Next Article in Journal
Interference Characteristics of a Primary–Secondary Integrated Distribution Switch Under Lightning Strike Conditions Based on a Field-Circuit Hybrid Full-Wave Model
Previous Article in Journal
Review of Data-Driven Personal Thermal Comfort Modeling and Its Integration into Building Environment Control
 
 
Font Type:
Arial Georgia Verdana
Font Size:
Aa Aa Aa
Line Spacing:
Column Width:
Background:
Article

Modeling the Characteristics of an Alkaline Electrolyzer When Powered by a Rectangular Pulse Train

by
Krzysztof Górecki
1,*,
Michał Lewandowski
2 and
Przemysław Ptak
1
1
Department of Power Electronics, Gdynia Maritime University, Morska 81-87, 81-225 Gdynia, Poland
2
Faculty of Electrical Engineering, Gdynia Maritime University, Morska 81-87, 81-225 Gdynia, Poland
*
Author to whom correspondence should be addressed.
Energies 2026, 19(3), 622; https://doi.org/10.3390/en19030622
Submission received: 31 December 2025 / Revised: 15 January 2026 / Accepted: 21 January 2026 / Published: 25 January 2026
(This article belongs to the Section A5: Hydrogen Energy)

Abstract

This paper presents the results of modeling the DC and dynamic characteristics of an alkaline electrolyzer. A model of such an electrolyzer is proposed as a subcircuit for the SPICE software. This model describes DC and dynamic current–voltage characteristics of the electrolyzer, taking into account the effect of solution concentration on the electrolyzer internal resistance and electrolyte capacitance, as well as the resistance and inductance of the leads. Using this model, one can calculate the voltage and current waveforms across the electrolyzer, as well as the gas flow rate produced by the electrolyzer. The correctness of the developed model was experimentally verified by powering the electrolyzer using a DC source and by powering the device using a voltage source, generating a rectangular pulse train with an adjustable frequency and duty cycle. The measurement system is described, and the obtained calculation and measurement results are presented and discussed. It was shown that the obtained calculation results differed minimally from the measurement results across a wide range of frequencies (from 0 to 50 kHz), duty cycles (from 0.3 to 0.7) of the supply voltage, and concentrations of the electrolyte (from 0.1 to 10%). The mean square error, normalized to peak measured values of each considered quantity, does not exceed 4%.

1. Introduction

Hydrogen is increasingly used as an energy source in transportation [1,2]. It can be produced using various methods, such as water electrolysis, gasification, water thermolysis, and water photolysis [3]. Currently, one of the most commonly used methods for hydrogen production is water electrolysis [4]. This process has been known for a long time, and its description is included in numerous works, e.g., refs. [5,6]. Much attention has also been devoted to developing effective mathematical models of this process. These are described, among others, in [7,8,9,10,11].
Bagarello et al. [12] provided an overview of the technologies currently being investigated or developed for the storage of hydrogen within aircraft, which would enable the use of hydrogen as a sustainable fuel for aviation. Hydrogen is becoming increasingly popular as a vehicle fuel. Liu et al. [13] proposed a method for controlling the operation of a fuel cell in a hybrid car that ensures the safety and comfort of driving such a vehicle.
Vedrtnam et al. [14] focused on a critical evaluation and comparison of various electrolysis technologies. The cited work analyzed the operational characteristics of such technologies and the latest achievements in hydrogen production efficiency. Furthermore, in addition to presenting experimental research achievements, the electrical and thermal properties of PEM and alkaline electrolyzers were analyzed using the finite element method (FEM).
To perform electrolysis using alkaline electrolyzers, a water solution of potassium hydroxide (KOH) is used. This method of mass-scale hydrogen production is used all over the world. It enables production of green hydrogen when the green energy obtained from photovoltaic farms, wind turbines, or biomass is used to power supply such electrolyzers [15,16,17].
Analyzing the latest scientific articles on electrolyzers [18,19], one can notice that often the attention is not focused on the electrolyzer itself, but on entire renewable energy systems, in which the electrolyzer is only one component. These studies demonstrate that electrolyzers are an excellent extension of renewable energy systems, making these energy sources more stable and energy-efficient by using hydrogen to store excess energy. Hydrogen-based technologies, such as power-to-gas [18], involve storing excess energy produced by a renewable energy system in the form of hydrogen produced through electrolysis. These technologies are considered among the most important means of achieving the European Green Deal goals, which are intended to achieve zero greenhouse gas emissions in the near future [18].
Simulation models are commonly used in the design and analysis of technical systems and circuits [20]. Such models allow for the analysis of various operating scenarios of such systems without exposing them to damage, even under extreme conditions [21,22]. Various electrolyzer models have been described in the literature, and some of them are characterized below.
In [23,24,25], models of alkaline electrolyzers were proposed that take into account the effects of temperature and pressure on system productivity. Liu et al. [23] focused on assessing the operational efficiency of a 50 kW electrolyzer under various operating conditions. The model described in the cited paper is dedicated to MATLAB and focuses particularly on the polarization curve and the HTO parameter, which determines the quantitative mass ratio of hydrogen to oxygen in the water decomposition process.
Liu et al. [23] concluded that the conducted experiments and the proposed model can be used to predict the efficiency of industrial hydrogen installations. However, the tests were performed on a single cell, which is part of a 5 MW industrial electrolyzer. These tests were conducted using a 30% KOH aqueous solution. Luo et al. [24] presented an electrolyzer model based on thermodynamic and electrochemical principles. This model describes the changes in voltage across the electrolyzer cell during electrolysis. The results presented in the cited work confirm the correctness of this model. Niroula et al. [25] examined the influence of selected factors on electrolyzer efficiency. The factors that have the greatest impact on this efficiency were identified. A mathematical model of the electrolyzer for MATLAB/Simulink was presented.
Huang et al. [26] presented a concept for connecting the power grid to an alkaline electrolyzer farm powered by green energy from wind farms. This system connection allows for enhanced frequency stability based on optimal control of the electrolyzers. The cited paper investigates how to analyze and experimentally verify the dynamic grid frequency regulation using an alkaline electrolyzer. Results of frequency analysis, transient analysis, and DC analysis of the system are presented.
Guan et al. [27] described a novel optimization strategy for an alkaline electrolyzer cooperating with a wind turbine on a minute time scale. An effective optimization strategy was proposed, considering the dynamics of the alkaline electrolyzer.
Dozein et al. [28] described a general, unified dynamic model of an alkaline electrolyzer, power electronics interface, and related control loops. The presented modeling approach was applied to both alkaline and proton exchange membrane technologies. The performance of alkaline and PEM systems was assessed through dynamic simulation of an interconnection, and comparison and interoperability with battery energy storage systems were also discussed.
Pei et al. [29] addressed the problem of modeling DC microgrids equipped with hybrid electricity storage systems based on batteries and alkaline electrolyzers. The developed models described both the static and dynamic properties of the entire DC microgrid, including the alkaline electrolyzer.
Li et al. [30] proposed an electrochemical model of an electrolyzer for Simulink. It was used to design a power-to-gas (P2G) and gas-to-power system based on a hydrogen energy storage system. The energy transfer mechanisms and modeling methods for the considered systems were investigated in detail. The considered model includes the following system components: an alkaline electrolyzer, a high-pressure hydrogen tank with a compressor, and a fuel cell stack with a proton exchange membrane. The correctness of the models was verified in a MicroGrid system equipped with a wind energy generation system, a photovoltaic energy generation system, and an auxiliary battery energy storage system.
Xia et al. [31] proposed a method for energy management in a hydrogen production system cooperating with the power grid. An electro-thermal model of an alkaline electrolyzer was developed, which describes the relationship between the electrolyzer temperature and its maximum power.
Xie et al. [32] described a model of a system for hydrogen production from wind and solar energy and a simulation of its operational characteristics. The components of the hydrogen production system were characterized and modeled. The performance characteristics of the hydrogen production system were simulated and analyzed under three operating conditions, hydrogen system startup, wind power fluctuations, and partial electrolyzer failure, revealing the hydrogen production system’s ability to respond to fluctuations in wind and solar power.
Iribarren et al. [9] presented a dynamic model of alkaline electrolyzers operating under pressure. The model was developed using a multimodal approach, integrating electrochemical, thermodynamic, heat transfer, and gas evolution processes to faithfully reproduce the full dynamic behavior of these systems. The model was implemented in MATLAB/Simulink and validated against experimental data from a commercial alkaline electrolyzer with a capacity of 1 Nm3/h. Validation was performed in real-world scenarios where the electrolyzer operates with power profiles typical of renewable, wind, and photovoltaic sources.
In our previous papers [33,34], models of alkaline electrolyzers dedicated to the SPICE program were presented. However, these models were designed for use at low KOH concentrations and were not verified when supplied with a train of rectangular pulses with a high maximum value and a frequency varied over a wide range.
Other studies [21,34,35] have described electrical models of an alkaline electrolyzer dedicated to the PSPICE software (version 8 or higher), taking into account the influence of the concentration of KOH solution and the frequency of the supply current. The DC current–voltage characteristics and the impedance module of the electrolyzer were modeled across a wide range of changes in the value of the supply current, the frequency, and the concentration of the KOH solution. These papers present the form of the developed model and the values of the model parameters. However, the experimental verification of these models does not cover dynamic properties of the electrolyzer.
The aim of this work is to formulate a model of an alkaline electrolyzer that will be used to optimize hydrogen production without the need for repeated measurements. A dedicated model for SPICE was developed. This model takes into account the effect of electrolyte concentration on the electrolyzer static and dynamic electrical characteristics and the influence of concentration, power supply current, and frequency on the flow rate of the produced hydrogen. For a laboratory version of this electrolyzer, the correctness of the formulated model was verified over a wide range of electrolyte concentration, supply current, and square-wave frequency variations. The obtained calculation and measurement results were compared, and the practical utility of the formulated model was demonstrated.
Section 2 presents the developed model. Section 3 describes the tested electrolyzer and the measurement system used. The measurement and calculation results are presented in Section 4.

