Journal Description
Ceramics
Ceramics
is an international, peer-reviewed, open access journal of ceramics science and engineering, published quarterly online by MDPI.
- Open Access— free for readers, with article processing charges (APC) paid by authors or their institutions.
- High Visibility: indexed within Scopus, ESCI (Web of Science), and other databases.
- Journal Rank: JCR - Q2 (Materials Science, Ceramics) / CiteScore - Q2 (Materials Science (miscellaneous))
- Rapid Publication: manuscripts are peer-reviewed and a first decision is provided to authors approximately 19.6 days after submission; acceptance to publication is undertaken in 3.7 days (median values for papers published in this journal in the first half of 2025).
- Recognition of Reviewers: reviewers who provide timely, thorough peer-review reports receive vouchers entitling them to a discount on the APC of their next publication in any MDPI journal, in appreciation of the work done.
Impact Factor:
2.0 (2024);
5-Year Impact Factor:
2.3 (2024)
Latest Articles
Chitosan–Hydroxyapatite Composite Membranes for the Controlled Release of Clindamycin Phosphate to Prevent Infections at the Implantation Site
Ceramics 2025, 8(4), 138; https://doi.org/10.3390/ceramics8040138 - 13 Nov 2025
Abstract
Implant-associated infections remain a major clinical challenge, often leading to implant failure, revision surgery, and increased healthcare burden. Systemic antibiotic administration is limited by poor local bioavailability and systemic side effects, highlighting the need for localized drug-delivery systems that can simultaneously support tissue
[...] Read more.
Implant-associated infections remain a major clinical challenge, often leading to implant failure, revision surgery, and increased healthcare burden. Systemic antibiotic administration is limited by poor local bioavailability and systemic side effects, highlighting the need for localized drug-delivery systems that can simultaneously support tissue integration and prevent bacterial colonization. This study aimed to develop and characterize a novel generation of chitosan membranes loaded with hydroxyapatite–clindamycin phosphate (CS/HA-CLY) for localized infection prevention at implantation sites. The composite membranes’ physicochemical characteristics were analyzed using ATR FT-IR, XPS, SEM, XRD, and contact angle measurements. Furthermore, the in vitro biomineralization potential was assessed employing the Taguchi method, while the in vitro release of clindamycin phosphate was examined through UV-Vis spectrophotometry. The CS/HA-CLY membranes exhibited improved wettability, drug release behavior, and biomineralization ability compared to neat CS. These results suggest that the developed composite membranes could successfully combine antibacterial efficacy and biocompatibility, supporting their potential as multifunctional biomaterials for preventing implant-related infections while promoting tissue integration. These findings provide a promising basis for further biological assays and in vitro evaluation.
Full article
(This article belongs to the Special Issue Ceramics Containing Active Molecules for Biomedical Applications)
►
Show Figures
Open AccessArticle
Self-Propagating High-Temperature Synthesis of High-Entropy Composite in a Ti–Cr–Mn–Co–Ni–Al–C System
by
Alina Zurnachyan, Abraam Ginosyan, Roman Ivanov, Irina Hussainova and Sofiya Aydinyan
Ceramics 2025, 8(4), 137; https://doi.org/10.3390/ceramics8040137 - 12 Nov 2025
Abstract
High-entropy materials have emerged as promising candidates for high-temperature structural, magnetic, and electrochemical applications due to their unique combination of compositional complexity, thermal stability, and tailored functionality. In this study, self-propagating high-temperature synthesis (SHS) was employed to fabricate high-entropy composite in a Ti–Cr–Mn–Co–Ni–Al–C
[...] Read more.
High-entropy materials have emerged as promising candidates for high-temperature structural, magnetic, and electrochemical applications due to their unique combination of compositional complexity, thermal stability, and tailored functionality. In this study, self-propagating high-temperature synthesis (SHS) was employed to fabricate high-entropy composite in a Ti–Cr–Mn–Co–Ni–Al–C multicomponent system with a focus on elucidating the effect of titanium content on the combustion parameters, as well as on the phase and structure formation patterns of the resulting materials. In situ profiling enables evaluating the maximum combustion temperature of 1560 °C, combustion wave propagation velocity ranging from 0.22 to 4.3 mm/s depending on titanium content, and heating and cooling rates of 300–2000 °C/s and 3 °C/s during synthesis. The synthesized powders exhibited a bimodal particle size distribution, with ~90% of particles below 25 μm and a D50 of 5.38 μm. Post-synthesis densification via spark plasma sintering (SPS) at 1250 °C under 45 MPa yielded dense bulk samples, which exhibited a high relative density and high Vickers microhardness of 1270 ± 35 HV10 attributed to fine TiC dispersion and secondary carbide formation. Thermogravimetric analysis performed under air flow with a heating rate of 20 °C/min showed enhanced thermal stability for both the powder and the sintered bulk. These findings demonstrate the efficacy of SHS for rapid, energy-efficient fabrication of high-entropy composites and underscore the critical role of composition in tailoring their structural and mechanical properties.
Full article
(This article belongs to the Special Issue Advances in Ceramics, 3rd Edition)
►▼
Show Figures

