Hazards to Wild Birds Associated with Anthropogenic Structures and Human Activities—Results of a Long-Term Study in an Urbanised Area of the Alps
Simple Summary
Abstract
1. Introduction
2. Materials and Methods
2.1. Study Area and Origin of Rescued Birds
2.2. Bird Admittance Procedure and Data Stock
2.3. Study Limitations
2.4. Data Preparation and Statistical Analyses
3. Results
3.1. Causes and Development of Admissions over 33 Years
3.2. General Seasonal Aspects
3.3. Species-Specific Seasonal Patterns
3.4. Species-Specific Differences in Risk Factors
3.4.1. Susceptibilities to Glass Collisions
3.4.2. Victims of Cat Attacks
3.4.3. “Weak” Birds
3.4.4. Nestlings
3.4.5. Various Other Admittance Causes
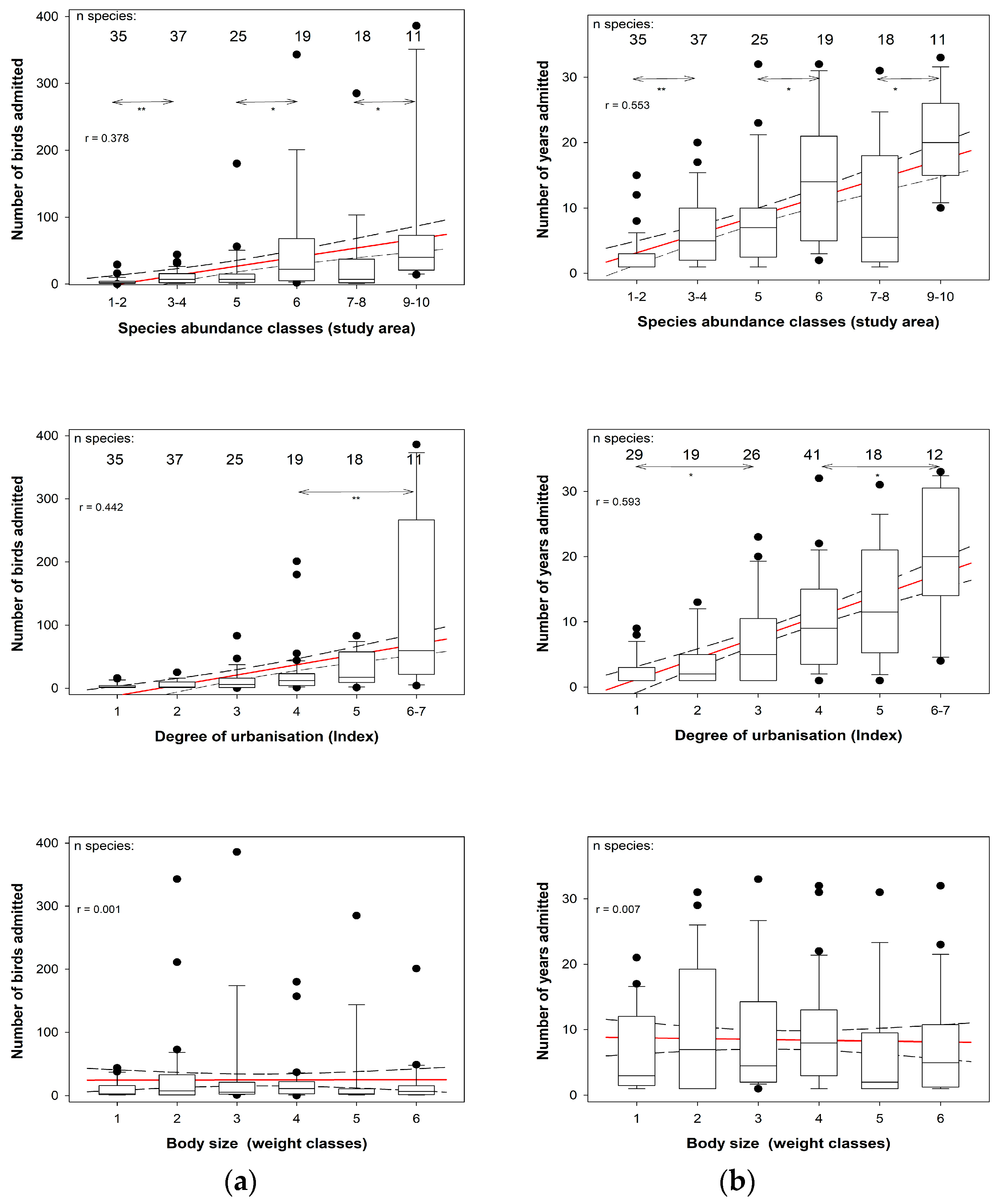
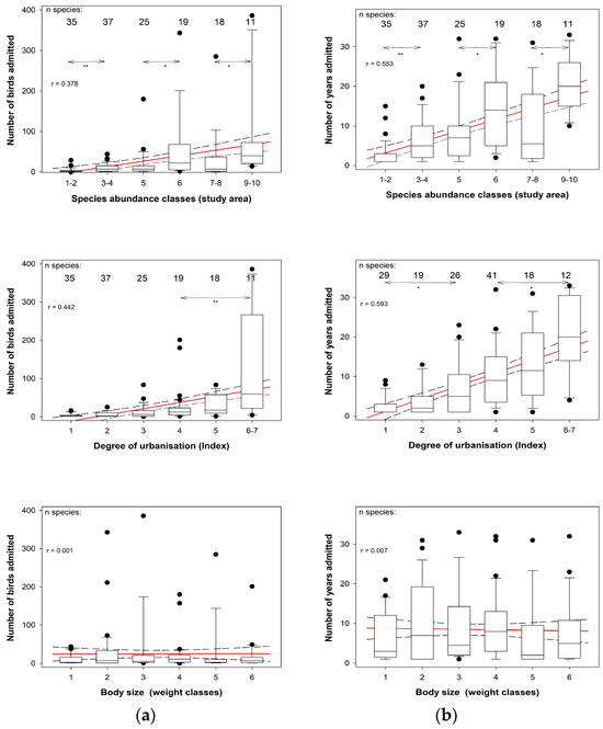
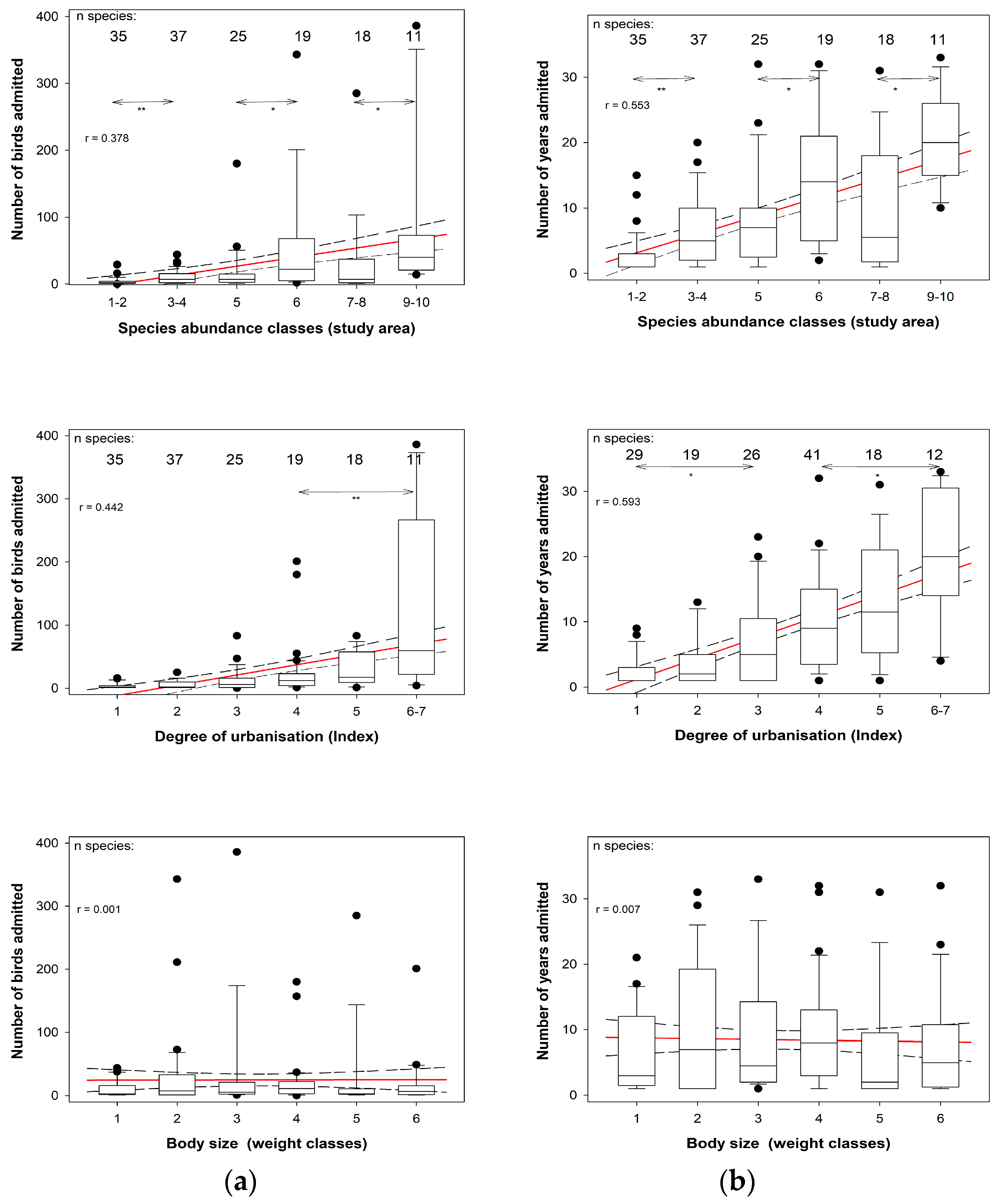
3.5. Ecological Backgrounds for Differences in Accident Probabilities
4. Discussion
4.1. Data Stock and Origin of Rescued Birds
4.2. Spectrum and Systematics of Affected Species
4.3. Long-Term Trends in the Number of Admitted Birds and in Causes for Admission
4.4. Seasonal Aspects and the Bird-Window Collision Problem
4.5. Ecological Traits and Vulnerability to Accidents Causes
5. Conclusions
Supplementary Materials
Author Contributions
Funding
Institutional Review Board Statement
Data Availability Statement
Acknowledgments
Conflicts of Interest
References
- Ritchie, H.; Samborska, V.; Roser, M. Urbanization. Available online: https://ourworldindata.org/urbanization (accessed on 17 February 2025).
- Chace, J.F.; Walsh, J.J. Urban effects on native avifauna: A review. Landsc. Urban Plan. 2006, 74, 46–69. [Google Scholar] [CrossRef]