2. Model Form

The proposed electrolyzer model is dedicated to the SPICE program and has a circuit form shown in Figure 1. The presented model is an improved version of the model described in [33]. The described version of the electrolyzer model takes into account the influence of electrolyte concentration on the components of this model, and, in particular, on the course of its static characteristics.
The model described in [33] describes the static and dynamic properties of an alkaline electrolyzer, ignoring the effect of electrolyte concentration on these characteristics. The modeling accuracy was verified only for a single value of this concentration, equal to 0.1%. The version of the electrolyzer model presented in this paper takes into account the effect of solution concentration on the characteristics of this device. Elements have been added to enable the determination of the hydrogen production flow rate, taking into account the electrolyzer power supply conditions and electrolyte concentration. New model components, or those whose descriptions have been modified in comparison to the model described in [33], are marked in red in Figure 1.
The letters A and B indicate the electrolyzer electrical terminals. Resistors Re1, Re2, and Rdd and the controlled current source I1 model the electrolyzer DC characteristics. The current source I1 is described by the following formula:
I 1 = V 1 V 1 2 + a 1 I S exp V 1 + b 1 1 exp f / b 2 N V t + I S R exp V 1 N R V t
where V1 is the voltage between the terminals of the source I1, IS is the model parameter corresponding to the saturation current for the low-current component of the electrolyzer current, ISR is the model parameter corresponding to the saturation current for the high-current component of the electrolyzer current, N is the model parameter corresponding to the slope of the current–voltage I(V) characteristic of the electrolyzer in the low-current range, NR is the model parameter corresponding to the slope of the I(V) characteristic of the electrolyzer in the high-current range, a1 is the model parameter ensuring the continuity of the function I1(V1) at V1 = 0, Vt is the thermal potential equal to 25.8 mV at a temperature of 25 °C, f is the frequency of the voltage supplying the electrolyzer, and b1 and b2 are model parameters describing the effect of frequency on the I(V) characteristic of the electrolyzer. The unit of parameters IS and ISR is amps. Parameters N and NR do not have any units. The unit of parameters Vt and b1 is volt, whereas the unit of parameter b2 is hertz.
Resistors Rdd, Re1, and Re2 determine the slope of the electrolyzer current–voltage characteristic. Inductor L1, connected in series with resistor Rdd, describes the influence of the parasitic inductance of the conductors. Inductor L2 models the inductance of the electrolyzer electrodes. Capacitor C2 is connected in parallel to elements L2 and Re1, modeling the electrolyzer capacitance in the high-frequency range. However, this element is not of significant importance for the research undertaken during operation. Capacitor CD, connected in parallel to current source I1, describes the capacitance of the electrodes and influences the dynamic properties in the low-frequency range.
The controlled current source Ek models the dependence of the flow rate k (given in L/min.) of the produced hydrogen on the electrolyte concentration cp (given in %) and the electrolyzer current IE (given in amps). As it follows from Faraday’s first law, the mass of the substance undergoing reaction at the electrode is directly proportional to the electric charge flowing through the electrolyte [36]. As is known, the charge is equal to the current integral over time. Therefore, the hydrogen generation rate depends on the current. Based on the empirical studies, a mathematical description of the flow rate k of the produced hydrogen on the current and electrolyte concentration was proposed. The dependence k(cp, IE) is described by the following empirical formula:
k = k 0 I E a v g 0 I E 0 exp c p c 0 I E a v g 0 + k 1 1 + k 2 M A X log f f 0 , 0
where IEavg0 denotes the average value of the current IE at the reference frequency f0, and k0, k1, k2, c0, f0, and IE0 are the model parameters. MAX is the function, the value of which is equal to the higher of its arguments. The values of parameter IE0 are given in amps. The values of parameter c0 are given in %, whereas values of parameters f0 are given in hertz. Parameters k1 and k2 do not have any units. Values of flow rate k and the parameter k0 are given in dm3/min at a temperature equal to 25 °C and atmospheric pressure equal to 1 atm.
The proposed model was formulated for an arbitrary alkaline electrolyzer; however, the parasitic parameters represented in the model by passive elements were determined in [34] for the specific alkaline electrolyzer model used in the study. The values of these elements were estimated using a method based on the idea of local estimation, described in [37]. This method involves measuring the static and dynamic characteristics of the tested element and using the coordinates of selected points located on these characteristics to determine the values of the parameters responsible for the course of these characteristics under specific operating conditions of the electrolyzer.
Values of parameters IS and ISR were obtained using coordinates of points situated on the DC current voltage characteristic of the tested electrolyzer in the range of electrolyzer current, for which the influence of resistors on this characteristic is negligible. Values of parameters N0, N1, NR0, NR1, Rdd0, Rdd1, c1, c2 and c3 were obtained by approximating DC current–voltage characteristics of the tested electrolyzer measured at 3 different values of the concentration cp. The previously obtained values of parameters IS and ISR were used in this approximation. Values of parameters k0, k1, c0, and IE0 were estimated by approximating DC characteristics k(IE) measured at two selected values of the concentration cp. In this approximation, the value of IEavg = IE.
Values of other model parameters were obtained using measured waveforms of electrolyzer voltage VE(t) and current IE(t) obtained at different values of frequency f and concentration cp. Values of parameters b1 and b2 are selected in order to obtain the possible best agreement between measured and computed minimum values of the waveform VE(t) at the steady state. Values of inductance L1 were estimated for the high frequency values in order to accurately estimate the jump in waveform VE(t) after switching off the supply voltage of the electrolyzer. Values of RC components of the proposed model were selected using measured waveforms of IE(t) and VE(t) in order to obtain the most accurate approximation of the slopes of these waveforms at high frequency values.
Table 1 summarizes the values of passive elements included in the electrolyzer model, used during the tests at f = 1 kHz and cp = 1%.
To account for the effect of electrolyte concentration c on the current–voltage characteristics of the electrolyzer, analytical relationships were proposed to describe the effect of this concentration on the values of the parameters N, NR, and Rdd. The formulation of these relationships was based on the observations from [36,38]. These studies indicated that an increase in electrolyte concentration results in a decrease in its resistance. This indicates a decreasing dependence of the parameters N, NR, and Rdd on the concentration cp. The decrease in electrolyte resistivity at low values of cp concentration results from an increase in the number of ions per unit volume of the solution. After exceeding a certain concentration threshold, an increase in electrolyte resistivity is observed due to a decrease in ion mobility associated with an increase in interionic interactions and the degree of dissociation [36].
The following relationships were proposed to describe the effect of cp concentration on the N, NR, and Rdd parameters:
N = N 1 exp c p c 1 + N 0
N R = N R 1 exp c p c 2 + N R 0
R d d = R d d 1 exp c p c 3 + R d d 0
where N0, N1, NR0, NR1, Rdd0, Rdd1, c1, c2, and c3 are the model parameters describing the influence of electrolyte concentration cp on the parameters N and NR, and Rdd describes the DC current–voltage characteristic of the electrolyzer. Table 2 summarizes the values and units of the model parameters shown in Equations (3)–(5).
Table 3 compares selected features of the proposed electrolyzer model and other models described in the literature. From an analysis of this table, it can be concluded that all the models considered allow for the analysis of the operation of a DC-powered electrolyzer. Most of the literature models were implemented in the MATLAB environment and allow for the determination of the amount of hydrogen produced. The literature models do not take into account the effect of electrolyte concentration or frequency on electrolyzer characteristics. The new model demonstrates the greatest versatility.