Figure 1
Open AccessArticle
Shear-Thickening Superplastic Transitions in High-Entropy Oxides
by
Salma El-Azab, Sichao Chen, Julie M. Schoenung and Alexander D. Dupuy
Ceramics 2025, 8(4), 136; https://doi.org/10.3390/ceramics8040136 - 10 Nov 2025
Abstract
Despite significant interest in their functional properties, the mechanical behavior of high-entropy oxides (HEOs) is not well studied, particularly at elevated temperatures. Bulk (Co,Cu,Mg,Ni,Zn)O (transition metal (TM)-HEO) samples were deformed under compression at applied stresses and temperatures ranging from 5 to 31 MPa
[...] Read more.
Despite significant interest in their functional properties, the mechanical behavior of high-entropy oxides (HEOs) is not well studied, particularly at elevated temperatures. Bulk (Co,Cu,Mg,Ni,Zn)O (transition metal (TM)-HEO) samples were deformed under compression at applied stresses and temperatures ranging from 5 to 31 MPa and 600 to 850 °C, respectively. All of the deformation conditions result in creep stress exponents of n < 3, indicating that TM-HEO exhibits superplastic deformation. A transition from structural to solution-precipitation-based superplasticity is observed during deformation above 650 °C. Additionally, TM-HEO exhibits shear-thickening behavior when deformed at stresses above 9 MPa. The formation and behavior of a Cu-rich tenorite secondary phase during deformation is identified as a key factor underpinning the deformation mechanisms. The microstructure and phase state of TM-HEO before deformation also influenced the behavior, with finer grain sizes and increasing concentrations of Cu-rich tenorite, resulting in the increased prevalence of solution-precipitation deformation. While complex, the results of this study indicate that TM-HEO deforms through known superplastic deformation mechanisms. Superplasticity is a highly efficient manufacturing method and could prove to be a valuable strategy for forming HEO ceramics into complex geometries.
Full article
(This article belongs to the Special Issue Mechanical Behavior and Reliability of Engineering Ceramics)
►▼
Show Figures

Figure 1
Open AccessArticle
An Investigation of the Mechanical Characteristics of Four CAD-CAM Monolithic Zirconia Materials
by
Layla A. Abu-Naba’a, Saleh N. Almohammed and Tareq A. Ziyad
Ceramics 2025, 8(4), 135; https://doi.org/10.3390/ceramics8040135 - 10 Nov 2025
Abstract
Transparent CAD/CAM monolithic ceramics are increasingly used in dentistry due to their combination of high strength, esthetics, and durability, achieved through high yttria content and multilayered systems. This study evaluates the mechanical behavior of four widely used CAD/CAM ceramics, correlating their performance with
[...] Read more.
Transparent CAD/CAM monolithic ceramics are increasingly used in dentistry due to their combination of high strength, esthetics, and durability, achieved through high yttria content and multilayered systems. This study evaluates the mechanical behavior of four widely used CAD/CAM ceramics, correlating their performance with microstructural characteristics. Bar-shaped specimens (n = 10 per material, for each test) of ZOLID® FX ML (ZF), IPS E.MAX® CAD (MC), E.MAX® ZIRCAD (ZM), and KAT-ANA® STML (KS) (all A2 shade) were prepared and sintered according to manufacturers’ protocols. Flexural strength and elastic modulus were measured using three-point bending, and Vickers hardness was determined separately. Statistical normality was confirmed with the Kolmogorov–Smirnov test. Flexural strength ranged from 252.8 ± 39.8 MPa (MC) to 547.6 ± 125.7 MPa (ZM), elastic modulus from 65.8 ± 6.5 GPa (MC) to 94.1 ± 5.8 GPa (KS), and hardness from 4.2 ± 0.2 GPa (MC) to 9.6 ± 0.6 GPa (ZF). High-elastic-modulus materials (KS, ZM) can better resist deformation under occlusal loads, improving long-term stability of posterior crowns, bridges, and implant-supported restorations. High hardness (ZF) provides superior wear resistance and preserves occlusal anatomy over time, making it suitable for thin-shell restorations and high-stress functional surfaces. Materials with lower modulus and hardness (MC) are more suitable for intra-coronal restorations or thin veneers where stress shielding and material compliance are advantageous. These findings support material selection based on mechanical demands, and further clinical studies are needed to confirm long-term performance.
Full article
(This article belongs to the Special Issue Preparation and Application of Transparent Ceramics)
►▼
Show Figures

Figure 1
Open AccessArticle
Optimisation of Magnesium Oxide and Silica Fume Blend for Sulphate Soil Stabilisation
by
Jonathan Oti, Mansour Ebailila, Khaled Ehwailat and John Kinuthia
Ceramics 2025, 8(4), 134; https://doi.org/10.3390/ceramics8040134 - 6 Nov 2025
Abstract
►▼
Show Figures
The utilisation of magnesium oxide-based binders (M) as an alternative to hydrated calcium silicate materials is a promising avenue for binding methodologies. However, the efficacy of using silica fume (S) as a co-binder with magnesium oxide in sulphate soil stabilisation, along with their
[...] Read more.
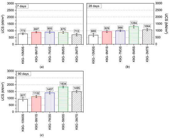
The utilisation of magnesium oxide-based binders (M) as an alternative to hydrated calcium silicate materials is a promising avenue for binding methodologies. However, the efficacy of using silica fume (S) as a co-binder with magnesium oxide in sulphate soil stabilisation, along with their ideal blending ratio, has yet to be unveiled. Therefore, an array of artificial sulphate soil specimens was fabricated, each featuring varying combinations of magnesium oxide and silica fume. These specimens were subsequently subjected to comprehensive testing, including unconfined compressive strength (UCS) test, linear expansion test, thermogravimetric analysis, and X-ray diffraction analysis. The outcomes demonstrated that the co-utilisation of silica fume and magnesium oxide significantly improves the compressive strength and linear expansion of sulphate soil, and such an improvement was more efficacious at a stoichiometric amount of 5% magnesium oxide and 5% silica fume (5M5S). This outperforming threshold, characterised by the highest UCS (1834 kN/m2) and minimal expansion (0.2%), occurred through the consumption of surplus brucite and the formation of further magnesium silicate hydrate.
Full article

