Optimisation of Magnesium Oxide and Silica Fume Blend for Sulphate Soil Stabilisation
Abstract
1. Introduction
2. Materials and Methods
2.1. Materials
2.1.1. Sulphate-Bearing Soil
2.1.2. Binder
2.2. Mix Proportions
2.3. Sample Preparation
2.4. Testing Method
2.4.1. Unconfined Compression Strength (UCS)
2.4.2. Swelling
2.4.3. Mineralogical Investigation
3. Results and Discussion
3.1. Derivative Thermogravimetric Analysis (DTG)
3.2. X-Ray Diffraction (XRD)
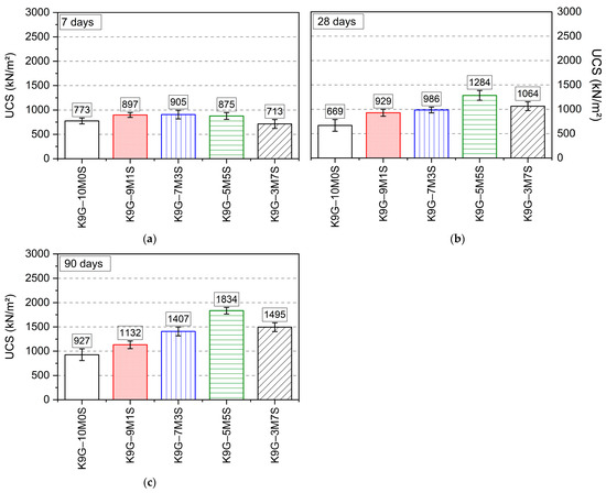
3.3. Unconfined Compressive Strength (UCS)
3.4. Linear Expansion
4. Conclusions
- The UCS performance of sulphate soil stabilisation with silica fume as a co-additive to magnesium oxide revealed a steadily increasing strength trend as the silica fume content increased to a dosage of 5M:5S, beyond which such an increase was gradually countermanded.
- The outperforming threshold of the binary blend of magnesium oxide and silica fume for both unconfined compressive strength and linear expansion was achieved at an equal blend proportion of 5M:5S.
- The addition of silica fume in the magnesium oxide-based system improves expansion and strength through the consumption of brucite and formation of further magnesium silicate hydrates, both of which facilitate better densification, cohesion, and system interlocking.
- The co-utilisation of a binary blend of magnesium oxide and silica fume offers a practical solution to counteract strength loss and swelling increase in sulphate-bearing soil stabilised with a calcium-based stabiliser.
Author Contributions
Funding
Data Availability Statement
Acknowledgments
Conflicts of Interest
Abbreviations
| UCS | Unconfined Compressive Strength |
| MSH | Magnesium Silicate Hydrate |
| K | Kaolin |
| G | Gypsum |
| S | Silica Fume |
| M | Magnesium Oxide |
References
- Khodabandeh, M.A.; Nagy, G.; Török, Á. Stabilization of Collapsible Soils with Nanomaterials, Fibers, Polymers, Industrial Waste, and Microbes: Current Trends. Constr. Build. Mater. 2023, 368, 130463. [Google Scholar] [CrossRef]
- Al-Gharbawi, A.S.A.; Najemalden, A.M.; Fattah, M.Y. Expansive Soil Stabilization with Lime, Cement, and Silica Fume. Appl. Sci. 2023, 13, 436. [Google Scholar] [CrossRef]
- Zhu, M.; Leo, C.; Zeng, Q.; Fanna, D.J.; Hsi, J.; Karimi, R.; Fabbri, A.; Liyanapathirana, S.; Hu, P.; Alzghool, H. Efficacy of Expansive Soil Stabilisation Using Un-Calcinated Kaolinite-Based Alkali-Activated Binders. Clean. Mater. 2025, 16, 100315. [Google Scholar] [CrossRef]
- Mallick, J.R.; Islam, M.S. Characteristics of Compressed Stabilized Earth Block Fabricated with Sawdust Ash Based Geopolymer. J. Build. Eng. 2025, 101, 111840. [Google Scholar] [CrossRef]
- Martin-Antunes, M.A.; Perlot, C.; Espuelas, S.; Marcelino, S.; Seco, A. Recent Developments in Stabilized Rammed Earth: Testing Protocols and the Recommendations for Standardization. J. Build. Eng. 2025, 106, 112436. [Google Scholar] [CrossRef]
