Previous Issue
Volume 5, December
 
 

Phycology, Volume 6, Issue 1 (March 2026) – 23 articles

  • Issues are regarded as officially published after their release is announced to the table of contents alert mailing list.
  • You may sign up for e-mail alerts to receive table of contents of newly released issues.
  • PDF is the official format for papers published in both, html and pdf forms. To view the papers in pdf format, click on the "PDF Full-text" link, and use the free Adobe Reader to open them.
Order results
Result details
Select all
Export citation of selected articles as:
17 pages, 1177 KB  
Article
Crude Microalgae Extract for Increased CO2 Capture and Higher Biomass Production in Algal Cultivation Systems
by Maja Berden-Zrimec, Domen Lazar, Domen Trontelj, Elli Maria Barampouti, Sofia Mai, Dimitris Malamis and Robert Reinhardt
Phycology 2026, 6(1), 23; https://doi.org/10.3390/phycology6010023 (registering DOI) - 2 Feb 2026
Abstract
Efficient inorganic carbon supply is a common limitation in microalgal cultivation, particularly in waste-derived media such as anaerobic digestate. Carbonic anhydrase (CA) accelerates the interconversion of CO2 and bicarbonate and may therefore enhance carbon utilisation under conditions where inorganic carbon is abundant [...] Read more.
Efficient inorganic carbon supply is a common limitation in microalgal cultivation, particularly in waste-derived media such as anaerobic digestate. Carbonic anhydrase (CA) accelerates the interconversion of CO2 and bicarbonate and may therefore enhance carbon utilisation under conditions where inorganic carbon is abundant but not readily available. In this study, crude CA-containing extracts (aCA) were prepared from Scenedesmus-dominated algal biomass, and CA activity was quantified using an esterase assay (EAA). Although EAA activities varied depending on biomass pretreatment (0.15–0.47 U g−1 DW), the physiological response to extract addition was consistent. In batch cultures of Chlorella sorokiniana grown in diluted digestate, aCA supplementation increased the specific growth rate (SGR) by 21–82%. In contrast, stimulation in a mineral medium was minimal, indicating that the benefit of aCA addition is most apparent under reduced inorganic carbon availability. In semi-continuous cultivation, repeated extract addition sustained a higher biomass productivity over time (rather than a specific growth rate). These results demonstrate that crude microalgal extracts containing CA can improve growth performance in digestate-based cultures and may offer a simple, low-cost approach to enhancing inorganic carbon utilisation in waste-integrated algal production systems. Full article
12 pages, 1477 KB  
Article
Inhibitory Effects of Hydrogen Peroxide on Prorocentrum donghaiense Lu Under Varying Light Conditions and Iron Ion Environments
by Pengyu Liang, Ziqing Zhong and Qilin Zheng
Phycology 2026, 6(1), 22; https://doi.org/10.3390/phycology6010022 - 2 Feb 2026
Abstract
Light and antioxidant systems play a crucial role in the life activities of algal cells. This study investigates the algicidal efficacy of hydrogen peroxide (H2O2) against the harmful algal bloom (HAB)-forming dinoflagellate Prorocentrum donghaiense Lu, with a focus on [...] Read more.
Light and antioxidant systems play a crucial role in the life activities of algal cells. This study investigates the algicidal efficacy of hydrogen peroxide (H2O2) against the harmful algal bloom (HAB)-forming dinoflagellate Prorocentrum donghaiense Lu, with a focus on the modulating roles of light conditions and iron ion environments. Within 180 min, dark-adapted cells showed 78% greater viability loss than light-exposed ones, and Fe3O4 nanoparticles synergistically enhanced H2O2 inhibition. Imaging and cytometry confirmed cell damage, including membrane rupture. Mechanistically, H2O2 penetrated cells, induced severe oxidative stress, suppressed photosynthesis, and compromised membrane integrity. Darkness likely exacerbated toxicity by depleting antioxidant reserves. This study elucidates an apoptosis-like pathway underlying H2O2-induced cell death and highlights the critical influence of ambient light on treatment efficiency. These findings reveal an apoptosis-like death pathway and highlight ambient light’s critical role, suggesting that optimized nighttime H2O2 application with nanomaterial synergists could improve HAB control strategies. Full article
(This article belongs to the Collection Harmful Microalgae)
Show Figures