- BirdLife International. State of the World’s Birds: Taking the Pulse of the Planet; BirdLife International: Cambridge, UK, 2018; Available online: https://www.birdlife.org/papers-reports/state-of-the-worlds-birds/ (accessed on 15 March 2025).
- Seress, G.; Liker, A. Habitat urbanization and its effects on birds. Acta Zool. Acad. Sci. Hung. 2015, 61, 373–408. [Google Scholar] [CrossRef]
- Isaksson, C. Impact of Urbanization on Birds. In Bird Species. Fascinating Life Sciences; Tietze, D., Ed.; Springer: Cham, Germany, 2018; pp. 7–13. [Google Scholar] [CrossRef]
- Richarz, K.; Isselbächer, K.; Isselbächer, T. Besondere Gefahren für Vögel. In Taschenbuch für Vogelschutz; Richarz, K., Bezzel, E., Hormann., M., Eds.; Aula-Verlag: Wiesbaden, Germany, 2001; pp. 116–153. [Google Scholar]
- Landmann, A. Beschwingtes Bauen-für Vögel planen. In Handbuch Naturschutzfachkraft-Praktischer Naturschutz für Baustellen, Betriebsgelände und Infrastrukturen; Wiegele, E., Jungmeier, M., Schneider, M., Eds.; Fraunhofer IRB Verlag: Stuttgart, Germany, 2022; pp. 378–420. [Google Scholar]
- Cope, H.R.; McArthur, C.; Dickman, C.R.; Newsome, T.M.; Gray, R.; Herbert, C.A. A systematic review of factors affecting wildlife survival during rehabilitation and release. PLoS ONE 2022, 17, e0265514. [Google Scholar] [CrossRef] [PubMed]
- Bevanger, K. Bird interactions with utility structures: Collision and electric shock injuries, causes and mitigating measures. Ibis 2008, 136, 412–425. [Google Scholar] [CrossRef]
- Kadlecova, G.; Voslarova, E.; Vecerek, V. Diurnal raptors at rescue centres in the Czech Republic: Reasons for admission, outcomes, and length of stay. PLoS ONE 2022, 17, e0279501. [Google Scholar] [CrossRef]
- Smallwood, K.S. Utility-scale solar impacts to volant wildlife. J. Wildl. Manag. 2022, 86, e22216. [Google Scholar] [CrossRef]
