Transient Voltage Support Strategy for Microgrids at the Distribution Network Edge Considering Cable Capacitance
Abstract
1. Introduction
2. Characterization of Microgrid Voltage and Current Coupling Under the Influence of Distributed Capacitance of Cable
2.1. Characterization of Positive-Sequence Voltage and Current Coupling of Microgrids
2.2. Characterization of Negative-Sequence Coupling Island Voltage-Current in Microgrids
3. Voltage and Current Estimation Model of the Fault Region Under the Influence of Distributed Capacitance of the Cable
3.1. Characterization of the Variation in Injected Currents in the Microgrid
3.2. Voltage and Current Estimation Model for Fault Region
4. Transient Voltage Support Method for Microgrid Based on Current Correction Mechanism
4.1. Current Active Correction Strategy Based on Ratio Offset
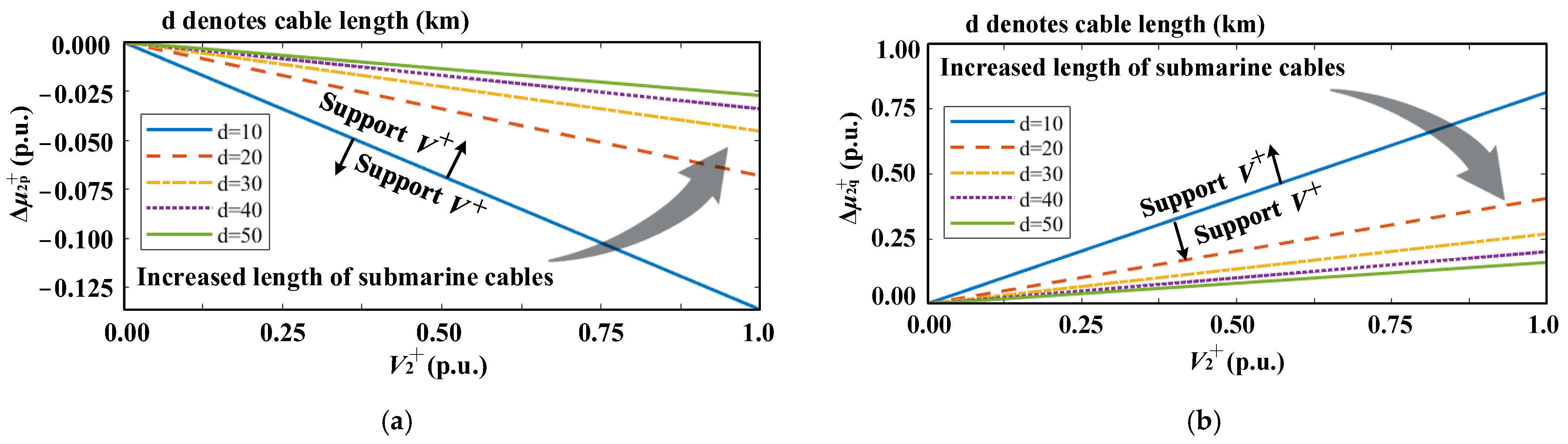
4.2. Positive and Negative Sequence Current Injection Strategies for Maximizing Voltage Support
4.3. Control Structure of Current Active Correction and Transient Voltage Support Method
5. Case Study
5.1. Estimation of Fault Region Information and Validation of Current Active Correction Strategy
- (1)
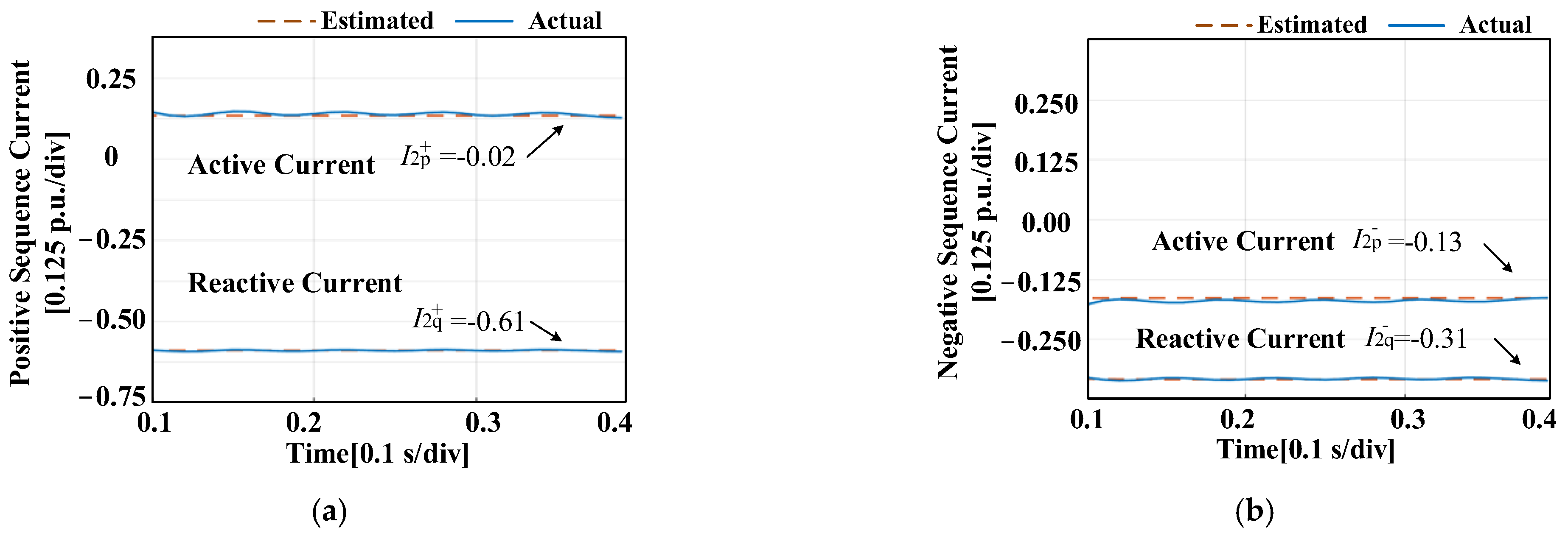
- Verification of Voltage and Current Estimation Accuracy
- (2)
- Validation of Current Active Correction Strategy
5.2. Validation of the Transient Voltage Support Method
- (1)
- Verification of Voltage Support Performance under Different Fault Conditions
- (a)
