Seed Rate and Row Spacing Effects on Yield and Quality of Sorghum Maturity Groups Under Central European Conditions
Abstract
1. Introduction
2. Materials and Methods
2.1. Description of the Studied Areas
2.2. Experimental Design and Treatments
2.3. Experimental Plots Management
2.4. Harvesting and Data Collection
2.5. Data Analysis
3. Results
3.1. Growing Conditions
3.2. Yield and Harvest Moisture Content
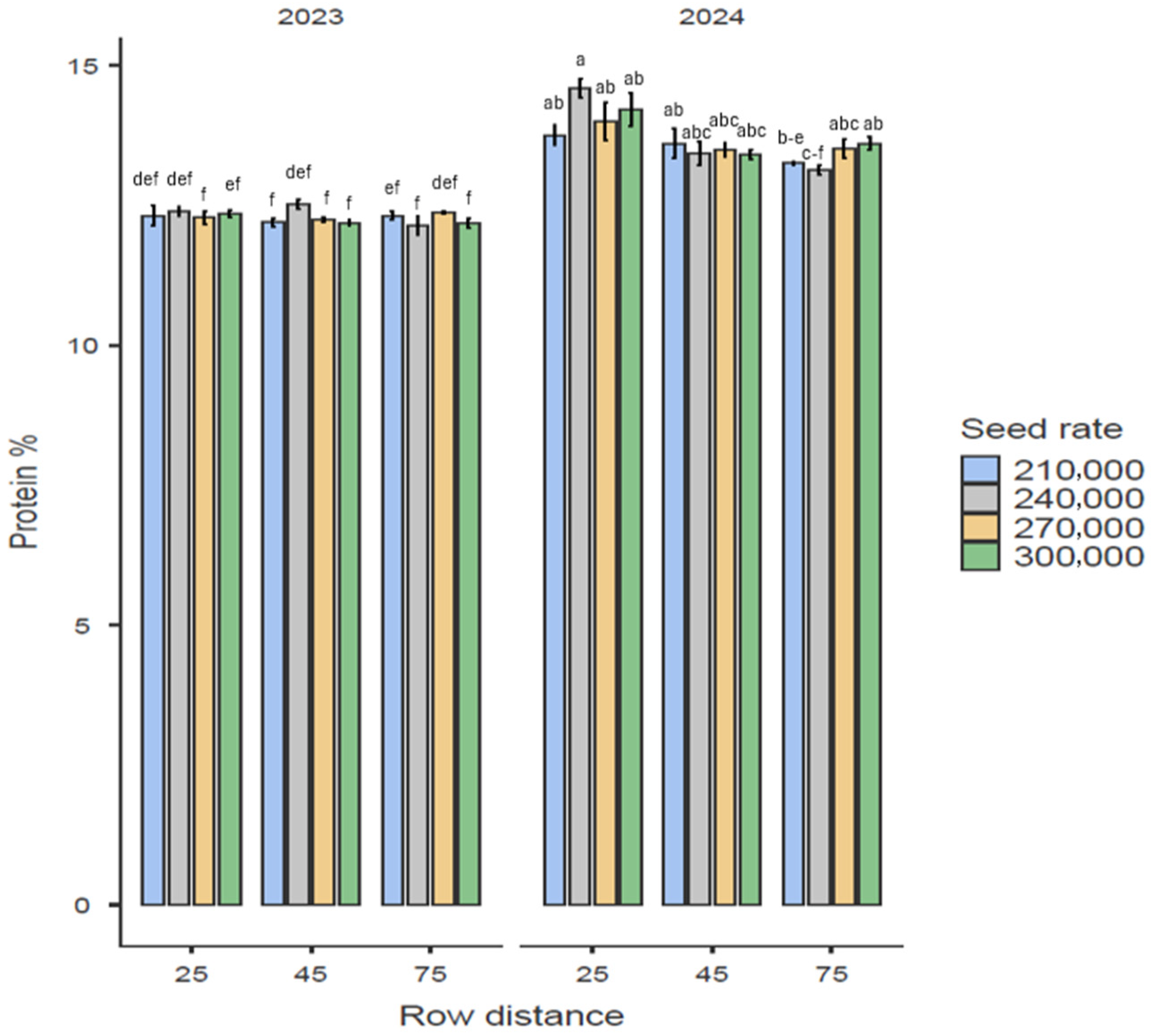
3.3. Hectoliter Weight and Protein Content
3.4. Protein Yield and Thousand Kernel Weight
3.5. Plant Height and Panicle Length
3.6. Tillering and Panicle Density
4. Discussion
5. Conclusions
Supplementary Materials
Author Contributions
Funding
Data Availability Statement
Acknowledgments
Conflicts of Interest
Abbreviations
| CV | Coefficient of Variation |
| LSD | Least Significant Difference |
| RCBD | Randomized complete block design |
| TKW | Thousand kernel weights |
| H1–5 | Research hypotheses |
References
- Haarhoff, S.J.; Swanepoel, P.A. Plant population and row spacing affects growth and yield of rainfed maize in semi-arid environments. Front. Plant Sci. 2022, 13, 761121. [Google Scholar] [CrossRef]
- Lin, G.; Yang, G.; Chen, L.; Zhou, J.; Wu, Q. Optimal planting density increases the seed yield by improving biomass accumulation and regulating the canopy structure in rapeseed. Plants 2024, 13, 1986. [Google Scholar] [CrossRef]
- Rozhkov, A.; Touitou, M.; Karpuk, L.; Sviridova, L.; Shevchenko, M.; Ogurtsov, E.; Romanova, T.; Bragin, O.; Kutsegub, G. The influence of seed sowing norms rate and row spacing on the yield of sorghum grain grown at eastern forest-steppe of Ukraine. Int. J. Postharvest Technol. Innov. 2020, 1, 237–255. [Google Scholar] [CrossRef]
- Kovalenko, M.O.; Zhatova, H.O. Yield of sorghum depends on sowing rates in the north-eastern forest steppe of Ukraine. Bull. Sumy Natl. Agrar. Univ. Ser. Agron. Biol. 2024, 55, 86–93. [Google Scholar] [CrossRef]
- Norwood, C.A. Planting date, hybrid maturity, and plant population effects on soil water depletion, water use, and yield of dryland corn. Agron. J. 2001, 93, 1034–1042. [Google Scholar] [CrossRef]
