-
Empowering Smallholder Farmers by Integrating Participatory Research and Establishing Village-Based Forage Seed Enterprises to Enhance On-Farm Productivity and Local Seed Supply -
Different Germination Strategies Displayed by Three Potamogeton Species: P. natans, P. lucens, and P. pectinatus -
Osmopriming Increases Seed Germination of Amaranthus cruentus (L.) -
Transforming By-Products into Functional Resources: The Potential of Cucurbitaceae Family Seeds in Cosmetics -
Biostimulant Potential of Colombian Mangrove-Associated Pseudomonas spp. for Sustainable Seed Priming
Journal Description
Seeds
Seeds
is an international, peer-reviewed, open access journal on seed science and technology published quarterly online by MDPI.
- Open Access— free for readers, with article processing charges (APC) paid by authors or their institutions.
- High Visibility: indexed within ESCI (Web of Science), Scopus, EBSCO, and other databases.
- Journal Rank: CiteScore - Q2 (Agricultural and Biological Sciences (miscellaneous))
- Rapid Publication: manuscripts are peer-reviewed and a first decision is provided to authors approximately 30.9 days after submission; acceptance to publication is undertaken in 3.6 days (median values for papers published in this journal in the first half of 2025).
- Recognition of Reviewers: APC discount vouchers, optional signed peer review, and reviewer names published annually in the journal.
- Seeds is a companion journal of Agronomy.
Latest Articles
Assessment of Bambara Groundnut (Vigna subterranea (L.) Verdcourt) Seed Systems and Farmers’ Seed-Saving Practices on Seed Quality
Seeds 2025, 4(4), 65; https://doi.org/10.3390/seeds4040065 - 5 Dec 2025
Abstract
Bambara groundnut is an underutilized legume with significant potential for enhancing nutrition and food security. However, limited knowledge of its seed systems hinders the development of targeted interventions. This study assessed the Bambara groundnut seed systems and seed quality in Ghana. A semi-structured
[...] Read more.
Bambara groundnut is an underutilized legume with significant potential for enhancing nutrition and food security. However, limited knowledge of its seed systems hinders the development of targeted interventions. This study assessed the Bambara groundnut seed systems and seed quality in Ghana. A semi-structured questionnaire was used to examine seed production, conditioning, and saving practices, while 150 farmer-saved seed samples were evaluated for quality. The findings revealed that the seed system is predominantly informal, with 99% of farmers relying on their own saved seeds, which showed poor germination and emergence. About 54.4% sourced seeds from local markets, and 60.7% recycled seeds for five years or more. Seeds were stored unshelled in polypropylene bags in Tolon and shelled in the Kintampo South and Talensi Districts. Seed selection was primarily based on size (in Tolon) and visible absence of disease symptoms (in Kintampo South and Talensi). An incidence (7.6%) of seed-borne pathogens was recorded, with Aspergillus flavus (38.8%) and A. niger (16.6%) being most prevalent. Other pathogens included Macrophomina phaseolina (11.5%), Rhizopus spp. (6.5%), Curvularia lunata (5.3%), and A. fumigatus (1.9%). This study highlights the need to support community-based seed systems to improve farmers’ access to quality Bambara groundnut seed.
Full article
Open AccessArticle
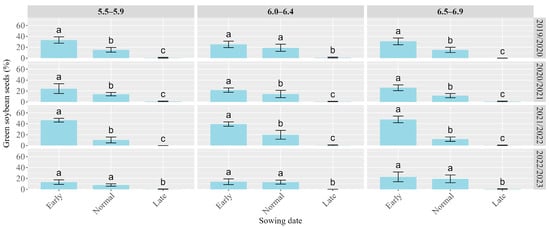
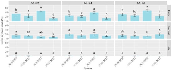
Escaping Maturation Stress: Late Sowing as a Strategy to Secure High-Vigor Soybean Seeds in Subtropical Low-Altitude Environments
by
Jose Ricardo Bagateli, Ricardo Mari Bagateli, Giovana Carla da Veiga, Ivan Ricardo Carvalho, Willyan Junior Adorian Bandeira and Geri Eduardo Meneghello
Seeds 2025, 4(4), 64; https://doi.org/10.3390/seeds4040064 - 5 Dec 2025
Abstract
►▼
Show Figures
Soybean seed production in low-altitude subtropical environments in Paraguay is constrained by the antagonism between achieving high grain yields and high physiological seed quality, a relationship governed by the Genotype x Environment x Management (GxExM) interaction. This study aimed to elucidate this trade-off
[...] Read more.
Soybean seed production in low-altitude subtropical environments in Paraguay is constrained by the antagonism between achieving high grain yields and high physiological seed quality, a relationship governed by the Genotype x Environment x Management (GxExM) interaction. This study aimed to elucidate this trade-off by evaluating three sowing dates (early, normal, late) across genotypes from three relative maturity groups over four growing seasons. Our results demonstrate that sowing date is the primary factor modulating this antagonism. Early and normal sowings maximized yield (up to 62.8% higher than late sowing) by synchronizing the reproductive period with maximum solar radiation but exposed the maturation phase to severe thermal and water stress. This consistently resulted in a high incidence of green seeds (>95% higher than late sowing) and a drastic reduction in seed vigor, with longevity potential reduced by up to 63.6%. In contrast, late sowing functioned as a stress-escape strategy, shifting maturation to milder autumn conditions and consistently producing seeds of high vigor, viability, and greater longevity. Critically, during a season of extreme drought and heat, the late sowing not only preserved quality but also produced the highest grain yield, highlighting its decisive role in risk mitigation. Thus, sowing date is a key management tool for targeted production in these environments.
Full article