Figure 1
Open AccessArticle
Swelling Behaviour of Sulfate Soil Treated with Lime–Metakaolin at Different Curing Ages
by
Mansour Ebailila, Khaled Ehwailat and Jonathan Oti
Ceramics 2025, 8(4), 133; https://doi.org/10.3390/ceramics8040133 - 6 Nov 2025
Abstract
►▼
Show Figures
Sulfate soil stabilisation, while offering technical benefits for infrastructure, is a challenging process, complicated by the nucleation of ettringite, an expansive mineral that can cause soil deterioration. This study was undertaken to elucidate the synergistic effect of lime and metakaolin on the physico-mechanical
[...] Read more.
Sulfate soil stabilisation, while offering technical benefits for infrastructure, is a challenging process, complicated by the nucleation of ettringite, an expansive mineral that can cause soil deterioration. This study was undertaken to elucidate the synergistic effect of lime and metakaolin on the physico-mechanical performance of high-sulfate-bearing soil. The binder content in the stabilised specimens was fixed at 20 wt%, and metakaolin was used to partially substitute lime at different substitution levels. The physico-mechanical investigation revealed that supplementation of lime with metakaolin had a promotional effect on the unconfined compressive strength and swelling potential. The threshold of this effect was obtained by a binary blend of 7.5L–12.5MK, where the UCS was increased fourfold, while the swelling potential was reduced to a near-zero magnitude of 0.33%. This superior performance is due to the fineness and high reactivity of metakaolin, as both limit the nucleation of ettringite and promote the neoformation of further hydrated compounds, thus yielding a denser interlocked system and increasing its resistance to water soaking.
Full article

Figure 1
Open AccessArticle
Phase Formation Study of Solid-State LLZNO and LLZTO via Structural, Thermal, and Morphological Analyses
by
Chengjian Li, Frank Kern, Lianmeng Liu, Christopher Parr, Andreas Börger and Chunfeng Liu
Ceramics 2025, 8(4), 132; https://doi.org/10.3390/ceramics8040132 - 28 Oct 2025
Abstract
Garnet-type Li7La3Zr2O12 (LLZO) is a solid electrolyte candidate for ASSLBs, owing to its wide electrochemical window and intrinsic safety. Yet phase-pure LLZO remains difficult because secondary phases form, and the transition towards the tetragonal phase, aliovalent
[...] Read more.
Garnet-type Li7La3Zr2O12 (LLZO) is a solid electrolyte candidate for ASSLBs, owing to its wide electrochemical window and intrinsic safety. Yet phase-pure LLZO remains difficult because secondary phases form, and the transition towards the tetragonal phase, aliovalent doping, mitigates these issues. Still, the phase formation pathway is not fully understood. Here, we present comparative in situ and ex situ studies of Nb- and Ta-doped LLZO (LLZNO and LLZTO) that were synthesized by a solid-state reaction. In situ/ex situ XRD reveals that the lithium precursor dictates the reaction path: differing decomposition temperatures of the lithium precursor define reaction windows that control cubic-phase purity and particle morphology. In air, limited Li diffusion favors oxycarbonates and pyrochlore, necessitating 950–1050 °C to achieve phase-pure cubic LLZO. Under N2, faster Li availability and diffusion enable uniform nucleation and a route to cubic LLZO without detectable secondary phases. These findings demonstrate the coupled effects of temperature, precursor, dopant, and atmosphere, guiding process optimization and scalable production.
Full article
(This article belongs to the Special Issue Advances in Ceramics, 3rd Edition)
►▼
Show Figures

Graphical abstract
Open AccessArticle
Tapping into the Past: First Approach to a Diachronic Material Characterization of Mayapán Pottery
by
Miguel Pérez, Oscar G. de Lucio, Alejandro Mitrani, Carlos Peraza Lope, Wilberth Cruz Alvarado, Hugo Sobral, Ciro Márquez Herrera and Soledad Ortiz Ruiz
Ceramics 2025, 8(4), 131; https://doi.org/10.3390/ceramics8040131 - 27 Oct 2025
Abstract
►▼
Show Figures
The great city of Mayapan has experienced a technological change in pottery making, and our results confirm a shift in the raw materials and possibly the potters’ knowledge about them. The dynamics of change during the Postclassic period in the Maya area are
[...] Read more.
The great city of Mayapan has experienced a technological change in pottery making, and our results confirm a shift in the raw materials and possibly the potters’ knowledge about them. The dynamics of change during the Postclassic period in the Maya area are reflected in the material changes used to make pottery. A comprehensive analysis was conducted on a collection of 248 pottery items from the archaeological site of Mayapán in Yucatán, Mexico, dating from the Middle Preclassic to Postclassic periods (700 BC–1500 CE). Non-invasive methods were used for the entire pottery set, including X-ray fluorescence (XRF) and fiber-optic reflectance spectroscopy (FORS). Additionally, for a representative subset, minimally invasive techniques such as inductively coupled plasma optical emission spectrometry (ICP-OES) and laser-induced breakdown spectroscopy (LIBS) were employed. The resulting data enabled the identification of materials used in the pottery’s manufacture. The elemental composition of the objects was determined, revealing correlations between elements such as Si with Al that yield a factor of 0.94. The results indicate the presence of smectite clays, carbonates, and iron oxides. The results show that a higher proportion of carbonates was found in the pieces from the Postclassic period compared to those from the Preclassic period, which may be associated with a change in the manufacturing process. Likewise, the Postclassic pieces are distinguished by a greater contribution of the Mg-OH signal, unlike the Preclassic and Classic, which show a greater contribution of the Al-OH group. The implications for the technological knowledge of the potters suggest the use of different technologies across various periods and material changes driven by shifts in political and economic relations in the city and the northern plains.
Full article