- Parthiban, D.; Vijayan, D.S.; Koda, E.; Vaverkova, M.D.; Piechowicz, K.; Osinski, P.; Duc, B. Van Role of Industrial Based Precursors in the Stabilization of Weak Soils with Geopolymer—A Review. Case Stud. Constr. Mater. 2022, 16, e00886. [Google Scholar] [CrossRef]
- Zaini, M.S.I.; Hasan, M.; Almuaythir, S.; Hyodo, M. Experimental Investigations on Physico-Mechanical Properties of Kaolinite Clay Soil Stabilized at Optimum Silica Fume Content Using Clamshell Ash and Lime. Sci. Rep. 2024, 14, 10995. [Google Scholar] [CrossRef] [PubMed]
- Dulal, P.; Maharjan, S.; Timalsina, M.P.; Maharjan, Y.; Giri, A.; Tamang, A. Engineering Properties of Cement-Stabilized Compressed Earth Bricks. J. Build. Eng. 2023, 77, 107453. [Google Scholar] [CrossRef]
- Islam, M.Y.; Hossain, Z. Investigating the One-Dimensional Consolidation Properties of River Sludge Enhanced by Sustainable Additive Synergy for Eco-Friendly Stabilization. J. Build. Eng. 2025, 101, 111851. [Google Scholar] [CrossRef]
- Wang, S.; Chen, Z.; Jiang, H.; Su, J.; Wu, Z. Strength Performance and Enhancement Mechanism of Silty Sands Stabilized with Cement, Red Mud, and Phosphogypsum. J. Build. Eng. 2023, 73, 106762. [Google Scholar] [CrossRef]
- Aldaood, A.; Bouasker, M.; Al-Mukhtar, M. Mechanical Behavior of Gypseous Soil Treated with Lime. Geotech. Geol. Eng. 2021, 39, 719–733. [Google Scholar] [CrossRef]
- Behnood, A. Soil and Clay Stabilization with Calcium- and Non-Calcium-Based Additives: A State-of-the-Art Review of Challenges, Approaches and Techniques. Transp. Geotech. 2018, 17, 14–32. [Google Scholar] [CrossRef]
- Ehwailat, K.I.A.; Mohamad Ismail, M.A.; Ezreig, A.M.A. Novel Approach to the Treatment of Gypseous Soil-Induced Ettringite Using Blends of Non-Calcium-Based Stabilizer, Ground Granulated Blast-Furnace Slag, and Metakaolin. Materials 2021, 14, 5198. [Google Scholar] [CrossRef]
- Ebailila, M.; Kinuthia, J.; Oti, J. Suppression of Sulfate-Induced Expansion with Lime–Silica Fume Blends. Materials 2022, 15, 2821. [Google Scholar] [CrossRef]
- Eyo, E.U.; Abbey, S.J.; Ngambi, S.; Ganjian, E.; Coakley, E. Incorporation of a Nanotechnology-Based Product in Cementitious Binders for Sustainable Mitigation of Sulphate-Induced Heaving of Stabilised Soils. Eng. Sci. Technol. Int. J. 2021, 24, 436–448. [Google Scholar] [CrossRef]
- Wang, D.; Wang, Z.; Wang, H. Feasibility and Performance Assessment of Novel Framework for Soil Stabilization Using Multiple Industrial Wastes. Constr. Build. Mater. 2024, 449, 138228. [Google Scholar] [CrossRef]
- Real, S.; Bogas, J.A.; Cruz, R.; Gomes, M.G. Eco-Recycled Cement’s Effect on the Microstructure and Hygroscopic Behaviour of Compressed Stabilised Earth Blocks. J. Build. Eng. 2024, 95, 110227. [Google Scholar] [CrossRef]