- Blumenthal, J.M.; Lyon, D.J.; Stroup, W.W. Optimal plant density and nitrogen fertility for dryland corn in western Nebraska. Agron. J. 2003, 95, 878–883. [Google Scholar] [CrossRef]
- Stanger, T.F.; Lauer, J.G. Optimum plant density of Bt and non-Bt corn in Wisconsin. Agron. J. 2006, 98, 914–921. [Google Scholar] [CrossRef]
- Noland, R.; Dowdy, M.; Harris, G. Maize Row Spacing and Seeding Rate Informed by Space-Per-Plant Geometry. Agronomy 2025, 15, 374. [Google Scholar] [CrossRef]
- Hussain, M.; Rafique, N.; Kaousar, R.; Haq, S.I.U.; Shan, C.; Wang, G.; Lan, Y. Optimizing Seed Rate and Herbicide Doses with or Without Adjuvant for Weed Control and Its Influence on Yield of Winter Wheat. Pol. J. Environ. Stud. 2025, 34, 127–138. [Google Scholar] [CrossRef]
- Choudhary, V.K.; Sahu, M.P.; Dubey, R.P.; Singh, R.; Mishra, J.S. Assessment of seed rate and weed management practice on weed control, crop productivity and profitability of dry direct-seeded rice. J. Agric. Food Res. 2025, 5, 102110. [Google Scholar] [CrossRef]
- Widderick, M.; Shabbir, A.; Harvey, G.; Heuke, L.; Walsh, M.; McKiernan, A. Manipulating sorghum agronomy to suppress summer grass weeds. In Proceedings of the 20th Australian Agronomy Conference-Empire Theatre, Toowoomba, Australia, 18–22 September 2022. [Google Scholar]
- Hussain, M.; Khan, M.B.; Mehmood, Z.; Zia, A.B.; Jabran, K.; Farooq, M. Optimizing row spacing in wheat cultivars differing in tillering and stature for higher productivity. Arch. Agron. Soil Sci. 2013, 59, 1457–1470. [Google Scholar] [CrossRef]
- Frantová, N.; Porčová, L.; Jovanović, I.; Elzner, P.; Cerkal, R.; Rábek, M. Spacing strategies for enhancing drought resilience and yield in maize agriculture. Open Agric. 2024, 9, 20220329. [Google Scholar] [CrossRef]
- Brant, V.; Zábranský, P.; Škeříková, M.; Pivec, J.; Kroulík, M.; Procházka, L. Effect of row width on splash erosion and throughfall in silage maize crops. Soil Water Res. 2017, 12, 39–50. [Google Scholar] [CrossRef]