- Case 1: Single-phase ground fault occurs in the fault microgridIn this scenario, the positive-sequence voltage of the microgrid drops to 0.649 p.u., while the negative-sequence voltage rises to 0.312 p.u. As shown in Figure 14, the proposed method adjusts the injected current components to Ip+ = 0.16 p.u., Iq+ = −0.46 p.u., Ip− = −0.06 p.u., Iq− = −0.48 p.u., aiming to enhance the positive-sequence voltage and suppress the negative-sequence component simultaneously. Following support, the positive sequence voltage increases to 0.704 p.u., while the negative sequence voltage is reduced to 0.260 p.u. And the positive and negative sequence current ratios are k1+ = −2.8 and k1− = 8, respectively.Whereas the theoretical values derived from (16) and (17) are = −5.9 and = 5.9. The deviation is attributed to the influence of voltage amplitude changes and the implementation of the current correction strategy, which adjusts the injected current based on local port measurements to ensure effective voltage support.
- (b)
- Case 2: Two-phase ground fault occurs in the fault microgridIn Case 2, the positive sequence voltage of the microgrid drops to 0.333 p.u., while the negative sequence voltage increases to 0.321 p.u. As shown in Figure 15, the microgrid responds by injecting current components of Ip+ = 0.12 p.u., Iq+ = −0.48 p.u., Ip− = −0.02 p.u., Iq− = −0.49 p.u. This current injection elevates the positive-sequence voltage to 0.405 p.u. and suppresses the negative-sequence voltage to 0.271 p.u. The corresponding current ratios are k1+ = −4 and k1− = 25, respectively, which again differ from theoretical values due to the voltage-dependent behavior of current deviation and the correction strategy applied. These results highlight the influence of fault characteristics on system response and correction behavior.