Figure 1
Open AccessArticle
Effect of Fertilization and Plant Density on the Nutritional Value of Nettle (Urtica dioica L.)
by
Antonios Mavroeidis, Panteleimon Stavropoulos, Ioannis Roussis, Stella Karydogianni, George Papadopoulos, Stavroula Kallergi, Ioanna Kakabouki, Vasiliki Pachi, Vassilios Triantafyllidis, Eleni C. Mazarakioti, Angelos Patakas, Anastasios Zotos, Eleni Tsiplakou and Dimitrios Bilalis
Seeds 2025, 4(4), 63; https://doi.org/10.3390/seeds4040063 - 1 Dec 2025
Abstract
►▼
Show Figures
Stinging nettle (Urtica dioica L.) is a multipurpose perennial plant with growing interest as a source of nutrients for both human and animal consumption. Despite its recognized nutritional potential, limited research has addressed how agronomic practices influence its nutritional quality. The aim
[...] Read more.
Stinging nettle (Urtica dioica L.) is a multipurpose perennial plant with growing interest as a source of nutrients for both human and animal consumption. Despite its recognized nutritional potential, limited research has addressed how agronomic practices influence its nutritional quality. The aim of the present study was to assess the effects of plant density and fertilization on the micro- and macronutrient content of nettle plants and seeds. A three-year field experiment (2021–2024) was conducted under Mediterranean conditions using a split-plot design with two plant densities (12 and 16 plants m−2) and three nitrogen fertilization regimes [control (0 kg N ha−1), urea (200 kg N ha−1), and urea with urease inhibitor (200 kg N ha−1)]. Results showed that nitrogen fertilization significantly affected macronutrient composition, increasing crude protein and crude carbohydrates (by up to 6% and 4% respectively) while reducing crude fat and fiber contents by up to 10% in nettle plants. However, fertilization negatively influenced the concentrations of Mg, Zn, K, and Mn in seeds and reduced their content by up to 16%, 4%, 9%, and 5% respectively. On the contrary, Fe and Cr increased under nitrogen application. Plant density had a minor effect on nutritional content, mainly improving protein accumulation in lower densities. Overall, U. dioica demonstrated a stable nutritional profile and high mineral content, therefore supporting its potential as a sustainable dual-purpose crop for food and feed systems. The findings of the present study indicate that proper crop management can significantly improve the nutrient content of nettle plants and seeds.
Full article

Figure 1
Open AccessArticle
Drought Stress Mitigation in Wheat Seedlings via Green-Synthesized Silver Nanoparticle Priming
by
Saubhagya Subhadarsini Sahoo, Dwipak Prasad Sahu and Rajendra Kumar Behera
Seeds 2025, 4(4), 62; https://doi.org/10.3390/seeds4040062 - 25 Nov 2025
Abstract
►▼
Show Figures
Drought is a major abiotic stress that compromises seed germination, seedling establishment, and subsequent crop productivity, thereby threatening agricultural sustainability and food security. Developing effective seed-based strategies is therefore essential to enhance drought resilience. In this study, we investigated the efficacy of green-synthesized
[...] Read more.
Drought is a major abiotic stress that compromises seed germination, seedling establishment, and subsequent crop productivity, thereby threatening agricultural sustainability and food security. Developing effective seed-based strategies is therefore essential to enhance drought resilience. In this study, we investigated the efficacy of green-synthesized silver nanoparticles (AgNPs), produced using Azadirachta indica (neem) flower extract as a seed priming agent, to improve drought tolerance and early growth in wheat (Triticum aestivum). Seeds were primed with AgNPs (25–100 mg L−1), PEG 6000 (−0.6, −0.8, and −1.0 MPa), and their combination (AgNPs + PEG 6000). AgNP priming enhanced germination by 72%, 86%, and 100% at 25, 50, and 75 mg L−1, respectively, compared with the control, with 75 mg L−1 identified as the optimal concentration. This treatment increased total chlorophyll and carotenoid contents by 14% and 6%, and elevated phenolic and flavonoid accumulation by 58% and 97%, respectively. Antioxidant enzyme activities were also substantially increased—catalase (CAT) by 44%, superoxide dismutase (SOD) by 23%, peroxidase (POX) by 11%, and glutathione reductase (GR) by 58%. Under drought stress, AgNP priming at 75 mg L−1 improved germination by up to 80%, indicating enhanced drought tolerance. Elevated protein and antioxidant enzyme levels, along with reduced malondialdehyde (MDA), proline, and total soluble sugar levels, further confirmed mitigation of oxidative stress. Collectively, these results demonstrate that neem-mediated green-synthesized AgNPs could serve as an effective seed-priming agent, promoting wheat seedling establishment and enhancing drought resilience under water-deficit conditions.
Full article

