Interactions Between People and Birds of Prey in Semi-Arid Regions of Brazil: Ethno-Ornithology and Conservation
Simple Summary
Abstract
1. Introduction
2. Materials and Methods
2.1. Study Area
2.2. Data Collection
2.3. Data Analysis
3. Results
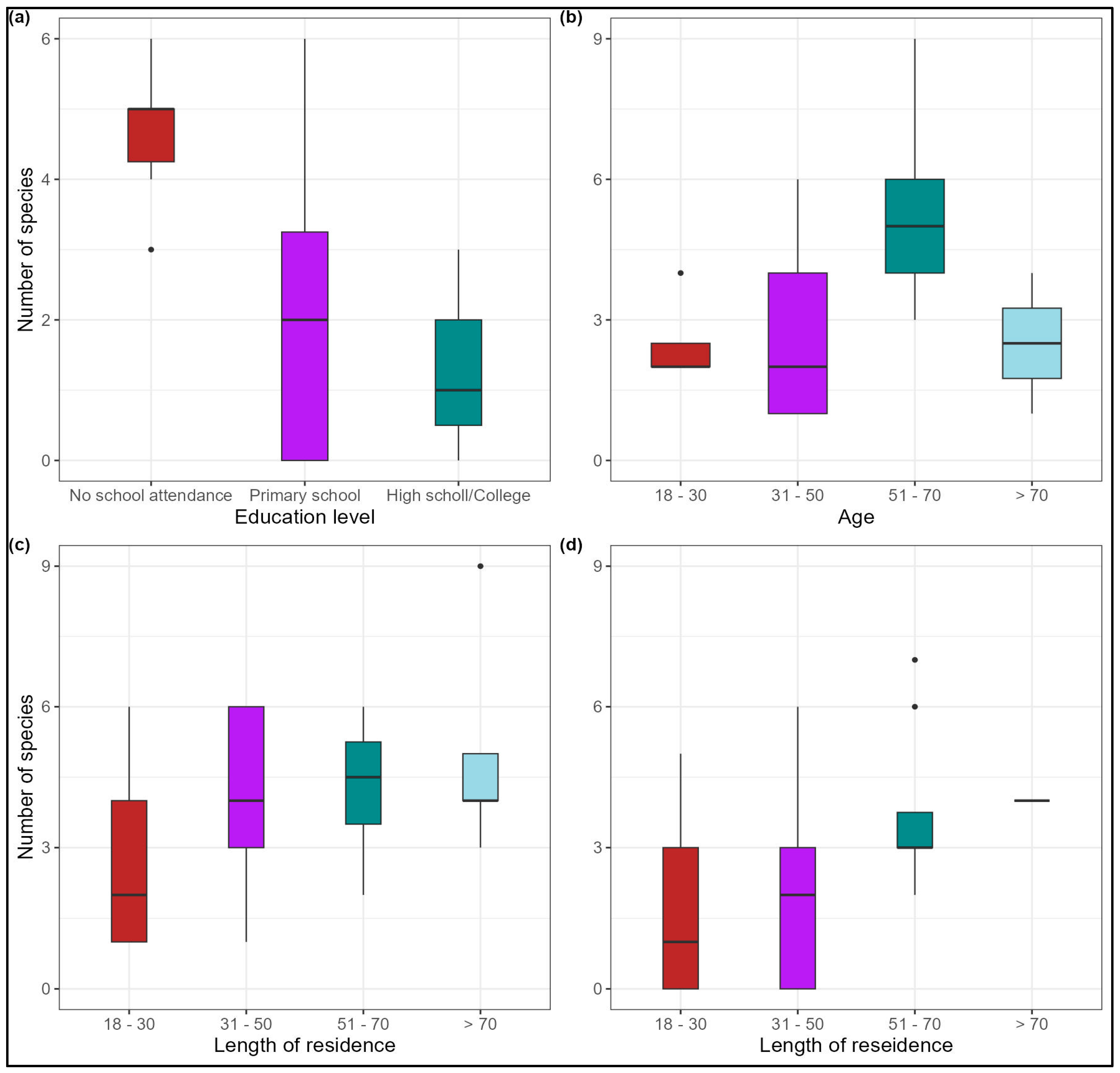
3.1. Species Diversity
3.2. Knowledge and Perceptions About the Species
“When the Cauã (Laughing Falcon) vocalizes in a green tree, it is a sign of good rainy season. If it vocalizes in a dry tree, it means drought for sure.”(DE1, 71 years old—Lagoa)
3.3. Uses and Attitudes Towards Birds of Prey
“The caracara is a very cruel animal. It only eats the lambs’ eyes and leaves the animal blind.”(DE2, 82 years old—Solânea)
4. Discussion
5. Conclusions
Author Contributions
Funding
Institutional Review Board Statement
Informed Consent Statement
Data Availability Statement
Acknowledgments
Conflicts of Interest
Appendix A. Semi-Structures Form Questionnaire Used in the Face-to-Face Interviews
| Ethno-ornithological form |
| Name: |
| Community: |
| Age: |
| Residence time in commnunity: |
| Job: |
| Education level: |
| General questions |
- 1—Do you know any birds that feed on other animals?