- (c)
- Case 3: Phase-to-phase short-circuit fault in the fault microgridsIn Case 3, the positive-sequence voltage of the microgrid drops to 0.531 p.u., while the negative-sequence voltage rises to 0.518 p.u. As shown in Figure 16, the injected current components are: Ip+ = 0.14 p.u., Iq+ = −0.48 p.u., Ip− = −0.02 p.u., Iq− = −0.49 p.u. Following current injection, the positive-sequence voltage recovers to 0.595 p.u., while the negative-sequence voltage decreases to 0.479 p.u. The resulting current ratios are k1+ = −3.4 and k1− = 25, which again deviate from the theoretically calculated values, as well as the rest of the fault conditions.These results collectively confirm the adaptability of the proposed transient voltage support method across diverse fault scenarios, validating its practical applicability in cable-interconnected microgrids.
- (2)
- Comparison with Other Methods
6. Conclusions
Author Contributions
Funding
Data Availability Statement
Conflicts of Interest
Appendix A
Appendix B
References
- Liu, B.; Yu, B.; Zheng, F. Grid current distortion suppression based on harmonic voltage feedforward for grid-forming inverters. Electronics 2025, 14, 839. [Google Scholar] [CrossRef]
- Feng, F.; Fang, J. Weak grid-induced stability problems and solutions of distributed static compensators with voltage droop support. Electronics 2022, 11, 1385. [Google Scholar] [CrossRef]
- Gouveia, L.M.C.; Barros, J.D.S. Online Control of Islands Microgrids Connected by Electrical Submarine Cable. In Proceedings of the 2019 5th Experiment International Conference, Funchal, Portugal, 12–14 June 2019; pp. 143–148. [Google Scholar]
- Flores, N.A.; Rivera, D.A.; Tabora, J.M. Techno-Economic Analysis of a Submarine AC Cable for the Electrical Interconnection of Gracias a Dios, Honduras. In Proceedings of the 2025 IEEE Central America and Panama Student Conference (CONESCAPAN), Tegucigalpa, Honduras, 23–27 September 2025; pp. 1–6. [Google Scholar]
- Intriago, G.; Intriago, A.; Konstantinou, C.; Zhang, Y. A Novel Observer-Centric Approach for Detecting Faults in Islanded AC Microgrids With Uncertainties. IEEE Syst. J. 2024, 18, 1236–1247. [Google Scholar] [CrossRef]
- Wang, Z.; Mu, L. Microgrid Fault Detection Method Coordinated with a Sequence Component Current-Based Fault Control Strategy. Prot. Control Mod. Power Syst. 2024, 9, 81–93. [Google Scholar] [CrossRef]
- Shi, Y.; Tang, Z.; Li, H.; Wu, S.; Wang, H. Impact of Harmonic Distortions Due to Scaled EV Charging in Residential Distribution Cable Systems Considering the Filtering Effect of Distribution Cable π Structure. IEEE Access 2025, 13, 51499–51512. [Google Scholar] [CrossRef]
- Peng, N.; Zhang, W.; Liang, R.; Du, M.; Zhang, P.; Wang, W.; Wang, W.; Hu, Y. Fault Distance Estimation for High-Voltage Cables Down the Mines Based on Voltage Continuity Considering Distributed Parameters. IEEE Trans. Power Deliv. 2025, 40, 1811–1824. [Google Scholar] [CrossRef]
- Xia, J.; Wang, C.; Zhan, R.; Zhao, C.; Guo, C. Evolutional shunt capacitor commutated converter considering characteristics of resonance and reactive power. Autom. Electr. Power Syst. 2022, 46, 155–162. [Google Scholar]
- Zhou, Z.; Chen, W.; Zhao, G.; Xu, Y.; Lu, Z.; Han, B. Calculation and analysis of power transmission capacity of flexible low-frequency AC transmission system for offshore wind power. Autom. Electr. Power Syst. 2023, 47, 1–8. [Google Scholar]
- Liu, J.; Bao, N.; Chen, J.; Lu, G.; Chen, Y. Error-free control of voltage/frequency after power source failure in isolated hybrid microgrids. South. Power Syst. Technol. 2025, 19, 150–159. [Google Scholar]
