Journal Description
Optics
Optics
is an international, peer-reviewed, open access journal on optics published bimonthly online by MDPI.
- Open Access— free for readers, with article processing charges (APC) paid by authors or their institutions.
- High Visibility: indexed within ESCI (Web of Science), Scopus, EBSCO, and other databases.
- Rapid Publication: manuscripts are peer-reviewed and a first decision is provided to authors approximately 22.1 days after submission; acceptance to publication is undertaken in 6.6 days (median values for papers published in this journal in the second half of 2025).
- Recognition of Reviewers: APC discount vouchers, optional signed peer review, and reviewer names published annually in the journal.
Impact Factor:
1.6 (2024);
5-Year Impact Factor:
1.5 (2024)
Latest Articles
Periods of Energy Exchange Under the Mutual Effects of Four-Wave Mixing, Self-Phase Modulation and Cross-Phase Modulation
Optics 2026, 7(2), 27; https://doi.org/10.3390/opt7020027 - 8 Apr 2026
Abstract
In the present work a new regime of periodical energy exchange between pump, signal and idler waves, under the influence of the process of four-wave mixing (FWM), with additional consideration of the effects of self-phase modulation (SPM) and cross-phase modulation (XPM), is presented.
[...] Read more.
In the present work a new regime of periodical energy exchange between pump, signal and idler waves, under the influence of the process of four-wave mixing (FWM), with additional consideration of the effects of self-phase modulation (SPM) and cross-phase modulation (XPM), is presented. In our previous papers a theoretical model which successfully describes the amplification and periodic energy exchange between the three optical waves in CW regime of laser source propagation (short-cut equations) was developed. Exact analytical solutions, describing the periodic changes in the intensities of pump, signal and idler waves, were found and expressed by the Jacobi elliptic functions. The period of the energy exchange between the waves can be presented by elliptic integral of the first kind. In the current research, the periods of energy exchange between the pump, signal and idler waves in the process of FWM, additionally taking into account the effects of SPM and XPM, are investigated. A comparison between the obtained results has been made. It is shown that the effects of self-phase modulation and cross-phase modulation increase the period of energy exchange.
Full article
(This article belongs to the Section Nonlinear Optics)
►
Show Figures
Open AccessArticle
An SVM-Based High-Precision Reconstruction Algorithm for High-Power Laser Beam Spots with Large Divergence Angles
by
Wenrong Mo, Bin Li, Jianxin Wang, Cai Wen, Youlin Wang and Awais Tabassum
Optics 2026, 7(2), 26; https://doi.org/10.3390/opt7020026 - 7 Apr 2026
Abstract
►▼
Show Figures
Lasers are a key enabling technology across numerous engineering and scientific fields, especially in high-energy laser systems for defense, materials processing, and fusion research, where precise characterization of high-power, large-divergence-angle laser spots is critical. However, the inherent properties of high-power, large-divergence-angle lasers—such as
[...] Read more.
Lasers are a key enabling technology across numerous engineering and scientific fields, especially in high-energy laser systems for defense, materials processing, and fusion research, where precise characterization of high-power, large-divergence-angle laser spots is critical. However, the inherent properties of high-power, large-divergence-angle lasers—such as large spot area and strong intensity contrast—pose real obstacles to existing methods, which often suffer from low accuracy and inefficiency. In this paper, a flat-field correction technique was proposed for the CCD to reduce the distortions produced by the non-uniform response of the sensor in spot measurements. Then, a spot recognition algorithm based on support vector machines was developed, which can effectively and accurately locate and identify laser spots with limited training samples and computational resources, achieving a classification accuracy of over 98.11%. Additionally, an efficient correction approach is proposed to assess the spot intensity and shape with high accuracy even at large tilt angles. Experimental results show that this proposed approach can measure the high-power laser spot with a large divergence angle precisely and efficiently, and improves both the measurement precision and operational efficiency remarkably.
Full article

Figure 1
Open AccessArticle
Compact Monolithic Star Tracker System
by
Kamil Zuber, Duncan Wright, Jebum Choi, Joni Sytsma and Colin Hall
Optics 2026, 7(2), 25; https://doi.org/10.3390/opt7020025 - 30 Mar 2026
Abstract
A compact, low-cost star tracker system tailored for small satellite applications was designed and prototyped. The system was designed with a fast f/1.2 aperture, a 20 × 13° field of view, and a theoretical angular resolution of 10 arcs—sufficient for the determination of
[...] Read more.
A compact, low-cost star tracker system tailored for small satellite applications was designed and prototyped. The system was designed with a fast f/1.2 aperture, a 20 × 13° field of view, and a theoretical angular resolution of 10 arcs—sufficient for the determination of attitude and orbit of a satellite. The optical design is based on a monolithic Maksutov–Cassegrain architecture, with lens assemblies fabricated from CR39 or PMMA to eliminate collimation requirements and improve vibration resistance. The lens was machined using Single-Point Diamond Turning to a precision better than λ/14. It was coated with a multilayer antireflective and highly reflective coatings applied via magnetron sputtering to reduce stray reflections and improve light throughput. The housing was produced using electron beam powder-bed fusion with Ti-64 alloy, while the use of commercial imaging sensors minimizes overall cost. Prototype testing confirmed to plate-solve star patterns with precision better than 27 arcs at 100 ms imaging time across all analysed images.
Full article
(This article belongs to the Section Engineering Optics)
►▼
Show Figures