3. Tested Electrolyzer and Measurement Set-Up

Experimental investigations were carried out for an alkaline electrolyzer, the structure of which is shown in Figure 2.
The considered electrolyzer has the shape of a cylinder with a diameter of 16 cm and a height of 72 cm. The device consists of two electrodes, which overlap and are separated by Teflon spacers, and the space between them is filled with the electrolyte. The alkaline electrolyzer chamber is equipped with a pressure indicator and an outlet for the generated hydrogen of the appropriate valve. A detailed description of the considered electrolyzer is given in [39].
To verify the correctness of the proposed model, it was necessary to perform measurements of the relevant characteristics. The measurements were divided into two parts: static and dynamic. During the static measurements, the electrolyzer current–voltage characteristics and hydrogen flow rate were measured at fixed electrolyte concentrations. During the dynamic measurements, the electrolyzer was supplied with a train of rectangular voltage pulses with an adjustable frequency and duty cycle. During these measurements, the steady-state time histories of the electrolyzer voltage and current, as well as the hydrogen flow rate, were recorded.
In order to measure dynamic characteristics of the tested alkaline electrolyzer, a measurement set-up was built, the block diagram of which is shown in Figure 3.
The presented measurement set-up consists of two main blocks: the electrolyzer power supply block and the measuring block. The power supply block is described in detail in [39]. The device allows for frequency adjustment from 1 Hz to 50 kHz and duty cycle adjustment from 5% to 85%. Designed specifically for this type of research, the device is based on an FPGA and includes a touchscreen control interface. The device’s key element is the power circuit, which converts DC voltage from an external power supply into a square-wave signal. This signal is generated by a switching pair of transistors controlled by the FPGA, which generates two phase-inverted and phase-shifted square-wave signals. The output of this block consists of two MOSFET transistors, T1 and T2, of the IXFN420N10T type [40], connected in a totem-pole network. Such construction of the output stage of the power supply system makes it possible to generate a rectangular pulse train wtih values of rise and fall times below 0.3 μs. The gates of these transistors are controlled by a driver to increase the current efficiency of the low-side and high-side rectangular pulse generation system. The totem-pole network is powered by a +12V DC voltage source with a current efficiency of 120 A through the power resistor Rvar. The output voltage of the power supply block accepts values equal to 12 V at high levels and zero at low levels. The measuring block consists of the RIGOL MSO5104 oscilloscope (RIGOL Technologies Co., Ltd., Suzhou New District, China), to whose inputs the PINTEK PA-677 (Pintek Electronics Co., Ltd., New Taipei City, Taiwan) active current probe and the PINTEK DP-25 (Pintek Electronics Co., Ltd., New Taipei City, Taiwan) differential voltage probe are connected. The probes used allow the recording of waveforms of the supply current and voltage of the tested alkaline electrolyzer, respectively.
In order to measure the DC current–voltage characteristics of the tested electrolyzer, the tested electrolyzer, the DC power supply and the power resistor Rvar are connected in series. The supply current is measured using an APPA 30R clamp ammeter (APPA Technology Corporation, Taipei, Taiwan). A SIGLENT SDM3055 voltmeter (Siglent Technologies, Pulau Pinang, Malaysia) was connected in parallel to the electrodes of the tested electrolyzer. A view of the developed measurement set-up is shown in Figure 4.
The current was regulated by changing the resistance of the resistor over a wide range of values. An ammeter and a voltmeter were used to measure the current flowing through the circuit and the voltage across the electrolyzer. These were identical UNI-T UT804 laboratory multimeters. These devices had an insufficient range to measure current at the upper end of the characteristic, as the multimeter measuring range in current measurement mode is limited to 10 A. Therefore, above this value, it became necessary to use a current probe with a wider measuring range.
Another device, shown in the diagram is Gas flow meter, used for measuring hydrogen flow rate. The AALBORG DPM07S (Aalborg Instruments & Controls, Inc., Orangeburg, SC, USA) device [41] was used for the measurements. This device was placed in the measuring system on the tube draining hydrogen from the electrolyzer. The readings of this device take several minutes to settle. Therefore, its readings were taken after reaching a steady state.
The range of change in the current values during performed investigations was so small that the self-heating effect was not observed. In all the performed measurements, the temperature of the electrolyzer was below 30 °C.

4. Results of Measurements and Computations

This section presents the results of measurements and calculations of the static and dynamic characteristics of the alkaline electrolyzer under consideration. The tests were performed over a wide range of electrolyte concentration, frequency, and duty cycle changes. Section 4.1 presents the test results for a DC power supply, and Section 4.2 presents the results for a frequency-adjustable rectangular pulse supply.

