Impedance Mismatch Mechanism and Matching Network Design of Incident End in Single-Core Cable Fault Location of IT System
Abstract
1. Introduction
2. Theoretical Analysis
2.1. Single-Core Cable and Its Distributed Parameters
2.2. Fault Localization Principle
3. Analysis of Secondary Reflection Caused by Incident-End Impedance Mismatch
3.1. Impact of Incident-End Impedance Mismatch
3.2. Elimination of Incident-End Mismatch
- Provide bidirectional impedance matching: When viewed from the equipment side, the input impedance should approximate the equipment’s nominal output impedance. When viewed from the cable side, the output impedance should adapt to the cable’s variable characteristic impedance.
- Maintain DC isolation: Since the system is a floating IT DC system, the network must block any direct DC path to the ground to avoid creating a ground loop or altering the system’s floating state.
4. Simulation Analysis
4.1. Simulation Model and Parameters
- Waveform Generator: A custom source block generates a half-wave sinusoidal pulse with a center frequency of 10 MHz and an amplitude of 1 V. This signal shape provides a concise time-domain excitation, minimizes dispersion effects compared to a wideband pulse, and allows the clear observation of reflection polarity. An internal series resistor models the output impedance of a typical signal generator.
- Coupling Network Module: This block implements the RC network shown in Figure 5. It can be bypassed to simulate the scenario without matching.
- Transmission Line Model: A 14 m long, single-core cable is modeled using the “Distributed Parameters Line” block. The per-unit-length parameters (R, L, C, G) are imported from the Q3D extraction results for the CRCC29 cable in close contact with the metal plane. A short cable length is chosen to amplify the reflection effects for clear observation.
- Measurement and Receiver: A high-impedance voltage probe is connected at the junction between the coupling network (or source) and the cable to capture the incident and reflected waveforms.
4.2. Simulation Results and Quantitative Analysis
5. Experimental Validation
5.1. Experimental Platform Construction
5.2. Experimental Results and Analysis
5.3. Discussion of Experimental Results
- The experimental results strongly support the simulation findings and theoretical analysis.
- Effectiveness of the Coupling Network: As shown in Table 3, the introduction of the RC coupling network increased the captured ratio of the primary reflection wave by over 30 percentage points for both fault types. Concurrently, the amplitude of the secondary reflection wave was reduced by approximately 80% (from ~18% to ~3%). This dual improvement confirms the network’s success in achieving bidirectional impedance matching, thereby enhancing signal integrity.
- Limitations and Discrepancy with Simulation: The primary reflection ratio achieved experimentally (~85%) is lower than the near-perfect ~99% observed in simulation. This discrepancy is attributed to practical non-idealities not fully modeled in simulation, including imperfect component tolerances, parasitic effects in the breadboard implementation, and minor inconsistencies in cable placement relative to the model. The residual secondary reflection (~3%) also stems from these imperfections. These factors represent the main sources of measurement uncertainty in this laboratory setup.
- Practical Significance: Despite these practical imperfections, the improvement is substantial. The amplified primary reflection significantly improves the signal-to-noise ratio for fault detection. Furthermore, the suppressed secondary reflection (reduced to a level lower than the reflection caused by deliberately lifting the cable by 3 mm in our lab) minimizes waveform distortion, leading to more accurate fault location and severity assessment. Future work involving direct onboard testing will aim to validate performance in the presence of these real-world variabilities.
6. Discussion
6.1. Root Cause and Novelty of the Addressed Problem
6.2. Performance and Practical Value of the RC Coupling Network
6.3. Limitations of the Proposed Approach
6.4. Generalizability and Implications for Electric Vehicle Systems
7. Conclusions
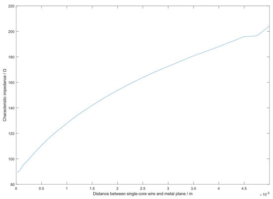
- Problem Analysis: Through theoretical modeling and parametric simulation, it was quantitatively demonstrated that the characteristic impedance of a single-core cable is highly sensitive to its installation distance from a ground plane (e.g., train chassis), varying from approximately 90 Ω to 200 Ω for a 5 mm change. This variability is the root cause of significant impedance mismatch with standard detection equipment.
- Impact Quantification: The adverse effect of this mismatch was analyzed, showing that it not only attenuates the amplitude of the primary fault reflection captured by the receiver but also generates strong secondary reflections. This combination weakens the fault signal and distorts the waveform, reducing location accuracy.