Figure 1
Open AccessArticle
Broadband Antireflective Microstructures on Diamond Fabricated by Femtosecond Laser and Selective Wet Etching
by
Linbo He, Jing Cao, Wenhai Gao, Yang Liao, Yan Xue, Cong Chen, Ke Liu, Xupeng Yuan, Jijun Feng, Huiyu Chen and Yuxin Leng
Optics 2026, 7(2), 24; https://doi.org/10.3390/opt7020024 - 27 Mar 2026
Abstract
Diamond antireflection techniques are of high interest for optical windows operating at extreme conditions. Herein, diamond antireflective microstructures in mid-infrared (MIR) spectral range were theoretically designed and experimentally fabricated. Finite difference time domain (FDTD) simulations were used to optimize the transmission performance of
[...] Read more.
Diamond antireflection techniques are of high interest for optical windows operating at extreme conditions. Herein, diamond antireflective microstructures in mid-infrared (MIR) spectral range were theoretically designed and experimentally fabricated. Finite difference time domain (FDTD) simulations were used to optimize the transmission performance of the diamond microstructures. Based on the simulation results, the optimized microstructures were fabricated by femtosecond (fs) laser direct writing (1030 nm, 300 fs, 25 kHz) followed by wet etching. After wet etching, the laser-modified zones and the accumulated graphitized clusters were effectively removed, thereby achieving the desired depth. The influences of laser power and scanning strategy on the morphology evolution of diamond microstructures were investigated. It was found that at the optimal conditions, the transmittance of the diamond increased from 70.9% to 81.4% (single-side) over a broad spectrum from 8 to 22 μm. This work demonstrates a promising hybrid fs laser/wet etching technique for diamond antireflective microstructures in MIR spectral range.
Full article
(This article belongs to the Section Laser Sciences and Technology)
►▼
Show Figures

Graphical abstract
Open AccessArticle
Photomechanical Sensing from Spectral Shifts in Graphene-Doped Polydimethylsiloxane Reflection Gratings
by
Abigail Deaton, Hengzhou Liu and Nathan J. Dawson
Optics 2026, 7(2), 23; https://doi.org/10.3390/opt7020023 - 27 Mar 2026
Abstract
Polydimethylsiloxane (PDMS) films doped with graphene nanoplatelets (GNP) with an embossed surface-relief grating were investigated as photothermal actuated sensors. The films were initially characterized using controlled environmental heating where the wavelength of a diffracted white-light probe beam measured at a fixed angle increased
[...] Read more.
Polydimethylsiloxane (PDMS) films doped with graphene nanoplatelets (GNP) with an embossed surface-relief grating were investigated as photothermal actuated sensors. The films were initially characterized using controlled environmental heating where the wavelength of a diffracted white-light probe beam measured at a fixed angle increased monotonically with temperature due to thermal expansion of the grating. An asymmetric double sigmoidal function tracked the shift in peak diffraction wavelength. The observed thermal response is consistent with the thermal expansion of a freestanding PDMS composite film. When a continuous-wave (CW) laser was incident on the film, intensity-dependent photothermal expansion caused a transient deformation in the grating. The photomechanical behavior of the grating, tracked by the diffracted probe beam with a miniature spectrometer, was then shown to act as a laser power meter. These results demonstrate that photomechanical materials can be used as add-ons to existing optical spectroscopy devices for power-sensing applications.
Full article
(This article belongs to the Section Engineering Optics)
►▼
Show Figures

Graphical abstract
Open AccessArticle
Analytical-Numerical Modeling of Filling-Fraction-Dependent Plasmonic Coupling in Nanostructured Metasurfaces Under Kretschmann Configuration
by
Karan K. Singh, Guillermo E. Sánchez-Guerrero, Perla M. Viera-González, Carlos A. Fuentes-Hernandez, María T. Romero de la Cruz, Eduardo Martínez-Guerra, Rodolfo Cortés-Martínez and Edgar Martínez-Guerra
Optics 2026, 7(2), 22; https://doi.org/10.3390/opt7020022 - 24 Mar 2026
Abstract
Surface plasmon resonance (SPR) sensors based on nanostructured metasurfaces offer enhanced sensitivity through engineered electromagnetic responses. In this study, we present an analytical and numerical investigation of the plasmonic behavior of gold nanopillar (Au-NP) and nanohole (Au-NH) arrays under both p- and
[...] Read more.
Surface plasmon resonance (SPR) sensors based on nanostructured metasurfaces offer enhanced sensitivity through engineered electromagnetic responses. In this study, we present an analytical and numerical investigation of the plasmonic behavior of gold nanopillar (Au-NP) and nanohole (Au-NH) arrays under both p- and s-polarized illumination, employing the Effective Medium Theory (EMT) in combination with the Transfer Matrix Method (TMM). The study combines Effective Medium Theory (EMT) and the Transfer Matrix Method (TMM) to describe the macroscopic optical response of multilayer plasmonic systems. For p-polarization, the nanostructure geometry strongly modulates the real and imaginary parts of the effective permittivity, with nanoholes supporting stronger SPR coupling and reduced optical losses compared to nanopillars. Under s-polarization, the effective permittivity remains largely invariant, primarily driven by the filling fraction. The analysis reveals that polarization-dependent behavior arises from boundary-condition-mediated coupling mechanisms governing surface plasmon excitation, aligning with classical plasmonic theory. Benchmarking against analytical dispersion relations and published experimental data for Au/BK7 systems shows close agreement within ±2°, confirming the physical consistency of the EMT–TMM framework. These results provide a systematic description of how polarization and filling fraction jointly modulate SPR coupling. The results offer a foundation for the rational design of plasmonic coatings and SPR-supporting metasurfaces by elucidating macroscopic coupling trends; however, no quantitative sensor performance metrics, such as refractive index sensitivity or figure of merit, are evaluated in this work.
Full article
(This article belongs to the Topic Nanomaterials for Photonics and Optoelectronics: Practical Applications and Advances)
►▼
Show Figures