Figure 1
Open AccessArticle
Erbium Orthoniobate-Tantalates: Structural, Luminescent and Mechanical Properties of ErNbxTa1−xO4 Ceramics and Bactericidal Properties of ErNbO4 Powder
by
Mikhail Palatnikov, Olga Shcherbina, Nadezhda Fokina, Maxim Smirnov, Elena Zelenina, Sofja Masloboeva and Diana Manukovskaya
Ceramics 2025, 8(4), 130; https://doi.org/10.3390/ceramics8040130 - 22 Oct 2025
Abstract
Fine powders of erbium niobate-tantalates ErNbxTa1−xO4 (x = 0; 0.1; 0.3; 0.5; 0.7; 0.9; 1) have been synthesized by the liquid-phase method in this study. Ceramic samples have been prepared using conventional sintering from these powders. Rietveld refinement
[...] Read more.
Fine powders of erbium niobate-tantalates ErNbxTa1−xO4 (x = 0; 0.1; 0.3; 0.5; 0.7; 0.9; 1) have been synthesized by the liquid-phase method in this study. Ceramic samples have been prepared using conventional sintering from these powders. Rietveld refinement of XRD patterns of polycrystals determined the phase composition and clarified the parameters of the phase structure of ErNbxTa1−xO4 solid solutions depending on the Nb/Ta ratio. The morphological features of the microstructure of erbium niobate-tantalate ceramics have been studied. Their mechanical properties, strength characteristics (Young’s modulus, microhardness) and critical stress intensity factor of the first kind KIC have been estimated. The photoluminescent properties of ceramic solid solutions of erbium niobate-tantalates depending on the composition have been studied. Dark and photoinduced toxicity of finely dispersed ErNbO4 powders have been studied in relation to Gram-positive, Gram-negative and spore-forming microorganisms. The best indicators of antibacterial activity of ErNbO4 have been demonstrated in relation to Gram-positive cells of Micrococcus sp. The discovered properties open up the possibility of not only traditional use as functional materials, but also the use of these materials for disinfection of surfaces, water and biological tissues.
Full article
(This article belongs to the Topic High Performance Ceramic Functional Materials)
►▼
Show Figures

Figure 1
Open AccessReview
Clinical Advances in Calcium Phosphate for Maxillomandibular Bone Regeneration: From Bench to Bedside
by
Seyed Ali Mostafavi Moghaddam, Hamid Mojtahedi, Amirhossein Bahador, Lotfollah Kamali Hakim and Hamid Tebyaniyan
Ceramics 2025, 8(4), 129; https://doi.org/10.3390/ceramics8040129 - 21 Oct 2025
Abstract
Background: Maxillomandibular bone defects present a complex challenge in regenerative medicine due to anatomical and functional intricacies. Calcium phosphate (CP)-based biomaterials have emerged as promising bone graft substitutes due to their biocompatibility, osteoconductivity, and bioactivity. Aim: This Review highlights recent clinical and experimental
[...] Read more.
Background: Maxillomandibular bone defects present a complex challenge in regenerative medicine due to anatomical and functional intricacies. Calcium phosphate (CP)-based biomaterials have emerged as promising bone graft substitutes due to their biocompatibility, osteoconductivity, and bioactivity. Aim: This Review highlights recent clinical and experimental advancements in CP-based biomaterials for maxillomandibular bone regeneration, bridging the gap from bench to bedside. Method: An in vitro, in vivo, and clinical literature review was conducted to evaluate the performance of CP ceramics, including hydroxyapatite (HA), tricalcium phosphate (TCP), biphasic ceramics, and novel composites with polymers, growth factors, and nanoparticles. Results: Calcium phosphate-based biomaterials demonstrate excellent bone regeneration potential, with Beta-tricalcium phosphate (β-TCP) and HA being the most widely utilized. Composite scaffolds and 3-dimensional (3D)-printed constructs show enhanced mechanical properties and biological integration. Clinical trials have confirmed the safety and efficacy of CP-based materials, yielding promising outcomes in osteoconduction and defect healing. However, limitations persist regarding mechanical strength and long-term degradation profiles. Conclusions: CP-based biomaterials offer significant clinical promise for maxillomandibular bone regeneration. Continued advancements in scaffold design and biofunctionalization are crucial for overcoming current limitations and fully realizing their therapeutic potential.
Full article
(This article belongs to the Special Issue Cutting-Edge Research on Bioceramics for Bone Regeneration)
►▼
Show Figures