Graphical abstract

20 pages, 1585 KB  
Article
Integrating C-Phycocyanin, and Polyhydroxybutyrate Recovery Using a Triphasic System: Experimental Design and Optimization in Thermotolerant Potamosiphon sp.
by Andrés F. Barajas-Solano
Phycology 2026, 6(1), 21; https://doi.org/10.3390/phycology6010021 - 1 Feb 2026
Abstract
This research assesses a triphasic extraction technique for the sequential retrieval of C-phycocyanin (C-PC) and polyhydroxybutyrate (PHB) from a thermotolerant Potamosiphon sp. strain. A two-stage design-of-experiments methodology was employed (Minimum Run Resolution V factorial design involving six variables, followed by a central composite [...] Read more.
This research assesses a triphasic extraction technique for the sequential retrieval of C-phycocyanin (C-PC) and polyhydroxybutyrate (PHB) from a thermotolerant Potamosiphon sp. strain. A two-stage design-of-experiments methodology was employed (Minimum Run Resolution V factorial design involving six variables, followed by a central composite design (CCD)) to optimize the chosen region. In the factorial stage, PHB ranged from 109.396 to 168.995 mg/g, and the model was significant (F = 22.63, p < 0.0001). Freeze-milling and vortexing were identified as critical elements, underscoring the importance of the t-butanol × (NH4)2SO4 interaction for phase selectivity. The CCD concentrating on freeze-milling and vortex cycles yielded a robust quadratic model (F = 78.18, p < 0.0001), forecasting a peak PHB yield of 191.82 mg/g at six freeze-milling cycles and three vortex cycles (desirability 0.921), while maintaining t-butanol at 19.9 mL, t-butanol concentration at 94.7% (v/v), (NH4)2SO4 at 49.9% (w/v), and vortex duration at 1.2 min. Ten separate trials validated the model’s accuracy, yielding an observed PHB of 191.5 mg/g, which closely matched the model’s prediction. The platform facilitates an integrated downstream process in which C-PC is recovered under moderate conditions before triphasic partitioning. This enables the simultaneous valorization of pigment, lipophilic fraction, and biopolymer inside a unified cyanobacterial biorefinery process. Full article
(This article belongs to the Special Issue Development of Algal Biotechnology)
Show Figures

Figure 1

12 pages, 2581 KB  
Article
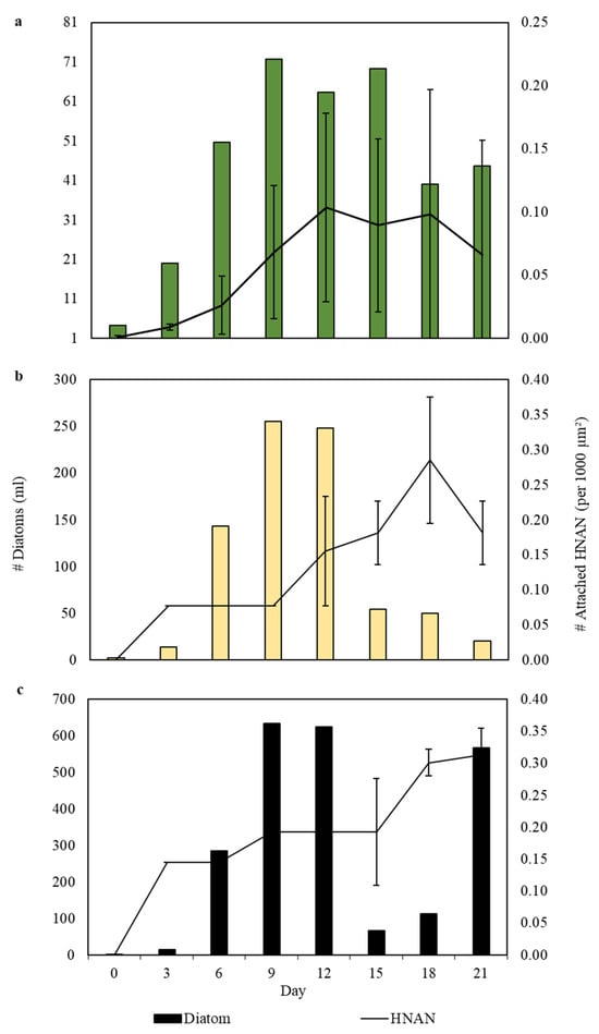
Getting Attached: A Heterotrophic Nanoflagellate Mingling with Centric Diatoms
by Gabrielle Corradino and Astrid Schnetzer
Phycology 2026, 6(1), 20; https://doi.org/10.3390/phycology6010020 - 1 Feb 2026
Abstract
Heterotrophic nanoflagellates (HNANs) are central components of the microbial loop, transferring carbon from bacteria to higher trophic levels and facilitating nutrient recycling. While many HNANs are free-swimming, some exhibit enhanced feeding efficiency when attached to surfaces, including diatom frustules. Here, we describe the [...] Read more.
Heterotrophic nanoflagellates (HNANs) are central components of the microbial loop, transferring carbon from bacteria to higher trophic levels and facilitating nutrient recycling. While many HNANs are free-swimming, some exhibit enhanced feeding efficiency when attached to surfaces, including diatom frustules. Here, we describe the attachment behavior of a novel interception-feeding HNAN affiliated with the order Bicosoecida to centric diatoms common in North Carolina coastal waters. Using growth experiments, live observations, and time-lapse microscopy, we quantified attachment frequency and assessed its influence on diatom growth for three diatom species: Coscinodiscus sp., Odontella sp., and Rhizosolenia sp. HNAN attachment differed significantly among diatom taxa: Coscinodiscus sp. hosted the highest and most sustained numbers per frustule, whereas after normalizing for surface area, Rhizosolenia sp. exhibited the highest attachment efficiency. Diatom peak growth was 1.2 to 2.1-fold higher and occurred earlier in HNAN co-cultures than in controls, indicating microbial recycling by the HNAN stimulated growth. These findings highlight the nuanced ecological role attached HNANs might play as they exploit diatom-associated boundary layers to enhance bacterial encounter rates. The growth trajectories in our lab experiments suggests that attachment behavior in situ can play a role in driving diatom bloom dynamics and, therefore, play an important role for carbon cycling. Full article
(This article belongs to the Special Issue Microbial Interactions in the Phycosphere)
Show Figures

