Topic Editors

Departament de Ciència de Materials i Química Física, Universitat de Barcelona, C/Martí i Franquès 1, 08028 Barcelona, Spain
Departament de Ciència de Materials i Química Física, Universitat de Barcelona, C/Martí i Franquès 1, 08028 Barcelona, Spain

Research in Sustainable and Alternative Construction and Building Materials

Abstract submission deadline
30 April 2026
Manuscript submission deadline
30 September 2026
Viewed by
2143

Topic Information

Dear Colleagues,

The use of waste and by-products in the construction sector contributes significantly to reducing landfill demand and advancing sustainability objectives. Recycling, reusing, and recovering materials in the construction field are of high relevance not only for the scientific community but also for society.

The potential use of waste and by-products in the buildings offers impactful alternatives to conventional construction research by integrating sustainable and environmental criteria. These include the development of lightweight materials, insulating materials, alternative binders, and other innovative solutions. A key objective is to achieve alignment with current trends aimed at reducing CO2 emissions through the development and design of new sustainable materials.

This Topic aims to highlight novel perspectives on the development of sustainable construction materials by waste, by-products, and other alternative resources across various applications. This Topic welcomes high-quality contributions that address a broad spectrum of topics related to the use of waste and by-products in construction as well as thermal energy storage systems. It welcomes contributions employing diverse characterization techniques to explore material performance. In addition, it encourages studies addressing the functional properties of the resulting materials or systems, including building comfort, energy efficiency through reduced reliance on HVAC systems, acoustic performance, fire resistance, and other relevant attributes.

Topics of interest include, but are not limited to, the following:

- Material development: Research focused on the development and characterization of innovative, sustainable materials for building applications, particularly those derived from waste or industrial by-products with emphasis on improving performance, durability, and cost-effectiveness. The chemical, physical, mechanical, thermal, acoustic, and fire-resistant properties should be evaluated for the sustainable materials developed, as well as their long-term performance in real-world construction scenarios.

- Life Cycle Assessment (LCA): Studies assessing the environmental impacts, energy consumption, and carbon footprint of construction materials developed from waste, including comparative analyses with conventional materials.

- Circular economy: Investigations into circular construction practices incorporating waste or by-products, aiming to enhance sustainability through resource efficiency and reduced environmental impact.

Dr. Jessica Giró Paloma
Dr. Joan Formosa Mitjans
Topic Editors

Keywords

  • construction materials
  • waste and by-products management
  • reuse
  • aggregates
  • life cycle assessment
  • valorization
  • environment
  • alternative sustainable materials
  • alternative binders
  • thermal energy storage
  • thermal comfort

Participating Journals

Journal Name Impact Factor CiteScore Launched Year First Decision (median) APC
Applied Sciences
applsci
2.5 5.5 2011 19.8 Days CHF 2400 Submit
Ceramics
ceramics
2.0 3.7 2018 19.6 Days CHF 1600 Submit
Polymers
polymers
4.9 9.7 2009 14 Days CHF 2700 Submit
Sustainable Chemistry
suschem
4.2 10.7 2020 30.4 Days CHF 1000 Submit
Buildings
buildings
3.1 4.4 2011 14.9 Days CHF 2600 Submit
Construction Materials
constrmater
- 3.1 2021 18.6 Days CHF 1200 Submit
Materials
materials
3.2 6.4 2008 15.2 Days CHF 2600 Submit

Preprints.org is a multidisciplinary platform offering a preprint service designed to facilitate the early sharing of your research. It supports and empowers your research journey from the very beginning.

MDPI Topics is collaborating with Preprints.org and has established a direct connection between MDPI journals and the platform. Authors are encouraged to take advantage of this opportunity by posting their preprints at Preprints.org prior to publication:

  1. Share your research immediately: disseminate your ideas prior to publication and establish priority for your work.
  2. Safeguard your intellectual contribution: Protect your ideas with a time-stamped preprint that serves as proof of your research timeline.
  3. Boost visibility and impact: Increase the reach and influence of your research by making it accessible to a global audience.
  4. Gain early feedback: Receive valuable input and insights from peers before submitting to a journal.
  5. Ensure broad indexing: Web of Science (Preprint Citation Index), Google Scholar, Crossref, SHARE, PrePubMed, Scilit and Europe PMC.

Published Papers (3 papers)