Figure 1
Open AccessArticle
First-Principles Study of Electronic, Optical, and Magnetic Properties of Fe-, Co-, and Ni-Doped MoS2 Monolayer
by
Soufyane Aqiqi, Elarbi Laghchim and C. A. Duque
Optics 2026, 7(2), 21; https://doi.org/10.3390/opt7020021 - 23 Mar 2026
Abstract
►▼
Show Figures
In this work, a comprehensive first-principles investigation of the electronic, magnetic, and optical properties of pristine and Fe-, Co-, and Ni-doped MoS2 monolayers is presented within the framework of density functional theory. Substitutional transition-metal doping at the Mo site is shown to
[...] Read more.
In this work, a comprehensive first-principles investigation of the electronic, magnetic, and optical properties of pristine and Fe-, Co-, and Ni-doped MoS2 monolayers is presented within the framework of density functional theory. Substitutional transition-metal doping at the Mo site is shown to induce spin-polarized impurity states within the pristine band gap, leading to significant modifications of the electronic structure, including metallic, semimetallic, or half-metallic behavior depending on the dopant species. The calculated spin-resolved band structures and projected density of states reveal a strong hybridization between the dopant orbitals and the Mo- /S- states, giving rise to sizable magnetic moments and dopant-dependent exchange splitting. When spin–orbit coupling is included, the combined effect of exchange interactions and relativistic effects leads to an effective valley splitting at the K and points, whose magnitude and sign depend sensitively on the chemical nature of the dopant. Optical properties are analyzed within a linear-response framework, showing pronounced dopant-induced modifications of the optical spectra. While the pristine monolayer exhibits well-defined excitonic features, transition-metal substitution introduces low-energy optical transitions associated with impurity-related states. Consequently, the exciton binding energies estimated from the difference between the electronic and optical gaps are interpreted as effective measures of dopant-induced perturbations to optical transitions, rather than as quantitative many-body excitonic binding energies in the strict sense. These results provide microscopic insight into the interplay between magnetism, spin–orbit coupling, and optical response in doped MoS2 monolayers, highlighting the potential of transition-metal substitution as a route to engineer spin- and valley-dependent phenomena in two-dimensional materials.
Full article

Figure 1
Open AccessArticle
Optical System Design of an Echelle Spectrometer Based on a Digital Micromirror Device
by
Jia Liu, Ruikai Zhang, Yangdong Zhou, Dewu Li, Yixin Wang and Lu Yin
Optics 2026, 7(2), 20; https://doi.org/10.3390/opt7020020 - 11 Mar 2026
Abstract
The echelle spectrometer utilizes an echelle grating as the primary dispersive element, combined with a prism or planar grating for cross-dispersion, to form a two-dimensional spectral image on an area-array Charge-Coupled Device (CCD). Compared with traditional spectrometers, this configuration provides superior spectral resolution,
[...] Read more.
The echelle spectrometer utilizes an echelle grating as the primary dispersive element, combined with a prism or planar grating for cross-dispersion, to form a two-dimensional spectral image on an area-array Charge-Coupled Device (CCD). Compared with traditional spectrometers, this configuration provides superior spectral resolution, broader wavelength coverage, enhanced transient direct-reading capability, and higher energy throughput within a similar footprint. However, the use of area-array detectors significantly increases system cost, limiting adoption in cost-sensitive applications. To reduce cost while maintaining performance, we introduce a digital micromirror device (DMD) as a spatial light modulator to replace the traditional area-array detector, paired with a highly sensitive photomultiplier tube (PMT) for signal acquisition. The designed system operates across a wavelength range of 270 to 800 nm within a compact footprint of approximately 307 mm × 210 mm × 150 mm. The focused spot is accurately positioned on the DMD surface across the entire band, with the root mean square (RMS) spot radius smaller than a single micromirror’s size. Spectral information is efficiently coupled into the PMT via a focusing mirror by selectively flipping the DMD micromirrors for detection.
Full article
(This article belongs to the Section Engineering Optics)
►▼
Show Figures

Figure 1
Open AccessArticle
Iron-Induced Optical Enhancement of Strontium Titanate for Antimicrobial and Photocatalytic Applications
by
Stefani Petrova, Kalina Ivanova, Iliana Ivanova and Albena Bachvarova-Nedelcheva
Optics 2026, 7(2), 19; https://doi.org/10.3390/opt7020019 - 9 Mar 2026
Abstract
►▼
Show Figures
In this study, sol–gel-synthesized nanoparticles were characterized by various physicochemical techniques, including scanning electron microscopy (SEM), X-ray powder diffraction (XRD), UV-Vis spectrophotometry, and thermogravimetric analysis (DTA/TG). The as-obtained powders were tested for their antimicrobial activity against the Gram-positive bacteria Staphylococcus aureus and Enterococcus
[...] Read more.
In this study, sol–gel-synthesized nanoparticles were characterized by various physicochemical techniques, including scanning electron microscopy (SEM), X-ray powder diffraction (XRD), UV-Vis spectrophotometry, and thermogravimetric analysis (DTA/TG). The as-obtained powders were tested for their antimicrobial activity against the Gram-positive bacteria Staphylococcus aureus and Enterococcus faecalis, as well as the fungal strains Candida albicans and Saccharomyces cerevisiae. Additionally, the photocatalytic performance of the samples was evaluated under simulated solar light. The results are promising for possible environmental applications. The antimicrobial assessment also revealed notable effects, with varying degrees of growth inhibition observed across the tested microorganisms. The main approach in this study consists of the combination of physicochemical characterization with antibacterial and photocatalytic evaluations, resulting in promising multifunctional materials.
Full article