Figure 1

33 pages, 971 KB  
Review
Prospects and Potential for the Use of Microalgae and Cyanobacteria Biomass in Agriculture
by Izabela Świca, Joanna Kazimierowicz and Marcin Dębowski
Phycology 2026, 6(1), 19; https://doi.org/10.3390/phycology6010019 - 1 Feb 2026
Abstract
Microalgae and cyanobacteria represent promising, sustainable resources for agricultural applications, particularly as biofertilisers, biostimulants, and biological plant protection agents. Their biomass can improve nutrient use efficiency, support plant growth and yield, and enhance soil structure and microbial activity, while cyanobacteria additionally contribute through [...] Read more.
Microalgae and cyanobacteria represent promising, sustainable resources for agricultural applications, particularly as biofertilisers, biostimulants, and biological plant protection agents. Their biomass can improve nutrient use efficiency, support plant growth and yield, and enhance soil structure and microbial activity, while cyanobacteria additionally contribute through biological nitrogen fixation, reducing reliance on synthetic fertilisers. The integration of microalgal cultivation with closed-loop systems, such as wastewater treatment plants or biogas facilities, enables nutrient recovery, production of value-added biomass, and mitigation of greenhouse gas emissions. This review synthesises current knowledge on the biochemical composition, functional properties, and mechanisms of action of microalgal and cyanobacterial biomass in relation to these established agricultural applications. In addition, prevailing research trends, selected technological and organisational constraints, and implementation challenges are discussed. Particular attention is given to emerging application contexts, including bioregenerative life support systems (BLSS) for space agriculture, where microalgae and cyanobacteria can contribute to oxygen production, nutrient recycling, and edible biomass generation. Species such as Chlorella vulgaris, Arthrospira platensis, and Scenedesmus obliquus demonstrate tolerance to microgravity, radiation, and limited light conditions, supporting their potential use in closed, self-sufficient cultivation systems. Although numerous reviews have addressed individual agricultural applications of microalgae and cyanobacteria, a more integrative perspective that connects biological functionality with broader technological, regulatory, and implementation contexts remains valuable. The present review contributes to this perspective by consolidating established agronomic uses and extending the discussion toward selected emerging applications, thereby providing a structured framework for future research and development in sustainable terrestrial and extraterrestrial agriculture. Full article
Show Figures

Figure 1

45 pages, 1495 KB  
Review
Microalgae-Based Wastewater Treatment Processes for the Bioremediation and Valorization of Biomass: A Review
by Amritpreet Kaur Minhas, Suchitra Gaur, Sharon Sunny, Chaturya Paladugu, Gokare Aswathanarayana Ravishankar, Leonel Pereira and Ranga Rao Ambati
Phycology 2026, 6(1), 18; https://doi.org/10.3390/phycology6010018 - 1 Feb 2026
Abstract
Conventional wastewater treatment methods often rely on energy-intensive physical and chemical processes that are costly and may generate secondary pollution. These limitations have prompted the exploration of more sustainable alternatives. Among them, phycoremediation, particularly using microalgae, has emerged as a promising strategy for [...] Read more.
Conventional wastewater treatment methods often rely on energy-intensive physical and chemical processes that are costly and may generate secondary pollution. These limitations have prompted the exploration of more sustainable alternatives. Among them, phycoremediation, particularly using microalgae, has emerged as a promising strategy for mitigating environmental pollution. Microalgae possess unique capabilities to sequester heavy metals, assimilate nutrients, and degrade emerging contaminants while simultaneously producing valuable biomass. The efficacy of microalgal bioremediation can be enhanced through omics-based approaches, which enable these biological agents to convert toxic compounds into non-toxic forms and improve ecosystem health. Additionally, forming microalgae–microorganism consortia can enhance process efficiency and cost-effectiveness. This review highlights multi-pronged strategies for pollutant mitigation in wastewater, focusing on environmentally and economically viable microalgal cultivation systems. It also identifies research gaps and discusses the potential for biomass valorization into economically important products. Full article
(This article belongs to the Special Issue Development of Algal Biotechnology)
Show Figures