- Zhou, Y.; Zhang, J. Adaptive inertia control and frequency recovery control of voltage-controlled virtual synchronous generators for an isolated microgrid. South. Power Syst. Technol. 2022, 16, 127–136. [Google Scholar]
- Hasan, S.; Agarwal, V. A voltage support scheme for distributed generation with minimal phase current under asymmetrical grid faults. IEEE Trans. Ind. Electron. 2023, 70, 10261–10270. [Google Scholar] [CrossRef]
- Fang, X.; Yu, D.; Wang, Y.; Xia, L. Suppression strategy of DC bus voltage fluctuation in hybrid microgrid based on fuzzy decoupling linear auto disturbance rejection control. South. Power Syst. Technol. 2024, 18, 116–129. [Google Scholar]
- Mohapatra, S.R.; Agarwal, V. An advanced voltage support scheme considering the impact of zero-sequence voltage under microgrid faults using model predictive control. IEEE Trans. Ind. Electron. 2020, 67, 8957–8968. [Google Scholar] [CrossRef]
- Ji, L.; Shi, J.; Hong, Q.; Fu, Y.; Chang, X.; Cao, Z.; Mi, Y.; Li, Z.; Booth, C. A multi-objective control strategy for three-phase grid-connected inverter during unbalanced voltage sag. IEEE Trans. Power Del. 2021, 36, 2490–2500. [Google Scholar] [CrossRef]
- Letaief, F.; Hamouda, M.; Belaid, M.A.; Al-Haddad, K. A comprehensive approach to flexible LVRT strategies for inverter-based PPMs enhancing voltage-support, overcurrent protection, and DC-link voltage quality. IEEE Access 2024, 12, 52990–53017. [Google Scholar] [CrossRef]
- Shabestary, M.M.; Mohamed, Y.A.R.I. Analytical expressions for multi-objective optimization of converter-based DG operation under unbalanced grid conditions. IEEE Trans. Power Electron. 2017, 32, 7284–7296. [Google Scholar] [CrossRef]
- Stankovic, S.; Van Cutsem, T.; Soder, L. Fault-current injection strategies of inverter-based generation for fast voltage recovery. IEEE Trans. Power Syst. 2022, 37, 1543–1553. [Google Scholar] [CrossRef]
- Liu, X.; Chen, X.; Li, C.; Shahidehpour, M.; Sun, K.; Cao, Y.; Chen, C.; Zhou, B. Multi-stage voltage support optimization for microgrid with multiple distributed generation units. IEEE Trans. Smart Grid 2021, 12, 141–156. [Google Scholar] [CrossRef]
- Guo, Y.; Pal, B.C.; Jabr, R.A.; Geng, H. Global optimality of inverter dynamic voltage support. IEEE Trans. Power Syst. 2022, 37, 3947–3957. [Google Scholar] [CrossRef]
- Wang, Y.; Syed, M.H.; Guillo-Sansano, E.; Xu, Y.; Burt, G.M. Inverter-based voltage control of distribution networks: A three-level coordinated method and power hardware-in-the-loop validation. IEEE Trans. Sustain. Energy 2020, 11, 2380–2391. [Google Scholar] [CrossRef]
- Gu, S.; Du, X.; Shi, Y.; Sun, P.; Tai, H.-M. Power control for grid-connected converter to comply with safety operation limits during grid faults. IEEE J. Emerg. Sel. Top. Power Electron. 2020, 8, 866–876. [Google Scholar] [CrossRef]
- Shabestary, M.M.; Mohamed, Y.A.R.I. Autonomous coordinated control scheme for cooperative asymmetric low-voltage ride-through and grid support in active distribution networks with multiple DG units. IEEE Trans. Smart Grid 2020, 11, 2125–2139. [Google Scholar] [CrossRef]
- Hasan, S.; Agarwal, V. An unconstrained voltage support scheme for distributed generation connected to resistive-inductive grid under unbalanced conditions. IEEE Trans. Ind. Appl. 2021, 57, 4253–4262. [Google Scholar] [CrossRef]
- Feng, Y.; Huang, W.; Jin, Z.; Li, Y.; Shen, Z.J.; Shuai, Z. Voltage support strategy for improving power transfer capability of grid-connected converter under unbalanced conditions. IEEE Trans. Power Electron. 2024, 39, 7863–7875. [Google Scholar] [CrossRef]
- GB/T 19963.1-2021; Technical Specification for Wind Farms Connected to Power Systems—Part 1: Onshore Wind Power. State Administration for Market Regulation. Standardization Administration of China: Beijing, China.