Figure 1
Open AccessArticle
Geometric Correction for Line-Scan Imaging: A 1D Projective–Polar Mapping for Highly Reflective Cylindrical Surfaces
by
Jian Qiao, Junxi Zhu, Yuemei Huang, Xiaoqi Cheng, Jingwei Yang, Guojie Lu and Haishu Tan
Optics 2026, 7(2), 18; https://doi.org/10.3390/opt7020018 - 3 Mar 2026
Abstract
►▼
Show Figures
Optical inspection of highly reflective cylindrical components—such as stainless-steel vessels featuring both planar and curvilinear surfaces—presents significant challenges due to complex geometric distortions in single-pass imaging. This study proposes a line-scan imaging framework that integrates synchronized kinematic control with geometry-aware distortion correction. The
[...] Read more.
Optical inspection of highly reflective cylindrical components—such as stainless-steel vessels featuring both planar and curvilinear surfaces—presents significant challenges due to complex geometric distortions in single-pass imaging. This study proposes a line-scan imaging framework that integrates synchronized kinematic control with geometry-aware distortion correction. The system addresses shape deformations through three coordinated modules: (1) parametric synchronization between rotational motion and image acquisition ensures full-surface coverage; (2) scanline-specific 1D projective transformations correct perspective distortions on toroidal sidewalls; and (3) adaptive polar coordinate remapping restores radial symmetry on circular bases. Experimental results demonstrate subpixel-level geometric correction accuracy, validating the proposed framework’s effectiveness in eliminating geometric aberrations with low computational complexity and without reliance on data-driven training, while maintaining compatibility with defect detection and quantitative surface analysis of specular cylindrical specimens.
Full article

Figure 1
Open AccessArticle
Monitoring of Wool Stretching Process Using Polarized Second Harmonic Generation
by
Bing Zhou, Chao Wang, Xiaona Li, Liang Dong, Ran Wang and Rui Li
Optics 2026, 7(1), 17; https://doi.org/10.3390/opt7010017 - 13 Feb 2026
Abstract
►▼
Show Figures
Wool fibers undergo significant structural changes during industrial stretching, which directly impact their mechanical properties and textile performance, making monitoring of the stretching process essential for optimizing wool products. In this study, we demonstrate the effective use of polarized second harmonic generation (P-SHG)
[...] Read more.
Wool fibers undergo significant structural changes during industrial stretching, which directly impact their mechanical properties and textile performance, making monitoring of the stretching process essential for optimizing wool products. In this study, we demonstrate the effective use of polarized second harmonic generation (P-SHG) imaging for monitoring the wool fiber stretching process. P-SHG is highly sensitive to non-centrosymmetric structures, enabling clear observation of changes in α-keratin alignment and the reconstruction of cortical interfaces during stretching. Quantitative P-SHG analysis revealed a significant decrease in the effective pitch angle (θe) from 54° ± 1° to 33° ± 3° after stretching, confirming the dipole orientation changes in keratin molecules. These findings were further validated through additional characterization techniques, including scanning electron microscopy (SEM), polarizing optical microscopy (POM), X-ray diffraction (XRD), and Raman spectroscopy (RS). The results show that the industrial stretching process of wool alters the morphology at the surface scale, enhances the alignment of macroscopic fibers, and induces a transition from α-helix to β-sheet. Our technique is simple, effective, and capable of in situ monitoring of the structural changes in wool fibers, making it highly promising for applications in the wool industry.
Full article

Figure 1
Open AccessArticle
Power Flow of Electric Dipole Radiation Extinction in an Absorbing Host Medium
by
Henk F. Arnoldus
Optics 2026, 7(1), 16; https://doi.org/10.3390/opt7010016 - 12 Feb 2026
Abstract
►▼
Show Figures
We have studied the extinction power flow for a dipole in a laser beam, and embedded in a dissipating medium. The power flows along the field lines of the Poynting vector. We have shown that near the particle, the field lines form closed
[...] Read more.
We have studied the extinction power flow for a dipole in a laser beam, and embedded in a dissipating medium. The power flows along the field lines of the Poynting vector. We have shown that near the particle, the field lines form closed loops, which start and end at the location of the dipole. A closed-form expression for these loops has been derived, and we have shown how the orientation direction of a loop is determined by the permittivities and permeabilities of the host medium and the particle. It is also shown that the spatial extent of these loops is determined by singularities in the flow pattern. It is shown that the extent of the loop structure near the dipole diminishes strongly when there is dissipation in the medium. This is due to the appearance of singularities very close to the particle, which are due to the damping. At greater distances, flow lines run off to the far field or they come in from the far field. Most flow lines change from incoming to outgoing, or vice versa, so they turn around somewhere in the flow field. Singularities, points where the Poynting vector vanishes, appear on the coordinate axes. At these points, field lines split. Off the axes, singularities appear as the centers of vortices. Near a vortex, energy swirls around the singular point. Field lines can come out of the center of a vortex or end there.
Full article