- Xie, Y.; Liu, C.; Tang, J.; Li, S. Soybean yield in response to soil erosion under different dry and wet conditions. Int. Soil Water Conserv. Res. 2025, 13, 234–245. [Google Scholar] [CrossRef]
- Sharratt, B.S.; McWilliams, D.A. Microclimatic and rooting characteristics of narrow-row versus conventional-row corn. Agron. J. 2005, 97, 1129–1135. [Google Scholar] [CrossRef]
- Singh, M.; Thapa, R.; Singh, N.; Mirsky, S.B.; Acharya, B.S.; Jhala, A.J. Does narrow row spacing suppress weeds and increase yields in corn and soybean? A meta-analysis. Weed Sci. 2023, 71, 520–535. [Google Scholar] [CrossRef]
- Durrington, G.; Saddigh, J.; Brider, J.; Hammer, G.; Wu, A. Enhancing sorghum yield and risk management via optimizing crop design. Silico Plants 2025, 7, diaf006. [Google Scholar] [CrossRef]
- Köstereli, G.; Turgut, İ. Effects of Irrigation Level, Plant Density and Nitrogen Doses on Grain Yield and Yield Parameters of Sweet Sorghum (Sorghum bicolor L. Moench var. saccharatum). Turk. J. Field Crops 2025, 30, 76–87. [Google Scholar] [CrossRef]
- Mejía Álvarez, C.A.; Rotili, D.H.; D’Andrea, K.E.; Ciampitti, I.A.; Abeledo, L.G.; Maddonni, G.Á. Tillering and nitrogen economy of low-density maize crops. Field Crops Res. 2024, 309, 109310. [Google Scholar] [CrossRef]
- Veenstra, R.L.; Hefley, T.J.; Berning, D.; Messina, C.D.; Haag, L.A.; Prasad, P.V.V.; Ciampitti, I.A. Predicting corn tiller development in restrictive environments can be achieved to enhance defensive management decision tools for producers. Front. Plant Sci. 2023, 14, 1223961. [Google Scholar] [CrossRef]
- Shen, D.; Wang, K.; Zhou, L.; Fang, L.; Wang, Z.; Fu, J.; Zhang, T.; Liang, Z.; Xie, R.; Ming, B.; et al. Increasing planting density and optimizing irrigation to improve maize yield and water-use efficiency in Northeast China. Agronomy 2024, 14, 400. [Google Scholar] [CrossRef]
- Alieksieiev, Y.V. Productivity of Grain Sorghum Hybrid Prime Depending on the Nutrition Area in the Conditions of the Northern Steppe of Ukraine. Podilian Bull. Agric. Eng. Econ. 2020, 1, 9–15. Available online: http://pb.pdatu.edu.ua/article/view/239486 (accessed on 17 November 2025).