- Mimboe, A.G.; Abo, M.T.; Djobo, J.N.Y.; Tome, S.; Kaze, R.C.; Deutou, J.G.N. Lateritic Soil Based-Compressed Earth Bricks Stabilized with Phosphate Binder. J. Build. Eng. 2020, 31, 101465. [Google Scholar] [CrossRef]
- Kasehchi, E.; Arjomand, M.A.; Alizadeh Elizei, M.H. Experimental Investigation of the Feasibility of Stabilizing Inshore Silty Sand Soil Using Geopolymer Based on Ceramic Waste Powder: An Approach to Upcycling Waste Material for Sustainable Construction. Case Stud. Constr. Mater. 2024, 20, e02979. [Google Scholar] [CrossRef]
- Seco, A.; del Castillo, J.M.; Espuelas, S.; Marcelino, S.; García, B. Sulphate Soil Stabilisation with Magnesium Binders for Road Subgrade Construction. Int. J. Pavement Eng. 2020, 23, 1840–1850. [Google Scholar] [CrossRef]
- Li, W.; Yi, Y.; Puppala, A.J. Suppressing Ettringite-Induced Swelling of Gypseous Soil by Using Magnesia-Activated Ground Granulated Blast-Furnace Slag. J. Geotech. Geoenviron. Eng. 2020, 146, 06020008. [Google Scholar] [CrossRef]
- Choobbasti, A.J.; Kutanaei, S.S. Microstructure Characteristics of Cement-Stabilized Sandy Soil Using Nanosilica. J. Rock Mech. Geotech. Eng. 2017, 9, 981–988. [Google Scholar] [CrossRef]
- Eskisar, T.; Rahat, E. Stabilization of Recycled and Pure Soils Using Mussel Shell Powder and Cement: Experimental Evaluation of Strength and Durability. Eng. Sci. Technol. Int. J. 2025, 67, 102073. [Google Scholar] [CrossRef]
- Türköz, M.; Umu, S.U.; Öztürk, O. Effect of Silica Fume as a Waste Material for Sustainable Environment on the Stabilization and Dynamic Behavior of Dispersive Soil. Sustainability 2021, 13, 4321. [Google Scholar] [CrossRef]
- Ebailila, M.; Kinuthia, J.; Oti, J.; Al-Waked, Q. Sulfate Soil Stabilisation with Binary Blends of Lime–Silica Fume and Lime–Ground Granulated Blast Furnace Slag. Transp. Geotech. 2022, 37, 100888. [Google Scholar] [CrossRef]
- Singh, P.; Dash, H.K.; Samantaray, S. Effect of Silica Fume on Engineering Properties of Expansive Soil. Mater. Today Proc. 2020, 33, 5035–5040. [Google Scholar] [CrossRef]
- McLellan, B.C.; Williams, R.P.; Lay, J.; Van Riessen, A.; Corder, G.D. Costs and Carbon Emissions for Geopolymer Pastes in Comparison to Ordinary Portland Cement. J. Clean. Prod. 2011, 19, 1080–1090. [Google Scholar] [CrossRef]
- Moayyeri, N.; Oulapour, M.; Haghighi, A. Study of Geotechnical Properties of a Gypsiferous Soil Treated with Lime and Silica Fume. Geomech. Eng. 2019, 17, 195–206. [Google Scholar] [CrossRef]
- BS 1924-2; Hydraulically Bound and Stabilized Materials for Civil Engineering Purposes—Part 2: Sample Preparation and Testing of Materials During and After Treatment. BSI Standards Limited: London, UK, 2018; ISBN 9780580974199.
- BS EN ISO 17892-7: 2018; Geotechnical Investigation and Testing-Laboratory Testing of Soil—Part 7: Unconfined Compression Test. BSI Standards Limited: London, UK, 2018; ISBN 178927:2017.
