Interference Characteristics of a Primary–Secondary Integrated Distribution Switch Under Lightning Strike Conditions Based on a Field-Circuit Hybrid Full-Wave Model
Abstract
1. Introduction
2. Materials and Methods
3. Simulation of Lightning Disturbances in Switches
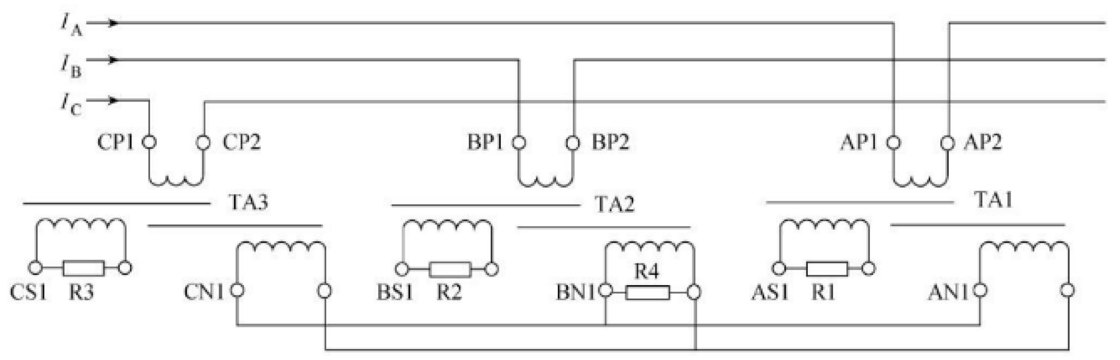
3.1. Structure of the Primary–Secondary Integrated Distribution Switch
3.2. Field-Circuit Hybrid Modeling of the Switch
3.2.1. Three-Dimensional Full-Wave Electromagnetic Model
3.2.2. Model Construction and Simulation of the Electromagnetic Disturbance Generation Process
- (1)
- Varying Line Connection Modes
- (2)
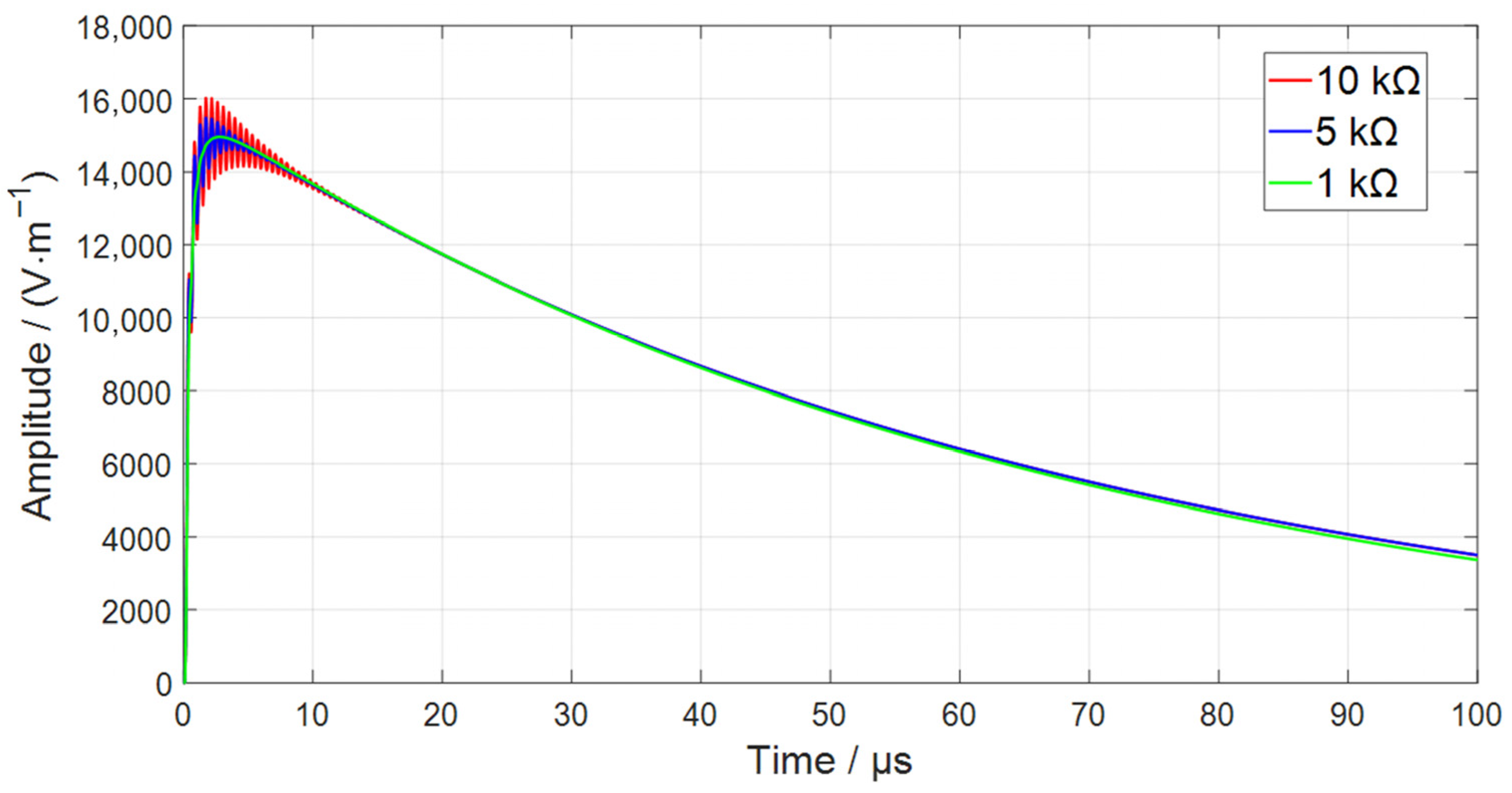
- Varying the load connected to the output terminal
- (3)
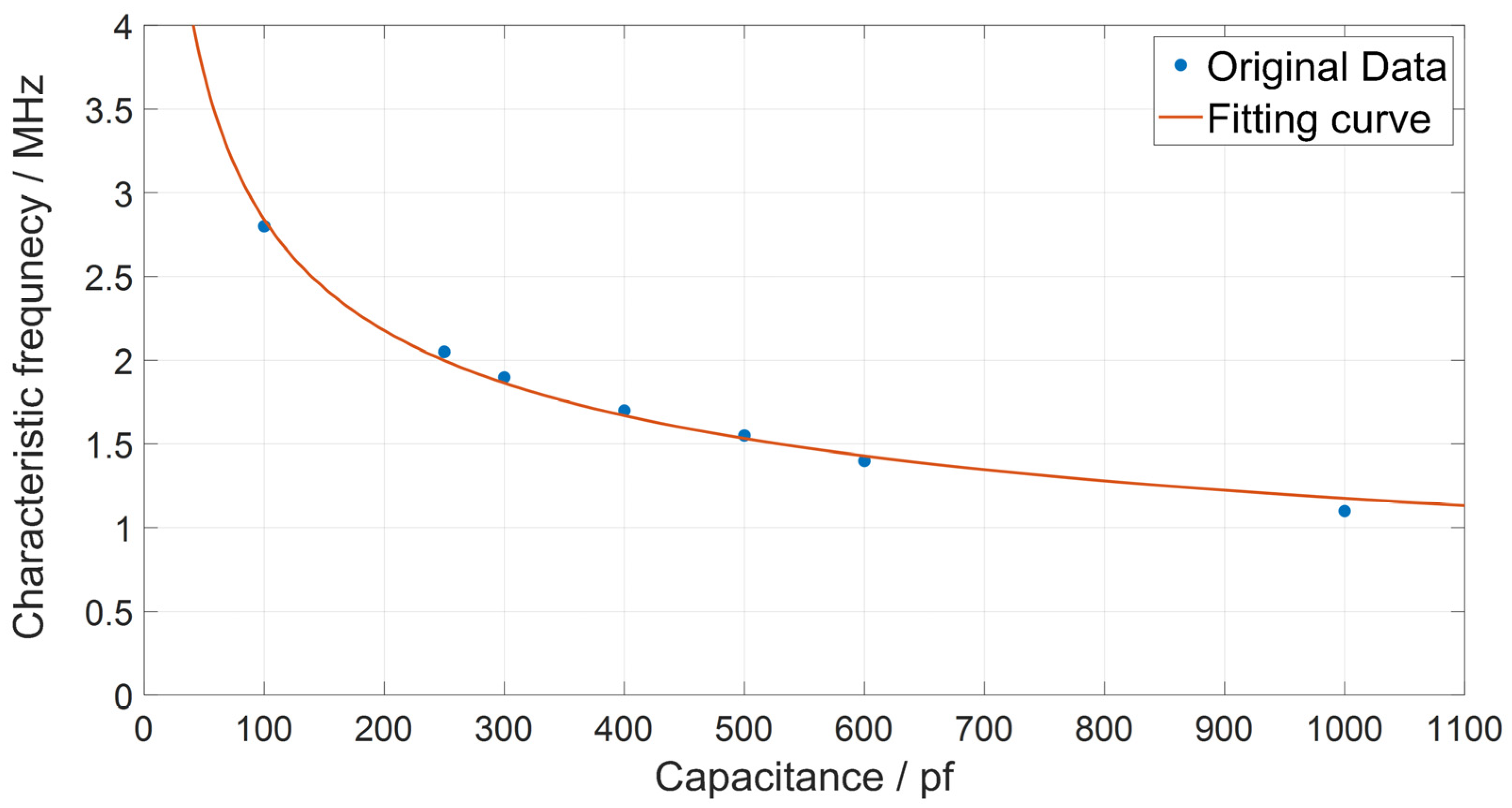
- Considering voltage transformer capacitance
4. Experimental Validation
4.1. Experimental Platform Setup
4.2. Validation of Experimental Results
5. Conclusions
- A field-circuit hybrid simulation model of the primary–secondary integrated distribution switch under lightning impulse was established. A 3D electromagnetic full-wave model of the switch was constructed to simulate the complex