Figure 1
Open AccessArticle
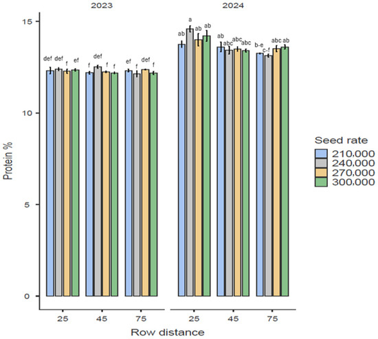
Seed Rate and Row Spacing Effects on Yield and Quality of Sorghum Maturity Groups Under Central European Conditions
by
Balázs Szemerits, Gábor Kukorelli, Wogene Solomon Kabato and Zoltán Molnár
Seeds 2025, 4(4), 61; https://doi.org/10.3390/seeds4040061 - 20 Nov 2025
Abstract
►▼
Show Figures
Efficient and climate-resilient Sorghum bicolor L. cultivation is increasingly important under Central European conditions. This study evaluated two hybrids across two locations in 2023–2024 with row spacings of 25, 45, and 75 cm and four sowing densities of 210,000–300,000 seed ha−1.
[...] Read more.
Efficient and climate-resilient Sorghum bicolor L. cultivation is increasingly important under Central European conditions. This study evaluated two hybrids across two locations in 2023–2024 with row spacings of 25, 45, and 75 cm and four sowing densities of 210,000–300,000 seed ha−1. Row spacing, year, and genotype exerted a strong and consistent effect on grain yield and quality, with multiple instances reaching high statistical significance (p < 0.001). In contrast, seed rate had no significant main effect, influencing results only via site- and season-specific interactions. At a 45 cm row spacing, sorghum exhibited the highest grain yield (8.59 t ha−1), the lowest seed moisture content (13.59%), and the greatest protein yield (1.094 t ha−1). The 25 cm spacing with higher density produced with 0.46 t ha−1 higher yields than 75 cm and the highest protein content (13.35%), but 0.48 t ha−1 lower yield than the 45 cm treatment. The 75 cm spacing generally gave 12.29% lower yield and 6.72% lower quality despite higher tillering. TKW was highest at 45 cm row spacing (31.12 g), 23.3% greater than at 75 cm (25.25 g). The 45 cm row spacing provided the most stable yield, superior quality, and balanced agronomic performance, representing the most practical configuration for sustainable sorghum production under Central European conditions.
Full article

Figure 1
Open AccessArticle
Metabolic Dynamics of Primary Reserves During Germination and Early Growth of Cultivated Brazil Nut Tree Genotypes
by
Elmer Gonçalves, Josiane Carvalho, Caris Viana, Pedro Santos, Katharine Gonçalves, Karen Costa, Auxiliadora Martins, Silvana Silva, Roberval Lima, Patrícia Albuquerque, Andreia Fernandes, Wagner Araújo and José Francisco Gonçalves
Seeds 2025, 4(4), 60; https://doi.org/10.3390/seeds4040060 - 17 Nov 2025
Abstract
Given the reduced resilience of the Amazon rainforest due to deforestation, identifying high-quality genetic markers for the propagation of native species is crucial for forest regeneration. This study investigated metabolic dynamics during Brazil nut (Bertholletia excelsa) germination to identify biochemical markers
[...] Read more.
Given the reduced resilience of the Amazon rainforest due to deforestation, identifying high-quality genetic markers for the propagation of native species is crucial for forest regeneration. This study investigated metabolic dynamics during Brazil nut (Bertholletia excelsa) germination to identify biochemical markers for selecting superior genotypes. We analyzed primary reserves (carbohydrates, lipids, proteins) and minerals in two genotypes, 606 and Santa Fé, in seven germination stages. Our results revealed distinct metabolic patterns. Genotype 606 showed 101.73% greater efficiency in the transient accumulation of starch, 34.86% higher degradation of lipids, and 34.86% higher transitory synthesis of soluble proteins. Conversely, Santa Fé was 16.8% more efficient in amino acid synthesis and 795.33% in boron compartmentalization, though less so in sucrose (2.17%) and in lipid synthesis (24.84%). Overall, early germination stages involved starch, sucrose degradation and mineral consumption. During post-germinative stages, protein and lipid degradation likely fueled gluconeogenic pathways and supported carbohydrate synthesis and seedling growth. This work increases the knowledge on Brazil nut germination physiology and identifies metabolic markers that differentiate genotypes. These findings are fundamental for our understanding of primary metabolism turnover in B. excelsa and provide a basis to support forest restoration and genetic improvement programs. In addition, we hope to contribute to the selection of superior high-performance genotypes, which are essential for recovering degraded areas and enhancing productive plantations in the Amazon region.
Full article
(This article belongs to the Special Issue Parameters of Seed Germination in Wild Plant Species)
►▼
Show Figures

Figure 1
Open AccessArticle
Computer Vision for Cover Crop Seed-Mix Detection and Quantification
by
Karishma Kumari, Kwanghee Won and Ali M. Nafchi
Seeds 2025, 4(4), 59; https://doi.org/10.3390/seeds4040059 - 12 Nov 2025
Abstract
Cover crop mixes play an important role in enhancing soil health, nutrient turnover, and ecosystem resilience; yet, maintaining even seed dispersion and planting uniformity is difficult due to significant variances in seed physical and aerodynamic properties. These discrepancies produce non-uniform seeding and species
[...] Read more.
Cover crop mixes play an important role in enhancing soil health, nutrient turnover, and ecosystem resilience; yet, maintaining even seed dispersion and planting uniformity is difficult due to significant variances in seed physical and aerodynamic properties. These discrepancies produce non-uniform seeding and species separation in drill hoppers, which has an impact on stand establishment and biomass stability. The thousand-grain weight is an important measure for determining cover crop seed quality and yield since it represents the weight of 1000 seeds in grams. Accurate seed counting is thus a key factor in calculating thousand-grain weight. Accurate mixed-seed identification is also helpful in breeding, phenotypic assessment, and the detection of moldy or damaged grains. However, in real-world conditions, the overlap and thickness of adhesion of mixed seeds make precise counting difficult, necessitating current research into powerful seed detection. This study addresses these issues by integrating deep learning-based computer vision algorithms for multi-seed detection and counting in cover crop mixes. The Canon LP-E6N R6 5D Mark IV camera was used to capture high-resolution photos of flax, hairy vetch, red clover, radish, and rye seeds. The dataset was annotated, augmented, and preprocessed on RoboFlow, split into train, validation, and test splits. Two top models, YOLOv5 and YOLOv7, were tested for multi-seed detection accuracy. The results showed that YOLOv7 outperformed YOLOv5 with 98.5% accuracy, 98.7% recall, and a mean Average Precision (mAP 0–95) of 76.0%. The results show that deep learning-based models can accurately recognize and count mixed seeds using automated methods, which has practical applications in seed drill calibration, thousand-grain weight estimation, and fair cover crop establishment.
Full article
(This article belongs to the Special Issue Agrotechnics in Seed Quality: Current Progress and Challenges)
►▼
Show Figures