- GB/T 29319-2024; Technical Requirements for Grid Connection of Photovoltaic Power Generation Systems to Distribution Networks. State Administration for Market Regulation. Standardization Administration of China: Beijing, China.
- Maganti, S.; Padhy, N.P. An advanced control strategy for a weak grid-connected DG for enhancing voltage support during co-occurrence of sag and swell. IEEE Trans. Power Electron. 2024, 39, 1644–1655. [Google Scholar] [CrossRef]
- Iñiguez, J.I.; Duarte, J.N.; Camacho, A.; Miret, J.; Castilla, M. Voltage support provided by three-phase three-wire inverters with independent reactive phase-current injection. IEEE Trans. Ind. Electron. 2024, 71, 11806–11816. [Google Scholar] [CrossRef]
- Naidu, B.R.; Bajpai, P.; Chakraborty, C.; Malakondaiah, M.; Kumar, B.K. Adaptive dynamic voltage support scheme for fault ride-through operation of a microgrid. IEEE Trans. Sustain. Energy 2023, 14, 974–986. [Google Scholar] [CrossRef]
- Lu, H.; Xiao, X.; Tang, G.; He, Z.; Lin, Z.; Gao, C.; Zheng, Z. Transient voltage support strategy of grid-forming medium voltage photovoltaic converter in the LCC-HVDC system. CSEE J. Power Energy Syst. 2024, 10, 1849–1864. [Google Scholar]
- Islam, M.; Nadarajah, M.; Hossain, M.J. A grid-support strategy with PV units to boost short-term voltage stability under asymmetrical faults. IEEE Trans. Power Syst. 2020, 35, 1120–1131. [Google Scholar] [CrossRef]
- Shabestary, M.M. Maximum asymmetrical support in parallel-operated grid-interactive smart inverters. IEEE Trans. Sustain. Energy 2022, 13, 14–30. [Google Scholar] [CrossRef]
- IEC 61850-7-1; Communication Networks and Systems for Power Utility Automation–Part 7-1: Basic Communication Structure – Principles and Models. International Electrotechnical Commission: Geneva, Switzerland, 2011.
- IEEE 1547-2018; IEEE Standard for Interconnection and Interoperability of Distributed Energy Resources with Associated Electric Power Systems Interfaces. IEEE: New York, NY, USA, 2018.
- CAN/CSA-C22.3 No. 9-15 (R2015); Interconnection of Distributed Energy Resources. CSA Group: Toronto, ON, Canada, 2015.
- VDE-AR-N 4110:2018-11; Technische Regeln für den Anschluss von Kundenanlagen an das Mittelspannungsnetz und deren Betrieb (TAR Mittelspannung). VDE Verlag: Berlin, Germany, 2018.
- GB/T 33593-2017; Technical Requirements for Distributed Resources Grid-Connection. Standardization Administration of China (SAC): Beijing, China, 2017.
- GB/T 19963.1-2021; Technical Requirements for Connecting Wind Farm to Power System—Part 1: Onshore Wind Power. Standardization Administration of China (SAC): Beijing, China, 2021.
