- Hirschhofer, S.; Liechti, F.; Ranacher, P.; Weibel, R.; Schmid, B. High-intensity bird migration along Alpine valleys calls for protective measures against anthropogenically induced avian mortality. Remote Sens. Ecol. Cons. 2024, 10, 360–373. [Google Scholar] [CrossRef]
- Blancher, P. Estimated number of birds killed by house cats (Felis catus) in Canada. Avian Conserv. Ecol. 2013, 8, 3. [Google Scholar] [CrossRef]
- Loss, S.; Will, T.; Marra, P. The impact of free-ranging domestic cats on wildlife of the United States. Nat. Commun. 2013, 4, 1396. [Google Scholar] [CrossRef]
- Loss, S.R.; Will, T.; Loss, S.S.; Marra, P.P. Bird–building collisions in the United States: Estimates of annual mortality and species vulnerability. Condor 2014, 116, 8–23. [Google Scholar] [CrossRef]
- Rosenberg, K.V.; Dokter, A.M.; Blancher, P.J.; Sauer, J.R.; Smith, A.C.; Smith, P.A.; Stanton, J.C.; Panjabi, A.; Helft, L.; Parr, M.; et al. Decline of the North American avifauna. Science 2019, 366, 120–124. [Google Scholar] [CrossRef] [PubMed]
- Elmore, J.A.; Hager, S.B.; Cosentino, B.J.; O’Connell, T.J.; Riding, C.S.; Anderson, M.L.; Bakermans, M.H.; Boves, T.J.; Brandes, D.; Butler, E.M.; et al. Correlates of bird collisions with buildings across three North American countries. Conserv. Biol. 2021, 35, 654–665. [Google Scholar] [CrossRef] [PubMed]
- Lepczyk, C.A.; Fantle-Lepczyk, J.E.; Dunham, K.D.; Bonnaud, E.; Lindner, J.; Doherty, T.S.; Woinarski, J.C.Z. A global synthesis and assessment of free ranging domestic cat diet. Nat. Commun. 2023, 14, 7809. [Google Scholar] [CrossRef]
- Klem, J.R.D. Preventing bird-window collisions. Wilson J. Ornithol. 2009, 121, 314–321. [Google Scholar] [CrossRef]