Figure 1
Open AccessArticle
Enhancement of Hybrid Maize Using Potassium-Solubilizing Purple Non-Sulfur Bacteria Under Different Dilution Rates at Early Growth Stages
by
Le Thi My Thu, Tran Trong Khoi Nguyen, Dang Le Ngoc Han, Nguyen Duc Trong, Le Thanh Quang, La Cao Thang, Tran Chi Nhan, Ly Ngoc Thanh Xuan and Nguyen Quoc Khuong
Seeds 2025, 4(4), 58; https://doi.org/10.3390/seeds4040058 - 10 Nov 2025
Abstract
Although purple non-sulfur bacteria (PNSB) have been studied as good biofertilizers, their direct effects on maize seed vigor remain unclear. Additionally, the seedling stage is a vital factor for the later growth of maize. This study was conducted to evaluate the effectiveness of
[...] Read more.
Although purple non-sulfur bacteria (PNSB) have been studied as good biofertilizers, their direct effects on maize seed vigor remain unclear. Additionally, the seedling stage is a vital factor for the later growth of maize. This study was conducted to evaluate the effectiveness of potassium-solubilizing PNSB (K-PNSB) in enhancing the vigor of hybrid maize seeds. A completely randomized design was employed, incorporating single strains, Luteovulum sphaeroides M-Sl-09, Rhodopseudomonas thermotolerans M-So-11, and Rhodopseudomonas palustris M-So-14, as well as a mixture of all three strains. Each was tested at bacterial suspension dilution ratios with sterile distilled water of 1:2000; 1:2250; 1:2500; 1:2750; and 1:3000 (v/v), with three replications per treatment. Each replicate consisted of a Petri dish containing 10 hybrid maize seeds of each hybrid of LVN 10, C.P. 511, and NK7328 Gt/BT, and was incubated for five days. The results showed that K-PNSB significantly enhanced root and shoot development compared to the control (p < 0.05). The 1:2500 dilution of the individual strains and the mixture notably improved germination rate, root length, shoot length, and seedling vigor index compared to the control. At the 1:2500 dilution, the improved vigor index increased by 73.5% for L. sphaeroides, 48.7% for R. thermotolerans, 47.4% for R. palustris, and 78.5% for the mixed inoculum in the LVN 10 hybrid. Similar trends were observed for C.P. 511 and NK7328 hybrids, confirming strain- and hybrid-specific responses. The findings highlight that K-PNSB can serve as effective bio-priming agents to enhance maize seed vigor through mechanisms related to potassium solubilization and phytohormone production. Field-scale validation is recommended to assess their long-term agronomic potential.
Full article
Open AccessArticle
Ultrafine Bubble Priming Promotes Adzuki Bean (Vigna angularis) Germination Under Drought Stress via Modulation of Seed Traits and Reactive Oxygen Species Production
by
Thuy Linh Ha, Masatoshi Yoshimura and Itaru Sotome
Seeds 2025, 4(4), 57; https://doi.org/10.3390/seeds4040057 - 7 Nov 2025
Abstract
►▼
Show Figures
Ultrafine bubble (UFB) priming has recently emerged as a promising technique to enhance seed germination, yet its physiological mechanisms remain unclear. This study investigated the effects of UFB priming on adzuki bean (Vigna angularis) seeds under stress-free and drought conditions. Four
[...] Read more.
Ultrafine bubble (UFB) priming has recently emerged as a promising technique to enhance seed germination, yet its physiological mechanisms remain unclear. This study investigated the effects of UFB priming on adzuki bean (Vigna angularis) seeds under stress-free and drought conditions. Four treatments were tested: Control (non-primed), DW (primed with distilled water), UFB1 (4.56 × 107 particles/mL), and UFB2 (1.13 × 108 particles/mL). For priming, seeds were immersed in each solution at 25 ± 1 °C for 24 h. Seed traits, including water uptake, coat thickness, and total reactive oxygen species (ROS) levels in the priming solutions and seeds, were analyzed. UFB priming reduced seed coat thickness and slowed early water uptake without affecting final moisture content. Total ROS levels displayed a concentration-dependent pattern, with higher UFB increasing ROS in water but reducing them on the seed surface. Under stress-free conditions, all priming treatments accelerated germination, although higher UFB slightly prolonged T50. Under drought simulated by polyethylene glycol (PEG 10 and 15%), non-primed seeds were strongly inhibited, whereas primed seeds maintained high germination rates (>97%). Our results demonstrated that UFB priming improved water uptake, seed coat structure, and ROS signaling, enhancing seed performance of adzuki bean under favorable and drought conditions.
Full article

Figure 1
Open AccessArticle
Seed Dormancy and Germination of Scrophularia koraiensis, an Endemic Species in the Korean Peninsula
by
Seung Youn Lee, Kyu Seong Choi, Chung Ho Ko and Yong Ha Rhie
Seeds 2025, 4(4), 56; https://doi.org/10.3390/seeds4040056 - 5 Nov 2025
Abstract
►▼
Show Figures
This study aimed to develop seed-based mass propagation techniques for the conservation and horticultural and medicinal uses of Scrophularia koraiensis Nakai, an endemic plant in the Korean Peninsula. Seeds were collected from four different locations (accessions) and subjected to untreated (control), gibberellic acid
[...] Read more.
This study aimed to develop seed-based mass propagation techniques for the conservation and horticultural and medicinal uses of Scrophularia koraiensis Nakai, an endemic plant in the Korean Peninsula. Seeds were collected from four different locations (accessions) and subjected to untreated (control), gibberellic acid (GA)-only treatment, cold stratification-only treatment, or a cold stratification + GA treatment. Except for seeds collected from one location, the control group exhibited low germination of below 20% in all other locations. However, the GA-only and cold stratification-only treatments released seed dormancy and promoted germination compared with the control. In particular, the cold stratification-only treatment at 5 °C for 4 weeks resulted in about 80% germination in all accessions and demonstrated positive effects on germination speed and uniformity. These findings indicated that S. koraiensis seeds exhibit non-deep physiological dormancy (PD). Upon comparing the seed dormancy classes across various species of Scrophularia, native to different continents and countries, we confirmed that PD is very well conserved in the genus Scrophularia. Therefore, the study outcomes will provide fundamental and practical insights into the seed dormancy and germination characteristics of various Scrophularia species for future studies.
Full article