- 2—How many these birds there is in the region? Which do you know?
- 3—Do you know what a bird of prey is?
- 4—Have these birds any importance? If yes, which?
- 5—Which the animals that these birds prey on?
- 6—Is there any these birds that harbinger any signal? Which bird? Which signals?
- 7—What do you do if you encounter with these birds? Why?
References
- Anderson, E.N. Birds in Maya Imagination: A Historical Ethno-Ornithology. J. Ethnobiol. 2017, 37, 621. [Google Scholar] [CrossRef]
- Coetzee, H.; Nell, W.; van Rensburg, L. An exploration of cultural beliefs and practices across the Southern Ground-Hornbill’s range in Africa. J. Ethnobiol. Ethnomedicine 2014, 10, 28. [Google Scholar] [CrossRef] [PubMed]
- Tidemann, S.; Gosler, A. Ethno-ornithology: Birds, Indigenous Peoples. Cult. Soc. 2010, 1, 1–343. [Google Scholar]
- Vásquez-Dávila, M.A. Aves, Personas y Culturas Estudios de Etno-Ornitologia; Carteles Editores; CONACYT/ITVO/Carteles/UTCH: Oaxaca, México, 2014; Volume 1. [Google Scholar]
- Bezerra, D.M.M.; Araujo, H.F.P.; Alves, A.G.C.; Alves, R.R.N. Birds and people in semiarid northeastern Brazil: Symbolic and medicinal relationships. J. Ethnobiol. Ethnomed. 2013, 9, 11. [Google Scholar] [CrossRef] [PubMed]
- Molares, S.; Gurovich, Y. Owls in urban narratives: Implications for conservation and environmental education in NW Patagonia (Argentina). Neotrop. Biodivers. 2018, 4, 164–172. [Google Scholar] [CrossRef]
- Bontzorlos, V.A.; Johnson, D.H.; Poirazidis, K.; Roulin, A. Owl symbolism in Greek civilization over the last 5000 years: Social perceptions and implications for conservation. Eur. Zool. J. 2023, 90, 691–707. [Google Scholar] [CrossRef]
- Soares, V.M.S.; Soares, H.K.L.; Lucena, R.F.P.; Barboza, R.R.D. Conhecimento, uso alimentar e conservação da avifauna cinegética: Estudo de caso no município de Patos, Paraíba, Brasil. Interciencia 2018, 43, 491–497. [Google Scholar]
- Soares, V.M.S.; Soares, H.K.L.; Santos, S.S.; Lucena, R.F.P. Local knowledge, use, and conservation of wild birds in the semi-arid region of Paraíba state, northeastern Brazil. J. Ethnobiol. Ethnomed. 2018, 14, 77. [Google Scholar] [CrossRef]
- Epstein, H.J. The Origin and Earliest History of Falconry. Isis 1943, 34, 497–509. [Google Scholar] [CrossRef]
- Vann Maanen, E.; Goradze, I.; Gavashelishvili, A.; Goradze, R. Opinion: Trapping and hunting of migratory raptors in western Georgia. Bird Conserv. Int. 2001, 11, 77–92. [Google Scholar] [CrossRef]
- Donázar, J.A.; Cortés-Avizanda, A.; Fargallo, J.A.; Margalida, A.; Moleón, M.; Morales-Reyes, Z.; Serrano, D. Roles of Raptors in a Changing World: From Flagships to Providers of Key Ecosystem Services. Ardeola 2016, 63, 181–234. [Google Scholar] [CrossRef]
