crucial for train operation, as it powers control, communication, and other critical onboard systems. Accurately locating insulation faults within this system can significantly reduce troubleshooting difficulty and prevent major operational losses. This [...] Read more.
The reliability of the Medium-Voltage Direct-Current (MVDC) power supply system is crucial for train operation, as it powers control, communication, and other critical onboard systems. Accurately locating insulation faults within this system can significantly reduce troubleshooting difficulty and prevent major operational losses. This study addresses a key challenge in applying Time-Domain Reflectometry (TDR) for fault location in single-core cables of IT systems: the incident-end impedance mismatch caused by the variable characteristic impedance of such cables, which fluctuates with installation distance from a ground plane. First, the mechanism through which this mismatch attenuates the primary fault reflection and generates secondary reflections is theoretically modeled. A resistive-capacitive (RC) coupling network is then designed to achieve bidirectional impedance matching between the test equipment and the cable under test while maintaining essential DC isolation. Simulation and experimental results demonstrate that the proposed network effectively mitigates the mismatch issue. In experiments, it increased the proportion of the primary reflected wave entering the receiver by over 30 percentage points and suppressed the secondary reflection by approximately 80%. These improvements enhance waveform clarity and signal strength, directly leading to more accurate fault location. The proposed solution, validated in a railway context, also holds significant potential for improving insulation fault diagnosis in analogous high-voltage cable applications, such as electric vehicle powertrains. Full article
(This article belongs to the Section Vehicle Management)
Show Figures

Figure 1

18 pages, 3330 KB  
Article
A Seven-Level Single-DC-Source Inverter with Triple Voltage Gain and Reduced Component Count
by Ziyang Wang, Decun Niu, Jingyang Fang, Minghao Chen, Lei Zhang, Wei Zhang, Dong Wang and Qianli Ma
Appl. Sci. 2026, 16(1), 215; https://doi.org/10.3390/app16010215 - 24 Dec 2025
Viewed by 386
Abstract
This paper proposes a novel seven-level switched-capacitor multilevel inverter featuring a shared front-end DC-link structure that achieves triple voltage gain with reduced component count. A distinctive feature of this design is its inherent capacitor voltage self-balancing capability, thereby eliminating the need for complex [...] Read more.
This paper proposes a novel seven-level switched-capacitor multilevel inverter featuring a shared front-end DC-link structure that achieves triple voltage gain with reduced component count. A distinctive feature of this design is its inherent capacitor voltage self-balancing capability, thereby eliminating the need for complex control algorithms typically associated with multilevel converters. Moreover, the topology demonstrates particularly significant advantages in three-phase implementations, where a single DC source, front-end switching devices, and capacitors can be shared across all phases—thus substantially reducing component count and system complexity compared to conventional designs. Additionally, this paper proposes an improved carrier-based modulation strategy for this topology requiring only a single triangular carrier, along with a systematic method for determining optimal capacitance values. Through detailed comparative assessment against state-of-the-art switched-capacitor seven-level inverters, the superior performance characteristics of the proposed topology are clearly demonstrated. Finally, simulation results under various operating conditions are presented and subsequently validated through experimental testing on a laboratory prototype, confirming the practical viability of the proposed solution. Full article
(This article belongs to the Special Issue Recent Developments in Electric Vehicles, Second Edition)
Show Figures