Graphical abstract

39 pages, 2038 KB  
Review
Microalgal Biofactories: Sustainable Solutions for Nutrition and Cosmetics
by Khalifa S. H. Eldiehy, Yasmeen G. Haraz, Ibrahim S. Alkhazi, Malek Alrashidi, Mansoor Alghamdi, Norhan M. Elbanhawy and Omar Mohammad Atta
Phycology 2026, 6(1), 17; https://doi.org/10.3390/phycology6010017 - 1 Feb 2026
Abstract
Microalgae have emerged as sustainable biofactories producing diverse bioactive compounds with significant applications in nutrition and cosmetics. Their high metabolic versatility makes them promising alternatives to conventional resources for addressing global challenges such as malnutrition, food insecurity, and environmental degradation. This review provides [...] Read more.
Microalgae have emerged as sustainable biofactories producing diverse bioactive compounds with significant applications in nutrition and cosmetics. Their high metabolic versatility makes them promising alternatives to conventional resources for addressing global challenges such as malnutrition, food insecurity, and environmental degradation. This review provides an integrated perspective on microalgal bioactives, highlighting their role in functional foods, dietary supplements, and maternal and infant nutrition, as well as their incorporation into cosmetic formulations for anti-aging, photoprotection, hydration, and microbiome support. Mechanistic insights reveal antioxidant, anti-inflammatory, and extracellular matrix-preserving effects, alongside UV absorption and barrier reinforcement. The review also discusses their biochemical diversity, mechanisms of action, safety, regulatory considerations, and emerging technologies for formulation and delivery. AI-driven and machine-learning approaches using microalgae for cosmetic and nutritional applications have also been discussed. Overall, microalgae serve as a cornerstone for next-generation nutraceuticals and cosmeceuticals, aligning with sustainability and circular-economy principles. Full article
(This article belongs to the Special Issue Development of Algal Biotechnology)
Show Figures

Graphical abstract

23 pages, 3182 KB  
Article
Unraveling the Genetic and Morphological Boundaries of the Kelps Eisenia cokeri and E. gracilis (Laminariales, Phaeophyceae) from Peru, and Their Phylogenetic Relationship with Eisenia from the Desventuradas Islands (Chile)
by Patricia Carbajal, Natalia Arakaki, Diego Márquez-Corigliano and Florence Tellier
Phycology 2026, 6(1), 16; https://doi.org/10.3390/phycology6010016 - 1 Feb 2026
Abstract
The kelp genus Eisenia Areschoug is represented by two species in the Southeast Pacific: Eisenia cokeri, distributed in Peru and Chile, and E. gracilis, endemic to Peru. However, the taxonomic distinction between these species has long been questioned, and it remains [...] Read more.
The kelp genus Eisenia Areschoug is represented by two species in the Southeast Pacific: Eisenia cokeri, distributed in Peru and Chile, and E. gracilis, endemic to Peru. However, the taxonomic distinction between these species has long been questioned, and it remains unclear whether E. cokeri is conspecific with the Northeast Pacific species E. arborea. To address these issues, we conducted an integrative taxonomic assessment combining morphological analyses, molecular phylogenetics, and molecular species delimitation approaches. Sampling for morphological and molecular analyses was carried out in subtidal zones at five localities along the Peruvian coast, and an additional locality in Chile was included for molecular analyses where E. cokeri was documented. Peruvian Eisenia species exhibited consistent morphological differentiation, including differences in thallus size, holdfast diameter, stipe modifications (e.g., longitudinal division and pseudostipe formation), frond division, frond margins, and surface roughness, as supported by morphometric analyses. Phylogenetic reconstructions based on mitochondrial and chloroplast markers, together with concordant results from multiple species delimitation methods (ABGD, GMYC, and bPTP), consistently recovered three independent evolutionary lineages corresponding to E. cokeri, E. gracilis, and a distinct lineage of Eisenia from the Desventuradas Islands (Chile). Our results confirm the taxonomic distinctiveness of E. cokeri and E. gracilis, demonstrate that E. cokeri is genetically distinct from E. arborea, and reveal the presence of a previously unrecognized lineage of Eisenia in the Southeast Pacific. These findings refine species boundaries within the genus and provide a robust framework for the management and conservation of these endemic, foundation, habitat-forming species. Full article
Show Figures