Figure 1
Open AccessArticle
Densification and Conductivity of Li-Doped NiO Targets for Hole-Transport Layer of Perovskite Solar Cells
by
Juan Li, Jiwen Xu, Guisheng Zhu, Xianjie Zhou, Fei Shang and Huarui Xu
Ceramics 2025, 8(4), 128; https://doi.org/10.3390/ceramics8040128 - 18 Oct 2025
Abstract
NiO-based hole-transport layers are crucial for high-efficiency perovskite solar cells. An industrial deposition method of NiO films is magnetron sputtering using ceramic targets. NiO targets doped with Li contents at 1%, 3%, and 5% were designed, and the doping contents and sintering temperatures
[...] Read more.
NiO-based hole-transport layers are crucial for high-efficiency perovskite solar cells. An industrial deposition method of NiO films is magnetron sputtering using ceramic targets. NiO targets doped with Li contents at 1%, 3%, and 5% were designed, and the doping contents and sintering temperatures were investigated. All the targets have a face-centered cubic phase, dense microstructure, and an average size of a few microns. The NLO targets sintered at an optimal temperature of 1400 °C exhibited high relative density (>98%) and low resistivity (<6 Ω∙cm). These results pave the way for depositing NiO-based hole-transport layer by magnetron sputtering.
Full article
(This article belongs to the Special Issue Advances in Electronic Ceramics, 2nd Edition)
►▼
Show Figures

Figure 1
Open AccessArticle
Hydrothermal Synthesis Optimization of High-Aspect Ratio α-Al2O3 Microfibers for Thermally Conductive Soft Composites
by
Omar Zahhaf, Giulia D’Ambrogio, François Grasland, Guilhem Rival, Minh-Quyen Le, Pierre-Jean Cottinet and Jean-Fabien Capsal
Ceramics 2025, 8(4), 127; https://doi.org/10.3390/ceramics8040127 - 9 Oct 2025
Abstract
This work presents a comprehensive study on the synthesis and application of Al2O3 fibers derived from an ammonium aluminum carbonate hydroxide (AACH) precursor. Through a hydrothermal route, the influence of critical synthesis parameters, including aluminum nitrate and urea concentrations, reaction
[...] Read more.
This work presents a comprehensive study on the synthesis and application of Al2O3 fibers derived from an ammonium aluminum carbonate hydroxide (AACH) precursor. Through a hydrothermal route, the influence of critical synthesis parameters, including aluminum nitrate and urea concentrations, reaction temperature and time, and stirring conditions, on fiber morphology and aspect ratio was systematically investigated. The as-synthesized AACH fibers were subsequently converted into thermodynamically stable α-alumina fibers via controlled annealing. These high-aspect ratio alumina fibers were incorporated into polydimethylsiloxane (PDMS) to produce electrically insulating, thermally conductive composites. The thermal performance of fiber-filled composites was benchmarked against that of particle-filled counterparts, with the former exhibiting significantly enhanced thermal conductivity. Furthermore, the dielectrophoretic alignment of alumina fibers led to an additional increase in thermal conductivity, underlining the importance of high-aspect ratio fillers. This study uniquely combines the controlled synthesis of alumina fibers with their incorporation and alignment in a polymer matrix, presenting a novel and effective approach for engineering anisotropic, thermally conductive, and electrically insulating composite materials. Dielectrophoretic alignment of α-Al2O3 fibers synthesized through optimized hydrothermal conditions and incorporated into PDMS composites deliver over 95 % higher thermal conductivity than spherical fillers.
Full article
(This article belongs to the Special Issue Advances in Ceramics, 3rd Edition)
►▼
Show Figures

Graphical abstract
Open AccessArticle
Barium Strontium Titanate: Comparison of Material Properties Obtained via Solid-State and Sol–Gel Synthesis
by
Thomas Hanemann, Martin Ade, Emine Cimen, Julia Schoenfelder, Kirsten Honnef, Matthias Wapler and Ines Ketterer
Ceramics 2025, 8(4), 126; https://doi.org/10.3390/ceramics8040126 - 4 Oct 2025
Abstract
Barium strontium titanates (Ba1−xSrxTiO3, BST) with varying barium-to-strontium ratios were synthesized by the solid-state route (SSR) as well as by the sol–gel process (SGP). In the case of the SSR, the strontium amount x was varied from
[...] Read more.
Barium strontium titanates (Ba1−xSrxTiO3, BST) with varying barium-to-strontium ratios were synthesized by the solid-state route (SSR) as well as by the sol–gel process (SGP). In the case of the SSR, the strontium amount x was varied from 0.0 to 0.25 in 0.05 steps, due to the enhanced synthetic effort, and in the case of the SGP, x was set only to 0.05, 0.15, and 0.25. The resulting properties after synthesis, calcination, and sintering, like particle size distribution, specific surface area, particle morphology, and crystalline phase were characterized. The expected tetragonal phase, free from any remarkable impurity, was found in all cases, and irrespective of the selected synthesis method. Pressed pellets were used for the measurement of the temperature and frequency-dependent relative permittivity enabling the estimation of the Curie temperatures of all synthesized BSTs. Irrespective of the selected synthesis method, the obtained Curie temperature drops with increasing strontium content to almost identical values, e.g., in the case of x = 0.15, a Curie temperature range 95–105 °C was measured. Thin BST films could be deposited on different substrate materials applying electrophoretic deposition in a good and reliable quality according to the Hamaker equation. The properties of the BSTs obtained by the simpler solid-state route are almost identical to the ones yielded by the more complex sol–gel process. In future, this result allows for a possible wider usage of BST perovskites for ferroelectric and piezoelectric devices due to the easy synthetic access by the solid-state route.
Full article
(This article belongs to the Special Issue Advances in Electronic Ceramics, 2nd Edition)
►▼
Show Figures