- Rössler, M.; Doppler, W.; Furrer, R.; Haupt, H.; Schmid, H.; Schneider, A.; Steiof, K.; Wegworth, C. Vogelfreundliches Bauen mit Glas und Licht, 3rd ed.; Schweizerische Vogelwarte: Sempach, Switzerland, 2022; Available online: https://vogelglas.vogelwarte.ch/downloads/files/broschueren/Glasbroschuere_2022_D.pdf (accessed on 15 March 2025).
- Baker, P.J.; Thompson, R.; Grogan, A. Survival rates of cat-attacked birds admitted to RSPCA wildlife centres in the UK: Implications for cat owners and wildlife rehabilitators. Anim. Welf. 2018, 27, 305–318. [Google Scholar] [CrossRef]
- Hager, S.B.; Cosentino, B.J.; McKay, K.J. Scavenging affects persistence of avian carcasses resulting from window collisions in an urban landscape. J. Field Ornithol. 2012, 83, 203–211. [Google Scholar] [CrossRef]
- Bracey, A.M.; Etterson, M.A.; Niemi, G.J.; Green, R.F. Variation in bird-window collision mortality and scavenging rates within an urban landscape. Wilson J. Ornithol. 2016, 128, 355–367. [Google Scholar] [CrossRef]
- Kelly, G.; delBarco-Trillo, J. Importance of taxonomic group, life stage and circumstance of rescue upon wildlife rehabilitation in Ontario, Canada. J. Nat. Conserv. 2020, 57, 7. [Google Scholar] [CrossRef]
- Kwok, A.B.C.; Hearing, R.; Travers, S.K.; Stathis, P. Trends in wildlife rehabilitation rescues and animal fate across a six-year period in New South Wales, Australia. PLoS ONE 2021, 16, e0257209. [Google Scholar] [CrossRef]
- Pyke, G.H.; Szabo, J.K. Conservation and the 4 Rs, which are rescue, rehabilitation, release, and research. Conserv. Biol. 2018, 32, 50–59. [Google Scholar] [CrossRef] [PubMed]
- Peterlein, K. Wildvogelhilfe Leipzig-Hilfe für Vögel in Not; Flyer NABU Leipzig, Ed.; NABU Leipzig: Leipzig, Germany, 2024; Available online: https://www.nabu-leipzig.de/gruppen/arbeitskreis-ornithologie-und-vogelschutz/wildvogelhilfe/Flyer-Wildvogelhilfe-2024.pdf (accessed on 3 March 2025).