electromagnetic processes and their influence on the spatial radiated field. In addition, a distributed parameter circuit model was built for the connecting lines to investigate the wave processes of lightning impulses along the transmission lines. These two models were coupled via a network parameter matrix to form the field-circuit hybrid model, enabling a comprehensive consideration of the impacts of transmission lines and switch structural components on electromagnetic disturbance characteristics.
- The lightning disturbance signal consists of a lightning traveling wave component superimposed with a damped oscillatory component. The high-frequency oscillatory component is caused by the reflections of traveling wave along the overhead lines. Its characteristic frequency is determined by the length of the transmission lines connected to the switch and is approximately inversely proportional to the transmission line length. Additionally, the amplitude of the high-frequency oscillatory component is related to the load connected to the output terminal; specifically, with a constant transmission line length, a larger load corresponds to a higher amplitude of the high-frequency oscillatory component.
- Both the physical structure and internal components of the integrated distribution switch affect the electromagnetic disturbance frequencies. Among these factors, the CVT voltage-dividing capacitance leads to a decrease in the characteristic frequency under lightning strike conditions. Specifically, a larger voltage dividing capacitance results in a lower characteristic frequency of the lightning electromagnetic disturbance.
- A lightning impulse experimental platform for the distribution switch with a line length of 20 m was constructed. A 75 kV standard lightning impulse voltage waveform was injected into Phase B of the switch. The amplitude of the radiated electric field measured at a distance of 500 mm from the voltage transformer was 14.12 kV/m, with a deviation of less than 5% between the simulation and experimental results. The characteristic frequency was approximately 1.11 MHz, with a deviation of less than 20%. The comparison between the actual lightning impulse experimental results and the simulation results validates the effectiveness of the proposed modeling method.