Graphical abstract
Open AccessArticle
Impact of Thermal Cycling on the Vickers Microhardness of Dental CAD/CAM Materials: Greater Retention in Polymer-Infiltrated Ceramic Networks (PICNs) Compared to Nano-Filled Resin Composites
by
Jorge I. Fajardo, César A. Paltán, Marco León, Annie Y. Matute, Ana Armas-Vega, Rommel H. Puratambi, Bolívar A. Delgado-Gaete, Silvio Requena and Alejandro Benalcazar
Ceramics 2025, 8(4), 125; https://doi.org/10.3390/ceramics8040125 - 4 Oct 2025
Abstract
We synthesized the current evidence from the literature and conducted a 2 × 3 factorial experiment to quantify the impact of thermocycling on the Vickers microhardness (HV) of dental CAD/CAM materials: VITA ENAMIC (VE, polymer-infiltrated ceramic network) and CERASMART (CS, nanofilled resin-matrix). Sixty
[...] Read more.
We synthesized the current evidence from the literature and conducted a 2 × 3 factorial experiment to quantify the impact of thermocycling on the Vickers microhardness (HV) of dental CAD/CAM materials: VITA ENAMIC (VE, polymer-infiltrated ceramic network) and CERASMART (CS, nanofilled resin-matrix). Sixty polished specimens (n = 10 per Material × Cycles cell; 12 × 2 × 2 mm) were thermocycled at 5–55 °C (0, 10,000, 20,000 cycles; 30 s dwell, ≈10 s transfer) and tested as HV0.3/10 (300 gf, 10 s; five indentations/specimen with standard spacing). Assumptions regarding the model residuals were met (Shapiro–Wilk W ≈ 0.98, p ≈ 0.36; Levene F(5,54) ≈ 1.12, p ≈ 0.36), so a two-way ANOVA (Type II) with Tukey’s HSD post hoc (α = 0.05) was applied. VE maintained consistently higher HV than CS at all cycle levels and showed a smaller drop from baseline: VE (mean ± SD): 200.2 ± 10.8 (0), 192.4 ± 13.9 (10,000), and 196.7 ± 9.3 (20,000); CS: 60.8 ± 6.1 (0), 53.4 ± 4.7 (10,000), and 62.1 ± 3.8 (20,000). ANOVA revealed significant main effects from the material (η2p = 0.972) and cycles (η2p = 0.316), plus a Material × Cycles interaction (η2p = 0.201). Results: Thermocycling produced material-dependent changes in microhardness. Relative to baseline, VE varied by −3.9% (10,000) and −1.7% (20,000), while CS varied by −12.2% (10,000) and +2.1% (20,000); from 10,000→20,000 cycles, microhardness recovered by +2.2% (VE) and +16.3% (CS). Pairwise comparisons were consistent with these trends (CS decreased at 10,000 vs. 0 and recovered at 20,000; VE only showed a modest change). Conclusions: Thermocycling effects were material-dependent, with smaller losses and better retention in VE (PICN) than in CS. These results align with the literature (resin-matrix/hybrids are more sensitive to thermal aging; polished finishes mitigate losses). While HV is only one facet of performance, the superior retention observed in PICN under thermal challenge suggests the improved preservation of superficial integrity; standardized reporting of aging parameters and integration with wear, fatigue, and adhesion outcomes are recommended to inform indications and longevity.
Full article
(This article belongs to the Special Issue Advances in Ceramics, 3rd Edition)
►▼
Show Figures

Figure 1
Open AccessArticle
Enhanced Transdermal Delivery via Electrospun PMMA Fiber Mats Incorporating Ibuprofen-Intercalated Layered Double Hydroxides
by
Van Thi Thanh Tran, Shusei Yamashita, Hideaki Sano, Osamu Nakagoe, Shuji Tanabe and Kai Kamada
Ceramics 2025, 8(4), 124; https://doi.org/10.3390/ceramics8040124 - 4 Oct 2025
Abstract
This study reports the development of electrospun poly(methyl methacrylate) (PMMA) fiber mats incorporating ibuprofen (IBU)-intercalated layered double hydroxides (LDH) for enhanced transdermal drug delivery systems (TDDS). IBU, in its anionic form, was successfully intercalated into LDH, which possesses anion exchange capabilities, and subsequently
[...] Read more.
This study reports the development of electrospun poly(methyl methacrylate) (PMMA) fiber mats incorporating ibuprofen (IBU)-intercalated layered double hydroxides (LDH) for enhanced transdermal drug delivery systems (TDDS). IBU, in its anionic form, was successfully intercalated into LDH, which possesses anion exchange capabilities, and subsequently embedded into PMMA fibers via electrospinning. In vitro drug release experiments demonstrated that UPMMA–LDH–IBU fibers exhibited significantly higher IBU release than PMMA–IBU controls. This enhancement was attributed to the improved hydrophilicity and water absorption imparted by the LDH, as confirmed by contact angle and water uptake measurements. Furthermore, artificial skin permeation tests revealed that the UPMMA–LDH–IBU fibers maintained comparable release rates to those observed during buffer immersion, indicating that the rate-limiting step was the diffusion of IBU within the fiber matrix rather than the interface with the skin or buffer. These findings highlight the critical role of LDH in modulating drug release behavior and suggest that UPMMA–LDH–IBU electrospun fiber mats offer a promising and efficient platform for advanced TDDS applications.
Full article
(This article belongs to the Special Issue Ceramics Containing Active Molecules for Biomedical Applications)
►▼
Show Figures