4.1. DC Characteristics

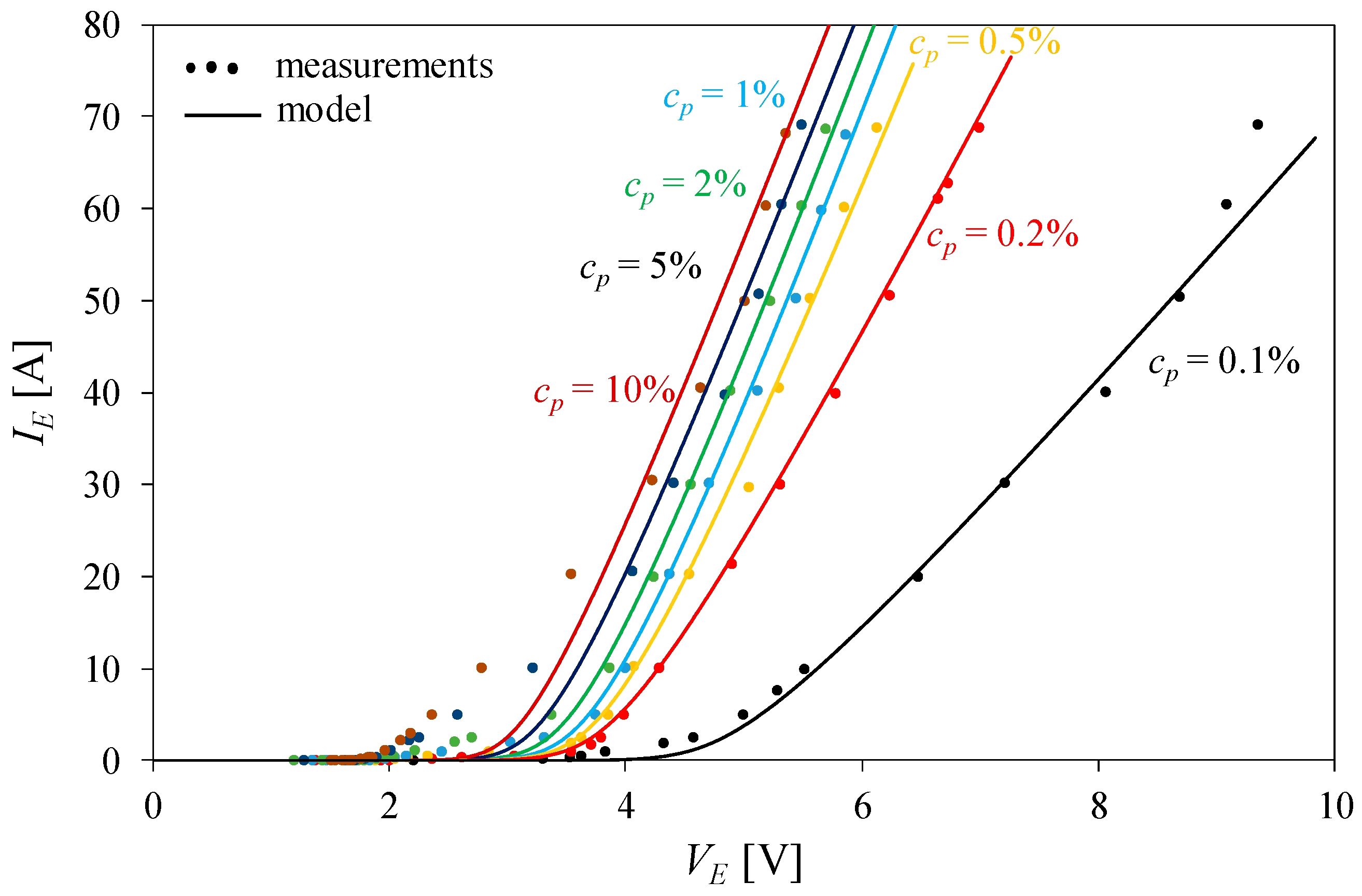
Figure 5 shows the calculated (lines) and measured (points) current–voltage characteristics of the alkaline electrolyzer at different solution concentrations.
As can be seen in Figure 5, for virtually every electrolyte concentration, the calculation results model the measured characteristics well. The greatest discrepancy can be observed at higher solution concentrations (especially at concentrations of 5% and 10%) in the low-current range. An increase in electrolyte concentration c results in a drop in the electrolyzer voltage at a fixed supply current. As the cp value increases from 0.1% to 10% at a current of IE = 80 A, the voltage decreases by as much as two-fold. The greatest effect of concentration on the IE(VE) characteristics is visible for low cp values. The mean square error (MSE) normalized to maximum measured value of the current IE does not exceed 2.5%. It is the smallest for the lowest value of cp.
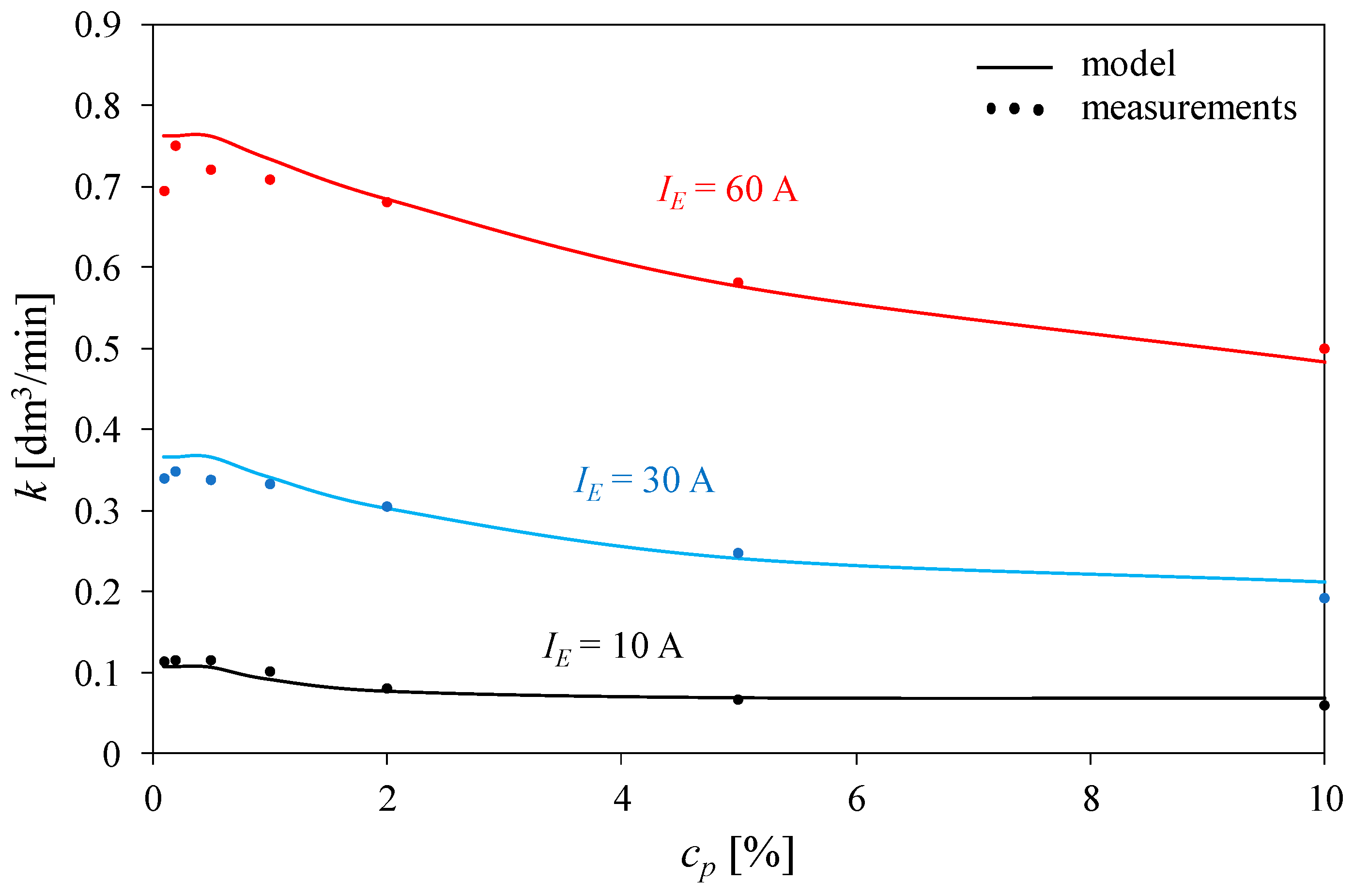
Figure 6 shows the calculated and measured dependence of the hydrogen flow rate k on the electrolyzer current at selected values of electrolyte concentration cp.
As can be seen in Figure 6, the k(IE) dependence for a fixed value of cp has the shape of a half-line. With increasing concentration, the slope of this characteristic decreases. The hydrogen flow rate decreases by almost 40% with an increase in electrolyte concentration from 0.5% to 10%. These changes are most visible for high values of the IE current. The value of MSE, normalized to a maximum measured value of k, does not exceed 3%. It is the smallest for cp = 5% and the biggest—for cp = 0.5%.
Figure 7 shows the dependence of the hydrogen flow rate on the electrolyte concentration at selected supply current values.
As can be observed, the flow rate is an increasing function of the current IE, while the k(cp) relationship has a maximum at cp in the range of 0.2 to 0.5%. The analytical description of the k(cp, IE) relationship proposed in this paper ensures good agreement between the calculated and measured results. The discrepancies between them do not exceed a few hundredths of a dm3/min. The value of MSE, normalized to maximum measured value of k, does not exceed 2.5%.