- Solution Design and Validation: An RC coupling network was designed to provide bidirectional impedance matching between the equipment and the variable-impedance cable while maintaining DC isolation for the floating IT system. Comprehensive simulation and experimental results confirmed its effectiveness. In experiments, the network enhanced the primary reflection ratio by over 30% and suppressed the secondary reflection by approximately 80%, significantly improving waveform clarity and signal strength.
Author Contributions
Funding
Data Availability Statement
Conflicts of Interest
References
- Wu, C.Y.; Li, D.D.; Huang, Y.L.; Ming, Z.Y. Research on reconnection process and service life of small-diameter cables for EMUs. Environ. Technol. 2022, 40, 64–69. [Google Scholar]
- Zhang, H.; Zhang, J.Q.; Li, X.Q.; Wang, Q.F.; Wang, S. Research on DC110V leakage false alarm faults in CR200J EMUs. Railw. Stand. Des. 2024, 68, 189–194. [Google Scholar]
- Wan, D.; Qi, F.; Zhou, H.Y.; Zhao, M.; Duan, X.; Huang, Y. Analysis of a typical concentrated burnout fault in 10 kV power cable clusters. Hunan Electr. Power 2020, 40, 84–87. [Google Scholar]
- Furse, C.M.; Kafal, M.; Razzaghi, R.; Shin, Y.-J. Fault diagnosis for electrical systems and power networks: A review. IEEE Sens. J. 2021, 21, 888–906. [Google Scholar] [CrossRef]
- Saha, M.M.; Izykowski, J.; Rosolowski, E. Fault Location on Power Networks; Springer: Berlin/Heidelberg, Germany, 2009. [Google Scholar]
- Shi, X.D.; Liu, Y.; Xu, X.Y.; Jing, T. Online detection of aircraft ARINC bus cable faults based on SSTDR. IEEE Syst. J. 2021, 15, 2482–2491. [Google Scholar] [CrossRef]
- Shi, X.D.; Li, R.P.; Zhang, H.T.; Zhao, H.; Liu, Y. Application of augmented spread spectrum time-domain reflectometry for detection and localization of soft faults on a coaxial cable. IEEE Trans. Aerosp. Electron. Syst. 2022, 58, 4891–4901. [Google Scholar] [CrossRef]
- Yu, J. Research on Online Detection of Power Cable Faults Based on Spread Spectrum Time-Domain Reflectometry. Master’s Thesis, South China University of Technology, Guangzhou, China, 2016. [Google Scholar]
- Hua, X.; Wang, L.; Chen, H.Z.; Xu, H.; Yin, Z.D. Online identification and localization of aviation cable defects based on enhanced spread spectrum time-domain reflectometry. IEEE Trans. Instrum. Meas. 2025, 74, 1–11. [Google Scholar] [CrossRef]
- Liu, D.L.; Feng, H.W.; Yang, H.Y. A novel method based on spread-spectrum time-domain reflectometry for improving the distance of cable fault detection. IEEE Sens. J. 2023, 23, 9440–9446. [Google Scholar] [CrossRef]
- Chen, W.J.; Wang, L.; Yang, S.S.; Chen, H.Z. Research on fault detection and location method of avionic data buses. In Proceedings of the 2022 IEEE 5th International Electrical and Energy Conference (CIEEC), Beijing, China, 27–29 May 2022; pp. 3654–3659. [Google Scholar]
- Saleh, M.U.; Deline, C.; Kingston, S.; Jayakumar, N.K.; Benoit, E.; Harley, J.B.; Furse, C.; Scarpulla, M. Detection and localization of disconnections in PV strings using spread-spectrum time-domain reflectometry. IEEE J. Photovolt. 2020, 10, 236–242. [Google Scholar] [CrossRef]
- Smail, M.K.; Hacib, T.; Pichon, L.; Loete, F. Detection and location of defects in wiring networks using time-domain reflectometry and neural networks. IEEE Trans. Magn. 2011, 47, 1502–1505. [Google Scholar] [CrossRef]
- Benoit, E.; Harley, J.B.; Furse, C.M. Evaluation of impedance measurement using spread spectrum time-domain reflectometry. IEEE Trans. Instrum. Meas. 2023, 72, 1–11. [Google Scholar] [CrossRef]
- Cheng, S.; Zhang, D.; Liu, C.; Xiang, C.Q.; Lv, Z.Z. Capacitance reflection wave characteristics and capacitance estimation method based on spread spectrum time-domain reflectometry. J. Electr. Technol. 2025, 40, 1156–1168. [Google Scholar]
- Edun, A.S.; Laflamme, C.; Kingston, S.R.; Furse, C.M.; Scarpulla, M.A.; Harley, J.B. Anomaly detection of disconnects using SSTDR and variational autoencoders. IEEE Sens. J. 2022, 22, 3484–3492. [Google Scholar] [CrossRef]
- EN 50264-3-1; Railway Applications—Railway Rolling Stock Power and Control Cables with Special Fire Performance—Part 3-1: Cables with Crosslinked Elastomeric Insulation (Reduced Dimensions)—Single-Core Cables. British Standards Institution: London, UK, 2005.