Figure 1
Open AccessArticle
Evaluation of Sunflower Seed Moisture Content by Spectral Characteristics of Inflorescences in the VNIR
by
Pavel A. Dmitriev, Anastasiya A. Dmitrieva and Boris L. Kozlovsky
Seeds 2025, 4(4), 55; https://doi.org/10.3390/seeds4040055 - 29 Oct 2025
Abstract
►▼
Show Figures
Sunflowers are one of the most important agricultural crops in the world. Given the high importance of sunflower products in the world market and the scale of their cultivation, the introduction of precision farming technologies into its culture can have a significant economic
[...] Read more.
Sunflowers are one of the most important agricultural crops in the world. Given the high importance of sunflower products in the world market and the scale of their cultivation, the introduction of precision farming technologies into its culture can have a significant economic and environmental effect. This study demonstrated the fundamental possibility of developing a technology for rapid, remote, and non-invasive assessment of sunflower seed moisture to determine the optimal timing for desiccation and harvesting. It has been shown that the moisture content of sunflower seeds can be assessed with high accuracy based on the spectral characteristics of the underside of the inflorescences obtained using a hyperspectral camera in the visible and near-infrared range (VNIR) (from 450 to 950 nm). Random forest regression (RFR) was used to predict sunflower seed moisture. The model performed excellently on the training data (R2c = 1.00; MAEc = 0.58; RMSEc = 0.74, MAPEc = 1.29) and with a high performance on the testing data (R2t = 0.98, MAEt = 2.99, RMSEt = 3.28, MAPEt = 12.22). The most significant vegetation indices for determining moisture are CCI, Booch, Datt3, Datt4, LSIRed, modPRI, SR5, TCARI, and TCARI2.
Full article

Graphical abstract
Open AccessArticle
Linking Seed Size and Thermal Tolerance in Seed Germination of Hymenaea stigonocarpa, a Fire-Prone Neotropical Savanna Tree
by
Marcilio Fagundes, Maria Isabela Rodrigues Silva, Bruno Henrique Silva Mayrink, Walisson Kenedy-Siqueira, Luiz Henrique Arymura Figueiredo and Tatiana Cornelissen
Seeds 2025, 4(4), 54; https://doi.org/10.3390/seeds4040054 - 28 Oct 2025
Abstract
►▼
Show Figures
The Neotropical Savanna (Cerrado) is a fire-prone biome characterized by seasonal climate, nutrient-poor soils, and variable fire regimes. While fire-induced germination responses are well documented in Cerrado plants, the role of seed size in mediating thermal tolerance remains poorly understood. Here, we investigate
[...] Read more.
The Neotropical Savanna (Cerrado) is a fire-prone biome characterized by seasonal climate, nutrient-poor soils, and variable fire regimes. While fire-induced germination responses are well documented in Cerrado plants, the role of seed size in mediating thermal tolerance remains poorly understood. Here, we investigate how seed size and fire-related heat treatments influence germination in Hymenaea stigonocarpa, a keystone Cerrado tree species. Specifically, we test the predictions that (i) low to moderate fire temperatures (<270 °C) do not impair seed germination and (ii) larger seeds exhibit greater heat tolerance than smaller seeds. We exposed 360 seeds from 30 individual trees to five heat-shock treatments (27, 100, 150, 200, and 270 °C) simulating fire intensities typically experienced in the Cerrado. Our results show that H. stigonocarpa produces relatively large seeds with an average germination rate of approximately 42%. The average time required for germination was 12.18 ± 0.43 (average ± standard error) days. The time required for seed germination varied significantly as a function of heat-shock treatment and seed mass, with seeds exposed to the highest temperature (270 °C) taking longer to germinate. Moreover, seed mass had a positive effect on the time required for seed germination. The germination percentage remains stable across heat treatments and seed sizes, indicating that H. stigonocarpa seeds exhibit characteristics typical of heat-tolerant species rather than those of heat-stimulated species. Our study showed that H. stigonocarpa trees produce large seeds that germinate quickly and are tolerant to moderate temperatures. These seed traits play a crucial role in the reproductive success of individual plants in fire-prone, nutrient-poor, and water-limited ecosystems. Furthermore, our results offer important guidance by emphasizing the role of seed size in effective restoration initiatives.
Full article