4.2. Dynamic Characteristics

This section presents the results of measurements and calculations of the electrolyzer dynamic characteristics. These characteristics were determined for various values of solution concentration cp, supply signal frequency f, and its duty cycle d. During the measurements, the electrolyzer was powered by a voltage source generating a train of rectangular pulses with an adjustable frequency and duty cycle. Measurements were performed for various frequencies, ranging from 50 Hz to 50 kHz, and three duty cycle values of 0.3, 0.5, and 0.7. For each set of power supply conditions, various electrolyte concentrations ranging from 0.1% to 10% were used. Selected results from these studies are presented in the figures included in this section.
In these figures, the measurement results are marked with dashed lines, whereas the calculation results are marked with solid lines. These analyses took into account the non-idealities of the cables connecting the power source with the electrolyzer. The power source was modeled using an ideal voltage source generating a trapezoidal waveform with levels equal to 0 and 12 V and durations of the rising and falling edges equal to 200 ns. The cable connecting the power source with the electrolyzer was modeled as an RL circuit, in which a resistor with a resistance of 200 mΩ was connected in series with an inductor with an inductance of 6 μH, in parallel.
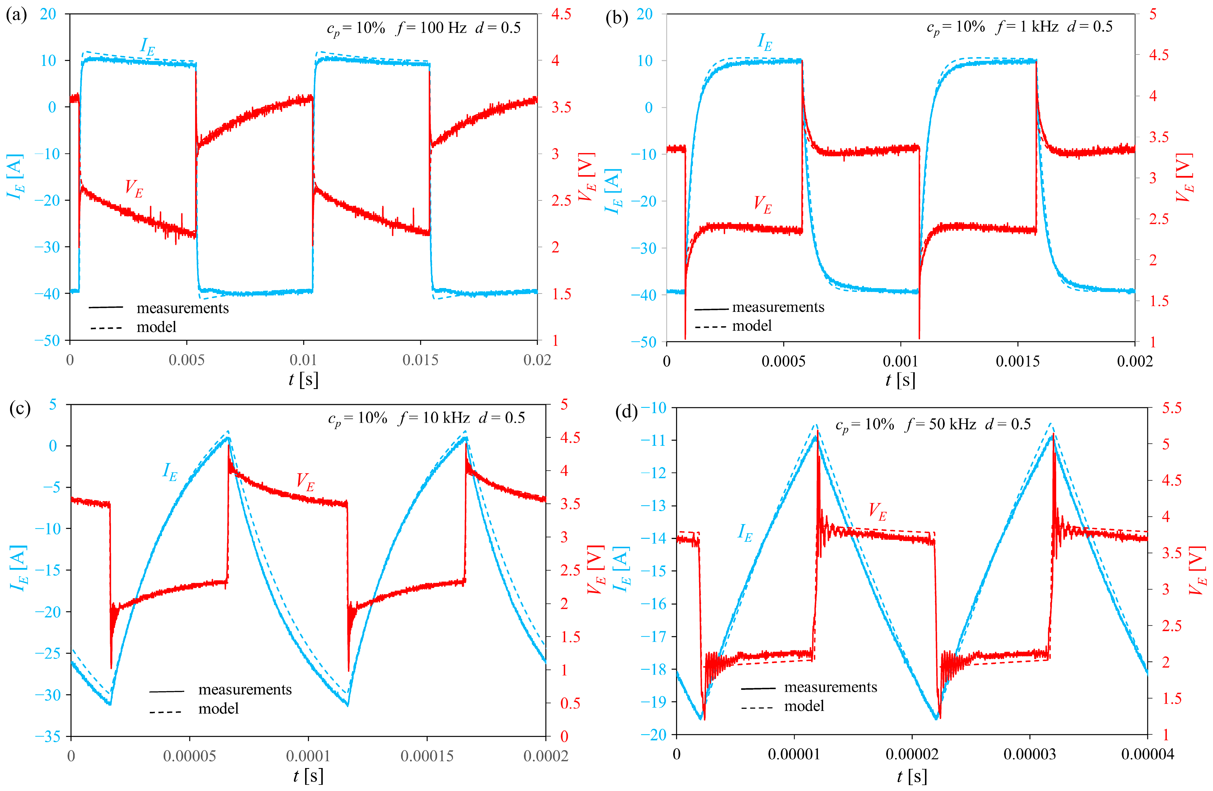
Figure 8 and Figure 9 illustrate the effect of frequency on the time histories of voltage VE and current IE. The histories presented in Figure 8 refer to an electrolyte concentration of cp = 0.1%, and those shown in Figure 9 refer to a concentration of 10%. For both cases, the duty cycle value is d = 0.5.
As can be observed, a good agreement was obtained between the calculation and measurement results. It is worth noting that at f < 50 kHz, the electrolyzer current assumes positive and negative values. This means that current flows through the electrolyte alternately in both directions. This may cause the produced hydrogen to mix with oxygen. It is also worth noting that after turning off the power supply, the voltage on the electrolyzer does not decrease to zero, but slowly decreases to a value exceeding 3 V. The minimum value of the voltage VE is an increasing function of frequency.
The shapes of the waveforms obtained at frequencies of f = 100 Hz and f = 1 kHz are similar. For the higher frequency values, a change in the shape of the presented waveforms is visible. Their courses can be approximated by glued exponential functions. At a frequency of f = 10 kHz, the delays introduced by the LC elements are so large that a significant drop in the peak-to-peak value of the electrolyzer current is visible in relation to lower frequency values. At a frequency of f = 50 kHz, the electrolyzer current values have only a negative sign. The differences between computed and measured waveforms of the voltage VE are much higher when the module of the current decreases in comparison to such differences observed in the opposite case. The modulus of the average current value increases with increasing frequency, and at the same time, the peak-to-peak value of this current decreases. It is also worth noting that in Figure 8a,b the shapes of the VE(t) and IE(t)waveforms is significantly different than in Figure 8c,d. These shapes show that for frequencies of f ≤ 1 kHz, the capacitive component of the electrolyzer impedance plays the dominant role, while for f ≥ 10 kHz, the inductive component of this impedance plays the dominant role.
Comparing the graphs in Figure 8 and Figure 9, it can be easily observed that the solution concentration did not significantly affect the shape of the observed IE current waveforms, but the VE voltage waveforms changed significantly. In particular, it is worth noting the decrease in the minimum VE voltage value with an increase in electrolyte concentration to approximately 2 V. Overshoots in the VE voltage are also visible when the sign of the IE current derivative changes. The maximum values of the electrolyzer current with a higher cp value are up to 20% higher than with a lower value of this parameter.
Figure 10 illustrates the effect of the d coefficient value on the time histories of the voltage VE and current IE. The presented test results were obtained for a frequency of f = 1 kHz and an electrolyte concentration of cp = 1%.
Figure 10 shows that changing the value of coefficient d does not affect the shape of the IE(t) and VE(t) waveforms. It can be seen that increasing the value of d results in an increase in the peak-to-peak value of the current IE and the voltage VE. It is also worth noting that increasing the value of d causes a decrease in the minimum value of the voltage VE due to the extension of the time required to discharge the internal capacitance of the electrolyzer.
Figure 11 illustrates the effect of electrolyte concentration cp on the time histories of current IE and voltage VE. The tests were carried out at f = 1 kHz and d = 0.5.
As can be seen in Figure 11, an increase in the electrolyte concentration value causes an increase in the peak-to-peak current value. An increase in the overshoot of the VE voltage during the IE current slopes is also visible. An increase in the solution concentration also causes a decrease in the minimum and maximum values of the VE voltage.
Comparing the results presented in Figure 8, Figure 9, Figure 10 and Figure 11, it can be concluded that the proposed electrolyzer model correctly describes its dynamic properties across a wide range of frequencies, duty cycles, and liquid concentrations. At the same time, it can be stated that the voltage and current waveforms are significantly influenced by the parasitic capacitances and inductances of this device. The value of MSE, normalized to the peak-to-peak value of the presented VE(t) and IE(t), does not exceed 4%. This error reaches the highest values at the highest considered frequencies and at the lowest values of the duty cycle d.
Under the influence of changes in the supply voltage and electrolyte concentration parameters, not only the time course of the current IE and voltage VE changes, but also the hydrogen production rate. Figure 12 shows the dependence of the hydrogen flow rate on frequency at selected values of cp concentration. The presented results refer to the steady state and the value of d = 0.5.
As can be seen in Figure 12, an increase in the frequency of the electrolyzer supply voltage causes an increase in the flow rate of the generated hydrogen. The obtained k(f) graphs are straight lines on a logarithmic–linear scale. The highest k values were obtained for the lowest of the presented cp concentration values. An increase in frequency from 50 Hz to 50 kHz results in an increase in the k value by approximately 10%. The observed increase in k with increasing f is related to the slight increase in the average electrolyzer current with increasing frequency. This effect is visible in the IE(t) waveforms shown in Figure 8 and Figure 9.
The highest k value was obtained at cp = 0.2%. This corresponds to the electrolyte concentration value at which a maximum is observed on the static k(cp) characteristic. Additional measurements carried out for other values of the d coefficient indicate that an increase in the d value causes an increase in the k value.

