Link Transmission Characteristics of an Ultraviolet Network in a Mobile Scenario
Abstract
1. Introduction
2. Theoretical Basis
2.1. Channel Model
2.2. Modeling of UV Link Interference
2.3. Research Methodology
2.3.1. Parallel Link
2.3.2. Transmitter Co-Addressed Link
2.3.3. Receiver Co-Addressed Link
3. Simulation Analysis
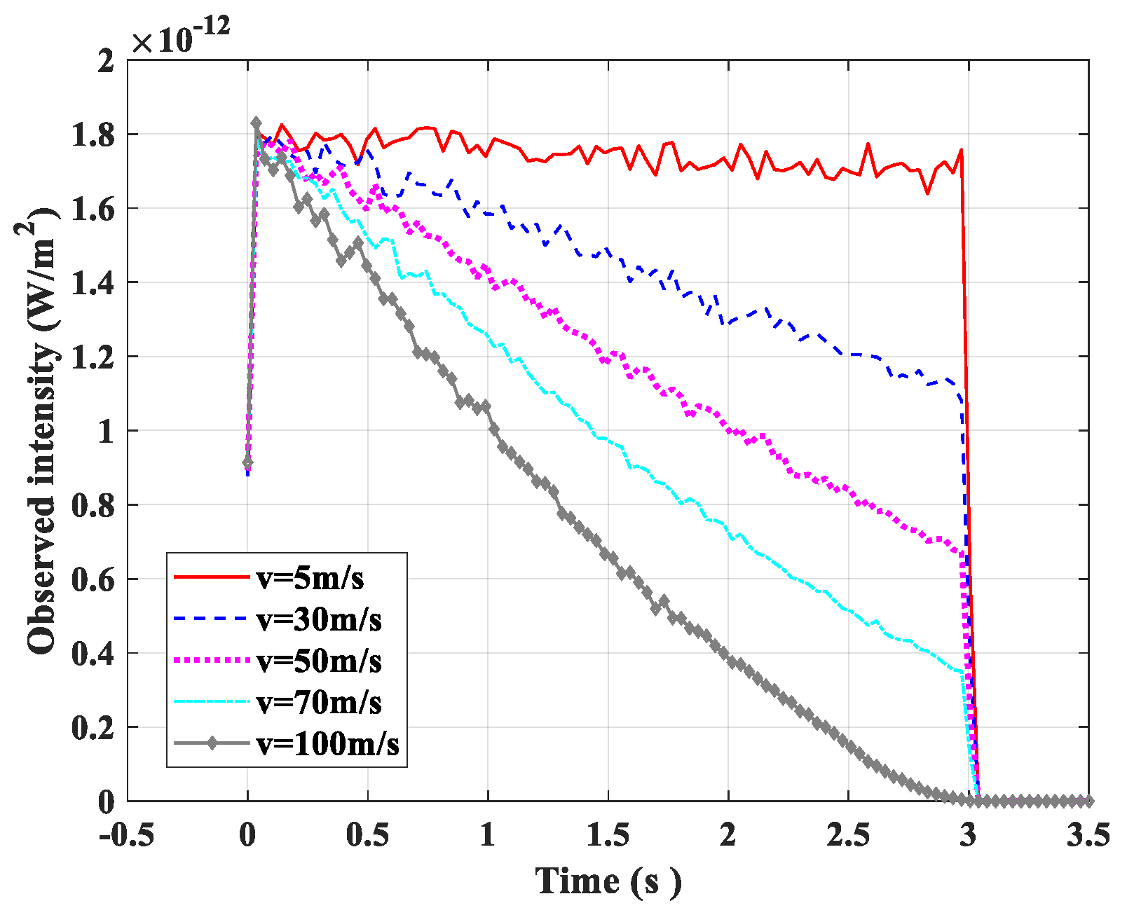
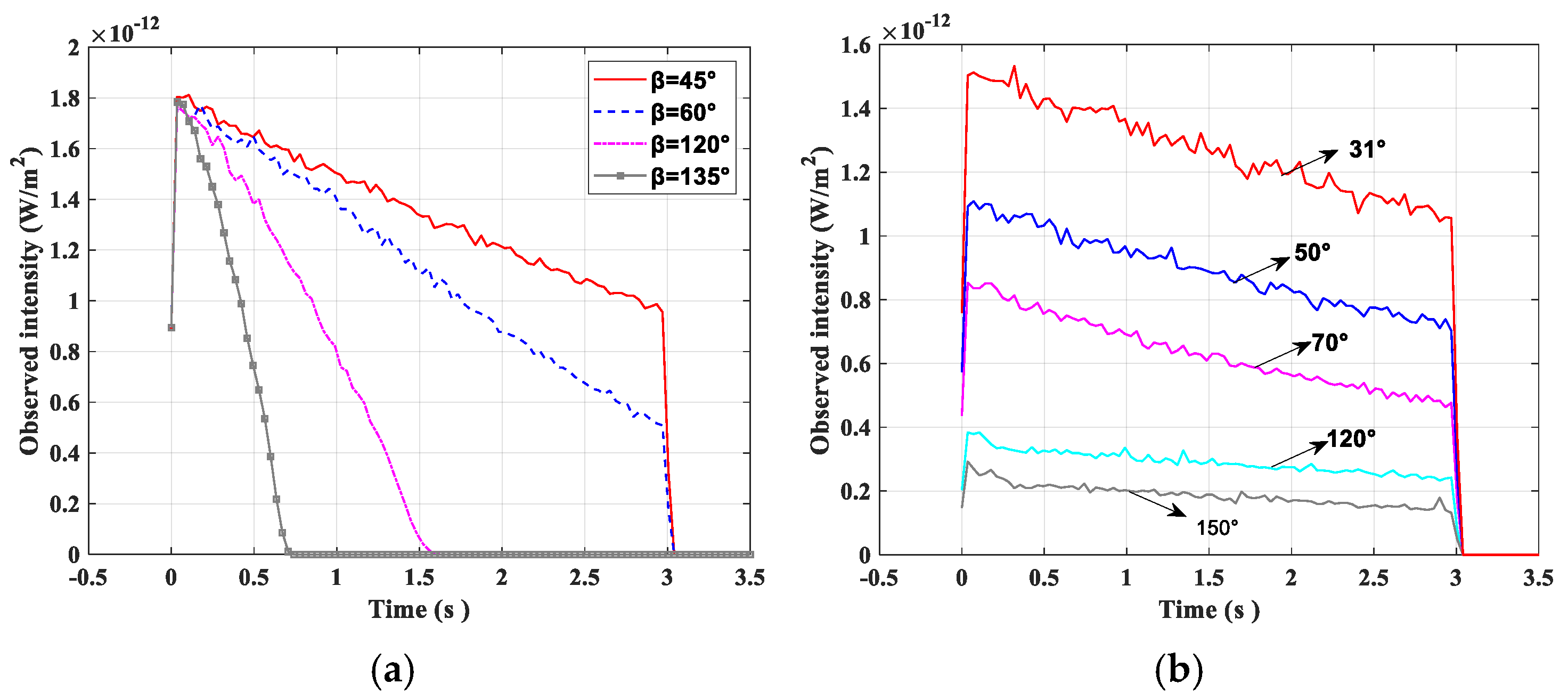
3.1. Effect of Node Movement Speed in Parallel Link Scenarios
3.2. Effect of Node Movement Speed in Co-Addressed Link Scenarios
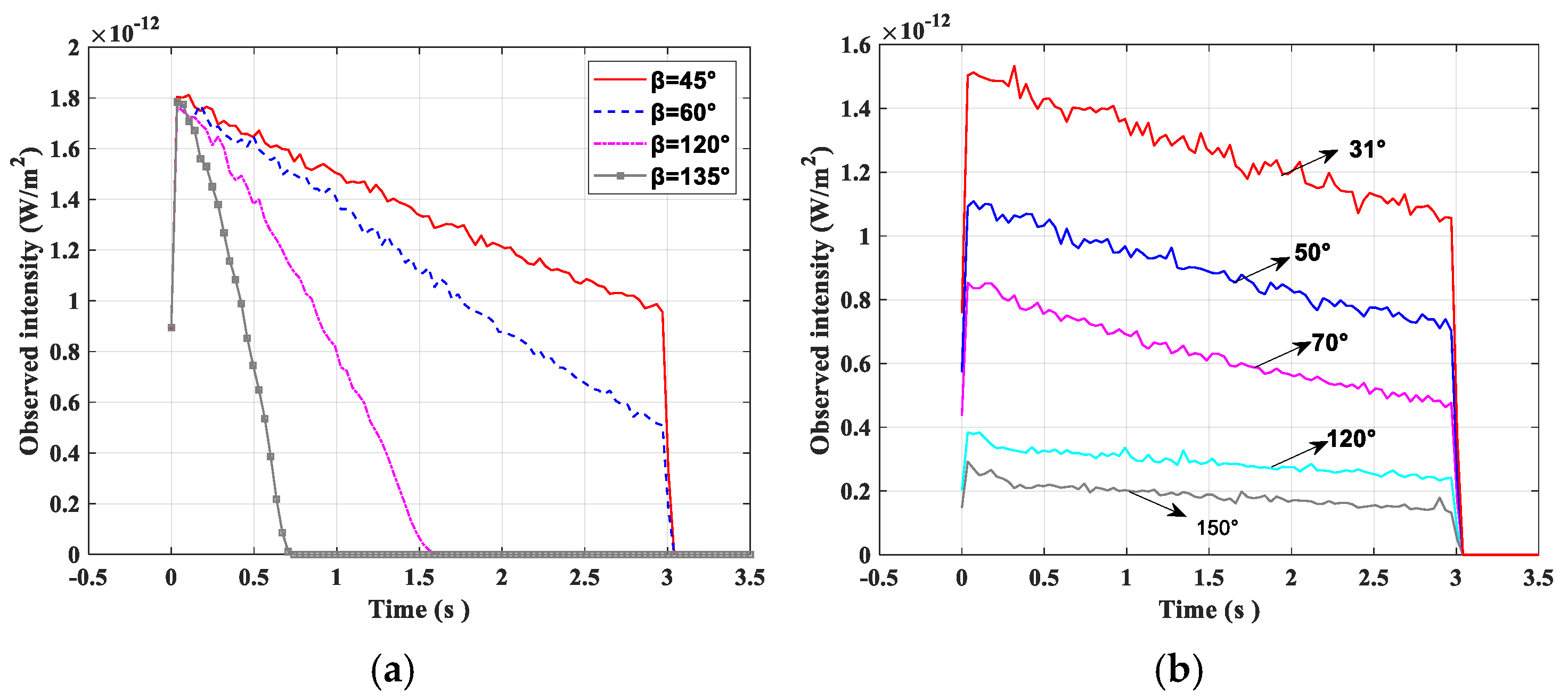
3.2.1. Transmitter Co-Addressed Link
3.2.2. Receiver Co-Addressed Link
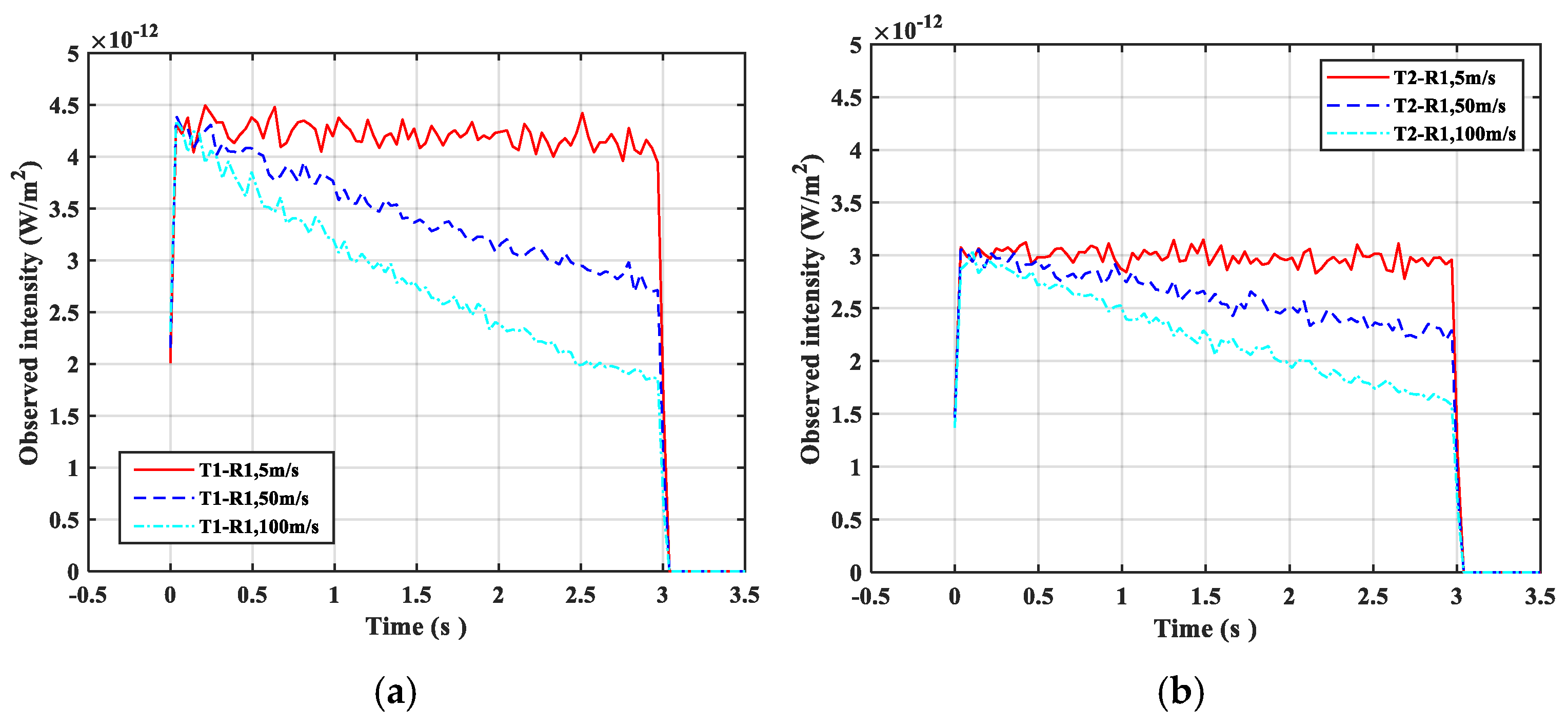
3.3. Inter-Link Interference Problem
4. Discussion
Author Contributions
Funding
Data Availability Statement
Conflicts of Interest
References
- Zhao, T.F.; Ke, X.Z. Research on technologies in solar blind ultraviolet Ad hoc network. Appl. Res. Comput. 2010, 27, 2204–2207. [Google Scholar]
- Drost, R.J.; Sadler, B.M. Survey of ultraviolet non-line-of-sight communications. Semicond. Sci. Technol. 2014, 29, 084006. [Google Scholar] [CrossRef]
- Yuan, R.; Ma, J. Review of Ultraviolet Non-Line-of-Sight Communication. China Commun. 2016, 13, 63–75. [Google Scholar] [CrossRef]