- Ferguson-Lees, J.; Christie, D.A. Raptors World; Helm: Boston, MA, USA, 2001. [Google Scholar]
- Novaes, W.G.; Cintra, R. Anthropogenic features influencing occurrence of Black Vultures (Coragyps atratus) and Turkey Vultures (Cathartes aura) in an urban area in central Amazonian Brazil. Condor 2015, 117, 650–659. [Google Scholar] [CrossRef]
- Thiollay, J.M. Large bird declines with increasing human pressure in savanna woodlands (Burkina Faso). Biodivers. Conserv. 2006, 15, 2085–2108. [Google Scholar] [CrossRef]
- Thiollay, J.M. The decline of raptors in West Africa: Long-term assessment and the role of protected areas. Ibis 2006, 148, 240–254. [Google Scholar] [CrossRef]
- Sick, H. Ornitologia Brasileira; Pacheco, J.F., Ed.; Universidade de Brasilia: Rio de Janeiro, Brazil, 1997. [Google Scholar]
- Piacentini, V.Q.; Aleixo, A.; Agne, C.E.; Maurício, G.N.; Pacheco, J.F.; Bravo, G.A.; Cesari, E. Annotated checklist of the birds of Brazil by the Brazilian Ornithological Records Committee/Lista comentada das aves do Brasil pelo Comitê Brasileiro de Registros Ornitológicos. Rev. Bras. de Ornitol. 2015, 23, 91–298. Available online: http://www.cbro.org.br/wp-content/uploads/2020/06/Piacentini-et-al-2015-RBO.pdf (accessed on 25 April 2016).
- Silva, J.M.C.; Leal, I.R.; Tabarelli, M. Caatinga the Largest Tropical Dry Forest Region in South America; Springer: New York, NY, USA, 2017. [Google Scholar] [CrossRef]
- Mendonça, L.E.T.; Souto, C.M.; Andrelino, L.L.; Souto, W.D.M.S.; Vieira, W.L.S.; Alves, R.R.N. Conflitos entre pessoas e animais silvestres no Semiárido paraibano e suas implicações para conservação. SITIENTIBUS Série Ciências Biológicas 2011, 11, 185. [Google Scholar] [CrossRef]
- Ballejo, F.; Plaza, P.I.; Lambertucci, S.A. The conflict between scavenging birds and farmers: Field observations do not support people’s perceptions. Biol. Conserv. 2020, 248, 108627. [Google Scholar] [CrossRef]
- Sarasola, J.; Santillán, M.; Galmes, M. Crowned eagles rarely prey on livestock in central Argentina: Persecution is not justified. Endanger. Species Res. 2010, 11, 207–213. [Google Scholar] [CrossRef]
- Zuluaga, S.; Vargas, F.H.; Grande, J.M. Integrating socio-ecological information to address human–top predator conflicts: The case of an endangered eagle in the eastern Andes of Colombia. Perspect. Ecol. Conserv. 2021, 19, 98–107. [Google Scholar] [CrossRef]
- Sarasola, J.H.; Maceda, J.J. Past and current evidence of persecution of the Endangered crowned eagle Harpyhaliaetus coronatus in Argentina. Oryx 2006, 40, 347–350. [Google Scholar] [CrossRef]