Graphical abstract
Open AccessArticle
Time-Dependent Piranha Solution Treatment as an Alternative to Sandblasting for Improving Zirconia–Resin Cement Bond Strength
by
Apichai Maneenacarith, Nantawan Krajangta, Thanasak Rakmanee and Awiruth Klaisiri
Ceramics 2025, 8(4), 123; https://doi.org/10.3390/ceramics8040123 - 2 Oct 2025
Abstract
►▼
Show Figures
This study investigated the effect of piranha solution etching duration on the shear bond strength of zirconia ceramics bonded to resin cement, comparing it to conventional sandblasting treatment. Fifty fully sintered zirconia specimens (6.0 mm diameter, 4.0 mm thickness) were prepared and randomly
[...] Read more.
This study investigated the effect of piranha solution etching duration on the shear bond strength of zirconia ceramics bonded to resin cement, comparing it to conventional sandblasting treatment. Fifty fully sintered zirconia specimens (6.0 mm diameter, 4.0 mm thickness) were prepared and randomly divided into five groups (n = 10): sandblasting control and piranha solution treatment for 1, 2, 3, and 4 min. Piranha solution was prepared by mixing 98% H2SO4 and 35% H2O2 in a 3:1 ratio. All specimens were bonded to resin composite cylinders using dual-cure resin cement. Shear bond strength testing was performed using a universal testing machine at a 0.5 mm/min crosshead speed. Failure modes were analyzed using a stereomicroscope and classified as adhesive, cohesive, or mixed failures. One-way ANOVA revealed significant differences between groups (p < 0.05). Tukey’s post hoc test showed that 1-min piranha treatment produced significantly lower bond strength (7.64 ± 2.02 MPa) compared to all other groups. The 2-min (15.17 ± 2.79 MPa), 3-min (14.99 ± 3.27 MPa), and 4-min (18.34 ± 3.15 MPa) piranha treatments showed no significant differences compared to sandblasting (15.41 ± 2.61 MPa). Failure mode analysis revealed 100% adhesive failures for the 1-min group, while all other groups showed 80% adhesive and 20% mixed failures. Piranha solution treatment duration significantly affected zirconia bonding performance. While 1-min treatment proved inadequate, 2–4 min treatments achieved bond strengths comparable to sandblasting. The findings suggest that piranha solution treatment for 2–4 min represents a viable alternative to sandblasting for zirconia surface preparation, with the 2-min protocol being the most efficient choice for clinical application.
Full article

Figure 1
Open AccessArticle
The Effect of Low-Grade Hydrothermal Aging on the Shade Stability of Monolithic CAD/CAM Dental Ceramic Restorations
by
Mohammad Zaki Daoud, Layla A. Abu-Naba’a and Rami Al Fodeh
Ceramics 2025, 8(4), 122; https://doi.org/10.3390/ceramics8040122 - 28 Sep 2025
Abstract
Translucency and color stability are key factors for the long-term success of dental ceramics. The aim was to compare the translucency parameter (TP) and color stability (ΔE) of CAD/CAM ceramics, including a lithium disilicate (E; IPS e.max CAD), a zirconia-reinforced lithium-silicate (S; VitaSuprinity),
[...] Read more.
Translucency and color stability are key factors for the long-term success of dental ceramics. The aim was to compare the translucency parameter (TP) and color stability (ΔE) of CAD/CAM ceramics, including a lithium disilicate (E; IPS e.max CAD), a zirconia-reinforced lithium-silicate (S; VitaSuprinity), and a zirconia-based ceramic (Z; Ceramill Zolid HT+), before and after low-grade hydrothermal aging (134 °C and 2 bars for 20 h). Ninety disks (n = 30/group, A2, 1.2 ± 0.02 mm) were fabricated and their L*, a*, and b* values were recorded against black and white backgrounds to calculate TP, contrast ratio (CR), and opacity (OP). ANOVA, Bonferroni post hoc, and paired t-tests (α = 0.05) showed that after aging, the Z group showed ↓L and ↑a values; the E group showed ↓L with ↑ a and b; and the S group showed only ↑a. All ceramics exhibited ΔE values below the clinical acceptability threshold of 3.7. E presented the highest TP, whereas Z demonstrated the highest CR and masking ability. Aging significantly increased CR and OP but did not alter TP. Within the limitations of this study, all tested ceramics maintained clinically acceptable shade stability and translucency, with E showing superior initial translucency and Z offering improved masking potential.
Full article
(This article belongs to the Special Issue Preparation and Application of Transparent Ceramics)
Open AccessArticle
An Investigation of the Microstructure and Wear Resistance of Laser Clad 316 Stainless Steel/TiC Coatings Containing Different LaB6 Contents
by
Dongdong Zhang, Haozhe Li, Yu Liu, Jingyu Jiang and Yali Gao
Ceramics 2025, 8(4), 121; https://doi.org/10.3390/ceramics8040121 - 26 Sep 2025
Abstract
In this paper, 316 stainless steel/TiC coatings with different LaB6 contents (0%, 2%, 4%, 6%) were prepared on the surface of 45 steel by laser cladding technology. The effects of the LaB6 content on the phase composition, microstructure, microhardness, and wear
[...] Read more.
In this paper, 316 stainless steel/TiC coatings with different LaB6 contents (0%, 2%, 4%, 6%) were prepared on the surface of 45 steel by laser cladding technology. The effects of the LaB6 content on the phase composition, microstructure, microhardness, and wear resistance of the coatings were studied. The results show that without the LaB6 addition, the coating is composed of Austenite and TiC phases, with defects such as pores and cracks, and the microstructure is mainly equiaxed grains. With the addition of LaB6, Fe-Cr phases are formed in the coating, and the microstructure transforms into columnar grains and dendritic grains. The grains are first refined and then coarsened, among which the coating with 4% LaB6 (C4) has the smallest grain size. The experimental results indicate that the microhardness of the coatings first increases and then decreases with the increase in the LaB6 content, and the C4 coating has the highest microhardness (594HV0.2). The wear rate shows the same variation trend. The C4 coating has the lowest wear rate and the best wear resistance. This is attributed to the synergistic effect of the fine grain strengthening and TiC particle dispersion strengthening.
Full article
(This article belongs to the Special Issue Advances in Ceramics, 3rd Edition)
►▼
Show Figures