- Ke, X.Z.; He, H.; Chen, X. A new backoff algorithm of MAC layer in UV ad hoc communication network. J. Optoelectron. Laser 2010, 21, 1002–1006. [Google Scholar]
- Li, J.B.; Wu, X.J.; Wang, H.X.; Li, B.F.; Liu, C.H. Anti-Interference Relayed Link Method and Power Requirement Analysis for Ultraviolet Non-Line-of-Sight Communication. Laser Optoelectron. Prog. 2015, 52, 030601. [Google Scholar]
- Pan, Y.; Long, F.; Li, P.; Shi, H.; Shi, J.; Xiao, H.; Gong, C.; Xu, Z. Beacon-Enabled TDMA Ultraviolet Communication Network System Design and Realization; IEEE: Piscataway, NJ, USA, 2023. [Google Scholar]
- Zhao, T.F.; Ma, Q.W.; Zhao, Y. Research on Performance of Wireless Ultraviolet Communication Interference Link. Laser Optoelectron. Prog. 2023, 60, 433–439. [Google Scholar]
- Cao, T.; Chen, S.; Wu, T.; Pan, C.; Song, J. Single-scatter channel impulse response model of non-line-of-sight ultraviolet communications. arXiv 2022, arXiv:2209.00992. [Google Scholar]
- Chen, G.; Xu, Z.; Sadler, B.M. Experimental demonstration of ultraviolet pulse broadening in short-range non-line-of-sight communication channels. Opt. Express 2010, 18, 10500–10509. [Google Scholar] [CrossRef] [PubMed]
- Luo, Y.X. Study on the Characteristics of Propagation of Ultraviolet Communication System and Voice Communication Platform Building; Shanghai Institute of Technical Physics Chinese Academy of Sciences: Shanghai, China, 2014. [Google Scholar]