Figure 1

18 pages, 1366 KB  
Article
Valorization of Canteen Wastewater Through Optimized Spirulina Platensis Cultivation for Enhanced Carotenoid Production and Nutrient Removal
by Charith Akalanka Dodangodage, Geethaka Nethsara Gamage, Induwara Arsith Wijesekara, Jagath C. Kasturiarachchi, Thilini A. Perera, Dilan Rajapakshe and Rangika Umesh Halwatura
Phycology 2026, 6(1), 15; https://doi.org/10.3390/phycology6010015 - 14 Jan 2026
Viewed by 202
Abstract
The valorization of nutrient-rich institutional effluents represents a promising route for sustainable algal biotechnology. This study investigates the potential of canteen wastewater (CW) as an alternative culture medium for Spirulina platensis, integrating wastewater treatment with high-value carotenoid and lipid production. Growth performance, biochemical [...] Read more.
The valorization of nutrient-rich institutional effluents represents a promising route for sustainable algal biotechnology. This study investigates the potential of canteen wastewater (CW) as an alternative culture medium for Spirulina platensis, integrating wastewater treatment with high-value carotenoid and lipid production. Growth performance, biochemical composition, and nutrient removal efficiencies were systematically evaluated in 2 L photobioreactors under optimized conditions. Spirulina cultured in 75% CW under 180 μmol photons m−2 s−1 achieved a biomass productivity of 0.071 g L−1 day−1, nearly three-fold higher than the synthetic BG-11 control (0.023 g L−1 day−1). Nutrient remediation was highly efficient, with 92.12% nitrate and 90.05% phosphate removal, effectively reducing effluent concentrations below discharge limits. Biochemical profiling revealed that wastewater-grown biomass contained 54.3% protein and 7.85% lipids, with a remarkable carotenoid yield of 21.81 mg g−1 DW—significantly higher than the control (6.85 mg g−1 DW). Mechanistic analysis suggests that the balanced nutrient stoichiometry (C:N:P ≈ 30:4:1) and mixotrophic conditions enhanced biomass quality while mitigating ammonia toxicity. This study demonstrates the first integrated application of canteen wastewater for dual-purpose bioremediation and pigment-rich biomass production, establishing a scalable circular bioeconomy framework for institutional waste management. Full article
Show Figures

Figure 1

34 pages, 802 KB  
Review
Integrated Microalgal–Aquaponic Systems for Enhanced Water Treatment and Food Security: A Critical Review of Recent Advances in Process Integration and Resource Recovery
by Charith Akalanka Dodangodage, Jagath C. Kasturiarachchi, Induwara Arsith Wijesekara, Thilini A. Perera, Dilan Rajapakshe and Rangika Halwatura
Phycology 2026, 6(1), 14; https://doi.org/10.3390/phycology6010014 - 12 Jan 2026
Viewed by 349
Abstract
The convergence of food insecurity, water scarcity, and environmental degradation has intensified the global search for sustainable agricultural models. Integrated Microalgal–Aquaponic Systems (IAMS) have emerged as a novel multi-trophic platform that unites aquaculture, hydroponics, and microalgal cultivation into a closed-loop framework for resource-efficient [...] Read more.
The convergence of food insecurity, water scarcity, and environmental degradation has intensified the global search for sustainable agricultural models. Integrated Microalgal–Aquaponic Systems (IAMS) have emerged as a novel multi-trophic platform that unites aquaculture, hydroponics, and microalgal cultivation into a closed-loop framework for resource-efficient food production and water recovery. This critical review synthesizes empirical findings and engineering advancements published between 2008 and 2024, evaluating IAMS performance relative to traditional agriculture and recirculating aquaculture systems (RAS). Reported under controlled laboratory and pilot-scale conditions, IAMS have achieved nitrogen and phosphorus recovery efficiencies exceeding 95% while potentially reducing water consumption by up to 90% compared to conventional farming. The integration of microalgal photobioreactors enhances nutrient retention, may contribute to internal carbon capture, and enables the generation of diversified co-products, including biofertilizers and protein-rich aquafeeds. Nevertheless, significant barriers to commercial scalability persist, including the biological complexity of maintaining multi-trophic synchrony, high initial capital expenditure (CAPEX), and regulatory ambiguity regarding the safety of waste-derived algal biomass. Technical challenges such as photobioreactor upscaling, biofouling control, and energy optimization are critically discussed. Finally, the review evaluates the alignment of IAMS with UN Sustainable Development Goals 2, 6, and 13, and outlines future research priorities in techno-economic modeling, automation, and policy development to facilitate the transition of IAMS from pilot-scale innovations to viable industrial solutions. Full article
Show Figures