- Auzanneau, F.; Ravot, N.; Incarbone, L. Chaos time domain reflectometry for online defect detection in noisy wired networks. IEEE Sens. J. 2016, 16, 8027–8034. [Google Scholar] [CrossRef]
- Lee, C.K.; Chang, S.J. A method of fault localization within the blind spot using the hybridization between TDR and wavelet transform. IEEE Sens. J. 2020, 21, 5102–5110. [Google Scholar] [CrossRef]
- Berger, W.; Furse, C. Spread spectrum techniques for measurement of dielectric aging on low-voltage cables for nuclear power plants. IEEE Trans. Dielectr. Electr. Insul. 2021, 28, 1028–1033. [Google Scholar] [CrossRef]











| Project | Size |
|---|---|
| Conductor cross-section | 2.5 mm2 |
| Twisted outer diameter | 2.1 ± 0.1 mm |
| Average insulation thickness | ≥0.7 mm |
| Insulation outer diameter | 3.6 ± 0.1 mm |
| Fault Condition | Configuration | Primary Reflection/ Incident Wave | Secondary Reflection/ Incident Wave |
|---|---|---|---|
| Open Circuit | Without Coupling | 65.2% | 23.8% |
| With Coupling | 99.5% | 0.3% | |
| Short Circuit | Without Coupling | 66.8% | 22.5% |
| With Coupling | 99.1% | 0.4% |
| Fault Condition | Configuration | Primary Reflection/ Incident Wave | Secondary Reflection/ Incident Wave |
|---|---|---|---|
| Open Circuit | Without Coupling | 52.1% | 18.7% |
| With Coupling | 85.7% | 3.2% | |
| Short Circuit | Without Coupling | 53.5% | 17.9% |
| With Coupling | 84.8% | 3.5% |
Disclaimer/Publisher’s Note: The statements, opinions and data contained in all publications are solely those of the individual author(s) and contributor(s) and not of MDPI and/or the editor(s). MDPI and/or the editor(s) disclaim responsibility for any injury to people or property resulting from any ideas, methods, instructions or products referred to in the content. |
© 2025 by the authors. Published by MDPI on behalf of the World Electric Vehicle Association. Licensee MDPI, Basel, Switzerland. This article is an open access article distributed under the terms and conditions of the Creative Commons Attribution (CC BY) license.
Share and Cite
Han, Y.; Wang, Q.; Zhang, J.; Li, X. Impedance Mismatch Mechanism and Matching Network Design of Incident End in Single-Core Cable Fault Location of IT System. World Electr. Veh. J. 2026, 17, 20. https://doi.org/10.3390/wevj17010020
Han Y, Wang Q, Zhang J, Li X. Impedance Mismatch Mechanism and Matching Network Design of Incident End in Single-Core Cable Fault Location of IT System. World Electric Vehicle Journal. 2026; 17(1):20. https://doi.org/10.3390/wevj17010020
Chicago/Turabian StyleHan, Yanming, Qingfeng Wang, Jianqiong Zhang, and Xiangqiang Li. 2026. "Impedance Mismatch Mechanism and Matching Network Design of Incident End in Single-Core Cable Fault Location of IT System" World Electric Vehicle Journal 17, no. 1: 20. https://doi.org/10.3390/wevj17010020
APA StyleHan, Y., Wang, Q., Zhang, J., & Li, X. (2026). Impedance Mismatch Mechanism and Matching Network Design of Incident End in Single-Core Cable Fault Location of IT System. World Electric Vehicle Journal, 17(1), 20. https://doi.org/10.3390/wevj17010020