- Kolozsvári, I.; Kun, Á.; Jancsó, M.; Palágyi, A.; Bozán, C.; Gyuricza, C. Agronomic performance of grain sorghum (Sorghum bicolor (L.) Moench) cultivars under intensive fish farm effluent irrigation. Agronomy 2022, 12, 1185. [Google Scholar] [CrossRef]
- Mekasha, A.; Min, D.; Bascom, N.; Vipham, J. Seeding rate effects on forage productivity and nutritive value of sorghum. Agron. J. 2021, 113, 4132–4143. [Google Scholar] [CrossRef]
- Thapa, S.; Stewart, B.A.; Xue, Q.; Chen, Y. Manipulating plant geometry to improve microclimate, grain yield, and harvest index in grain sorghum. PLoS ONE 2017, 12, e0173511. [Google Scholar] [CrossRef] [PubMed]
- Tang, L.; Song, J.; Cui, Y.; Fan, H.; Wang, J. Research progress on a wide and narrow row cropping system for crops: Optimizing row spacing to enhance light interception, air circulation, and resource utilization efficiency. Agronomy 2025, 15, 248. [Google Scholar] [CrossRef]
- Licht, M.A.; Parvej, M.R.; Wright, E.E. Corn yield response to row spacing and plant population in Iowa. Crop Forage Turfgrass Manag. 2019, 5, 1–7. [Google Scholar] [CrossRef]
- Michéli, E.; Csorba, A.; Szegi, T.; Dobos, E.; Fuchs, M. The soil types of the modernized, diagnostic based Hungarian Soil Classification System and their correlation with the World Reference Base for Soil Resources. Hung. Geogr. Bull. 2019, 68, 109–117. [Google Scholar] [CrossRef]
- Várallyay, G.Y.; Szűcs, L.; Murányi, A.; Rajkai, K.; Zilahy, P. Map of Soil Factors Determining the Agro-Ecological Potential of Hungary. II. Agrokémia és Talajt. 1980, 29, 35–76. [Google Scholar]
- Kocsis, K. (Ed.) National Atlas of Hungary—Natural Environment; MTA CSFK Geographical Institute: Budapest, Hungary, 2018; p. 183. ISBN 978-963-9545-56-4. [Google Scholar]
- ISO/IEC 17025:2017; General Requirements for the Competence of Testing and Calibration Laboratories. International Organization for Standardization (ISO): Geneva, Switzerland, 2017.
- MSZ EN ISO/IEC 17025:2018; General Requirements for the Competence of Testing and Calibration Laboratories. Hungarian Standards Institution: Budapest, Hungary, 2018.
- MSZ 08-0206/2:1978; Determination of the pH of Soil. Hungarian Standards Institution: Budapest, Hungary, 1978. (In Hungarian)
- MSZ 08-0210:1977; Testing Organic Carbon Content in Soils. Hungarian Standards Institution: Budapest, Hungary, 1977. (In Hungarian)
- MSZ 08-0458:1980; Determination of Total Nitrogen Content in Soils. Hungarian Standards Institution: Budapest, Hungary, 1980. (In Hungarian)
- MSZ 20135:1999; Determination of the Soluble Nutrient Element Content of the Soil. Hungarian Standards Institution: Budapest, Hungary, 1999. (In Hungarian)
- IUSS Working Group WRB. World Reference Base for Soil Resources, 4th ed.; International Union of Soil Sciences: Vienna, Austria, 2022; Available online: https://wrb.isric.org/files/WRB_fourth_edition_2022-12-18.pdf (accessed on 26 October 2025).
- Food and Agriculture Organization (FAO). Guidelines for Soil Description; FAO: Rome, Italy, 1988; Available online: https://www.fao.org/4/a0541e/a0541e.pdf (accessed on 26 October 2025).
- Thomas, G.W. Soil pH and Soil Acidity. In Methods of Soil Analysis, Part 3; Sparks, D.L., Ed.; ASA/SSSA: Madison, WI, USA, 1996; pp. 475–490. [Google Scholar]
- Walkley, A.; Black, I.A. An Examination of the Degtjareff Method for Determining Soil Organic Matter and a Proposed Modification of the Chromic Acid Titration Method. Soil Sci. 1934, 37, 29–38. [Google Scholar] [CrossRef]
- Bremner, J.M.; Mulvaney, C.S. Nitrogen-Total. In Methods of Soil Analysis, Part 2; Page, A.L., Ed.; ASA/SSSA: Madison, WI, USA, 1982; pp. 595–624. [Google Scholar]
- Gee, G.W.; Bauder, J.W. Particle-Size Analysis. In Methods of Soil Analysis, Part 1; Klute, A., Ed.; ASA/SSSA: Madison, WI, USA, 1986; pp. 383–411. [Google Scholar]
- United States Department of Agriculture (USDA). Soil Survey Manual, Handbook 18; USDA: Washington, DC, USA, 2017. Available online: https://www.nrcs.usda.gov/sites/default/files/2022-09/The-Soil-Survey-Manual.pdf (accessed on 26 October 2025).