- Kumar, N.; Gupta, U.; Malhotra, H.; Jhala, Y.V.; Qureshi, Q.; Gosler, A.G.; Sergio, F. The population density of an urban raptor is inextricably tied to human cultural practices. Proc. R. Soc. B Biol. Sci. 2019, 286, 2–7. [Google Scholar] [CrossRef] [PubMed]
- Alves, R.R.N.; Nogueira, E.E.G.; Araujo, H.F.P.; Brooks, S.E. Bird-keeping in the Caatinga, NE Brazil. Hum. Ecol. 2010, 38, 147–156. [Google Scholar] [CrossRef]
- Alves, R.R.N.; Leite, R.C.L.; Souto, W.M.S.; Bezerra, D.M.M.; Loures-Ribeiro, A. Ethno-ornithology and conservation of wild birds in the semi-arid Caatinga of northeastern Brazil. J. Ethnobiol. Ethnomedicine 2013, 9, 12. [Google Scholar] [CrossRef] [PubMed]
- Fernandes-Ferreira, H.; Mendonça, S.V.; Albano, C.; Ferreira, F.S.; Alves, R.R.N. Hunting, use and conservation of birds in Northeast Brazil. Biodivers. Conserv. 2012, 2, 221–244. [Google Scholar] [CrossRef]
- Teixeira, P.H.R.; Thel, T.N.; Ferreira, J.M.R.; Azevedo, S.M.; Junior, W.R.T.; Lyra-Neves, R.M. Local knowledge and exploitation of the avian fauna by a rural community in the semi-arid zone of northeastern Brazil. J. Ethnobiol. Ethnomedicine 2014, 10, 81. [Google Scholar] [CrossRef]
- Deikumah, J.P.; Konadu, V.A.; Kwafo, R. Bird naming systems by Akan people in Ghana follow scientific nomenclature with potentials for conservation monitoring. J. Ethnobiol. Ethnomed. 2015, 11, 75. [Google Scholar] [CrossRef]
- Gosler, A.G. The Human Factor: Ecological Salience in Ornithology and Ethno-Ornithology. J. Ethnobiol. 2017, 37, 637–662. [Google Scholar] [CrossRef]
- Hull, K.; Fergus, R. Birds as Seers: An Ethno-Ornithological Approach to Omens and Prognostication Among the Ch’Orti’ Maya of Guatemala. J. Ethnobiol. 2017, 37, 604–620. [Google Scholar] [CrossRef]
- Instituto Brasileiro de Geografia e Estatística (IBGE). 2013. Available online: www.ibge.gov.br (accessed on 15 May 2013).
- Vendruscolo, J.; Marin, A.M.P.; Dias, B.O.; Felix, E.S.; Coutinho, A.A.; Ferreira, K.R.F. Phytosociological survey of arboreous species in conserved and desertified areas in the semi-arid region of Paraba, Brazil. Afr. J. Agric. Res. 2017, 12, 805–814. [Google Scholar] [CrossRef]
- Albuquerque, U.P.; Cunha, L.V.F.C.; Lucena, R.F.P.; Alves, R.R.D.N. Methods and Techniques in Ethnobiology and Ethnoecology; Springer: New York, NY, USA, 2014. [Google Scholar] [CrossRef]
- Bardin, L. L’Analyse de Contenu; Presses Universitaires de France: Paris, France, 1977; Volume 223. [Google Scholar]
- R Core Team. R: A Language and Environment for Statistical Computing; R Foundation for Statistical Computing: Vienna, Austria, 2019; Available online: https://www.R-project.org/ (accessed on 20 December 2024).
- Ministério do Meio Ambiente (MMA). Plano de Ação Nacional para a Conservação de Aves de Rapina; MMA: Brasília, Brasil, 2008; Volume 136.