Figure 1
Open AccessArticle
Phytonutrients and Bioactive Compounds in Oriental Tobacco (Nicotiana tabacum L.) Seeds—A New Perspective for the Food Industry
by
Violeta Nikolova, Nikolay Nikolov, Todorka Petrova, Venelina Popova, Zhana Petkova, Milena Ruskova and Olga Teneva
Seeds 2025, 4(4), 53; https://doi.org/10.3390/seeds4040053 - 25 Oct 2025
Abstract
►▼
Show Figures
A sustainable economy and the drive to reduce agro-industrial waste worldwide motivate the increased interest in alternative uses of traditionally cultivated plants such as tobacco. Tobacco seeds are an underutilized resource with enormous potential for application in various areas of human life. The
[...] Read more.
A sustainable economy and the drive to reduce agro-industrial waste worldwide motivate the increased interest in alternative uses of traditionally cultivated plants such as tobacco. Tobacco seeds are an underutilized resource with enormous potential for application in various areas of human life. The present study aims to characterize the phytochemical composition and nutritional potential of Oriental tobacco seeds grown in Bulgaria, in order to support their possible application in areas outside the tobacco industry. Two Oriental tobacco varieties (“Krumovgrad 90” and “Krumovgrad 58”) from three production regions were explored and comparatively evaluated in terms of their physical and chemical indicators, determined by standardized methods. The results showed high protein (22.57–23.84%) and energy content (482–531 kcal/100 g), combined with relatively low carbohydrate levels (3.79–4.03%) and the presence of bioactive compounds, such as polyphenols (288–357 mg GAE/100 g). The seeds contained significant amount of oil (36.31–39.24%), of which the fatty acid profile included 16 identified components, with linoleic (72.0–74.4%), oleic (11.2–13.5%), palmitic (9.6–10.2%), and stearic (1.8–2.5%) acids taking the greatest share. The sterol fraction was dominated by β-sitosterol (43.5–46.8%), followed by sitostanol, campesterol and stigmasterol, with a stable distribution between the samples. The main tocol was γ-tocotrienol (56.5–61.4%), with α-tocotrienol being detected only in one of the varieties (“Krumovgrad 58”, 13.3%). The phospholipid fraction showed variations between the samples, with a dominant presence of phosphatidylinositol (18.0–20.4%). The results from the study confirmed the tangible potential of tobacco seeds as a source of biologically active substances in the development of functional foods and dietary supplements.
Full article

Figure 1
Open AccessArticle
Seed Dormancy Variability in Lonicera etrusca and Its Relationship with Environmental Heterogeneity Across Localities
by
Alejandro Santiago, Jesus Márquez-Pablo, Natalia Celaya-Rojas, José María Herranz and Pablo Ferrandis
Seeds 2025, 4(4), 52; https://doi.org/10.3390/seeds4040052 - 24 Oct 2025
Abstract
►▼
Show Figures
Seed dormancy is a key ecological attribute influencing germination timing and the ability of species to establish in variable environments. This study investigated whether inter-population variability in seed dormancy expression exists in Lonicera etrusca, a Mediterranean shrub known for producing seeds with
[...] Read more.
Seed dormancy is a key ecological attribute influencing germination timing and the ability of species to establish in variable environments. This study investigated whether inter-population variability in seed dormancy expression exists in Lonicera etrusca, a Mediterranean shrub known for producing seeds with underdeveloped embryos and multiple dormancy types. Seeds were collected from four geographically and ecologically distinct populations in central Iberia and subjected to a series of germination experiments simulating natural seasonal temperature regimes, stratification treatments, and gibberellic acid application. Across all populations, seeds exhibited morphological dormancy (MD) and varying degrees of morphophysiological dormancy (MPD), including non-deep simple and deep complex types. Despite high intra-specific variability in dormancy expression, no significant differences were found among populations for germination patterns or embryo growth responses. This indicates that dormancy variability is an intrinsic, conserved feature of the species rather than a locally adaptive trait. The homogenization of germination strategies across populations may be facilitated by bird-mediated seed dispersal, promoting gene flow and limiting local selection. These findings support the hypothesis that dormancy polymorphism in L. etrusca reflects a flexible germination strategy that enhances colonization potential across heterogeneous Mediterranean environments, rather than an environmentally induced plastic response.
Full article

Figure 1
Open AccessArticle
Application of Microbubbles Combining with Disinfectants to Inactivate Salmonella Typhimurium on Alfalfa Seeds and the Effects on Sprouting
by
Chih-Yao Hou, Shih-Kao Chou, Jong-Shinn Wu, Hsiu-Ling Chen, Pei-Wen Zhang, Chih-Tung Liu, Chun-Ping Hsiao and Chia-Min Lin
Seeds 2025, 4(4), 51; https://doi.org/10.3390/seeds4040051 - 24 Oct 2025
Abstract
►▼
Show Figures
Microbial contamination is the main safety concern of sprouts and seeds are the major source. High concentrations of sanitizers (>10,000 mg/kg) are recommended for effective sanitation. Microbubble (MB) was reported to elevate sanitizer efficacy. Hence, MBs combined with disinfectants, chlorine dioxide (ClO2
[...] Read more.
Microbial contamination is the main safety concern of sprouts and seeds are the major source. High concentrations of sanitizers (>10,000 mg/kg) are recommended for effective sanitation. Microbubble (MB) was reported to elevate sanitizer efficacy. Hence, MBs combined with disinfectants, chlorine dioxide (ClO2, 500 ppm), and slightly acidic electrolyzed water (SAEW, 250 ppm), were used to inactivate Salmonella Typhimurium on alfalfa seeds. After fulfilling MBs for 10 min, alfalfa seeds were washed in 10 L of water for 10, 20, or 30 min. Compared with untreated seeds, S. Typhimurium reductions obtained by SAEW-MBs (SMBs) and ClO2-MBs (CMBs) for 20 min were 3.8 and 3.3 log CFU/g, respectively. Conversely, the 20 min treatments of SAEW and ClO2 only obtained reductions of 0.9 and 1.1 log CFU/g, respectively. More surface ruptures on the seeds treated with CMBs were observed under a scanning electron microscope compared with the ones treated by water and ClO2 only. No adverse effects on the seed germination rate and the weight yield of sprouts were observed when treated with CMBs for 20 min. An MB device with capacity of 100 L was assembled and achieved reductions of 3.9 and 3.2 log CFU/g of natural microbes and S. Typhimurium, respectively, after 20 min CMB washing. Additionally, an MB device at 250 L was assembled and achieved 3.0 log CFU/g reduction in natural microbes. This study demonstrated that MBs enhanced the efficacy of disinfectants and could be applied in industrial-scale operations.
Full article