- Hoshmand, R. Design of Experiments for Agriculture and the Natural Sciences, 2nd ed.; Routledge: Boca Raton, FL, USA, 2020. [Google Scholar]
- Dong, X.; Zhao, H.; Sun, J.; Zhou, H.; Lan, J.; Pu, X.; Feng, Z.; Zhang, Q.; Shi, L.; Liu, Y.; et al. Border row effects improved the spatial distributions of maize and peanut roots in an intercropping system, associated with improved yield. Front. Plant Sci. 2024, 15, 1414844. [Google Scholar] [CrossRef]
- ARVALIS. Variétés et Interventions Sorgho—Synthèse Nationale 2024–2025; ARVALIS: Paris, France, 2025; Available online: https://www.arvalis.fr/sites/default/files/medias/pdf/2025-02/Choisir_Sorgho_synthese_nationale_2024_2025.pdf (accessed on 26 October 2025).
- RAGT Vetőmag Kft. Catalogue. RAGT Hungary. 2025. Available online: https://ragt.hu/katalogus/ (accessed on 26 October 2025).
- Kaczmarek, S. A study on Sorghum bicolor (L.) Moench response to split application of herbicides. J. Plant Prot. Res. 2017, 57, 152–157. [Google Scholar] [CrossRef]
- Besançon, T.E.; Riar, R.; Heiniger, R.W.; Weisz, R.; Everman, W.J. Rate and timing effects of growth regulating herbicides applications on grain sorghum (Sorghum bicolor) growth and yield. Adv. Agric. 2016, 2016, 9302507. [Google Scholar] [CrossRef]
- Amini, A.; Nabizada, N.S.Q.; Noori, M.S. Effects of integrated nitrogen and weed management on growth and grain yield of sorghum hybrid CS-200. J. Agric. 2024, 7, 201–211. [Google Scholar] [CrossRef]
- Pannacci, E.; Bartolini, S. Evaluation of chemical weed control strategies in biomass sorghum. J. Plant Prot. Res. 2018, 58, 404–412. [Google Scholar] [CrossRef]
- Bararpour, T.; Hale, R.R.; Kaur, G.; Singh, B.; Tseng, T.-M.P.; Wilkerson, T.H.; Willett, C.D. Weed management programs in grain sorghum (Sorghum bicolor). Agriculture 2019, 9, 182. [Google Scholar] [CrossRef]
- Gao, F.-C.; Yan, H.-D.; Gao, Y.; Huang, Y.; Li, M.; Song, G.-L.; Ren, Y.-M.; Li, J.-H.; Jiang, Y.-X.; Tang, Y.-J.; et al. Interpretation of genotype-environment-sowing date/plant density interaction in sorghum [Sorghum bicolor (L.) Moench] in early mature regions of China. Front. Plant Sci. 2022, 13, 1008198. [Google Scholar] [CrossRef]
- Borrell, A.K.; Mullet, J.E.; George-Jaeggli, B.; van Oosterom, E.J.; Hammer, G.L.; Klein, P.E.; Jordan, D.R. Drought adaptation of stay-green sorghum is associated with canopy development, leaf anatomy, root growth, and water uptake. J. Exp. Bot. 2014, 65, 6251–6263. [Google Scholar] [CrossRef] [PubMed]
- Hacisalihoglu, G.; Armstrong, P.R.; Mendoza, P.T.D.; Seabourn, B.W. Compositional analysis in sorghum (Sorghum bicolor) NIR spectral techniques based on mean spectra from single seeds. Front. Plant Sci. 2022, 13, 995328. [Google Scholar] [CrossRef]
- Boyles, R.E.; Cooper, E.A.; Myers, M.T.; Brenton, Z.; Rauh, B.L.; Morris, G.P.; Kresovich, S. Genome-wide association studies of grain yield components in diverse sorghum germplasm. Plant Genome 2016, 9, plantgenome2015-09. [Google Scholar] [CrossRef]
- Piepho, H.P.; Mohring, J.; Melchinger, A.E.; Buchse, A. BLUP for phenotypic selection in plant breeding and variety testing. Euphytica 2008, 161, 209–228. [Google Scholar] [CrossRef]
- Piepho, H.-P.; Möhring, J. A mixed modelling approach for randomized experiments with repeated measures. J. Agron. Crop Sci. 2004, 190, 230–247. [Google Scholar] [CrossRef]
- Bänziger, M.; Setimela, P.S.; Hodson, D.; Vivek, B. Breeding for improved drought tolerance in maize adapted to southern Africa. Agric. Water Manag. 2006, 80, 212–224. [Google Scholar] [CrossRef]
- Hungarian Meteorological Service (Országos Meteorológiai Szolgálat, OMSZ). Győr—Climatic Characteristics (1991–2020 Average); OMSZ: Budapest, Hungary, 2023; Available online: https://www.met.hu/eghajlat/magyarorszag_eghajlata/varosok_jellemzoi/Gyor/ (accessed on 26 October 2025).