Author Contributions
Funding
Data Availability Statement
Conflicts of Interest
Abbreviations
| EMC | electromagnetic compatibility |
| 3D | Three-dimensional |
| ATP-EMTP | Alternative Transients Program–Electromagnetic Transients Program |
| CT | current transformers |
| CVT | Capacitor Voltage Transformer |
| PT | potential transformer |
References
- Chen, J.; Zhao, C.; Gu, S.; Xiang, N.; Wang, Y.; Lei, M. Current status and development trends of lightning monitoring and protection technology in China’s power grid. High Volt. Eng. 2016, 42, 3361–3375. [Google Scholar]
- Yokoyama, S. Countermeasures Against Lightning Damage to Distribution Lines; Wu, G., Translator; China Electric Power Press: Beijing, China, 2008; pp. 14–24. [Google Scholar]
- Zhao, Y.; Wang, J.; Cai, L.; Li, Q.; Zhou, M.; Su, R.; Xu, Z.; Fan, Y. Induced voltage at two poles of 10 kV parallel distribution line caused by direct lightning strike on the phase wire of adjacent line. Electr. Power Syst. Res. 2022, 211, 108215. [Google Scholar] [CrossRef]
- Li, J.; Zheng, Y.; Gu, S.; Xu, L. Application of electronic instrument transformers in digital substations. Autom. Electr. Power Syst. 2007, 31, 94–98. [Google Scholar]
- Yan, Y.; Pan, D.; Zhang, X.; Zhu, M. Study on the electromagnetic compatibility performance of a reflective all-fiber current transformer. High Volt. Appar. 2016, 52, 148–153. [Google Scholar]
- Niu, B.; Liu, J.; Shen, W.; Cheng, L.; Zhang, Z.; Li, W.; Zhang, G. Electromagnetic radiation interference testing and simulation during capacitive switching of pole-mounted switches in distribution networks. High Volt. Appar. 2020, 56, 11–16. [Google Scholar]
- Hu, B.; Feng, X.; Tang, P.; Xiong, J. Measurement accuracy of electronic voltage transformers under surge interference. Electr. Meas. Instrum. 2014, 51, 18–23. [Google Scholar]
- Zhang, K.; Feng, G.; Xu, M.; Ge, G. Key factor analysis of primary–secondary integration of distribution switches based on the AHP–fuzzy comprehensive evaluation method. Dianqi Gongcheng Xuebao J. Electr. Eng. 2022, 17, 187–193. [Google Scholar]
- Tong, Y.; Zhang, Q.; Ye, G.; Guo, K.; Liu, B.; Hu, B. Electromagnetic compatibility performance analysis of electronic instrument transformers. High Volt. Eng. 2013, 39, 2829–2835. [Google Scholar]
- Wang, H.; Huang, D.; Chen, X.; Shuang, M.; Li, H.; Qiu, Y. Research progress on operational electromagnetic disturbance characteristics and protection of primary–secondary integrated switchgear. High Volt. Eng. 2022, 48, 269–280. [Google Scholar]
- Jiang, Z. Transient Electromagnetic Disturbance Characteristics and Immunity Requirements of Pole-Mounted Switches with Primary–Secondary Integration. Master’s Thesis, North China Electric Power University, Beijing, China, 2024. [Google Scholar]
- Zhou, F.; Wu, Y.; Gu, L.; Wu, Y.; Bai, Z.; Du, R.; Jiao, C. Transient voltage induced into a loop during 75 kV lightning impulse test of a 12 kV primary and secondary integrated switch. In Proceedings of the 7th International Symposium on Advances in Electrical, Electronics, and Computer Engineering (ISAEECE) 2022, Xishuangbanna, China, 18–20 March 2022. [Google Scholar]
- Zhang, Z.; Lu, W.; Li, Z.; Duan, J. Lightning-induced magnetic field analysis of primary–secondary integrated distribution switches based on the time-domain finite integration technique (FIT). High Volt. Appar. 2021, 57, 72–79. [Google Scholar]
- Cheng, X.; Zhu, J.; Zhao, H.; Yuan, X.; He, X.; Xu, M. Study on electromagnetic interference of primary–secondary integrated switchgear under lightning impulse. J. Zhengzhou Univ. (Eng. Sci.) 2020, 41, 74–80. [Google Scholar]
- Zhou, F.; Wu, Y.; Gu, L.; Qin, D.; Jiao, C.; Du, Z.; Deng, Z.; Jiang, Z.; Huang, J. Test and Analysis on Electromagnetic Disturbance of Digital Unit of Primary–Secondary Integrated 10 kV Circuit Breaker. IEEE Access 2023, 11, 140395–140405. [Google Scholar] [CrossRef]
- Ding, T.; Gao, J.; Shuai, Z.; Nie, J.; Jiang, T. Analysis of Lightning Overvoltage on the Transmission Line Near a Substation under Multiple Lightning Strikes. In Proceedings of the 2025 IEEE Industry Applications Society Annual Meeting (IAS), Taipei, China, 15–20 June 2025. [Google Scholar]