Figure 1

28 pages, 8954 KB  
Article
Biomimetic Roll-Type Meissner Corpuscle Sensor for Gustatory and Tongue-Like Multifunctional Performance
by Kunio Shimada
Appl. Sci. 2025, 15(24), 12932; https://doi.org/10.3390/app152412932 - 8 Dec 2025
Viewed by 379
Abstract
The development of human-robot interfaces that support daily social interaction requires biomimetic innovation inspired by the sensory receptors of the five human senses (tactile, olfactory, gustatory, auditory, and visual) and employing soft materials to enable natural multimodal sensing. The receptors have a structure [...] Read more.
The development of human-robot interfaces that support daily social interaction requires biomimetic innovation inspired by the sensory receptors of the five human senses (tactile, olfactory, gustatory, auditory, and visual) and employing soft materials to enable natural multimodal sensing. The receptors have a structure formulated by variegated shapes; therefore, the morphological mimicry of the structure is critical. We proposed a spring-like structure which morphologically mimics the roll-type structure of the Meissner corpuscle, whose haptic performance in various dynamic motions has been demonstrated in another study. This study demonstrated the gustatory performance by using the roll-type Meissner corpuscle. The gustatory iontronic mechanism was analyzed using electrochemical impedance spectroscopy with an inductance-capacitance-resistance meter to determine the equivalent electric circuit and current-voltage characteristics with a potentiostat, in relation to the hydrogen concentration (pH) and the oxidation-reduction potential. In addition, thermo-sensitivity and tactile responses to shearing and contact were evaluated, since gustation on the tongue operates under thermal and concave-convex body conditions. Based on the established properties, the roll-type Meissner corpuscle sensor enables the iontronic behavior to provide versatile multimodal sensitivity among the five senses. The different condition of the application of the electric field in the production of two-types of A and B Meissner corpuscle sensors induces distinctive features, which include tactility for the dynamic motions (for type A) or gustation (for type B). Full article
Show Figures

Figure 1

20 pages, 1110 KB  
Article
Management of Zero-Sequence Parameters for Earth Faults on the Power Receiver’s Side in IT-Type Networks
by Gennadiy Pivnyak, Yurii Stepanenko, Kinga Stecuła, Maryna Kyrychenko, Oleksandra Lysenko and Roman Dychkovskyi
Energies 2025, 18(24), 6407; https://doi.org/10.3390/en18246407 - 8 Dec 2025
Viewed by 401
Abstract
This study examines the behavior and control of zero-sequence parameters in IT-type electrical networks under conditions of capacitive insulation asymmetry and complex asymmetric faults on the power receiver side. Existing methods of zero-sequence analysis typically address either symmetrical network conditions or single-phase earth [...] Read more.
This study examines the behavior and control of zero-sequence parameters in IT-type electrical networks under conditions of capacitive insulation asymmetry and complex asymmetric faults on the power receiver side. Existing methods of zero-sequence analysis typically address either symmetrical network conditions or single-phase earth faults in isolation, and they often neglect the combined effects of conductor breakage, transient fault resistance, and capacitive unbalance. To overcome these limitations, this work develops an analytical model based on the general theory of electrical engineering and symmetrical components, enabling a unified description of zero-sequence voltages and currents that incorporates both insulation asymmetry and compound fault scenarios. The model establishes closed-form relationships linking zero-sequence quantities to network parameters, power receiver characteristics, and transient resistances at the fault point. The results demonstrate several previously unreported effects, including a 180° vector shift and nearly 50% reduction in zero-sequence voltage and current magnitudes during simultaneous conductor breakage and earth faults compared with conventional single-phase faults—phenomena that critically influence the correct setting of protection devices. The study further shows that capacitive insulation asymmetry alone may generate zero-sequence voltages sufficient to trigger earth-fault protection regardless of the neutral grounding mode. These findings reveal increased risks of fault escalation, misoperation of existing protection systems, and prolonged unsafe touch voltages. Overall, the derived dependencies provide a new analytical basis for improving the design and coordination of protection systems in IT-type networks. Full article
Show Figures