- Hatfield, J.L.; Prueger, J.H. Temperature extremes: Effect on plant growth and development. Weather Clim. Extrem. 2015, 10, 4–10. [Google Scholar] [CrossRef]
- Ciampitti, I.A.; Prasad, P.V.V.; Schlegel, A.J.; Haag, L. Genotype × Environment × Management Interactions: US Sorghum Cropping Systems. In Sorghum; Ciampitti, I.A., Prasad, P.V.V., Eds.; American Society of Agronomy, Crop Science Society of America, and Soil Science Society of America: Madison, WI, USA, 2019; pp. 277–296. [Google Scholar] [CrossRef]
- Prasad, P.V.V.; Djanaguiraman, M.; Perumal, R.; Ciampitti, I.A. Impact of high temperature stress on floret fertility and individual grain weight of grain sorghum: Sensitive stages and thresholds for temperature and duration. Front. Plant Sci. 2015, 6, 820. [Google Scholar] [CrossRef] [PubMed]
- Trnka, M.; Rötter, R.P.; Ruiz-Ramos, M.; Kersebaum, K.C.; Olesen, J.E.; Žalud, Z.; Semenov, M.A. Adverse weather conditions for European wheat production will become more frequent with climate change. Nat. Clim. Chang. 2014, 4, 637–643. [Google Scholar] [CrossRef]
- Srivastava, A.K.; Riaz, A.; Jiang, J.; Li, X.; Uzair, M.; Mishra, P.; Zeb, A.; Zhang, J.; Singh, R.P.; Luo, L.; et al. Advancing climate-resilient sorghum: The synergistic role of plant biotechnology and microbial interactions. Rice 2025, 18, 41. [Google Scholar] [CrossRef]
- Opoku, E.; Sahu, P.P.; Findurová, H.; Holub, P.; Urban, O.; Klem, K. Differential physiological and production responses of C3 and C4 crops to climate factor interactions. Front. Plant Sci. 2024, 15, 1345462. [Google Scholar] [CrossRef]
- Zahra, N.; Hafeez, M.B.; Ghaffar, A.; Kausar, A.; Al Zeidi, M.; Siddique, K.H.M.; Farooq, M. Plant photosynthesis under heat stress: Effects and management. Environ. Exp. Bot. 2022, 201, 105178. [Google Scholar] [CrossRef]
- Rodriguez, D.; Serafin, L.; de Voil, P.; Mumford, M.; Zhao, D.; Aisthorpe, D.; Auer, J.; Broad, I.; Eyre, J.; Hellyer, M. Agronomic adaptations to heat stress: Sowing summer crops earlier. Field Crops Res. 2024, 314, 109592. [Google Scholar] [CrossRef]
- Lobell, D.B.; Gourdji, S.M. The influence of climate change on global crop productivity. Plant Physiol. 2012, 160, 1686–1697. [Google Scholar] [CrossRef]
- Rekowski, A.; Wimmer, M.A.; Tahmasebi, S.; Dier, M.; Kalmbach, S.; Hitzmann, B.; Zörb, C. Drought stress during anthesis alters grain protein composition and improves bread quality in field-grown Iranian and German wheat genotypes. Appl. Sci. 2021, 11, 9782. [Google Scholar] [CrossRef]
- Shi, J.; Ding, Z.; Ge, X.; Qiu, X.; Xu, J.; Xiao, L.; Liu, L.; Tang, L.; Cao, W.; Zhu, Y.; et al. Compound extreme heat and drought stress alter the spatial gradients of protein and starch in wheat grains. Agric. Water Manag. 2024, 322, 109049. [Google Scholar] [CrossRef]
- Porfirio, M.D.; Neres, M.A.; Fuhr, C.A.; Silva, T.H.; da Guimarães, I.C.d.S.B. Effects of row spacing and planting density of forage sorghum on dry matter yield, morphologic parameters, nutritive value, and predicted milk yield of dairy cows. Res. Soc. Dev. 2021, 10, e36101119374. [Google Scholar] [CrossRef]
- Singh, M.; Paulsen, M.R.; Tian, L.F.; Yao, H. Site-specific study of corn protein, oil, and extractable starch variability using NIT spectroscopy. Appl. Eng. Agric. 2005, 21, 239–251. [Google Scholar] [CrossRef]