| Symbol | Variable | Value |
|---|---|---|
| Vg | Rated voltage for microgrids | 10.5 kV |
| SDG1 | Rated Capacity of Tidal Energy | 3 MVA |
| SDG2 | Rated Capacity of Wind Turbine | 8 MVA |
| SDG3 | Rated Capacity of Photovoltaic | 2 MVA |
| SDG4 | Rated Capacity of Energy Storage | 2 MVA |
| ZCab | Resistance of Cable | 0.02 Ω/km |
| Inductance of Cable | 0.38 mH/km | |
| Capacitance of Cable | 0.27 μF/km |
| Variant | MSE/10−3 | RMSE | MAE |
|---|---|---|---|
| /p.u. | 0.67 | 0.02 | 0.01 |
| /p.u. | 0.88 | 0.03 | 0.01 |
| /rad | 0.09 | 0.009 | 0.005 |
| /rad | 0.21 | 0.01 | 0.007 |
| /p.u. | 2.90 | 0.05 | 0.03 |
| /p.u. | 5.74 | 0.24 | 0.08 |
| /p.u. | 1.90 | 0.04 | 0.03 |
| /p.u. | 4.14 | 0.20 | 0.08 |
| Fault Conditions | Microgrid Injection Current | |||
|---|---|---|---|---|
| Parameters | Value | Parameters | Value | Current Ratio |
| /p.u. | 0.93 | /p.u. | 0.025 | |
| /p.u. | 0.06 | /p.u. | −0.25 | |
| /° | 0 | /p.u. | −0.025 | |
| /° | 180 | /p.u. | −0.25 | |
| Methods | Ip+ (p.u.) | Iq+ (p.u.) | Ip− (p.u.) | Iq− (p.u.) | V+ (p.u.) | V− (p.u.) |
|---|---|---|---|---|---|---|
| Fault State | 0 | 0 | 0 | 0 | 0.649 | 0.312 |
| GC | 0 | −0.50 | 0 | 0.50 | 0.681 | 0.279 |
| OVS | 0.08 | −0.48 | 0.08 | 0.48 | 0.692 | 0.267 |
| MOVS | 0.08 | −0.48 | 0.04 | 0.24 | 0.692 | 0.267 |
| Proposed Method | 0.16 | −0.23 | 0.06 | 0.48 | 0.704 | 0.267 |
Disclaimer/Publisher’s Note: The statements, opinions and data contained in all publications are solely those of the individual author(s) and contributor(s) and not of MDPI and/or the editor(s). MDPI and/or the editor(s) disclaim responsibility for any injury to people or property resulting from any ideas, methods, instructions or products referred to in the content. |
© 2026 by the authors. Licensee MDPI, Basel, Switzerland. This article is an open access article distributed under the terms and conditions of the Creative Commons Attribution (CC BY) license.
Share and Cite
Cao, S.; Yao, R.; Shuai, W.; Bai, H.; Jiang, S.; Zheng, Y. Transient Voltage Support Strategy for Microgrids at the Distribution Network Edge Considering Cable Capacitance. Electronics 2026, 15, 349. https://doi.org/10.3390/electronics15020349
Cao S, Yao R, Shuai W, Bai H, Jiang S, Zheng Y. Transient Voltage Support Strategy for Microgrids at the Distribution Network Edge Considering Cable Capacitance. Electronics. 2026; 15(2):349. https://doi.org/10.3390/electronics15020349
Chicago/Turabian StyleCao, Shiran, Ruotian Yao, Weihao Shuai, Hao Bai, Shiqi Jiang, and Yawen Zheng. 2026. "Transient Voltage Support Strategy for Microgrids at the Distribution Network Edge Considering Cable Capacitance" Electronics 15, no. 2: 349. https://doi.org/10.3390/electronics15020349
APA StyleCao, S., Yao, R., Shuai, W., Bai, H., Jiang, S., & Zheng, Y. (2026). Transient Voltage Support Strategy for Microgrids at the Distribution Network Edge Considering Cable Capacitance. Electronics, 15(2), 349. https://doi.org/10.3390/electronics15020349