Graphical abstract

21 pages, 3602 KB  
Article
Study on the Short-Term High-Temperature Response Mechanisms and Ethanolamine Metabolic Regulation in Desert Chlorella
by Nuerbiye Yisimayi, Liping Yang, Mingyang Sun, Xinyue Tang, Lingna Chen, Aisajiang Tuheti, Shanjiang Ai and Yongkun Chen
Phycology 2026, 6(1), 13; https://doi.org/10.3390/phycology6010013 - 8 Jan 2026
Viewed by 278
Abstract
Understanding the molecular basis of heat tolerance in microalgae is crucial for developing resilient strains for industrial biotechnology. This study identified two desert Chlorella strains, XDA024 (thermotolerant) and XDA121 (heat-sensitive), through short-term thermal screening. The thermotolerant strain XDA024 survived exposure to 50 °C [...] Read more.
Understanding the molecular basis of heat tolerance in microalgae is crucial for developing resilient strains for industrial biotechnology. This study identified two desert Chlorella strains, XDA024 (thermotolerant) and XDA121 (heat-sensitive), through short-term thermal screening. The thermotolerant strain XDA024 survived exposure to 50 °C for 3 h, whereas XDA121 succumbed within 1 h at 40 °C. Physiological analyses revealed that the superior heat resistance of XDA024 was associated with enhanced activities of key antioxidant enzymes, including superoxide dismutase, catalase, and peroxidase, which effectively mitigated oxidative damage, alongside an elevated proline content contributing to osmoregulation. Transcriptomic profiling under acute heat stress (45 °C, 3 h) revealed that the unique thermotolerance of XDA024 was underpinned by the upregulation of genes related to photosystem stability and lipid synthesis, processes supported by activated calcium signaling and antioxidant pathways. In contrast, XDA121 exhibited significant downregulation of photosynthesis-related genes and promoted lipid degradation, resulting in membrane instability. Exogenous application of phosphatidylethanolamine (PE) and monoethanolamine (MEA) markedly increased the survival rate of XDA121 by more than threefold, primarily by alleviating membrane damage through enhanced membrane integrity and modulated antioxidant enzyme activities. These findings indicate that thermotolerance in desert Chlorella (Chlorophyta) is governed by the integrated coordination of antioxidant defense mechanisms, lipid metabolism, and photosystem protection. This research provides crucial insights and practical strategies for engineering heat-resistant microalgal strains for sustainable biofuel and bioproduct production. Full article
(This article belongs to the Special Issue Development of Algal Biotechnology)
Show Figures

Figure 1

17 pages, 1465 KB  
Article
High-Solids Processing of Palmaria palmata for Feed Applications: Effects of Alkaline Autoclaving and Sequential Enzymatic Treatment
by Catarina Ramos-Oliveira, Marta Ferreira, Isabel Belo, Aires Oliva-Teles and Helena Peres
Phycology 2026, 6(1), 12; https://doi.org/10.3390/phycology6010012 - 8 Jan 2026
Viewed by 396
Abstract
Macroalgae are increasingly recognized as a valuable source of nutrients and bioactive compounds for animal nutrition, including for aquatic species. However, the complex structure of the macroalgal cell wall limits the accessibility of intracellular components, restricting their use in feeds. To overcome this [...] Read more.
Macroalgae are increasingly recognized as a valuable source of nutrients and bioactive compounds for animal nutrition, including for aquatic species. However, the complex structure of the macroalgal cell wall limits the accessibility of intracellular components, restricting their use in feeds. To overcome this limitation, macroalgal hydrolysis using various technological treatments has been tested, often employing a low solid-to-water ratio, which complicates downstream processing due to phase separation. In contrast, high-solids loading hydrolysis has the advantage of producing a single and consolidated fraction, simplifying subsequent processing and application. The present study assessed the effectiveness of high-solids loading water or alkaline (0.5 and 1N NaOH) autoclaving for 30 or 60 min, applied alone or followed by sequential enzymatic hydrolysis, using a xylanase-rich enzymatic complex aimed at promoting cell wall disruption and increasing the extractability of intracellular components in the red macroalga Palmaria palmata with minimal free water. The 1N NaOH treatment for 30 min decreased neutral and acid detergent fiber while increasing Folin–Ciocalteu total phenolic content (GAE) (expressed as gallic acid equivalent) and the water-soluble protein fraction and decreased crude protein, indicating enhanced extractability of these components. Microscopic examination showed relatively mild structural changes on the surface of P. palmata after high-solids loading alkaline (1N NaOH) autoclaving for 30 min. Following alkaline or water treatment, the enzymatic complex hydrolysis further increased the Folin–Ciocalteu total phenolic content (GAE), with minimal effects on NDF, ADF, or crude protein. Overall, these results showed that high-solids loading alkaline autoclaving, with or without subsequent enzymatic hydrolysis, effectively disrupts P. palmata cell walls and induces substantial modifications while simplifying processing by avoiding phase separation. Full article
(This article belongs to the Special Issue Development of Algal Biotechnology)
Show Figures