- Qian, R.X.; Zhao, S.H.; Liu, Y. Influence of pulse broadening on bit error rate of ultraviolet communication. Laser Infr Ared. 2015, 45, 559–563. [Google Scholar]
- Wang, H.Q.; Wang, Y.G.; Cao, M.; Ke, X. Influence of Atmospheric Visibility on Laser Pulse Delay and Broadening in Sand and Dust Weather. Acta Opt. Sin. 2015, 35, 17–24. [Google Scholar] [CrossRef]
- Zhao, T.F.; Duan, Y.Z.; Li, X.S.; Gong, C. Effect of Soot Aggregates on Light Scattering in Ultraviolet Communication Channels. Acta Opt. Sin. 2020, 40, 213–221. [Google Scholar] [CrossRef]
- Wu, T.; Yang, F.; Song, J.; Ma, J.; Su, P. Modeling of UV diffused-LOS communication channel incorporating obstacle and its applicability analysis. Opt. Lett. 2021, 46, 4578–4581. [Google Scholar] [CrossRef] [PubMed]
- Luo, T.; Zuo, Y.; Li, F.; Du, Z.; Song, X.; Wang, Y.; Hong, X.; Wu, J. Omnidirectional path loss model for non-line-of-sight ultraviolet communications. Opt. Express 2024, 32, 15. [Google Scholar] [CrossRef] [PubMed]
- Song, P.; Ji, H.; Geng, X.; Zhang, G.; Zhang, L. On-channel characteristics of wireless ultraviolet communication with mobile terminals. Opt. Lett. 2022, 47, 929–932. [Google Scholar] [CrossRef] [PubMed]