Figure 1
Open AccessArticle
Changes in Morphology Caused by Mass Transfer Phenomenon
by
Toshihiro Ishikawa
Ceramics 2025, 8(4), 120; https://doi.org/10.3390/ceramics8040120 - 24 Sep 2025
Abstract
The mass transfer phenomenon of contained impurities causes differences in the morphologies, densification processes, and heat resistance of ceramics. Of these, in this paper, differences in the heat resistance of ceramic fibers are discussed. Third-generation SiC polycrystalline fibers demonstrated excellent heat resistance. However,
[...] Read more.
The mass transfer phenomenon of contained impurities causes differences in the morphologies, densification processes, and heat resistance of ceramics. Of these, in this paper, differences in the heat resistance of ceramic fibers are discussed. Third-generation SiC polycrystalline fibers demonstrated excellent heat resistance. However, at temperatures above 1800 °C, sintered fiber (Tyranno SA) and non-sintered fiber (Hi-Nicalon Type S) showed remarkable differences in heat resistance. At temperatures above 1800 °C, the non-sintered fiber underwent structural changes, including the formation of a surface carbon layer and abnormal SiC grain growth, whereas the sintered fiber maintained its stable polycrystalline structure. Until now, these differences and a detailed description of them have not been discussed. Here, we first explain the dramatic differences in heat resistance that occurred at high temperatures in relation to the mass transfer of excess carbon. Our findings should be widely used for the development of much more stable structures and for the long-term use of materials at higher temperatures in applications such as airplane engines and turbines.
Full article
(This article belongs to the Special Issue Advances in Ceramics, 3rd Edition)
►▼
Show Figures

Figure 1
Open AccessReview
Binary Oxide Ceramics (TiO2, ZnO, Al2O3, SiO2, CeO2, Fe2O3, and WO3) for Solar Cell Applications: A Comparative and Bibliometric Analysis
by
Yana Suchikova, Serhii Nazarovets, Marina Konuhova and Anatoli I. Popov
Ceramics 2025, 8(4), 119; https://doi.org/10.3390/ceramics8040119 - 23 Sep 2025
Cited by 5
Abstract
►▼
Show Figures
Binary oxide ceramics have emerged as key materials in solar energy research due to their versatility, chemical stability, and tunable electronic properties. This study presents a comparative analysis of seven prominent oxides (TiO2, ZnO, Al2O3, SiO2
[...] Read more.
Binary oxide ceramics have emerged as key materials in solar energy research due to their versatility, chemical stability, and tunable electronic properties. This study presents a comparative analysis of seven prominent oxides (TiO2, ZnO, Al2O3, SiO2, CeO2, Fe2O3, and WO3), focusing on their functional roles in silicon, perovskite, dye-sensitized, and thin-film solar cells. A bibliometric analysis covering over 50,000 publications highlights TiO2 and ZnO as the most widely studied materials, serving as electron transport layers, antireflective coatings, and buffer layers. Al2O3 and SiO2 demonstrate highly specialized applications in surface passivation and interface engineering, while CeO2 offers UV-blocking capability and Fe2O3 shows potential as an absorber material in photoelectrochemical systems. WO3 is noted for its multifunctionality and suitability for scalable, high-rate processing. Together, these findings suggest that binary oxide ceramics are poised to transition from supporting roles to essential components of stable, efficient, and environmentally safer next-generation solar cells.
Full article

Figure 1
Highly Accessed Articles
Latest Books
E-Mail Alert
News
Topics
Topic in
Materials, Ceramics, J. Compos. Sci.
New Advances in High-Performance Structural Ceramics and Their Composites
Topic Editors: Amparo Borrell, Rut Benavente, Rujie HeDeadline: 31 March 2026
Topic in
Applied Nano, Ceramics, Crystals, Energies, Materials
High Performance Ceramic Functional Materials
Topic Editors: Letao Yang, Hua Hao, Qinghu Guo, Zhonghua YaoDeadline: 1 June 2026
Topic in
Applied Sciences, Ceramics, Polymers, Sustainable Chemistry, Buildings, Construction Materials, Materials
Research in Sustainable and Alternative Construction and Building Materials
Topic Editors: Jessica Giró Paloma, Joan Formosa MitjansDeadline: 30 September 2026
Conferences
Special Issues
Special Issue in
Ceramics
Ceramic Materials for Industrial Decarbonization
Guest Editors: James G. Hemrick, Edgar Lara-CurzioDeadline: 30 November 2025
Special Issue in
Ceramics
Hybrid Materials for Biomedical Applications
Guest Editor: Russell GiordanoDeadline: 30 November 2025
Special Issue in
Ceramics
Preparation and Application of Transparent Ceramics
Guest Editor: Kailei LuDeadline: 31 December 2025
Special Issue in
Ceramics
Advances in Ceramics, 3rd Edition
Guest Editors: Gilbert Fantozzi, Vincent GarnierDeadline: 31 December 2025