Figure 1
Open AccessArticle
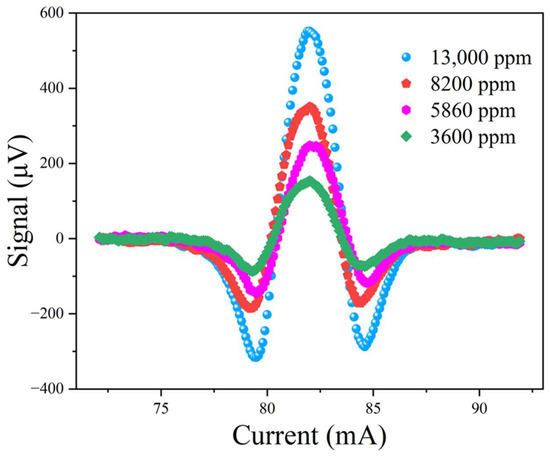
1D U-Net Enhanced QEPAS Sensor for Trace Water Vapor Detection
by
Huiming Xiao, Jiahui Wu, Haoyang Lin, Lihao Wang, Jianfeng He, Leqing Lin, Ruobin Zhuang, Guantian Hong, Jiabao Xie, Jianhui Yu, Wenguo Zhu, Yongchun Zhong, Zhigang Song and Huadan Zheng
Optics 2026, 7(1), 15; https://doi.org/10.3390/opt7010015 - 9 Feb 2026
Abstract
We report a deep learning-assisted quartz-enhanced photoacoustic spectroscopy (QEPAS) sensor for trace water vapor detection in air. A 1392 nm butterfly-packaged DFB laser is wavelength-modulated at f0/2, and the QEPAS signal is retrieved by second-harmonic (2f) lock-in demodulation using
[...] Read more.
We report a deep learning-assisted quartz-enhanced photoacoustic spectroscopy (QEPAS) sensor for trace water vapor detection in air. A 1392 nm butterfly-packaged DFB laser is wavelength-modulated at f0/2, and the QEPAS signal is retrieved by second-harmonic (2f) lock-in demodulation using a commercial quartz tuning fork gas cell. After optimizing the modulation depth to 400 mV, a 1D U-Net denoising network trained with pseudo-clean supervision is applied to the measured 2f traces, yielding an SNR improvement of 2.05× (3.11 dB). Allan deviation analysis indicates a minimum detection limit (MDL) of ~2.21 ppm at an optimum averaging time of ~619 s, corresponding to an ~2.1× improvement compared with the raw output. These results demonstrate that neural-network-based post-processing can improve QEPAS water vapor sensing performance without modifying the optical hardware.
Full article
(This article belongs to the Section Laser Sciences and Technology)
►▼
Show Figures

Figure 1
Open AccessArticle
Angle-Dependent Glare Behavior in LED Luminaires: A Unified cosm Model for Urban Observers
by
Juan de Dios Unión-Sánchez, Manuel Jesus Hermoso-Orzaez, Carmen Borrás-Rodríguez and Julio Terrados-Cepeda
Optics 2026, 7(1), 14; https://doi.org/10.3390/opt7010014 - 5 Feb 2026
Abstract
►▼
Show Figures
Glare is a critical factor in the design of LED luminaires for street lighting, particularly in environments where pedestrians, cyclists and drivers coexist. Generally, glare assessments are performed for fixed geometries and a single observer, limiting their applicability to real urban environments. This
[...] Read more.
Glare is a critical factor in the design of LED luminaires for street lighting, particularly in environments where pedestrians, cyclists and drivers coexist. Generally, glare assessments are performed for fixed geometries and a single observer, limiting their applicability to real urban environments. This study examines the effect of angular redistribution of the beam on glare and illuminance by introducing the relative angular parameter α into the photometric model and the UGR calculation. A generic LED luminaire is modelled using a cosine-type luminous intensity distribution raised to a power, and the emitting surface is also discretized to evaluate the luminance, solid angle and Guth position index at the patch level. This approach is applied to three distinct observer geometries—pedestrian, cyclist and driver—allowing direct comparison using a unified mathematical formulation. The results show that beam redistribution affects each observer differently, reducing glare for pedestrians while simultaneously increasing it for drivers, whereas cyclists show limited sensitivity to angular changes. Although relative illuminance and UGR show similar monotonic trends, their physical and perceptual interpretation is different. This paper presents a novel tool for the preliminary analysis of trade-offs between visual comfort and luminous efficiency in urban lighting design.
Full article