Figure 1

13 pages, 4496 KB  
Article
Further Insights into Influence of Light Intensities on the Production of Long-Chain Hydroxy Fatty Acids, Fatty Diols and Fatty Alcohols in Nannochloropsis oceanica
by Martina Blasio, Adele Cutignano, Angela Sardo, Stefan Schouten and Sergio Balzano
Phycology 2026, 6(1), 11; https://doi.org/10.3390/phycology6010011 - 8 Jan 2026
Viewed by 229
Abstract
Microalgae can modify their metabolic pathways as a response to environmental stimuli such as light, temperature, salinity, and nutrient availability, which critically influence the synthesis of lipids and other biomolecules. While extensive studies have focused on the impact of these environmental variables on [...] Read more.
Microalgae can modify their metabolic pathways as a response to environmental stimuli such as light, temperature, salinity, and nutrient availability, which critically influence the synthesis of lipids and other biomolecules. While extensive studies have focused on the impact of these environmental variables on the accumulation of valuable compounds such as polyunsaturated fatty acids (PUFAs) and triacylglycerols (TAGs), information on the biosynthesis of specialized metabolites, including long-chain hydroxy fatty acids (LCHFAs), long-chain diols (LCDs), and long-chain alkenols (LCAs) is scarce. These metabolites are thought to contribute to the structural integrity of cell walls in certain microalgae, such as Nannochloropsis spp. (Eustigmatophyceae), where they make up a biopolymer known as algaenan. This study investigates how varying light intensities affect the production of LCHFAs, LCDs, and LCAs in Nannochloropsis oceanica over a 12 h light/dark cycle. Our findings provide insights into the lipid biosynthetic pathways in microalgae, revealing that light strongly drives the production of LCHFAs, whereas LCDs and LCAs are less light-dependent and show more variable responses to different light intensities. Full article
Show Figures

Figure 1

11 pages, 1088 KB  
Communication
2-Bromo-5-Hydroxy-4-Methoxybenzaldehyde Exhibits Anti-Inflammatory Effects Through the Inactivation of ERK, JNK, and NF-kB Pathways in RAW 264.7 Cells
by Junseong Kim, Seong-Yeong Heo, Eun-A Kim, Nalae Kang and Soo-Jin Heo
Phycology 2026, 6(1), 10; https://doi.org/10.3390/phycology6010010 - 7 Jan 2026
Viewed by 205
Abstract
Inflammation plays a central role in the pathogenesis of numerous diseases through the excessive production of nitric oxide (NO), prostaglandins, and pro-inflammatory cytokines. Although bromophenols from marine algae and various phenolic compounds exhibit strong anti-inflammatory activity, the biological properties of brominated vanillin derivatives [...] Read more.
Inflammation plays a central role in the pathogenesis of numerous diseases through the excessive production of nitric oxide (NO), prostaglandins, and pro-inflammatory cytokines. Although bromophenols from marine algae and various phenolic compounds exhibit strong anti-inflammatory activity, the biological properties of brominated vanillin derivatives remain largely unexplored. This study aimed to investigate the anti-inflammatory effects of 2-bromo-5-hydroxy-4-methoxybenzaldehyde (2B5H4M), a brominated vanillin derivative structurally similar to marine bromophenols, in lipopolysaccharide (LPS)-stimulated RAW 264.7 macrophages. 2B5H4M significantly reduced LPS-induced NO and PGE2 production by suppressing the protein and mRNA expression of inducible nitric oxide synthase (iNOS) and cyclooxygenase-2 (COX-2). It also downregulated the expression of pro-inflammatory cytokines, including TNF-α, IL-1β, and IL-6. Mechanistically, 2B5H4M inhibited the phosphorylation and degradation of IκB-α, thereby preventing NF-κB nuclear translocation, and reduced the phosphorylation of ERK and JNK. These findings demonstrate that 2B5H4M exerts potent anti-inflammatory effects by simultaneously blocking NF-κB and MAPK signaling pathways. Although not algae-derived, the structural resemblance of 2B5H4M to marine bromophenols highlights its potential as a marine-inspired reference compound. This work suggests that 2B5H4M may serve as a promising lead scaffold for developing new phenolic anti-inflammatory agents and provides a foundation for future mechanistic and in vivo studies. Full article
(This article belongs to the Special Issue Seaweed Metabolites)
Show Figures

Figure 1

25 pages, 1492 KB  
Review
Microalgae-Derived Bioactive Compounds for Liver Health: Mechanisms, Therapeutic Potential, and Translational Challenges
by Wentao Sun, Ming Du, Guoming Shen, Dongming Lai and Jiangxin Wang
Phycology 2026, 6(1), 9; https://doi.org/10.3390/phycology6010009 - 6 Jan 2026
Viewed by 291
Abstract
Microalgae are sustainable sources of bioactive compounds with broad hepato-protective potential. This review synthesizes evidence for five major classes—carotenoids such as astaxanthin and fucoxanthin, polysaccharides such as paramylon and fucoidan, phycobiliproteins such as phycocyanin, omega-3 fatty acids, and phenolic extracts—linking their actions to [...] Read more.
Microalgae are sustainable sources of bioactive compounds with broad hepato-protective potential. This review synthesizes evidence for five major classes—carotenoids such as astaxanthin and fucoxanthin, polysaccharides such as paramylon and fucoidan, phycobiliproteins such as phycocyanin, omega-3 fatty acids, and phenolic extracts—linking their actions to key liver injury mechanisms. Preclinically, these compounds enhance antioxidant defenses, improve mitochondrial function, suppress inflammatory signaling, regulate lipid metabolism, modulate the gut–liver axis, and inhibit hepatic stellate cell activation, thereby attenuating fibrosis. Consistent benefits are observed in models of non-alcoholic and alcoholic fatty liver disease, drug-induced injury, ischemia–reperfusion, and fibrosis, with marked improvements in liver enzymes, oxidative stress, inflammation, steatosis, and collagen deposition. Emerging evidence also highlights their roles in regulating endoplasmic reticulum stress and ferroptosis. Despite their promise, translational challenges include compositional variability, a lack of standardized quality control, limited safety data, and few rigorous human trials. To address these challenges, we propose a framework integrating multi-omics and AI-assisted strain selection with specification-driven quality control and formulation-aware designs—such as lipid carriers for carotenoids or rational combinations like fucoxanthin with low-molecular-weight fucoidan. Future priorities include composition-defined randomized controlled trials in non-alcoholic fatty liver disease, alcoholic liver disease, and drug-induced liver injury; harmonized material specifications; and multi-constituent interventions that synergistically target oxidative, inflammatory, metabolic, and fibrotic pathways. Full article
Show Figures