Graphical abstract
Open AccessArticle
Germination Potential of Six Native Plant Species for Phytoremediation of Hydrocarbon Contaminated Peat Soils
by
Mahdiyeh Safaripour-Chafi, Amalesh Dhar, Sarah R. Wilkinson and M. Anne Naeth
Seeds 2025, 4(4), 50; https://doi.org/10.3390/seeds4040050 - 24 Oct 2025
Abstract
►▼
Show Figures
Research on the remediation of hydrocarbon contaminated peatlands is limited; in particular, hydrocarbon effects on seed germination is critical for effective reclamation. This study examined germination responses of six wetland plant species under greenhouse and laboratory conditions. Seeds were exposed to hydrocarbon-contaminated peat
[...] Read more.
Research on the remediation of hydrocarbon contaminated peatlands is limited; in particular, hydrocarbon effects on seed germination is critical for effective reclamation. This study examined germination responses of six wetland plant species under greenhouse and laboratory conditions. Seeds were exposed to hydrocarbon-contaminated peat soil and ground water under two light treatments (light, total darkness) for four weeks. Species specific responses in seed germination and germination velocity occurred under different light conditions and exposure to hydrocarbon-contaminated peat soil and water. Light significantly impacted germination, while hydrocarbon-contaminated peat soil and water had no effect. Glyceria grandis (83.5%) and Scirpus microcarpus (74%) had significantly higher germination rates even in contaminated treatments than Carex aquatilis (28%) and Typha latifolia (38%), which had modest germination. Modified Timson’s Index (germination velocity) was significantly greater in Scirpus microcarpus (21.90) and Glyceria grandis (19.20) than in other species after 30 days. Carex utriculata and Scirpus validus had ≤0.5% germination and ≤0.2 velocity. The overall species mean germination time was >9 days with a low (≤0.7) germination index. Ordination using several germination variables separated some species. These findings suggest Scirpus microcarpus and Glyceria grandis have high tolerance to hydrocarbon contamination and may be effective candidates for the phytoremediation and restoration of contaminated peatlands.
Full article

Figure 1
Open AccessReview
Omics for Improving Seed Quality and Yield
by
Jake Cummane, William J. W. Thomas, Maria Lee, Mohammad Sayari, David Edwards, Jacqueline Batley and Aria Dolatabadian
Seeds 2025, 4(4), 49; https://doi.org/10.3390/seeds4040049 - 24 Oct 2025
Abstract
Seed-related traits such as seed size, germination, vigour, dormancy, biochemical composition, and stress resistance are critical to ensuring agricultural productivity and global food security, particularly in current scenarios of climate change and environmental unpredictability. This review examines the transformative potential of omics technologies,
[...] Read more.
Seed-related traits such as seed size, germination, vigour, dormancy, biochemical composition, and stress resistance are critical to ensuring agricultural productivity and global food security, particularly in current scenarios of climate change and environmental unpredictability. This review examines the transformative potential of omics technologies, encompassing genomics, transcriptomics, proteomics, metabolomics, epigenomics, and phenomics, in enhancing our understanding of seed biology and its applications in crop improvement. Genomics and transcriptomics are key technologies in future plant breeding and gene editing to optimise seed yield and quality. We reviewed the role of metabolomic approaches in uncovering the molecular mechanisms behind seed germination, vigour, dormancy, and the proteomic advances to elucidate markers of seed quality, combining these omic technologies to decipher DOG1 as a marker of dormancy. Both biotic and abiotic stress resistance in seeds were reviewed from a multi-omics perspective to determine the best avenues for improving the resilience of seeds against drought, salinity and pathogens. Moreover, omics approaches have been reviewed to optimise plant–microbe interactions, particularly in enhancing symbiotic relationships within the soil microbiome.
Full article
(This article belongs to the Special Issue Progress in Multi-omics and Bioinformatics Approaches: Seed Microbiome and Metagenome)
►▼
Show Figures

Figure 1
Open AccessArticle
Mutation in the LONGIFOLIA1 Gene Resulted in Suppressed Insensitivity of Arabidopsis thaliana proteolysis6 Mutant to Ethylene During Seed Germination
by
Xu Wang, Ying Luo, Yuan Cao, Yujin Gong, Francoise Corbineau and Yong Xiang
Seeds 2025, 4(4), 48; https://doi.org/10.3390/seeds4040048 - 30 Sep 2025
Abstract
►▼
Show Figures
Seed dormancy and germination is regulated by internal hormones and exogenous environment cues. Ethylene is one of the hormones that break seed dormancy and induce seed germination. Our previous study showed that N-degron pathway gene, proteolysis6 (PRT6) was involved in dormancy
[...] Read more.
Seed dormancy and germination is regulated by internal hormones and exogenous environment cues. Ethylene is one of the hormones that break seed dormancy and induce seed germination. Our previous study showed that N-degron pathway gene, proteolysis6 (PRT6) was involved in dormancy release by ethylene, the defection of which exhibiting ethylene-insensitivity in Arabidopsis thaliana. In the present study, through screening an ethyl methyl sulfonate-mutagenized (EMS) population of prt6−1, we isolated a recessive mutant that acted as a suppressor of prt6 that rescued its insensitivity to ethylene as well as a phenotype of shorter silique length. Further bulk segregant analysis on F2 population identified a premature termination located in the third exon of LONGIFOLIA1 (LNG1), previously reported in the regulation of longitudinal cell elongation. Mutation of LNG1 in prt6−1 background by CRISPR-Cas9 confirmed that LNG1 was epistatic to PRT6 in seed responsiveness to ethylene. Our finding proposed the pleiotropic effect of LNG1 in seed dormancy breakage by ethylene via PRT6, providing novel functional component at the downstream of the coordinated PRT6 and ethylene signaling pathway.
Full article