- Kelly, A.; Bland, M. Admissions, diagnoses, and outcomes for Eurasian Sparrowhawks (Accipiter nisus) brought to a wildlife rehabilitation center in England. J. Raptor Res. 2006, 40, 231–235. [Google Scholar] [CrossRef]
- Rodríguez, B.; Rodríguez, A.; Siverio, F.; Siverio, M. Causes of Raptor Admissions to a Wildlife Rehabilitation Center in Tenerife. J. Raptor Res. 2010, 44, 30–39. [Google Scholar] [CrossRef]
- Molina-López, R.A.; Casal, J.; Darwich, L. Causes of morbidity in wild raptor populations admitted at a wildlife rehabilitation centre in Spain from 1995–2007: A long-term retrospective study. PLoS ONE 2011, 6, e24603. [Google Scholar] [CrossRef] [PubMed]
- Mariacher, A.; Gherardi, R.; Mastrorilli, M.; Melini, D. Causes of admission and outcomes of long-eared owl (Asio otus) in wildlife rescue centres in Italy from 2010 to 2014. Avian Biol. Res. 2016, 9, 282–286. [Google Scholar] [CrossRef]
- Montesdeoca, N.; Calabuig, P.; Corbera, J.A.; Cooper, J.E.; Oro’s, J. Causes of morbidity and mortality, and rehabilitation outcomes of birds in Gran Canaria Island, Spain. Bird Study 2017, 64, 523–534. [Google Scholar] [CrossRef]
- Sós-Koroknai, V.; Gál, J.; Marosán, M.; Tóth, T.; Sós, E. Causes of morbidity of Common Buzzards (Buteo buteo) and Long-Eared Owls (Asio otus) at a Hungarian wildlife rescue centre between 2014 and 2016. Biharean Biol. 2020, 14, 25–29. [Google Scholar]
- Engler, M.; Chavez, R.; Sens, R.; Lundberg, M.; Delor, A.; Rousset, F.; Courtiol, A. Breeding site fidelity in the concrete jungle: Implications for the management of urban mallards. J. Urban Ecol. 2025, 11, juae023. [Google Scholar] [CrossRef]
- Stenkat, J.M.; Krautwald-Junghanns, M.E.; Schmidt, V. Causes of Morbidity and Mortality in Free-Living Birds in an Urban Environment in Germany. Eco Health 2013, 10, 352–365. [Google Scholar] [CrossRef]
- Lawson, B.; Robinson, R.A.; Toms, M.P.; Risely, K.; MacDonald, S.; Cunningham, A.A. Health hazards to wild birds and risk factors associated with anthropogenic food provisioning. Phil. Trans. R. Soc. B 2018, 373, 20170091. [Google Scholar] [CrossRef]
- Böhm, C.; Wilberger, M.; Landmann, A. Unfallursachen und Überlebenschancen verunfallter Vögel: Ergebnisse einer Langzeitstudie an Findlingen aus dem Alpenzoo Innsbruck. Vogelwarte 2024, 62, 252–254. [Google Scholar]
- Landmann, A.; Landmann, M.; Böhm, C. Vogelfindlinge als avifaunistische Datenquelle-Befunde aus dem Alpenzoo Innsbruck. Egretta 2021, 57, 53–75. [Google Scholar] [CrossRef]
- Statistik Austria: Bevölkerung am 01.01.2024 nach Ortschaften (Gebietsstand 01.01.2024). Available online: https://www.statistik.at/statistiken/bevoelkerung-und-soziales/bevoelkerung/bevoelkerungsstand/bevoelkerung-zu-jahres-/-quartalsanfang (accessed on 28 February 2025).