Order results
Result details
Journals
Select all
Export citation of selected articles as:
13 pages, 1278 KB  
Article
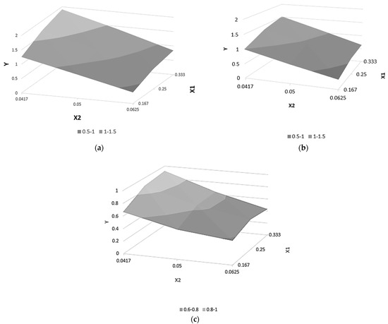
Parametric Optimization of a Cross-Beam Glulam Floor System Using Response Surface Methodology
by Oleksandr Gilodo, Andrii Arsirii, Sergii Kroviakov and Oleksandr Gimanov
Constr. Mater. 2025, 5(4), 85; https://doi.org/10.3390/constrmater5040085 - 26 Nov 2025
Viewed by 218
Abstract
Cross-beam glued-laminated timber (glulam) floor systems offer material efficiency but pose a complex design challenge due to three-dimensional (3D) load interactions, and systematic optimization guidelines are lacking. This study implements a parametric optimization framework using a three-factor Design of Experiments (DOE) approach (beam [...] Read more.
Cross-beam glued-laminated timber (glulam) floor systems offer material efficiency but pose a complex design challenge due to three-dimensional (3D) load interactions, and systematic optimization guidelines are lacking. This study implements a parametric optimization framework using a three-factor Design of Experiments (DOE) approach (beam spacing ratio, height-to-span ratio, width-to-height ratio). A total of 27 full-factorial finite element models (FEMs) were simulated in Dlubal RFEM. A second-order response surface methodology (RSM) model was developed to predict the load utilization factor (Y) in accordance with Eurocode 5. The predictive model demonstrated high statistical accuracy (R2 > 0.98). A multi-criteria optimization using the Pareto frontier identified a balanced solution (x1 = 0.250, x2 = 0.042, x3 = 0.5) that achieved 97.4% load utilization (Y = 0.974). This optimal configuration reduces the required timber volume by approximately 10% compared with other efficient designs and by over 60% compared with inefficient (Y ≈ 0.5) but safe designs within the experimental space. The resulting regression model provides a validated engineering tool for designing materially efficient glulam floor systems, allowing designers to balance structural safety with material economy. Full article
Show Figures

Figure 1

24 pages, 28206 KB  
Article
Design and Development of Sustainable Geopolymers Based on Fly Ash, Slag, and Diatomaceous Earth: A Chemometric Approach
by Dušan V. Trajković, Natalija D. Milojković, Nevenka N. Mijatović, Aleksandra S. Popović, Đorđe N. Veljović, Aleksandra A. Perić Grujić and Dragana Z. Živojinović
Sustain. Chem. 2025, 6(4), 45; https://doi.org/10.3390/suschem6040045 - 18 Nov 2025
Viewed by 362
Abstract
The burning of coal in thermal power plants throughout Serbia produces significant amounts of industrial waste, primarily in the form of fly ash, boiler ash, and slag. Given their annual production, availability, and fine grain structure, it is necessary that sustainable strategies are [...] Read more.
The burning of coal in thermal power plants throughout Serbia produces significant amounts of industrial waste, primarily in the form of fly ash, boiler ash, and slag. Given their annual production, availability, and fine grain structure, it is necessary that sustainable strategies are developed for their reuse, instead of depositing them directly in landfills. In this research, the possibility of using fly ash, slag, and diatomaceous earth as raw materials for the synthesis of geopolymers at low temperatures was examined, in order to replace cement in construction materials, with the aim of reducing carbon dioxide emissions. Special emphasis was put on the effect of addition of organic macromolecules—polyvinyl alcohol (PVA), chitosan, and starch—upon the structure and mechanical properties of the obtained materials. In addition, the behavior of the materials with regard to the leaching of heavy metals in different environmental conditions was examined. Chemometric methods of multivariate analysis were used to examine the correlations between the obtained physical–chemical parameters, while the dependence of mechanical properties on the composition of the raw mixture was analyzed using the Mixture Design of Experiments method. The results obtained indicate that the examined waste materials have potential to be used as an environmentally friendly alternative to cement. The addition of PVA and chitosan had a positive effect on the mechanical properties of the geopolymers, with the highest strength achieved in formulations based solely on fly ash, containing 2.5% PVA, which reached 12.6 MPa. It was also shown that the addition of 30% diatomaceous earth increases the density and compressive strength of the material, while reducing the number of microcracks present in its structure, with a compressive strength of 13 MPa. Full article
Show Figures

Graphical abstract

22 pages, 1537 KB  
Review
Comprehensive Review of SBA-15 Mesoporous Silica: Functionalization Strategies, Diffusion Mechanisms, and Emerging Applications
by Morayma Muñoz, Diego Flores, Grace Morillo, Ricardo Narváez, Antonio Marcilla and Marco Rosero
Sustain. Chem. 2025, 6(4), 42; https://doi.org/10.3390/suschem6040042 - 3 Nov 2025
Viewed by 1141
Abstract
Mesoporous materials have attracted increasing attention due to their ordered pore systems; tunable surface chemistry; and versatile applications in catalysis, adsorption, and environmental technologies. Among them, SBA-15 stands out for its large surface area, uniform mesopores, and high hydrothermal stability, which make it [...] Read more.
Mesoporous materials have attracted increasing attention due to their ordered pore systems; tunable surface chemistry; and versatile applications in catalysis, adsorption, and environmental technologies. Among them, SBA-15 stands out for its large surface area, uniform mesopores, and high hydrothermal stability, which make it a promising platform for gas adsorption and mass transport studies. This review examines the functionalization of SBA-15 through strategies such as post-synthesis grafting and co-condensation, focusing on the introduction of amines, thiols, and organometallic species that enhance selectivity, adsorption capacity, and thermal stability. The discussion integrates classical diffusion models, including Fickian and Knudsen transport, with more advanced approaches such as the Maxwell–Stefan formalism, to describe molecular transport within mesoporous networks and highlight the role of van der Waals interactions in gas capture processes. Special emphasis is placed on the relationship between structural features and diffusive behavior, supported by recent advances in computational modeling and spectroscopic validation. Applications in CO2 capture, heterogeneous catalysis, drug delivery, and environmental remediation are critically assessed to illustrate the versatility of functionalized SBA-15. This review concludes by outlining future perspectives on the rational design of hierarchical and multifunctional mesoporous materials for clean energy conversion, pollutant removal, and biomedical applications. Full article
Show Figures

Graphical abstract

Back to TopTop