Figure 1
Open AccessArticle
Dynamic Optical Coherence Tomography Monitoring of Keloid Laser Treatment: A Single-Case Proof-of-Concept Study
by
Luca Guarino, Giovanni Cannarozzo, Luca Gargano, Elena Zappia, Alessandro Clementi, Mario Sannino, Giovanni Pellacani and Steven Paul Nisticò
Optics 2026, 7(1), 13; https://doi.org/10.3390/opt7010013 - 4 Feb 2026
Abstract
►▼
Show Figures
Background: Keloids are fibroproliferative scars with a prominent vascular component, and pulsed dye laser (PDL) is an established treatment, but objective imaging biomarkers of response are lacking. Objective: To evaluate whether dynamic optical coherence tomography (D-OCT) can provide quantitative, depth-resolved monitoring of keloid
[...] Read more.
Background: Keloids are fibroproliferative scars with a prominent vascular component, and pulsed dye laser (PDL) is an established treatment, but objective imaging biomarkers of response are lacking. Objective: To evaluate whether dynamic optical coherence tomography (D-OCT) can provide quantitative, depth-resolved monitoring of keloid vascular remodeling under PDL and to explore candidate metrics for hypothesis-generating assessment in future studies. Methods: We conducted a prospective single-case pilot, hypothesis-generating study of a thoracic keloid treated with three sessions of 595 nm PDL, acquiring D-OCT scans at baseline and approximately 30, 60, and 90 days over a standardized 4 × 4 mm region of interest at 0.15, 0.30, and 0.50 mm depths. Primary D-OCT metrics included vascular en-face area, vessel length density, junction density, and mean vessel caliber. Results: The superficial layer (0.15 mm) showed an almost complete collapse of vascular signal (area −88% vs. baseline), the intermediate layer at 0.30 mm exhibited a sustained ~39% reduction in vascular area with parallel decreases in length and caliber at stable branching, and the deep layer at 0.50 mm showed modest area changes with longer but thinner vessels. These depth-resolved changes were consistent with clinical improvement in Vancouver Scar Scale and POSAS scores. Conclusions: D-OCT yielded quantitative, clinically interpretable vascular metrics that align with the expected effects of PDL in this single patient. In this patient, the percentage reduction in vascular area at 0.30 mm by week 8 emerged as a candidate quantitative metric for response monitoring; thresholds in the order of ≥25% could be tested prospectively as hypothesis-generating cut-offs in future controlled and reliability-tested studies, but are not proposed here as validated clinical criteria.
Full article

Figure 1
Open AccessArticle
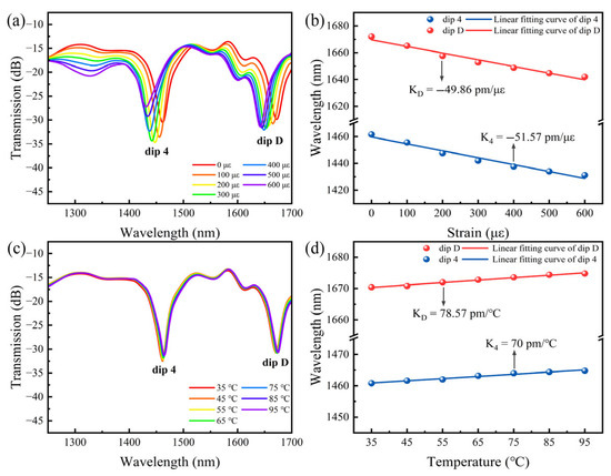
Composite Multi-Parameter Sensor Based on Misaligned Peanut-Shaped Structure for Measuring Strain and Temperature
by
Cheng Li, Bing Wu, Yu Zhang, Hang Zhu, Zhigang Gao, Jie Zhang, Linghao Kong, Xiaojun Cui, Guoyu Zhang and Feng Peng
Optics 2026, 7(1), 12; https://doi.org/10.3390/opt7010012 - 4 Feb 2026
Abstract
A composite fiber optic sensor based on a misaligned peanut-shaped structure and the single-mode fiber–multimode fiber–single-mode fiber (SMS) structure is proposed for simultaneous strain and temperature measurements. The misaligned peanut-shaped structure is formed by introducing a certain core-offset during fusion splicing. Through a
[...] Read more.
A composite fiber optic sensor based on a misaligned peanut-shaped structure and the single-mode fiber–multimode fiber–single-mode fiber (SMS) structure is proposed for simultaneous strain and temperature measurements. The misaligned peanut-shaped structure is formed by introducing a certain core-offset during fusion splicing. Through a simulation analysis of the sensor, the optical field distribution of the sensor structure under different offset amounts is obtained. The experimental results demonstrate that the sensor achieves a maximum strain sensitivity of −48.21 pm/µε with an offset of 35.61 µm under a strain range of 0–600 µε and a maximum temperature sensitivity of 124.29 pm/°C at a 24.35 µm offset with a temperature range of 35–95 °C. Meanwhile, the sensor with a 35.61 µm offset has two resonance peaks that are selected for simultaneous measurements, with strain sensitivities of −48.21 pm/µε and −47.04 pm/µε and temperature sensitivities of 75.71 pm/°C and 84.29 pm/°C, respectively. Therefore, the simultaneous measurement of the strain and temperature can be achieved through a matrix method, demonstrating that the sensor possesses a dual-parameter sensing capability for the strain and temperature.
Full article
(This article belongs to the Special Issue Optical Sensing and Optical Communication: Technologies, Systems, and Applications)
►▼
Show Figures