- Böhm, C.; Landmann, A. In memoriam Prof. Dr. Ellen Thaler-Kottek (1933–2024). Vogelwarte 2024, 62, 131–132. [Google Scholar]
- Landmann, A. Artenliste und Statusübersicht der Vögel Tirols. Egretta 1996, 39, 71–108. [Google Scholar]
- Landmann, A. Die Brutvögel Tirols-eine (persönliche) Bilanz der letzten 50 Jahre. Ornithol. Anzeiger 2023, 61, 157–184. [Google Scholar]
- Lentner, R.; Lehne, F.; Danzl, A.; Eberhard, B. Atlas der Brutvögel Tirols-Verbreitung, Häufigkeit, Lebensräume; Berenkamp: Wattens, Austria, 2022. [Google Scholar]
- Landmann, A.; Lentner, R. Die Brutvögel Tirols. Bestand, Gefährdung, Schutz und Rote Liste. In Berichte des Naturwissenschaftlich-Medizinischen Vereins in Innsbruck; Naturwissenschaftlich-medizinischer Verein in Innsbruck: Innsbruck, Austria, 2001; Volume 90, pp. 1–182. [Google Scholar]
- Dvorak, M.; Landmann, A.; Teufelbauer, N.; Wichmann, G.; Berg, H.-M.; Probst, R. Erhaltungszustand und Gefährdungssituation der Brutvögel Österreichs: Rote Liste und Liste für den Vogelschutz prioritärer Brutvogelarten. Egretta 2017, 55, 6–42. [Google Scholar]
- Jafari, M.; Ansari-Pour, N. Why, When and How to Adjust Your P Values? Cell J. 2018, 20, 604–607. [Google Scholar] [CrossRef]
- Janssen, K.; Marsland, C.; Barreto, M.O. Identifying the Stressors Impacting Rescued Avian Wildlife. Animals 2020, 10, 1500. [Google Scholar] [CrossRef]
- Costa, M.M.; Pinto da Cunha, N.; Hagnauer, I.; Venegas, M. A Retrospective Analysis of Admission Trends and Outcomes in a Wildlife Rescue and Rehabilitation Center in Costa Rica. Animals 2024, 14, 51. [Google Scholar] [CrossRef]
- Countries in the World by Population. 2025. Available online: https://www.worldometers.info/world-population/population-by-country (accessed on 24 April 2025).
- Khil, L.; Ranner, A.; Berg, H.-M.; Dvorak, M. Die Vögel Österreichs: Kommentierte und illustrierte Liste der Arten und Unterarten. Biosyst. Ecol. 2024, 3, 5–160. [Google Scholar] [CrossRef]
- Jokimäki, J.; Suhonen, J.; Jokimäki-Kaisanlahti, M.-L.; Carbó-Ramírez, P. Effects of urbanization on breeding birds in European towns: Impacts of species traits. Urban Ecosyst. 2016, 19, 1565–1577. [Google Scholar] [CrossRef]
- Landmann, A. Die Vogelwelt der Innsbrucker Grünanlagen; Eine Grundlagenstudie im Auftrag der Stadt Innsbruck: Innsbruck, Austria, 1993; pp. 1–136. [Google Scholar] [CrossRef]
- Landmann, A.; Böhm, C.; Danzl, A. Komposition und Dynamik der Struktur von Vogelgesellschaften in Montandörfern Tirols: Uniformierung oder Differenzierung?-Ergebnisse einer Langzeitstudie (1982–2023). Ornithol. Anzeiger 2025, 63, accepted. [Google Scholar]
- Landmann, A. Die Höhenverbreitung als Indikator der Gefährdung von Insekten im Alpenraum. Contrib. Nat. Hist. 2009, 12, 829–856. [Google Scholar]
- Hagist, D. Veränderungen der Lebensbedingungen der Brutvögel in der Schweiz. In Schweizer Brutvogelatlas. Verbreitung und Bestandsentwicklung der Vögel in der Schweiz und im Fürstentum Liechtenstein; Knaus, P., Antoniazza, S., Wechsler, S., Guélat, J., Kéry, M., Strebel, N., Sattler, D., Eds.; Schweizerische Vogelwarte: Sempach, Switzerland, 2018; pp. 16–42. [Google Scholar]
- Fiala, I.; Bergmüller, K.; Teufelbauer, N. Lebensräume und deren Veränderungen. In Österreichischer Brutvogelatlas 2013–2018; Teufelbauer, N., Seaman, B., Hohenegger, J.A., Nemeth, E., Karner-Ranner, E., Probst, R., Berger, A., Lugerbauer, L., Berg, H.-M., Laßnig-Wad, C., Eds.; Verlag des Naturhistorischen Museums Wien: Wien, Austria, 2023; pp. 46–59. [Google Scholar]