- Souza, J.D.M.; Lins Neto, E.M.F.; Ferreira, F.S. Influence of the sociodemographic profile of hunters on the knowledge and use of faunistic resources. J. Ethnobiol. Ethnomed. 2022, 18, 38. [Google Scholar] [CrossRef]
- Santos, S.S.N.; Martins, C.S.G.; Martins, F.C. Is the knowledge about the wild birds influenced by the socioeconomic conditions of the human populations? Ethnobiol. Conserv. 2020, 9, 14. [Google Scholar] [CrossRef]
- Souza, J.M.; Alves, J.L.S.; Rodrigues, A.C.M.; Lins-Neto, E.M.; Ferreira, F.S. Influence of Sociodemographic Profile on Interactions Between Human Populations and Fauna in the Semi-Arid Region of Northeast Brazil and Its Relationship with Conservation. Wild 2024, 1, 39–56. [Google Scholar] [CrossRef]
- Oliveira, J.V.; Lopes, S.F.; Barboza, R.R.D.; Alves, R.R.N. To preserve, or not to preserve, that is the question: Urban and rural student attitudes towards wild vertebrates. Environ. Dev. Sustain. 2019, 21, 1271–1289. [Google Scholar] [CrossRef]
- Randler, C.; Koch, S. Willingness to protect bird species depends on individual respondents’ demographic and species traits. Conserv. Sci. Pract. 2024, 7, e13277. [Google Scholar] [CrossRef]
- Cailly Arnulphi, V.B.; Lambertucci, S.A.; Borghi, C.E. Education can improve the negative perception of a threatened long-lived scavenging bird, the Andean condor. PLoS ONE 2017, 12, e0185278. [Google Scholar] [CrossRef]
- Kellert, S.R.; Berry, J.K. Attitudes, Knowledge, and Behaviours toward Wildlife as Affected by Gender. Wildl. Soc. Bull. 1987, 15, 363–371. [Google Scholar]
- Reyes-garcía, V.; Guèze, M.; Luz, A.C.; Paneque-gálvez, J. Evidence of traditional knowledge loss among a contemporary indigenous society. Evol. Hum. Behav. 2014, 34, 249–257. [Google Scholar] [CrossRef]
- Grimalt, R.; Murawiec, S.; Tryjanowski, P. Jizz in birdwatching activity and clinical practice: How ii works and why? Arch. Psychiatry Psychother. 2023, 2, 59–63. [Google Scholar] [CrossRef]
- Curti, M.; Valdez, U. Incorporating community education in the strategy for harpy eagle conservation in Panama. J. Environ. Educ. 2009, 40, 3–15. [Google Scholar] [CrossRef]
- Marchini, S.; Macdonald, D.W. Can school children influence adults’ behavior toward jaguars? Evidence of intergenerational learning in education for conservation. Ambio 2020, 49, 912–925. [Google Scholar] [CrossRef]
- Oliveira, J.V.; Lopes, S.F.; Barboza, R.R.D.; Trovão, D.M.M.; Ramos, M.B.; Alves, R.R.N. Wild vertebrates and their representation by urban/rural students in a region of northeast Brazil. J. Ethnobiol. Ethnomed. 2019, 15, 1. [Google Scholar] [CrossRef] [PubMed]
- Oliveira, J.V.; Silva, M.X.G.; Borges, A.K.M.; Souto, W.M.S.; Lopes, S.F.; Trovão, D.M.M.; Barboza, R.R.D.; Alves, R.R.N. Fauna and conservation in the context of formal education: A study of urban and rural students in the semi-arid region of Brazil. J. Ethnobiol. Ethnomed. 2020, 16, 21. [Google Scholar] [CrossRef] [PubMed]
- Silva, A.R.; Braga-Pereira, F.; Borges, A.K.M.; Oliveira, J.V.; Silva, M.X.G.; Alves, R.R.N. Bioecological representations and social characteristics of students influence their attitudes toward wild vertebrates. J. Ethnobiol. Ethnomed. 2023, 19, 25. [Google Scholar] [CrossRef] [PubMed]