- Su, C.X.; Song, P.; Meng, C. The pulse broadening ranging method of wireless ultraviolet optical communication. Xi’an Polytech. Univ. 2019, 32, 161–167. [Google Scholar]
- Ding, H.P.; Xu, Z.Y.; Sadler, B.M. A path loss model for non-line-of-sight ultraviolet multiple scattering channels. EURASIP J. Wirel. Commun. Netw. 2010, 2010, 598572. [Google Scholar] [CrossRef]
- Ding, H.; Chen, G.; Majumdar, A.K.; Sadler, B.M.; Xu, Z. Modeling of non-line-of-sight ultraviolet scattering channels for communication. IEEE J. Sel. Areas Commun. 2009, 27, 250. [Google Scholar] [CrossRef]
- Weisman, M.; Dagefu, F.T.; Moore, T.J.; Arslan, C.H.; Drost, R.J. Analysis of the Low-Probability-of-Detection Characteristics of Ultraviolet Communications. Opt. Express 2020, 28, 23640–23651. [Google Scholar] [CrossRef] [PubMed]










| Simulation Parameter | Value |
|---|---|
| Number of emitted photons | 106 |
| Receiving aperture area | 0.5 cm2 |
| Wave length | 266 nm |
| Rayleigh scattering phase function | 0.266 km−1 |
| Meter scattering phase function | 0.284 km−1 |
| Absorption coefficient | 0.802 km−1 |
| Atmospheric parameter | 0.017 |
| Parameter of Mi phase function | 0.5 |
| Mi asymmetric phase function parameter | 0.72 |
| Originating electric power | 1 W |
| Originating optical power | 25 mW |
| 500 m | |
| 0 | |
| 0 | |