- Frantová, N.; Rábek, M.; Porčová, L.; Jovanović, I.; Širůček, P.; Lukas, V.; Hájek, J.; Elzner, P.; Holková, L.; Smutná, P.; et al. Monitoring drought tolerance mechanisms of sorghum and maize under unevenly distributed precipitation. Int. J. Plant Prod. 2024, 18, 49–67. [Google Scholar] [CrossRef]
- Khokhar, Y.; Indu, I.; Ahmed, S.; Rana, M.; Singh, M.; Singh, S.; Dikshit, N.; Chand, S.; Singhal, R.K. Seedling growth responses of fodder sorghum [Sorghum bicolor (L.) Moench] genotypes under drought stress. Discov. Plants 2025, 2, 147. [Google Scholar] [CrossRef]
- Fuksa, P.; Hrevušová, Z.; Szabó, O.; Hakl, J. Effect of row spacing and plant density on silage maize growth, dry matter distribution and yield. Agronomy 2023, 13, 1117. [Google Scholar] [CrossRef]
- Bernhard, B.J.; Below, F.E. Plant population and row spacing effects on corn: Plant growth, phenology, and grain yield. Agron. J. 2020, 112, 1861–1870. [Google Scholar] [CrossRef]
- Dinberu, A.; Mengasha, M. Effect of inter- and intra-row spacing on growth, yield and yield components of sorghum (Sorghum bicolor (L.) Moench) at Assosa District, Western Ethiopia. Am. J. Plant Biol. 2023, 8, 20–24. [Google Scholar] [CrossRef]
- Herrera, D.M.; Peixoto, W.M.; Abreu, J.G.d.; Reis, R.H.P.d.; Cabral, C.E.A.; Barros, L.V.d.; Klein, V.A.C.; Passos, E.F.d. Sorghum Densification with Changes in Plant Spacing Arrangement: Productivity and Qualitative Characteristics of Silage Material. Agronomy 2024, 14, 358. [Google Scholar] [CrossRef]
- Andrade, F.H.; Calviño, P.; Cirilo, A.; Barbieri, P. Yield responses to narrow rows depend on increased radiation interception. Agron. J. 2002, 94, 975–980. [Google Scholar] [CrossRef]
- Dos Santos, T.M.; Lima, P.; Rodrigues, M. Growth analysis of grazing sorghum hybrids at row spacing. Res. Soc. Dev. 2023, 12, e14712742713. [Google Scholar] [CrossRef]
- Berenguer, M.J.; Faci, J.M. Sorghum (Sorghum bicolor L. Moench) yield compensation processes under different plant densities and variable water supply. Eur. J. Agron. 2001, 15, 43–55. [Google Scholar] [CrossRef]
- Fernandez, C.J.; Fromme, D.D.; Grichar, W.J. Grain Sorghum Response to Row Spacing and Plant Populations in the Texas Coastal Bend Region. Int. J. Agron. 2012, 2012, 238634. [Google Scholar] [CrossRef]
- Nieman, C.C.; Gonzalez, F.; Patel, S. Inconsistent yield response of forage sorghum to tillage and row arrangement. Agronomy 2024, 14, 1510. [Google Scholar] [CrossRef]
- Gondal, M.R.; Hussain, A.; Yasin, S.; Musa, M.; Rehman, H.S. Effect of seed rate and row spacing on grain yield of sorghum. SAARC J. Agric. 2018, 15, 81–91. [Google Scholar] [CrossRef][Green Version]
- Liu, X.; Wang, W.; Lin, X.; Gu, S.; Wang, D. The effects of intraspecific competition and light transmission within the canopy on wheat yield in a wide-precision planting pattern. J. Integr. Agric. 2020, 19, 1577–1585. [Google Scholar] [CrossRef]
- Gao, J.; Li, W.; Xu, H. Combination of high plant density and wide-narrow row planting enhances yield and nitrogen accumulation in waxy sorghum. J. Plant Nutr. Fertil. 2024, 30, 2342–2353. [Google Scholar] [CrossRef]
- Davydenko, S.; Rozhkov, A.; Karpuk, L.; Popov, S.; Mykhailyn, V. Elements of plant productivity and biological yield capacity of grain sorghum hybrids depending on the inter-row width and seed sowing rate. Sci. Horiz. 2022, 25, 55–64. [Google Scholar] [CrossRef]