Figure 1
Open AccessArticle
Design of Double-Lattice Photonic Crystal of DUV Laser by ANN-RBF Neural Network
by
Bochao Zhang, Minyan Zhang, Lei Li, Jianglang Bie, Shuoyi Jiao, Zhuanzhuan Guo, Xinjie Cai and Bowen Hou
Optics 2026, 7(1), 11; https://doi.org/10.3390/opt7010011 - 2 Feb 2026
Abstract
In this study, a double-lattice photonic crystal structure was designed to achieve deep ultraviolet lasing without the use of any Distributed Bragg Reflector (DBR), which is called a photonic-crystal surface-emitting laser (PCSEL). The plane wave expansion (PWE) method was used to study the
[...] Read more.
In this study, a double-lattice photonic crystal structure was designed to achieve deep ultraviolet lasing without the use of any Distributed Bragg Reflector (DBR), which is called a photonic-crystal surface-emitting laser (PCSEL). The plane wave expansion (PWE) method was used to study the influence of various structural parameters on the resonant wavelength. Utilizing the random forest algorithm, we determined that the importance of the lattice constant to the resonant wavelength is 95.24%. Furthermore, we realized the reverse design of double-lattice photonic crystals from the target wavelength to optimal structural parameters through a radial basis function (RBF) network algorithm. Comparative analysis of the extreme learning machine (ELM) and back propagation (BP) algorithms demonstrated that RBF-based performance was notably superior to the training outcomes of other algorithms. The mean absolute error (MAE) of the lattice constant of the test set in the training results was 0.7610 nm, root mean square error (RMSE) was nm, and mean absolute relative error (MARE) was . We verified the reliability of the algorithm and designed 13 groups of photonic crystals with different epitaxial structures. The mean square error (MSE) was 0.6188 compared with that of the plane wave expansion method. This work demonstrates applicability across various wavebands and epitaxial structures in GaN-based devices, providing a novel approach for the rapid iteration of deep ultraviolet PCSELs.
Full article
(This article belongs to the Topic Nanomaterials for Photonics and Optoelectronics: Practical Applications and Advances)
►▼
Show Figures

Figure 1
Open AccessArticle
Extra-Virgin Olive Oil as a Natural Photosensitizer in Photodynamic Therapy Against MDR Candida spp.: In Vitro Study
by
Cinzia Casu, Antonia Sinesi, Andrea Butera, Sara Fais, Alessandro Chiesa, Andrea Scribante and Germano Orrù
Optics 2026, 7(1), 10; https://doi.org/10.3390/opt7010010 - 26 Jan 2026
Abstract
►▼
Show Figures
The growing prevalence of multidrug-resistant (MDR) Candida spp. necessitates the development of new antifungal strategies. Photodynamic therapy (PDT), already widely used in the treatment of various oral infections, is based on the synergistic interaction of three key elements: a photosensitizer capable of selectively
[...] Read more.
The growing prevalence of multidrug-resistant (MDR) Candida spp. necessitates the development of new antifungal strategies. Photodynamic therapy (PDT), already widely used in the treatment of various oral infections, is based on the synergistic interaction of three key elements: a photosensitizer capable of selectively binding to microbial cells, a light source with the appropriate wavelength, and the presence of molecular oxygen. This interaction results in the production of singlet oxygen and reactive oxygen species, responsible for the selective destruction of microorganisms. In recent years, numerous natural compounds have been explored as potential photosensitizers. Olive oil, a cornerstone of the Mediterranean diet, was recently recognized by the U.S. Food and Drug Administration as a medicinal substance thanks to its soothing, immunomodulatory, and antimicrobial properties, which have also been documented in regard to oral administration. Materials and Methods: The aim of this in vitro study was to evaluate the efficacy of activated olive oil as a novel photosensitizer in PDT against Candida species. Oral MDR clinical isolates of C. albicans, C. krusei, and C. glabrata were analyzed using the Kirby–Bauer method according to EUCAST protocols. Six different experimental conditions were considered for each strain: (i) 100 μL of extra-virgin olive oil (EVOO); (ii) 100 μL of EVOO pre-activated with 3% H2O2 (EVOO-H); (iii) 100 μL of EVOO irradiated for 5 min with polarized light (480–3400 nm, 25 W); (iv) 100 μL of EVOO-H subjected to the same polarized light; (v) 100 μL of EVOO irradiated for 5 min with a 660 nm diode laser (100 mW); and (vi) 100 μL of EVOO-H irradiated with the same laser. All plates were incubated at 37 °C for 48 h. Results: The results showed a variable response among the different Candida species. C. glabrata showed sensitivity to all experimental conditions, with a 50% increase in the diameter of the inhibition zone in the presence of polarized light. C. krusei showed no sensitivity under any of the conditions tested. C. albicans showed antifungal activity exclusively when EVOO-H was activated by light. In particular, activation of EVOO and EVOO-H with polarized light resulted in the largest inhibition zones. Conclusions: In conclusion, olive oil, both alone and pre-activated with hydrogen peroxide, can be considered an effective photosensitizer against drug-resistant Candida spp., especially when combined with polarized light.
Full article

Figure 1
Open AccessArticle
Propagation of Correlation Singularities of a Partially Coherent Field
by
Jinhyung Lee, Geunwoong Jeon, Byeongjun Yoon, Donghyun Kim, Hyeunwoo Kim and Sun-Myong Kim
Optics 2026, 7(1), 9; https://doi.org/10.3390/opt7010009 - 22 Jan 2026
Abstract
►▼
Show Figures
We investigate the structure of correlation singularities for the Laguerre–Gauss beam of order and in the transverse plane during the propagation of the beam in the beam-wander model. We explicitly derive analytical expressions for the cross-spectral density
[...] Read more.
We investigate the structure of correlation singularities for the Laguerre–Gauss beam of order and in the transverse plane during the propagation of the beam in the beam-wander model. We explicitly derive analytical expressions for the cross-spectral density of the corresponding beam order and the analytic expressions representing the singular behavior. We also verify that the singular points disappear at certain z values and reappear at other z values as shown in the previous numerical study. We investigate the dependence of the absolute value of the complex degree of coherence on the parameter of the beam-wander model during the propagation of the Laguerre–Gauss beam in the corresponding order. The complex degree of coherence depends not only on but also on the relative positions of two transverse observation points and , as well as on the propagation variable z for the fixed values of the beam waist and the wavelength of the Laguerre–Gauss beam. Experiments on can demonstrate the range of the applicability of the beam-wander model in the turbulent atmosphere. Finally, we examine the orbital angular momentum flux density of the beam and confirm that the general behaviors of the previous studies also hold for .
Full article