- Duan, P.; Zhang, L.; Huang, X.; Sun, J.; Qi, Y.; Yang, Q. Evaluation of lightning-induced overvoltage on a 10 kV distribution line based on electromagnetic return-stroke model using finite-difference time-domain. High Volt. 2024, 9, 356–366. [Google Scholar] [CrossRef]
- Yang, Z. Electromagnetic Compatibility Study on the Interference of Fast Transient Overvoltages to Secondary Equipment. Master’s Thesis, Shenyang University of Technology, Shenyang, China, 2019. [Google Scholar]
- Zhang, Q. Electromagnetic Transient Processes of Distribution Switchgear and Their Impact on Electronic Voltage Transformers (EVTs). Master’s Thesis, Huazhong University of Science and Technology, Wuhan, China, 2020. [Google Scholar]
- Darajit, H.; Shuyu, C.; Naayagi, R. Design of EMI filter for switched mode power supply. In Proceedings of the 2020 3rd International Conference on Energy, Power and Environment: Towards Clean Energy Technologies, Shillong, India, 5–7 March 2021. [Google Scholar]
- Yasid, N.; Azis, N.; Yousof, M.; Talib, M.; Murthy, A. Axial and radial force distributions computation in disc-type winding under switching surge. In Proceedings of the IEEE International Conference in Power Engineering Application (ICPEA), Shah Alam, Malaysia, 7–8 March 2022. [Google Scholar]
- Peng, X.; Fan, Y.; Zhou, Y.; Wang, R.; Li, J.; Li, Z.; Chen, Y. Study on the Effect of Lightning Wave and Its Characteristic Parameters on the Level of Lightning Resistance of Transmission Lines. In Proceedings of the 2024 4th International Conference on Intelligent Power and Systems (ICIPS), Yichang, China, 6–8 December 2024. [Google Scholar]




















| Part or Material Name | Electrical Conductivity/(S·m−1) | Relative Permittivity | Relative Permeability |
|---|---|---|---|
| Input/output terminals | 5.8 × 107 | 1.0 | 200 |
| Contact Plate | 1.41 × 107 | 1.0 | 1 |
| Shielding Cover | 3.70 × 107 | 1.8 | 500 |
| Outer Casing | 7.69 × 106 | 1.0 | 500 |
| Silicon Steel | 1.50 × 106 | 15 | 300 |
| Carbon Steel | 6 × 106 | 15 | 150 |
| Epoxy Resin | / | 4 | 1 |
| Ceramics | / | 100 | 1 |
Disclaimer/Publisher’s Note: The statements, opinions and data contained in all publications are solely those of the individual author(s) and contributor(s) and not of MDPI and/or the editor(s). MDPI and/or the editor(s) disclaim responsibility for any injury to people or property resulting from any ideas, methods, instructions or products referred to in the content. |
© 2026 by the authors. Licensee MDPI, Basel, Switzerland. This article is an open access article distributed under the terms and conditions of the Creative Commons Attribution (CC BY) license.
Share and Cite
Zheng, G.; Guan, S.; Tian, Y.; Shi, C.; Yin, H.; Jiang, C.; Yuan, M.; Fu, Y.; Chen, Y.; Lai, S.; et al. Interference Characteristics of a Primary–Secondary Integrated Distribution Switch Under Lightning Strike Conditions Based on a Field-Circuit Hybrid Full-Wave Model. Energies 2026, 19, 623. https://doi.org/10.3390/en19030623
Zheng G, Guan S, Tian Y, Shi C, Yin H, Jiang C, Yuan M, Fu Y, Chen Y, Lai S, et al. Interference Characteristics of a Primary–Secondary Integrated Distribution Switch Under Lightning Strike Conditions Based on a Field-Circuit Hybrid Full-Wave Model. Energies. 2026; 19(3):623. https://doi.org/10.3390/en19030623
Chicago/Turabian StyleZheng, Ge, Shilei Guan, Yilin Tian, Changkai Shi, Hui Yin, Chengbo Jiang, Meng Yuan, Yijun Fu, Yiheng Chen, Shen Lai, and et al. 2026. "Interference Characteristics of a Primary–Secondary Integrated Distribution Switch Under Lightning Strike Conditions Based on a Field-Circuit Hybrid Full-Wave Model" Energies 19, no. 3: 623. https://doi.org/10.3390/en19030623
APA StyleZheng, G., Guan, S., Tian, Y., Shi, C., Yin, H., Jiang, C., Yuan, M., Fu, Y., Chen, Y., Lai, S., & Wang, S. (2026). Interference Characteristics of a Primary–Secondary Integrated Distribution Switch Under Lightning Strike Conditions Based on a Field-Circuit Hybrid Full-Wave Model. Energies, 19(3), 623. https://doi.org/10.3390/en19030623