- Marques, J.G.M. “Do canto bonito ao berro do bode”: Percepção do comportamento de vocalização em aves entre camponeses alagoanos. Revista de Etologia 1998, número especial, 71–85. [Google Scholar]
- Marques, J.G.W. “Pássaro” É bom para se pensar: Simbolismo ascencional em uma Etnoecologia do Imaginário. Revista Incelências 2012, 1, 6–21. [Google Scholar]
- Araújo, H.F.P.; Lucena, R.F.P.; Mourão, J.S. Prenúncio de chuvas pelas aves na percepção de moradores de comunidades rurais no município de Soledade-PB, Brasil. Interciencia 2005, 30, 764–769. [Google Scholar]
- Castillo, L.; Ladio, A. Mammals and birds as ethno-indicators of change: Their importance to livestock farmers in Arid Patagonia (Argentina). Environ. Dev. Sustain. 2018, 20, 2161–2179. [Google Scholar] [CrossRef]
- Forth, G. Things that go po in the night: The classification of birds, sounds, and spirits among the Nage of eastern Indonesia. J. Ethnobiol. 1998, 18, 189–209. [Google Scholar]
- Wyndham, F.S.; Park, K.E. “Listen Carefully to the Voices of the Birds”: A Comparative Review of Birds as Signs. J. Ethnobiol. 2018, 38, 533. [Google Scholar] [CrossRef]
- Atuo, F.A.; Timothy, J.O.; Peter, U.A. An assessment of socio-economic drivers of avian body parts trade in West African rainforests. Biol. Conserv. 2015, 191, 614–622. [Google Scholar] [CrossRef]
- Buij, R.; Nikolaus, G.; Whytock, R.; Ingram, D.J.; Ogada, D. Trade of threatened vultures and other raptors for fetish and bushmeat in West and Central Africa. Oryx 2016, 50, 606–616. [Google Scholar] [CrossRef]
- Williams, V.L.; Cunningham, A.B.; Kemp, A.C.; Bruyns, R.K. Risks to birds traded for African traditional medicine: A quantitative assessment. PLoS ONE 2014, 9, e0105397. [Google Scholar] [CrossRef] [PubMed]
- Marchini, S.; Crawshaw, P.G. Human–Wildlife Conflicts in Brazil: A Fast-Growing Issue. Hum. Dimens. Wildl. 2015, 20, 323–328. [Google Scholar] [CrossRef]
- Michalski, F.; Boulhosa, R.L.P.; Faria, A.; Peres, C.A. Human-wildlife conflicts in a fragmented Amazonian forest landscape: Determinants of large felid depredation on livestock. Anim. Conserv. 2006, 9, 179–188. [Google Scholar] [CrossRef]
- Benavides, P. Animal symbolism in folk narratives and human attitudes towards predators: An analysis of their mutual influences. Folklore 2013, 124, 64–80. [Google Scholar] [CrossRef]
- Goodrich, J.M. Human-tiger conflict: A review and call for comprehensive plans. Integr. Zool. 2010, 5, 300–312. [Google Scholar] [CrossRef]
- Torres, D.F.; Oliveira, E.S.; Alves, R.R.N. Conflicts Between Humans and Terrestrial Vertebrates: A Global Review. Trop. Conserv. Sci. 2018, 11, 194008291879408. [Google Scholar] [CrossRef]
- Whitfield, D.P.; Fielding, A.H.; Mcleod, D.R.A.; Haworth, P.F. Modelling the effects of persecution on the population dynamics of golden eagles in Scotland. Biol. Conserv. 2004, 119, 319–333. [Google Scholar] [CrossRef]
- Dickman, A.J. Complexities of conflict: The importance of considering social factors for effectively resolving human-wildlife conflict. Anim. Conserv. 2010, 13, 458–466. [Google Scholar] [CrossRef]
- Kumar, N.; Jhala, Y.V.; Qureshi, Q.; Gosler, A.G.; Sergio, F. Human-attacks by an urban raptor are tied to human subsidies and religious practices. Sci. Rep. 2019, 9, 2545. [Google Scholar] [CrossRef]