5. Conclusions

This paper presents the results of experimental and simulation studies of the influence of electrolyzer supply voltage and electrolyte concentration on the static and dynamic characteristics of an alkaline electrolyzer. A new model of such an electrolyzer is proposed and its practical applicability is experimentally demonstrated over a wide range of variations in the frequency and duty cycle of the electrolyzer supply voltage and electrolyte concentration for a selected laboratory electrolyzer. In comparison with other models of alkaline electrolyzers, the proposed model makes it possible to properly describe dynamic properties of an alkaline electrolyzer. Both the waveforms of electrolyzer voltage and current can be accurately computed across a wide range of frequencies of the power supply voltage. Additionally, the influence of this frequency and the electrolyzer current on the flow rate of the produced hydrogen can also be taken into account. The accuracy of the presented model is satisfied. The values of MSE, normalized to maximum measured values of the considered quantities, do not exceed 4% both for DC and dynamic characteristics of the tested electrolyzer.
The presented calculation and measurement results demonstrate that increasing electrolyte concentration results in a decrease in the electrolyzer voltage. This effect is particularly noticeable at low concentrations. An analytical description of the steady-state hydrogen flow rate k is also proposed, along with an analytical relationship describing the influence of the average electrolyzer current, electrolyte concentration, and supply voltage frequency on this rate. It is shown that the value of k is an increasing function of the electrolyzer current, and the slope of the k(IE) relationship depends on the electrolyte concentration cp. The highest k value, at a constant IE current, was obtained for cp in the range of 0.2% to 0.5%.
When the electrolyzer is supplied with a voltage in the form of a series of rectangular pulses, changes in the shape of the IE(t) and VE(t) waveforms are visible with changes in frequency. In the frequency range up to 1 kHz, these waveforms resemble a series of rectangular pulses, and the IE current assumes positive and negative values. In the frequency range exceeding several kilohertz, the current waveform assumes an exponential shape, which is related to the influence of the electrolyzer’s internal capacitances. These capacitances also cause the electrolyzer to maintain a voltage in the range of 2 to 3 V after the supply voltage is turned off.
It is worth noting that, from the point of view of obtaining the highest possible hydrogen flow rate, a high frequency of the power supply voltage and low electrolyte concentration are the most profitable. In such operating conditions of the electrolyzer, the needed maximum value of power supply current is the lowest. An increase in the k value in the high-frequency range requires a reduction in the parasitic inductance of the cables used to supply power to the electrolyzer.
The proposed model accurately describes the measured characteristics of the alkaline electrolyzer and can be used as its digital twin. It can help designers of hydrogen storage systems analyze various operating scenarios and optimize the system’s properties.

Author Contributions

Conceptualization, K.G. and P.P.; methodology, K.G. and P.P.; investigation, M.L. and K.G.; writing—original draft preparation, K.G.; writing—review and editing, K.G., M.L. and P.P.; visualization, K.G. and M.L.; supervision, K.G. All authors have read and agreed to the published version of the manuscript.

Funding

This research received no external funding.

Data Availability Statement

The original contributions presented in this study are included in the article. Further inquiries can be directed to the corresponding author.

Conflicts of Interest

The authors declare no conflicts of interest.