Figure 1
Open AccessArticle
Advanced Performance of Photoluminescent Organic Light-Emitting Diodes Enabled by Natural Dye Emitters Considering a Circular Economy Strategy
by
Vasyl G. Kravets, Vasyl Petruk, Serhii Kvaterniuk and Roman Petruk
Optics 2026, 7(1), 8; https://doi.org/10.3390/opt7010008 - 15 Jan 2026
Abstract
Organic optoelectronic devices receive appreciable attention due to their low cost, ecology, mechanical flexibility, band-gap engineering, brightness, and solution process ability over a broad area. In this study, we designed and studied organic light-emitting diodes (OLEDs) consisting of an assembly of natural dyes,
[...] Read more.
Organic optoelectronic devices receive appreciable attention due to their low cost, ecology, mechanical flexibility, band-gap engineering, brightness, and solution process ability over a broad area. In this study, we designed and studied organic light-emitting diodes (OLEDs) consisting of an assembly of natural dyes, extracted from noble fir leaves (evergreen) and blue hydrangea flowers mixed with poly-methyl methacrylate (PMMA) as light emitters. We experimentally demonstrate the effective conversion of blue light emitted by an inorganic laser/photodiode into longer-wavelength red and green tunable photoluminescence due to the excitation of natural dye–PMMA nanostructures. UV-visible absorption and photoluminescence spectroscopy, ellipsometry, and Fourier transform infrared methods, together with optical microscopy, were performed for confirming and characterizing the properties of light-emitting diodes based on natural dyes. We highlighted the optical and physical properties of two different natural dyes and demonstrated how such characteristics can be exploited to make efficient LED devices. A strong pure red emission with a narrow full-width at half maximum (FWHM) of 23 nm in the noble fir dye–PMMA layer and a green emission with a FWHM of 45 nm in blue hydrangea dye–PMMA layer were observed. It was revealed that adding monolayer MoS2 to the nanostructures can significantly enhance the photoluminescence of the natural dye due to a strong correlation between the emission bands of the inorganic–organic emitters and back mirror reflection of the excitation blue light from the monolayer. Based on the investigation of two natural dyes, we demonstrated viable pathways for scalable manufacturing of efficient hybrid OLEDs consisting of assembly of natural-dye polymers through low-cost, purely ecological, and convenient processes.
Full article
(This article belongs to the Section Engineering Optics)
►▼
Show Figures

Figure 1
Journal Menu
► ▼ Journal Menu-
- Optics Home
- Aims & Scope
- Editorial Board
- Reviewer Board
- Topical Advisory Panel
- Instructions for Authors
- Special Issues
- Topics
- Sections & Collections
- Article Processing Charge
- Indexing & Archiving
- Editor’s Choice Articles
- Most Cited & Viewed
- Journal Statistics
- Journal History
- Journal Awards
- Conferences
- Editorial Office
Journal Browser
► ▼ Journal BrowserHighly Accessed Articles
Latest Books
E-Mail Alert
News
Topics
Topic in
Electronics, Photonics, Sensors, Energies, Optics
Quantum Wireless Sensing
Topic Editors: Deepak Mishra, Chao Cai, Jie ZhangDeadline: 30 April 2026
Topic in
Applied Sciences, Optics, Sensors, Materials, Fibers, Photonics, Micromachines
Distributed Optical Fiber Sensors
Topic Editors: Jian Li, Hao Wu, Giancarlo C. Righini, Zhe Ma, Yahui WangDeadline: 30 June 2026
Topic in
Applied Sciences, Materials, Medicina, Optics, Photonics, Sci, Sensors, Micromachines
Optical and Laser Scanning: Systems and Applications
Topic Editors: Virgil-Florin Duma, Guillermo Garcia-ToralesDeadline: 5 March 2027
Topic in
Nanomaterials, Polymers, Photonics, Nanomanufacturing, Crystals, Applied Sciences, Optics
Nanomaterials for Photonics and Optoelectronics: Practical Applications and Advances
Topic Editors: Luciana R. P. Kassab, Raul Rangel-Rojo, Rafael Salas-MontielDeadline: 5 June 2027
Conferences
Special Issues
Special Issue in
Optics
Advances in Fiber Lasers: Design and Applications
Guest Editors: Hanbin Wang, Xinyang Su, Yanxiang ZhangDeadline: 20 May 2026
Special Issue in
Optics
Optical Sensing and Optical Communication: Technologies, Systems, and Applications
Guest Editors: Xizheng Ke, Feng PengDeadline: 30 June 2026
Special Issue in
Optics
Optical Sensors: Features and Applications
Guest Editor: Yousef FazeaDeadline: 31 July 2026
Special Issue in
Optics
Terahertz Optics: Sciences, Technologies and Applications
Guest Editors: Bing Jin, Yuping Zhang, Xianfang YueDeadline: 20 August 2026