- Treves, A.; Wallace, R.B.; White, S. Participatory planning of interventions to mitigate human-wildlife conflicts. Conserv. Biol. 2009, 23, 1577–1587. [Google Scholar] [CrossRef] [PubMed]
- Holmes, G.; Smith, T.A.; Ward, C. Fantastic beasts and why to conserve them: Animals, magic and biodiversity conservation. Oryx 2018, 52, 231–239. [Google Scholar] [CrossRef]
- Prokop, P.; Fančovičová, J. Does colour matter? The influence of animal warning coloration on human emotions and willingness to protect them. Anim. Conserv. 2013, 16, 458–466. [Google Scholar] [CrossRef]
- Carter, N.H.; López-Bao, J.V.; Bruskotter, J.T.; Gore, M.; Chapron, G.; Johnson, A.; Treves, A. A conceptual framework for understanding illegal killing of large carnivores. Ambio 2017, 46, 251–264. [Google Scholar] [CrossRef]
- Dayer, A.A.; Silva-Rodríguez, E.A.; Albert, S.; Chapman, M.; Zukowski, B.; Ibarra, J.T.; Sepúlveda-Luque, C. Applying conservation social science to study the human dimensions of Neotropical bird conservation. Condor 2020, 122, duaa021. [Google Scholar] [CrossRef]
- Michel, N.L.; Whelan, C.J.; Verutes, G.M. Ecosystem services provided by Neotropical birds. Condor 2020, 122, duaa022. [Google Scholar] [CrossRef]
- Bulte, E.H.; Rondeau, D. Research and Management Viewpoint: Why Compensating Wildlife Damages May Be Bad for Conservation. J. Wildl. Manag. 2005, 69, 14–19. [Google Scholar] [CrossRef]
- Colding, J.; Folke, C. The Relations Among Threatened Species, Their Protection, and Taboos. Ecol. Soc. 1997, 1, 6. [Google Scholar] [CrossRef]
- Colding, J.; Folke, C. Social taboos: “Invisible” systems of local resource management and biological conservation. Ecol. Appl. 2001, 11, 584–600. [Google Scholar] [CrossRef]
- BRASIL. Lei N° 5.197, de 03 de Janeiro de 1967. Available online: https://www.planalto.gov.br/ccivil_03/leis/l5197.htm (accessed on 13 May 2025).
- IBAMA. Instrução Normativa N° 03, de 31 de Janeiro de 2013. Available online: https://www.ibama.gov.br/component/legislacao/?view=legislacao&legislacao=129393 (accessed on 13 May 2025).




| Socio-Economic Aspects | Places | ||
|---|---|---|---|
| Lagoa | São Mamede | Solânea | |
| Gender | |||
| Man | 21 | 20 | 53 |
| Women | 21 | 18 | 57 |
| Age | |||
| 18–30 | 4 | 4 | 15 |
| 31–50 | 22 | 14 | 51 |
| 51–70 | 11 | 15 | 33 |
| >70 | 2 | 4 | 4 |
| Not answer | 3 | 1 | 7 |
| Educational level | |||
| No school attendance | 6 | 2 | 54 |
| Primary/elementary education | 32 | 28 | 42 |
| High school/university education | 3 | 5 | 10 |
| Not answer | 1 | 3 | 4 |
| Species Name/CBRO 2015 | Vernacular/English Names | Lagoa | São Mamede | Solânea | Perceptions/Attitudes/Uses ** | ||
|---|---|---|---|---|---|---|---|
| Accipitridae | Importance | Kill | Uses | ||||
| Buteo nitidus | Gavião pedrês/Gray-lined Hawk | 5 | - | 3 | 2 | 1 | 2 (R/F) |
| Buteo albonotatus | Gavião pequeno/Zone-tailed Hawk | 1 | - | 3 | 4 | 2 | 2 (R) |
| Buteo brachyurus | Gavião do rabo listrado/Short-tailed Hawk | 1 | 1 | 3 | - | 1 | 6 (R/F) |
| Urubutinga urubutinga | Gavião preto/Great black Hawk | 3 | 3 | 3 | 1 (C) | 1 | 2 (R) |