- Benson, I.; Lofton, J.; Rice, J.; Cannon, B. The impact of planting density and intermediate skips on grain sorghum yields. Crops 2025, 5, 25. [Google Scholar] [CrossRef]
- Garba, I.I.; Fernandez, J.A.; Chen, Q.; Gho, C.; de Voil, P.; Cooper, M.; Chapman, S.C. Integrating yield gap analysis to capture genotype by environment by management interactions for Australian broadacre sorghum cropping systems. Field Crops Res. 2025, 326, 109858. [Google Scholar] [CrossRef]
- Yan, P.; Song, Y.-H.; Zhang, K.-Y.; Zhang, F.; Tang, Y.-J.; Zhao, X.-N.; Wang, N.; Ke, F.-L.; Gao, F.-J.; Li, J.-H.; et al. Interaction of genotype-ecological type-plant spacing configuration in sorghum (Sorghum bicolor (L.) Moench) in China. Front. Plant Sci. 2023, 13, 1076854. [Google Scholar] [CrossRef]
- Chibvongodze, M.K.; Gasura, E.; Kamutando, C.N.; Mabasa, S.; Makovere, B.; Nyakudya, E.; Nhamo, A.; Mtambanengwe, F.; Mapfumo, P. Potential traits for aiding selection for high grain yield based on trait association and path analysis in sorghum. J. Underutil. Crops Res. 2025, 4, 23. [Google Scholar] [CrossRef]
- Wang, R.; Wang, H.; Huang, S.; Zhao, Y.; Chen, E.; Li, F.; Qin, L.; Yang, Y.; Guan, Y.; Liu, B.; et al. Assessment of yield performances for grain sorghum varieties by AMMI and GGE biplot analyses. Front. Plant Sci. 2023, 14, 1261323. [Google Scholar] [CrossRef] [PubMed]
- De Bortoli, L.; Marsi, S.; Marinello, F.; Gallina, P. Cost-efficient algorithm for autonomous cultivators: Implementing template matching with field digital twins for precision agriculture. Comput. Electron. Agric. 2024, 227, 109509. [Google Scholar] [CrossRef]
















Disclaimer/Publisher’s Note: The statements, opinions and data contained in all publications are solely those of the individual author(s) and contributor(s) and not of MDPI and/or the editor(s). MDPI and/or the editor(s) disclaim responsibility for any injury to people or property resulting from any ideas, methods, instructions or products referred to in the content. |
© 2025 by the authors. Licensee MDPI, Basel, Switzerland. This article is an open access article distributed under the terms and conditions of the Creative Commons Attribution (CC BY) license (https://creativecommons.org/licenses/by/4.0/).
Share and Cite
Szemerits, B.; Kukorelli, G.; Kabato, W.S.; Molnár, Z. Seed Rate and Row Spacing Effects on Yield and Quality of Sorghum Maturity Groups Under Central European Conditions. Seeds 2025, 4, 61. https://doi.org/10.3390/seeds4040061
Szemerits B, Kukorelli G, Kabato WS, Molnár Z. Seed Rate and Row Spacing Effects on Yield and Quality of Sorghum Maturity Groups Under Central European Conditions. Seeds. 2025; 4(4):61. https://doi.org/10.3390/seeds4040061
Chicago/Turabian StyleSzemerits, Balázs, Gábor Kukorelli, Wogene Solomon Kabato, and Zoltán Molnár. 2025. "Seed Rate and Row Spacing Effects on Yield and Quality of Sorghum Maturity Groups Under Central European Conditions" Seeds 4, no. 4: 61. https://doi.org/10.3390/seeds4040061
APA StyleSzemerits, B., Kukorelli, G., Kabato, W. S., & Molnár, Z. (2025). Seed Rate and Row Spacing Effects on Yield and Quality of Sorghum Maturity Groups Under Central European Conditions. Seeds, 4(4), 61. https://doi.org/10.3390/seeds4040061