References

  1. Kurc, B.; Gross, X.; Szymlet, N.; Rymaniak, Ł.; Woźniak, K.; Pigłowska, M. Hydrogen-Powered Vehicles: A Paradigm Shift in Sustainable Transportation. Energies 2024, 17, 4768. [Google Scholar] [CrossRef]
  2. Olabi, A.G.; Wilberforce, T.; Abdelkareem, M.A. Fuel Cell Application in the Automotive Industry and Future Perspective. Energy 2021, 214, 118955. [Google Scholar] [CrossRef]
  3. Mizeraczyk, J.; Urashima, K.; Jasinski, M.; Dors, M. Hydrogen Production from Gaseous Fuels by Plasmas—A Review. Int. J. Plasma Environ. Sci. Technol. 2014, 8, 89–97. [Google Scholar]
  4. Tahmasbi, M.; Siavashi, M.; Ahmadi, R. A comprehensive review of hydrogen production and storage methods: Fundamentals, advances, and SWOT analysis. Energy Convers. Manag. X 2025, 4, 100878. [Google Scholar] [CrossRef]
  5. Kumar, S.S.; Lim, H. An overview of water electrolysis technologies for green hydrogen production. Energy Rep. 2022, 8, 13793–13813. [Google Scholar] [CrossRef]
  6. Carmo, M.; Fritz, D.L.; Mergel, J.; Stolten, D. A comprehensive review on PEM water electrolysis. Int. J. Hydrogen Energy 2013, 38, 4901–4934. [Google Scholar] [CrossRef]
  7. Yodwong, B.; Guilbert, D.; Phattanasak, M.; Kaewmanee, W.; Hinaje, M.; Vitale, G. AC-DC converters for electrolyzer applications: State of the art and future challenges. Electronics 2020, 9, 912. [Google Scholar] [CrossRef]
  8. Artuso, P.; Gammon, R.; Orecchini, F.; Watson, S.J. Alkaline electrolysers: Model and real data analysis. Int. J. Hydrogen Energy 2011, 36, 7956–7962. [Google Scholar] [CrossRef]
  9. Iribarren, A.; Elizondo, D.; Barrios, E.L.; Ibaiondo, H.; Sanchez-Ruiz, A.; Arza, J.; Sanchis, P.; Ursua, A. Dynamic modeling of a Pressurized alkaline water electrolyzer: A multiphysics approach. IEEE Trans. Ind. Appl. 2023, 59, 3741–3753. [Google Scholar] [CrossRef]
  10. Sologubenko, O.; Castiglioni, R.; Pettersson, S.; Leal, A.A.; Chartouni, D.; Canales, F. Dynamic impedance modeling of an alkaline electrolyzer—A practical approach. In Proceedings of the 2023 International Workshop on Impedance Spectroscopy IWIS, Chemnitz, Germany, 26–29 September 2023. [Google Scholar] [CrossRef]
  11. Gambou, F.; Guilbert, D.; Zasadzinski, M.; Rafaralahy, H. A comprehensive survey of alkaline electrolyzer modeling: Electrical domain and specific electrolyte conductivity. Energies 2022, 15, 3452. [Google Scholar] [CrossRef]
  12. Bagarello, S.; Campagna, D.; Benedetti, I. A survey on hydrogen tanks for sustainable aviation. Green Energy Intell. Transp. 2025, 4, 100224. [Google Scholar] [CrossRef]
  13. Liu, C.; Chen, Y.; Xu, R.; Ruan, H.; Wang, C.; Li, X. Co-optimization of energy management and eco-driving considering fuel cell degradation via improved hierarchical model predictive control. Green Energy Intell. Transp. 2024, 3, 100176. [Google Scholar] [CrossRef]
  14. Vedrtnam, A.; Kalauni, K.; Pahwa, R. Water Electrolysis Technologies and Their Modeling Approaches: A Comprehensive Review. Eng 2025, 4, 81. [Google Scholar] [CrossRef]
  15. Zun, M.T.; McLellan, B.C. Cost projection of global green hydrogen production scenarios. Hydrogen 2023, 4, 932–960. [Google Scholar] [CrossRef]
  16. Idriss, A.I.; Ramadan, A.A.; Atteyeh, H.A.; Mohamed, O.A.; Ramadan, H.S. Techno-economic potential of wind-based green hydrogen production in Djibouti: Literature review and case studies. Energies 2023, 16, 6055. [Google Scholar] [CrossRef]
  17. Jaszczur, M.; Hassan, Q.; Sameen, A.Z.; Salman, H.M.; Olapade, O.T.; Wieteska, S. Massive green hydrogen production using solar and wind energy: Comparison between europe and the middle east. Energies 2023, 16, 5445. [Google Scholar] [CrossRef]
  18. Rzepka, P.; Szablicki, M.; Halinka, A. Technologia Power to Gas jako ważny elementem poprawy stabilność częstotliwościowej SEE w przyszłości. Przegląd Elektrotechniczny 2023, 8, 1–5. [Google Scholar] [CrossRef]
  19. Zhao, S.; Han, Y.; Xu, Q.; Wang, Z.; Shan, Y. Modeling and Simulation of Electric–Hydrogen Coupled Integrated Energy System Considering the Integration of Wind–PV–Diesel–Storage. Modelling 2024, 12, 1936–1960. [Google Scholar] [CrossRef]
  20. Reale, F.; Sannino, R. Numerical Modeling of Energy Systems Based on Micro Gas Turbine: A Review. Energies 2022, 15, 900. [Google Scholar] [CrossRef]
  21. Górecki, K.; Górecki, P.; Zarębski, J. Electrical model of the alkaline electrolyser dedicated for SPICE. Int. J. Circuit Theory Appl. 2018, 46, 1044–1054. [Google Scholar] [CrossRef]
  22. Karimi, M.H.; Chitgar, N.; Emadi, M.A.; Ahmadi, P.; Rosen, M.A. Performance assessment and optimization of a biomass-based solid oxide fuel cell and micro gas turbine system integrated with an organic Rankine cycle. Int. J. Hydrogen Energy 2020, 45, 6262–6277. [Google Scholar] [CrossRef]
  23. Liu, M.; Zheng, X.; Jia, Y.; Shao, G.; Shi, J.; Zeng, S.; Wang, K.; Li, Y.; Gu, C. Mathematical Modeling and Experimental Validation for a 50 kW Alkaline Water Electrolyzer. Processes 2024, 11, 2616. [Google Scholar] [CrossRef]
  24. Luo, S.; Zhang, T.; Xu, H.; Zhang, J.; Zhao, H.; Yun, J.; Zhao, H. Optimizing Alkaline Water Electrolysis: A Dual-Model Approach for Enhanced Hydrogen Production Efficiency. Energies 2024, 11, 5512. [Google Scholar] [CrossRef]
  25. Niroula, S.; Chaudhary, C.; Subedi, A.; Thapa, B.S. Parametric Modelling and Optimization of Alkaline Electrolyzer for the Production of Green Hydrogen. In IOP Conference Series: Materials Science and Engineering; IOP Publishing: Bristol, UK, 2023; p. 012005. [Google Scholar]
  26. Huang, C.; Zong, Y.; You, S.; Træholt, C. Analytical Modeling and Control of Grid-Scale Alkaline Electrolyzer Plant for Frequency Support in Wind-Dominated Electricity-Hydrogen Systems. IEEE Trans. Sustain. Energy 2023, 14, 217–232. [Google Scholar] [CrossRef]
  27. Guan, A.; Zhou, S.; Gu, W.; Wu, Z.; Ai, X.; Fang, J. A Dynamic Model-Based Minute-Level Optimal Operation Strategy for Alkaline Electrolyzers in Wind-Hydrogen Systems. IEEE Trans. Sustain. Energy 2025, 16, 2157–2170. [Google Scholar] [CrossRef]
  28. Dozein, M.G.; De Corato, A.M.; Mancarella, P. Virtual Inertia Response and Frequency Control Ancillary Services From Hydrogen Electrolyzers. IEEE Trans. Power Syst. 2023, 38, 2447–2459. [Google Scholar] [CrossRef]
  29. Pei, W.; Zhang, X.; Deng, W.; Tang, C.; Yao, L. Review of Operational Control Strategy for DC Microgrids with Electric-hydrogen Hybrid Storage Systems. CSEE J. Power Energy Syst. 2022, 8, 329–346. [Google Scholar] [CrossRef]
  30. Li, J.; Li, G.; Ma, S.; Liang, Z.; Li, Y.; Zeng, W. Modeling and Simulation of Hydrogen Energy Storage System for Power-to-gas and Gas-to-power Systems. J. Mod. Power Syst. Clean Energy 2023, 11, 885–895. [Google Scholar] [CrossRef]
  31. Xia, Y.; Cheng, H.; Wang, J.; Wei, W. Power Management for Off-Grid Hydrogen-Electric Coupling System Considering Electrolyzer Temperature-Varying Characteristics. IEEE Trans. Power Electron. 2025, 40, 738–7397. [Google Scholar] [CrossRef]
  32. Xie, H.; Liu, Z.; Xu, Z.; Zhu, T.; Hu, Y.; Li, K. Operational Characteristics Simulation for Off-Grid Hydrogen Production System with Wind-Solar Power Generation. Complex Syst. Model. Simul. 2025, 5, 282–295. [Google Scholar] [CrossRef]