| Elanus leucurus | Gavião peneira/White-tailed Kite | 1 | - | 1 | 1 (Bc) | - | 2 (R/F) |
| Geranoaetus melanoleucus + | Torona/Gavião pé de serra/Black-chested Buzzard Eagle | 14 | 17 | 20 | 13 (C/Bc) | 16 | 14 (R/F) |
| Geranospiza caerulescens * | Gavião azul/Gavião pedrês/Crane Hawk | 6 | 3 | 4 | 5 (Bc) | 2 | 8 (R/F) |
| Heterospizias meridionalis * | Gavião vermelho/Savanna Hawk | 8 | 10 | 13 | 11 (Bc) | 13 | 10 (R/F) |
| Parabuteo unicintus | Gavião pintado/Harris’s Hawk | - | 1 | 2 | - | 1 | 1 (R) |
| Rupornis magnirostris * | Gavião pega pinto/Roadside Hawk | 12 | 29 | 35 | 16 (Bc) | 29 | 23 (R/F) |
| Cathartidae | |||||||
| Cathartes aura | Urubu de cabeça vermelha/Turkey Vulture | 3 | 2 | 3 | 10 (C) | 1 | 2 (R) |
| Coragyps atratus+ | Urubu de cabeça preta/Black Vulture | 14 | 30 | 46 | 49 (C) | 15 | 20 (R) |
| Falconidae | |||||||
| Caracara plancus | Carcará/Crested Caracara | 16 | 21 | 47 | 18 (C/Bc) | 27 | 21 (R/F) |
| Falco femoralis | Gavião de máscara/Aplomado Falcon | 1 | - | 5 | 2 (Bc) | 1 | 4 (R) |
| Falco sparverius | Gavião de coleira/American kestrel | 2 | 4 | 6 | 1 | 2 | 5 (R) |
| Herpetotheres cachinnans +* | Acauã/Cauã/Laughing Falcon | 4 | 3 | 9 | 3 (Bc) | 4 | 1 (R/F) |
| Strigidae | |||||||
| Athene cunicularia + | Coruja buraqueira/Caburé/Burrowing Owl | 1 | 4 | 1 | - | 4 | 2 (R) |
| Megascops choliba + | Caburé de orelha/Tropical Screech Owl | 2 | 5 | 1 | 1 (Bc) | 2 | 1 (R) |
| Tytonidae | |||||||
| Tyto furcata+ | Rasga-mortalha/American Barn Owl | 10 | 8 | 3 | 2 (Bc) | 9 | 2 (R) |
| Corujão | Corujão | 1 | - | 1 | - | - | - |
Disclaimer/Publisher’s Note: The statements, opinions and data contained in all publications are solely those of the individual author(s) and contributor(s) and not of MDPI and/or the editor(s). MDPI and/or the editor(s) disclaim responsibility for any injury to people or property resulting from any ideas, methods, instructions or products referred to in the content. |
© 2025 by the authors. Licensee MDPI, Basel, Switzerland. This article is an open access article distributed under the terms and conditions of the Creative Commons Attribution (CC BY) license (https://creativecommons.org/licenses/by/4.0/).
Share and Cite
Soares, H.K.d.L.; Santos, V.M.d.; Santos, S.d.S.; Lucena, R.F.P.d. Interactions Between People and Birds of Prey in Semi-Arid Regions of Brazil: Ethno-Ornithology and Conservation. Birds 2025, 6, 35. https://doi.org/10.3390/birds6030035
Soares HKdL, Santos VMd, Santos SdS, Lucena RFPd. Interactions Between People and Birds of Prey in Semi-Arid Regions of Brazil: Ethno-Ornithology and Conservation. Birds. 2025; 6(3):35. https://doi.org/10.3390/birds6030035
Chicago/Turabian StyleSoares, Hyago Keslley de Lucena, Vanessa Moura dos Santos, Suellen da Silva Santos, and Reinaldo Farias Paiva de Lucena. 2025. "Interactions Between People and Birds of Prey in Semi-Arid Regions of Brazil: Ethno-Ornithology and Conservation" Birds 6, no. 3: 35. https://doi.org/10.3390/birds6030035
APA StyleSoares, H. K. d. L., Santos, V. M. d., Santos, S. d. S., & Lucena, R. F. P. d. (2025). Interactions Between People and Birds of Prey in Semi-Arid Regions of Brazil: Ethno-Ornithology and Conservation. Birds, 6(3), 35. https://doi.org/10.3390/birds6030035