- Danzl, A. Tirol im Überblick, Landschaftsentwicklung in Tirol, Lebensräume der Tiroler Brutvögel. In Atlas der Brutvögel Tirols -Verbreitung, Häufigkeit, Lebensräume; Lentner, R., Lehne, F., Danzl, A., Eberhard, B., Eds.; Berenkamp: Wattens, Austria, 2022; pp. 20–50. [Google Scholar]
- Landmann, A.; Danzl, A. Dorfentwicklung in den Alpen: Dimensionen, Direktionen & Auswirkungen auf Vögel-exemplarische Befunde einer Langzeitstudie aus Tirol. Acta ZooBot. Austria 2017, 154, 107–129. [Google Scholar]
- Jakoby, C.; Rogers, R.; Apfelbeck, B.; Hauck, D.E.; Weisser, W.W. Wildtiere im Wohnungsumfeld-wie werden sie von Wohnungsunternehmen bewertet? Nat. Und Landsch. 2019, 94, 181–187. [Google Scholar]
- Health for Animals.org: Global State of Pet Care: Stats, Facts and Trends. 2022. 36p. Available online: https://healthforanimals.org/wp–content/uploads/2022/07/Global-State-of-Pet-Care.pdf (accessed on 12 March 2025).
- Shahbandeh, M. Estimated Number of Households Owning at Least one Pet Animal in Europe from 2010 to 2023. 2024. Available online: https://www.statista.com/statistics/515192/households-owning-a-pet-europe/ (accessed on 12 March 2025).
- Vidal-Valles, D.; Rodriguez, A.; Perez-Collazos, E. Bird roadkill occurences in Aragon, Spain. Anim. Biodivers. Conserv. 2018, 41, 379–388. [Google Scholar] [CrossRef]
- ZAMG. Das Klima von Tirol-Südtirol-Belluno. Vergangenheit-Gegenwart-Zukunft; ZAMG & Autonome Provinz Bozen: Bozen, Italy, 2015; pp. 1–102. [Google Scholar]
- Loyd, K.-A.T.; Hernandez, S.M.; Carroll, J.P.; Abernathy, K.J.; Marshall, G.J. Quantifying free-roaming domestic cat predation using animal-borne video cameras. Biol. Conserv. 2013, 160, 183–189. [Google Scholar] [CrossRef]
- Borden, W.C.; Lockhart, O.M.; Jones, A.W.; Lyon, M.S. Seasonal, Taxonomic, and Local Habitat Components of Bird-window Collisions on an Urban University Campus in Cleveland, OH. Ohio J. Sci. 2010, 110, 44–52. [Google Scholar]
- Cusa, M.; Jackson, D.A.; Mesure, M. Window collisions by migratory bird species: Urban geographical patterns and habitat associations. Urban Ecosyst. 2015, 18, 1427–1446. [Google Scholar] [CrossRef]
- Basilio, L.G.; Moreno, D.J.; Piratelli, A.J. Main causes of bird-window collisions: A review. Acad. Bras. Cienc. 2020, 92, e20180745. [Google Scholar] [CrossRef]
- Corey, S.; Riding, C.S.; Connell, T.J.O.; Loss, S.R. Multi-scale temporal variation in bird-window collisions in the central United States. Sci. Rep. 2021, 11, 11062. [Google Scholar]
- Steiof, K. Neuere Erkenntnisse zu Vogelkollisionen an Glas in Berlin. Ber. Z. Vogelschutz 2022, 58/59, 79–117. [Google Scholar]
- Newton, I.; Wyllie, J.; Dale, L. Trends in the numbers and mortality patterns of Sparrowhawks (Accipiter nisus) and Kestrels (Falco tinnunculus) in Britain, as revealed by carcass analyses. J. Zool. 1999, 248, 139–147. [Google Scholar] [CrossRef]
- Hager, S.B.; Cosentino, B.J.; McKay, K.J.; Monson, C.; Zuurdeeg, W. Window Area and Development Drive Spatial Variation in Bird-Window Collisions in an Urban Landscape. PLoS ONE 2013, 8, e53371. [Google Scholar] [CrossRef]
- Hager, S.B.; Craig, M.E. Bird-window collisions in the summer breeding season. PeerJ 2014, 2, e460. [Google Scholar] [CrossRef]
- Sabo, A.M.; Hagemeyer, N.D.G.; Lahey, A.S.M.; Walters, E.L. Local avian density influences risk of mortality from window strikes. PeerJ 2016, 4, e2170. [Google Scholar] [CrossRef]