  33. Górecki, K.; Ptak, P. Modeling dynamic properties of an alkaline electrolyzer. In Proceedings of the 2024 14th International Conference on Advanced Computer Information Technologies (ACIT), Ceske Budejovice, Czech Republic, 19–21 September 2024. [Google Scholar]
  34. Górecki, K.; Górecka, M.; Górecki, P. Modelling properties of an alkaline electrolyser. Energies 2020, 13, 3073. [Google Scholar] [CrossRef]
  35. Górecki, K.; Świtalski, E.; Górecki, P. Modeling the influence of the electrolyte concentration on electrical characteristics of an alkaline electrolyzer. Energies 2022, 15, 8090. [Google Scholar] [CrossRef]
  36. Libuś, W.; Lubuś, Z. Elektrochemia, Państwowe Wydawnictwo Naukowe; Państwowe Wydawnictwo Naukowe: Warszawa, Poland, 1975. [Google Scholar]
  37. Zarębski, J.; Górecki, K. Parameters estimation of the d.c. electrothermal model of the bipolar transistor. Int. J. Numer. Model. Electron. Netw. Devices Fields 2002, 15, 181–194. [Google Scholar] [CrossRef]
  38. Przewodnictwo Graniczne Elektrolitów, 7/2025. Available online: https://pl.wikipedia.org/wiki/Przewodnictwo_graniczne_elektrolit%C3%B3w (accessed on 20 January 2026).
  39. Pilarski, R.; Górecki, K. System sterowania zasilaniem elektrolizera alkalicznego. Przegląd Elektrotechniczny 2024, 100, 61–64. [Google Scholar] [CrossRef]
  40. Datasheet IXFN420N10T MOS Transistor. Available online: https://www.mouser.pl/datasheet/2/240/media-3320806.pdf (accessed on 28 December 2025).
  41. DPM Mass Flow Meter, 6/2025. Available online: https://www.aalborg.com/index.php/main_page/product_info/cPath/246_249/products_id/511098 (accessed on 20 January 2026).
Figure 1. Network form of the electrolyzer model.
Figure 1. Network form of the electrolyzer model.
Energies 19 00622 g001
Figure 2. View of the components of the tested alkaline electrolyzer.
Figure 2. View of the components of the tested alkaline electrolyzer.
Energies 19 00622 g002
Figure 3. Block diagram of the measurement set-up.
Figure 3. Block diagram of the measurement set-up.
Energies 19 00622 g003
Figure 4. View of the measurement set-up.
Figure 4. View of the measurement set-up.
Energies 19 00622 g004
Figure 5. Measured and calculated current–voltage characteristics of the electrolyzer.
Figure 5. Measured and calculated current–voltage characteristics of the electrolyzer.
Energies 19 00622 g005
Figure 6. Dependence of hydrogen flow rate on current for selected electrolyte concentration values.
Figure 6. Dependence of hydrogen flow rate on current for selected electrolyte concentration values.
Energies 19 00622 g006
Figure 7. Dependence of hydrogen flow rate on solution concentration for selected current values.
Figure 7. Dependence of hydrogen flow rate on solution concentration for selected current values.
Energies 19 00622 g007
Figure 8. Measured and calculated waveforms of the voltage on the electrolyzer VE and the electrolyzer current IE at cp = 0.1%, d = 0.5, and selected frequency values: (a) f = 100 Hz, (b) f = 1 kHz, (c) f = 10 kHz, and (d) f = 50 kHz.
Figure 8. Measured and calculated waveforms of the voltage on the electrolyzer VE and the electrolyzer current IE at cp = 0.1%, d = 0.5, and selected frequency values: (a) f = 100 Hz, (b) f = 1 kHz, (c) f = 10 kHz, and (d) f = 50 kHz.
Energies 19 00622 g008
Figure 9. Measured and calculated waveforms of the voltage on the electrolyzer VE and the electrolyzer current IE at cp = 10%, d = 0.5, and selected frequency values: (a) f = 100 Hz, (b) f = 1 kHz, (c) f = 10 kHz, and (d) f = 50 kHz.
Figure 9. Measured and calculated waveforms of the voltage on the electrolyzer VE and the electrolyzer current IE at cp = 10%, d = 0.5, and selected frequency values: (a) f = 100 Hz, (b) f = 1 kHz, (c) f = 10 kHz, and (d) f = 50 kHz.
Energies 19 00622 g009
Figure 10. Measured and calculated waveforms of the voltage on the electrolyzer VE and the electrolyzer current IE at cp = 1%, f = 1 kHz, and selected duty cycle values: (a) d = 0.5, (b) d = 0.3, and (c) d = 0.7.
Figure 10. Measured and calculated waveforms of the voltage on the electrolyzer VE and the electrolyzer current IE at cp = 1%, f = 1 kHz, and selected duty cycle values: (a) d = 0.5, (b) d = 0.3, and (c) d = 0.7.
Energies 19 00622 g010
Figure 11. Measured and calculated waveforms of the voltage on the electrolyzer VE and the electrolyzer current IE at f = 1 kHz, d = 0.5, and selected concentration values: (a) cp = 0.2%, (b) cp = 0.5%, (c) cp = 2%, and (d) cp = 5%.
Figure 11. Measured and calculated waveforms of the voltage on the electrolyzer VE and the electrolyzer current IE at f = 1 kHz, d = 0.5, and selected concentration values: (a) cp = 0.2%, (b) cp = 0.5%, (c) cp = 2%, and (d) cp = 5%.
Energies 19 00622 g011
Figure 12. Dependence of flow rate on frequency for selected values of solution concentration and coefficient d = 0.5.
Figure 12. Dependence of flow rate on frequency for selected values of solution concentration and coefficient d = 0.5.
Energies 19 00622 g012
Table 1. Values of passive elements of the electrolyzer model at f = 1 kHz and cp = 1%.
Table 1. Values of passive elements of the electrolyzer model at f = 1 kHz and cp = 1%.
ElementCDRe2C2L1Re1L2
Value1.2 F22 mΩ120 mF1.2 µH10 mΩ0.1 µH
Table 2. Values of model parameters shown in Equations (3)–(5).
Table 2. Values of model parameters shown in Equations (3)–(5).
ParameterN1N0NR1NR0Rdd1Rdd0c1c2c3
Value24.2526.5585 mΩ5 mΩ2.5%2%0.12%
Table 3. Comparison of the properties of selected electrolyzer models.
Table 3. Comparison of the properties of selected electrolyzer models.
ModelDC AnalysisTransient
Analysis
SoftwareDetermining the Amount of Hydrogen ProducedInfluence of Electrolyte ConcentrationInfluence of Frequency
Model from [23]YESNOMATLABYESNONO
Model from [24]YESNOMATLABYESNONO
Model from [25]YESNOMATLABYESNONO
Model from [8]YESNO-YESNONO
Model from [9]YESYESMATLABYESNONO
Model from [33]YESYESSPICENONOYES
New modelYESYESSPICEYESYESYES
Disclaimer/Publisher’s Note: The statements, opinions and data contained in all publications are solely those of the individual author(s) and contributor(s) and not of MDPI and/or the editor(s). MDPI and/or the editor(s) disclaim responsibility for any injury to people or property resulting from any ideas, methods, instructions or products referred to in the content.

Share and Cite

MDPI and ACS Style

Górecki, K.; Lewandowski, M.; Ptak, P. Modeling the Characteristics of an Alkaline Electrolyzer When Powered by a Rectangular Pulse Train. Energies 2026, 19, 622. https://doi.org/10.3390/en19030622

AMA Style

Górecki K, Lewandowski M, Ptak P. Modeling the Characteristics of an Alkaline Electrolyzer When Powered by a Rectangular Pulse Train. Energies. 2026; 19(3):622. https://doi.org/10.3390/en19030622

Chicago/Turabian Style

Górecki, Krzysztof, Michał Lewandowski, and Przemysław Ptak. 2026. "Modeling the Characteristics of an Alkaline Electrolyzer When Powered by a Rectangular Pulse Train" Energies 19, no. 3: 622. https://doi.org/10.3390/en19030622

APA Style

Górecki, K., Lewandowski, M., & Ptak, P. (2026). Modeling the Characteristics of an Alkaline Electrolyzer When Powered by a Rectangular Pulse Train. Energies, 19(3), 622. https://doi.org/10.3390/en19030622

Note that from the first issue of 2016, this journal uses article numbers instead of page numbers. See further details here.

Article Metrics

Back to TopTop