Disclaimer/Publisher’s Note: The statements, opinions and data contained in all publications are solely those of the individual author(s) and contributor(s) and not of MDPI and/or the editor(s). MDPI and/or the editor(s) disclaim responsibility for any injury to people or property resulting from any ideas, methods, instructions or products referred to in the content. |
© 2025 by the authors. Licensee MDPI, Basel, Switzerland. This article is an open access article distributed under the terms and conditions of the Creative Commons Attribution (CC BY) license (https://creativecommons.org/licenses/by/4.0/).
Share and Cite
Liu, C.; Song, P.; Yang, J.; Zou, X. Link Transmission Characteristics of an Ultraviolet Network in a Mobile Scenario. Optics 2025, 6, 41. https://doi.org/10.3390/opt6030041
Liu C, Song P, Yang J, Zou X. Link Transmission Characteristics of an Ultraviolet Network in a Mobile Scenario. Optics. 2025; 6(3):41. https://doi.org/10.3390/opt6030041
Chicago/Turabian StyleLiu, Chengtao, Peng Song, Junxiao Yang, and Xiaojun Zou. 2025. "Link Transmission Characteristics of an Ultraviolet Network in a Mobile Scenario" Optics 6, no. 3: 41. https://doi.org/10.3390/opt6030041
APA StyleLiu, C., Song, P., Yang, J., & Zou, X. (2025). Link Transmission Characteristics of an Ultraviolet Network in a Mobile Scenario. Optics, 6(3), 41. https://doi.org/10.3390/opt6030041