- Kahle, L.Q.; Flannery, M.E.; Dumbacher, J.P. Bird-window collisions at a west-coast urban park museum: Analyses of bird biology and window attributes from Golden Gate Park, San Francisco. PLoS ONE 2016, 11, e0144600. [Google Scholar] [CrossRef]
- Sinkovics, C.; Seress, G.; Pipoly, I.; Vincze, E.; Liker, A. Comparison of nestling diet between first and second broods of great tits Parus major in urban and forest habitats. Anim. Biodiv. Conserv. 2023, 46, 199–212. [Google Scholar] [CrossRef]
- Wittig, T.W.; Cagle, N.L.; Ocampo-Peñuela, N.; Winton, R.S.; Zambello, E.; Lichtneger, Z. Species traits and local abundance affect bird-window collision frequency. Avian Conserv. Ecol. 2018, 12, 17. [Google Scholar] [CrossRef]
- Klem, J.R.D. Collisions between birds and windows: Mortality and prevention. J. Field Ornithol. 1990, 61, 120–128. [Google Scholar]
- Kummer, J.A.; Bayne, E.M. Bird feeders and their effects on bird-window collisions at residential houses. Avian Conserv. Ecol. 2015, 10, 6. [Google Scholar] [CrossRef]
- Rudolph, B.-U. Kamine als Brutplätze des Gänsesägers Mergus merganser. Ornithol. Anz. 2019, 58, 31–47. [Google Scholar]





| Categories/Causes for Admission | n Individuals | n Species |
|---|---|---|
| Total rescued/admitted birds *1 | 5379 | 163 |
| Wild birds from the study area *2 | 5257 | 145 |
| – period I: 1988–1999 | 1365 | 110 |
| – period II: 2000–2010 | 1511 | 107 |
| – period III: 2011–2020 | 2358 | 106 |
| – winter (December–February) | 501 | 67 |
| – spring (March–May) | 1165 | 95 |
| – summer (June–August) | 2640 | 98 |
| – autumn (September–November) | 923 | 111 |
| – cause of admission unknown/not registered *3 | 2205 | 126 |
| – orphaned or stranded nestlings *4 | 1638 | 65 |
| – “weak” birds *5 | 335 | 64 |
| – other specific causes of admittance *6 | 1079 | 106 |
| Total number of specific causes analysed | 3052 | 123 |
Disclaimer/Publisher’s Note: The statements, opinions and data contained in all publications are solely those of the individual author(s) and contributor(s) and not of MDPI and/or the editor(s). MDPI and/or the editor(s) disclaim responsibility for any injury to people or property resulting from any ideas, methods, instructions or products referred to in the content. |
© 2025 by the authors. Licensee MDPI, Basel, Switzerland. This article is an open access article distributed under the terms and conditions of the Creative Commons Attribution (CC BY) license (https://creativecommons.org/licenses/by/4.0/).
Share and Cite
Böhm, C.; Wilberger, M.; Landmann, A. Hazards to Wild Birds Associated with Anthropogenic Structures and Human Activities—Results of a Long-Term Study in an Urbanised Area of the Alps. Birds 2025, 6, 25. https://doi.org/10.3390/birds6020025
Böhm C, Wilberger M, Landmann A. Hazards to Wild Birds Associated with Anthropogenic Structures and Human Activities—Results of a Long-Term Study in an Urbanised Area of the Alps. Birds. 2025; 6(2):25. https://doi.org/10.3390/birds6020025
Chicago/Turabian StyleBöhm, Christiane, Molinia Wilberger, and Armin Landmann. 2025. "Hazards to Wild Birds Associated with Anthropogenic Structures and Human Activities—Results of a Long-Term Study in an Urbanised Area of the Alps" Birds 6, no. 2: 25. https://doi.org/10.3390/birds6020025
APA StyleBöhm, C., Wilberger, M., & Landmann, A. (2025). Hazards to Wild Birds Associated with Anthropogenic Structures and Human Activities—Results of a Long-Term Study in an Urbanised Area of the Alps. Birds, 6(2), 25. https://doi.org/10.3390/birds6020025