- BS EN 13286-49: 2004; Unbound and Hydraulically Bound Mixtures—Part 49: Accelerated Swelling Test for Soil Treated by Lime and/or Hydraulic Binder. BSI Standards Limited: London, UK, 2004; ISBN 0580435644.
- Jin, F.; Al-Tabbaa, A. Thermogravimetric Study on the Hydration of Reactive Magnesia and Silica Mixture at Room Temperature. Thermochim. Acta 2013, 566, 162–168. [Google Scholar] [CrossRef]
- Sonat, C.; Unluer, C. Investigation of the Performance and Thermal Decomposition of MgO and MgO-SiO2 Formulations. Thermochim. Acta 2017, 655, 251–261. [Google Scholar] [CrossRef]
- Konan, K.L.; Peyratout, C.; Smith, A.; Bonnet, J.P.; Rossignol, S.; Oyetola, S. Comparison of Surface Properties between Kaolin and Metakaolin in Concentrated Lime Solutions. J. Colloid Interface Sci. 2009, 339, 103–109. [Google Scholar] [CrossRef]
- Chemeda, Y.C.; Deneele, D.; Ouvrard, G. Short-Term Lime Solution-Kaolinite Interfacial Chemistry and Its Effect on Long-Term Pozzolanic Activity. Appl. Clay Sci. 2018, 161, 419–426. [Google Scholar] [CrossRef]
- Xu, Z.; Zhou, Z.; Du, P.; Cheng, X. Effects of Nano-Silica on Hydration Properties of Tricalcium Silicate. Constr. Build. Mater. 2016, 125, 1169–1177. [Google Scholar] [CrossRef]
- Wu, C.; Zhang, H.; Yu, H. Preparation and Properties of Modified Magnesium Oxysulfate Cement Derived from Waste Sulfuric Acid. Adv. Cement Res. 2016, 28, 178–188. [Google Scholar] [CrossRef]
- Sonat, C.; Teo, W.W.; Unluer, C. Performance and Microstructure of MgO-SiO2 Concrete under Different Environments. Constr. Build. Mater. 2018, 184, 549–564. [Google Scholar] [CrossRef]
- Zhang, T.; Vandeperre, L.J.; Cheeseman, C.R. Formation of Magnesium Silicate Hydrate (M-S-H) Cement Pastes Using Sodium Hexametaphosphate. Cem. Concr. Res. 2014, 65, 8–14. [Google Scholar] [CrossRef]
- Zhang, T.; Zou, J.; Wang, B.; Wu, Z.; Jia, Y.; Cheeseman, C.R. Characterization of Magnesium Silicate Hydrate (MSH) Gel Formed by Reacting MgO and Silica Fume. Materials 2018, 11, 909. [Google Scholar] [CrossRef]
- Karimiazar, J.; Sharifi Teshnizi, E.; O’Kelly, B.C.; Sadeghi, S.; Karimizad, N.; Yazdi, A.; Arjmandzadeh, R. Effect of Nano-Silica on Engineering Properties of Lime-Treated Marl Soil. Transp. Geotech. 2023, 43, 101123. [Google Scholar] [CrossRef]
- Kun, H.; Haoran, T.; Guojun, C.; Dongdong, M.; Kai, H.; Lulu, L.; Fengyun, W. Research on the Dynamic Fracture Characteristics and Constitutive Model of Cement-Metakaolin Stabilized Soil under Freeze-Thaw Cycle Conditions. Constr. Build. Mater. 2025, 481, 141641. [Google Scholar] [CrossRef]
- Cao, F.; Miao, M.; Yan, P. Hydration Characteristics and Expansive Mechanism of MgO Expansive Agents. Constr. Build. Mater. 2018, 183, 234–242. [Google Scholar] [CrossRef]