Figure 1

20 pages, 9724 KB  
Article
Conducted Common-Mode Electromagnetic Interference Analysis of Gate Drivers for High-Voltage SiC Devices
by Kai Xiao, Haibo Tang, Zhihong Cai, Yansheng Zou and Jianyu Pan
Energies 2025, 18(23), 6083; https://doi.org/10.3390/en18236083 - 21 Nov 2025
Viewed by 501
Abstract
Power conversion equipment based on high-voltage SiC devices offers significant advantages in efficiency and power density. However, during high-voltage, high-power switching operations, severe electromagnetic interference (EMI) can easily occur. It could cause the false triggering of devices and result in converter failure in [...] Read more.
Power conversion equipment based on high-voltage SiC devices offers significant advantages in efficiency and power density. However, during high-voltage, high-power switching operations, severe electromagnetic interference (EMI) can easily occur. It could cause the false triggering of devices and result in converter failure in severe conditions. This paper firstly establishes a mathematical model and conducts simulation analysis of the conducted common-mode interference path in high-voltage SiC device gate driver circuits. Based on the driver circuit architecture, a modeling method for the common-mode interference conduction network in half-bridge submodules is proposed, clarifying the key factors contributing to high common-mode currents. A low common-mode current design methodology for high-voltage SiC submodules is presented, including driver loop structure optimization, capacitor design, and submodule integration. A highly integrated 3.3 kV SiC-based submodule prototype has been successfully developed, serving as a building block for constructing multilevel modular converters (MMCs). Simulation and experimental results indicate that the amplitude of the common-mode current is primarily influenced by the coupling capacitance of the auxiliary power supply, exhibiting a proportional relationship. The developed SiC submodule achieves high-speed switching at 50 kV/μs under a 2 kV DC bus voltage, with excellent thermal stability and low common-mode current characteristics, validating the effectiveness of the proposed model and design approach. Full article
Show Figures

Figure 1

15 pages, 2964 KB  
Article
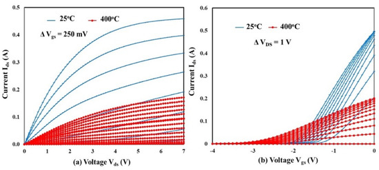
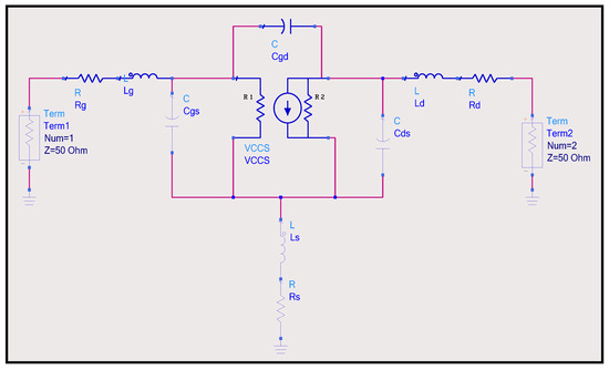
Evaluation of a Silicon Carbide Static Induction Transistor for High Frequency/High Temperature Sensor Interface Circuits: Measurements and Modeling
by Jonathon R. Grgat, Maximilian C. Scardelletti and Christian A. Zorman
Sensors 2025, 25(22), 7051; https://doi.org/10.3390/s25227051 - 18 Nov 2025
Viewed by 439
Abstract
In this paper, we report on the characterization of a silicon carbide static induction transistor (SiC SIT) for potential use in sensor interface circuits that operate at frequencies up to 100 MHz and temperatures up to 400 °C. Measurements were performed to generate [...] Read more.
In this paper, we report on the characterization of a silicon carbide static induction transistor (SiC SIT) for potential use in sensor interface circuits that operate at frequencies up to 100 MHz and temperatures up to 400 °C. Measurements were performed to generate current–voltage curves, capacitive transistor characteristics, and high-frequency scattering parameters at temperatures between 25 and 400 °C. The measured data were used to extrapolate the transconductance, gm, as a function of temperature and to develop a small signal model. Circuit simulation tools were used to generate scattering parameters, which were compared to the measured values. At 400 °C, the maximum difference between the measured and simulated scattering parameters for frequencies from 20 to 100 MHz were all less than 0.1 dB, indicating strong agreement between the model and measurement results. The average transition frequency, ft, calculated from measured parameters was 197.8 MHz, which compares favorably to the simulated value from the model (200 MHz). This is also the first paper to report the characterization of a SiC SIT at temperatures above 100 °C. The high-temperature model is the first of its kind for a silicon carbide static induction transistor and the findings reported herein provide a platform to stimulate further development for sensor interface circuits that require transistors that operate at both high frequency and high temperature. Full article
(This article belongs to the Special Issue Electronics and Sensors for Structure Health Monitoring)
Show Figures

Figure 1

Back to TopTop