Figure 1
Open AccessArticle
Seed Nanopriming Improves Jalapeño Pepper Seedling Quality for Transplantation
by
Erick H. Ochoa-Chaparro, Juan J. Patiño-Cruz, Julio C. Anchondo-Páez, Alan Alvarez-Monge, Cristina L. Franco-Lagos and Esteban Sánchez
Seeds 2025, 4(3), 47; https://doi.org/10.3390/seeds4030047 - 22 Sep 2025
Abstract
►▼
Show Figures
Nanopriming with metal nanoparticles (NPs) is a promising strategy for improving seedling quality in horticultural crops. This study evaluated the effects of hydropriming, ZnO, SiO2, ZnO + SiO2, a ZnMo nanofertilizer, and two commercial biostimulants (Osmoplant and Codasil) on
[...] Read more.
Nanopriming with metal nanoparticles (NPs) is a promising strategy for improving seedling quality in horticultural crops. This study evaluated the effects of hydropriming, ZnO, SiO2, ZnO + SiO2, a ZnMo nanofertilizer, and two commercial biostimulants (Osmoplant and Codasil) on the early development of Capsicum annuum L. seedlings. Morphological, physiological, and biochemical traits, including biomass, stem architecture, number of leaves, chlorophylls, carotenoids, SPAD index, and nitrate reductase (NR) activity, were measured under controlled conditions. The ZnO and ZnO + SiO2 treatments promoted stronger root growth, higher pigment content, and higher NR activity. SiO2 alone and ZnMo showed intermediate improvements, while Osmoplant and Codasil had more limited effects. Multivariate analyses provided complementary information: heat maps revealed correlations between traits, PCA differentiated treatment responses, and radar charts integrated performance profiles. Overall, the results provide promising evidence that seed nanopriming, particularly with ZnO and ZnO + SiO2, improves seedling vigor and transplant potential in jalapeño peppers.
Full article

Figure 1
Open AccessArticle
UVB Stress Induced Changes in Germination and Carbohydrate Mobilization in Chenopodium Quinoa Willd. Seeds
by
Marco Carli, Lorenzo Guglielminetti and Thais Huarancca Reyes
Seeds 2025, 4(3), 46; https://doi.org/10.3390/seeds4030046 - 16 Sep 2025
Abstract
►▼
Show Figures
Chenopodium quinoa Willd. (quinoa) is a very promising crop due to its nutraceutical properties and strong tolerance to extreme conditions, including high UVB. However, the physiological mechanisms underlying its adaptation to high UVB are still unclear, especially during germination as its traditional sowing
[...] Read more.
Chenopodium quinoa Willd. (quinoa) is a very promising crop due to its nutraceutical properties and strong tolerance to extreme conditions, including high UVB. However, the physiological mechanisms underlying its adaptation to high UVB are still unclear, especially during germination as its traditional sowing consists of either broadcasting or continuous stream distribution in furrows. We evaluated the response of germinating quinoa seeds to acute UVB radiation, looking at the mobilization of starch reserves as well as the utilization of starch and free sugars. Biometric and physiological traits were evaluated in control (0 W m−2) and UVB (3.4 W m−2)-exposed seeds during a 24 h treatment starting with seed imbibition. Quinoa exposed to UVB showed a delay in germination and strong reduction in root elongation. Although the negative effect of UVB on germination was fully recovered at 48 h of imbibition, that on root elongation was irreversible, especially with a longer exposure time. Further analysis showed low differences in the concentration of free sugars, except at 2 and 24 h of treatment. Furthermore, starch mobilization in UVB-treated seeds was strongly reduced compared to control. This was associated with the amylolytic activity analysis, which showed strong reductions in both α- and β-amylase activities during the whole treatment, indicating that UVB strongly reduced enzyme activation for the mobilization and use of starch reserves. Overall, these data suggest that quinoa seeds can regulate the expression of genes encoding enzymes involved in reserve mobilization, in order to resist to acute UVB radiation and maintain seed viability.
Full article

Figure 1
Highly Accessed Articles
Latest Books
E-Mail Alert
News
Topics
Topic in
Agriculture, Agronomy, Horticulturae, Plants, Foods, Water, Sustainability, Seeds
Innovative Strategies for Enhancing Plant Tolerance to Abiotic and Biotic Stresses and Ensuring Food Safety in Changing Climates
Topic Editors: José Ramón Acosta-Motos, Sara Álvarez, María del Rosario Álvarez Morales, María José Clemente-Moreno, María del Rosario Conesa-Saura, Juan de Dios Franco-Navarro, María José Gómez-Bellot, Isabel M. Martínez Alcalá, Victor Meseguer SánchezDeadline: 30 March 2026
Conferences
Special Issues
Special Issue in
Seeds
Seed Germination Techniques in Halophyte Plants
Guest Editors: José Antonio Hernández Cortés, Pedro Diaz-Vivancos, Gregorio Barba-EspínDeadline: 31 December 2025
Special Issue in
Seeds
Progress in Multi-omics and Bioinformatics Approaches: Seed Microbiome and Metagenome
Guest Editors: Aria Dolatabadian, Mohammad SayariDeadline: 31 January 2026
Special Issue in
Seeds
Community Seed Banks
Guest Editor: Alba Cuena LombrañaDeadline: 28 February 2026
Special Issue in
Seeds
Technological Advances in Seed Quality
Guest Editors: José Ramón Acosta-Motos, Tathiana Elisa MasettoDeadline: 31 July 2026