- Obuzor, G.N.; Kinuthia, J.M.; Robinson, R.B. Utilisation of Lime Activated GGBS to Reduce the Deleterious Effect of Flooding on Stabilised Road Structural Materials: A Laboratory Simulation. Eng. Geol. 2011, 122, 334–338. [Google Scholar] [CrossRef]






| Oxides | Compositions (%) | ||
|---|---|---|---|
| Kaolin | Magnesium Oxide | Silica Fume | |
| <0.01 | - | 0.2 | |
| 0.21 | >98 | 0.1 | |
| 47.32 | - | 98.4 | |
| 35.96 | - | 0.2 | |
| 0.07 | - | - | |
| 0.12 | - | 0.03 | |
| 0.69 | - | 0.01 | |
| 0.02 | - | - | |
| 1.8 | - | 0.2 | |
| 0.02 | - | - | |
| <0.01 | - | - | |
| 0.07 | - | - | |
| 0.01 | - | 0.1 | |
| 0.1 | - | - | |
| 0.1 | - | - | |
| LOI | 13.1 | - | 0.5 |
| Properties | Kaolin | Magnesium Oxide | Silica Fume |
|---|---|---|---|
| Linear Shrinkage (%) | 10.8 | - | - |
| Linear Expansion (%) | 6.2 | - | - |
| Swelling Pressure (kPa) | 1.3 | - | - |
| Bulk density | - | - | 300 |
| Specific gravity | 2.14 | 3.58 | 3.15 |
| Alkalinity value (pH) | 5.37 | 11.9 | 7 |
| Colour | White | White | Grey |
| Mix Code | Mix Compositions (wt%) | |||||
|---|---|---|---|---|---|---|
| Target Soil Materials (wt%) | Water (wt%) | Binder (wt%) | Binder Composition in (wt%) by Target Soil Material Mass | |||
| Kaolin | Gypsum | Magnesium Oxide | Silica Fume | |||
| K9G–10M0S | 91 | 9 | 31 | 10 | 10 | - |
| K9G–9M1S | 91 | 9 | 31 | 10 | 9 | 1 |
| K9G–7M3S | 91 | 9 | 31 | 10 | 7 | 3 |
| K9G–5M5S | 91 | 9 | 31 | 10 | 5 | 5 |
| K9G–3M7S | 91 | 9 | 31 | 10 | 3 | 7 |
Disclaimer/Publisher’s Note: The statements, opinions and data contained in all publications are solely those of the individual author(s) and contributor(s) and not of MDPI and/or the editor(s). MDPI and/or the editor(s) disclaim responsibility for any injury to people or property resulting from any ideas, methods, instructions or products referred to in the content. |
© 2025 by the authors. Licensee MDPI, Basel, Switzerland. This article is an open access article distributed under the terms and conditions of the Creative Commons Attribution (CC BY) license (https://creativecommons.org/licenses/by/4.0/).
Share and Cite
Oti, J.; Ebailila, M.; Ehwailat, K.; Kinuthia, J. Optimisation of Magnesium Oxide and Silica Fume Blend for Sulphate Soil Stabilisation. Ceramics 2025, 8, 134. https://doi.org/10.3390/ceramics8040134
Oti J, Ebailila M, Ehwailat K, Kinuthia J. Optimisation of Magnesium Oxide and Silica Fume Blend for Sulphate Soil Stabilisation. Ceramics. 2025; 8(4):134. https://doi.org/10.3390/ceramics8040134
Chicago/Turabian StyleOti, Jonathan, Mansour Ebailila, Khaled Ehwailat, and John Kinuthia. 2025. "Optimisation of Magnesium Oxide and Silica Fume Blend for Sulphate Soil Stabilisation" Ceramics 8, no. 4: 134. https://doi.org/10.3390/ceramics8040134
APA StyleOti, J., Ebailila, M., Ehwailat, K., & Kinuthia, J. (2025). Optimisation of Magnesium Oxide and Silica Fume Blend for Sulphate Soil Stabilisation. Ceramics, 8(4), 134. https://doi.org/10.3390/ceramics8040134