Figure 1

19 pages, 3614 KB  
Article
Physiological State of the Carotenogenic Microalga Coelastrella rubescens (Scenedesmaceae, Sphaeropleales) During Two-Stage Cultivation
by Irina Mansurova, Nataliya Dantsyuk, Irina Chubchikova, Elena Bocharova and Olga Krivenko
Phycology 2026, 6(1), 8; https://doi.org/10.3390/phycology6010008 - 5 Jan 2026
Viewed by 444
Abstract
A strain of aeroterrestrial green microalgae Coelastrella rubescens IBSS-156, isolated from an epilithic lichen, has been previously shown to efficiently produce green biomass and accumulate significant amounts of secondary carotenoids. In this study, using a two-stage batch culture, we analyzed time-course changes in [...] Read more.
A strain of aeroterrestrial green microalgae Coelastrella rubescens IBSS-156, isolated from an epilithic lichen, has been previously shown to efficiently produce green biomass and accumulate significant amounts of secondary carotenoids. In this study, using a two-stage batch culture, we analyzed time-course changes in variable chlorophyll a (Chl a) fluorescence parameters. Additionally, regression models were developed to correlate autofluorescence signals with spectrophotometric measurements of Chl a and total carotenoid content. Maximum quantum efficiency of photosystemII (Fv/Fm) remained high throughout the vegetative stage. At the end of this stage, under nutrient-limited conditions, the relative electron transport rate (rETR) declined to half its peak value during exponential growth. Stress induced a strong response in the algal photosynthetic apparatus during the early red stage. Within the first three days, Fv/Fm and rETR remained extremely low, but both increased sharply by day 5. During secondary carotenoid accumulation, fluorescence parameters remained at 70–80% of the vegetative-stage maximum, followed by a sharp decline toward the end of the red stage. Therefore, changes in variable fluorescence parameters can serve as markers of C. rubescens cellular physiology during biotechnological cultivation, denoting the completion of specific stages. Flow cytometry and pigment assay regression enabled real-time monitoring of C. rubescens biomass and carotenoids. Full article
(This article belongs to the Special Issue Development of Algal Biotechnology)
Show Figures

Figure 1

14 pages, 1065 KB  
Article
Application of Spirulina platensis and Chlorella vulgaris for Improved Growth and Bioactive Compound Accumulation in Achillea fragrantissima In Vitro
by Hind Salih Alrajeh, Fadia El Sherif and Salah Khattab
Phycology 2026, 6(1), 7; https://doi.org/10.3390/phycology6010007 - 1 Jan 2026
Viewed by 356
Abstract
Achillea fragrantissima is a medicinal herb valued for its essential oils and bioactive compounds. Microalgae, such as Spirulina platensis and Chlorella vulgaris, show considerable promise as natural biostimulants due to their high levels of protein, minerals, vitamins, and fatty acids. The individual [...] Read more.
Achillea fragrantissima is a medicinal herb valued for its essential oils and bioactive compounds. Microalgae, such as Spirulina platensis and Chlorella vulgaris, show considerable promise as natural biostimulants due to their high levels of protein, minerals, vitamins, and fatty acids. The individual or compound effects of S. platensis and C. vulgaris on the growth, photosynthetic pigments, and essential oil composition of A. fragrantissima in vitro were measured in this study. According to chemical analysis, S. platensis contains large amounts of protein and several minerals, including phosphorus, manganese, and iron. Conversely, C. vulgaris showed a higher percentage of carbohydrates, lipids, phytol, aldehydes, and fatty acid esters. The combination of 1.0 g·L−1 S. platensis and 0.5 g·L−1 C. vulgaris tended to stimulate callus formation. Meanwhile, the 0.5 g·L−1 C. vulgaris treatment enhanced shoot and leaf development and increased total photosynthetic pigment content. Analysis of essential oils from A. fragrantissima produced under different treatments demonstrated that combined treatments with S. platensis and C. vulgaris had greatly improved the valuable bioactive substances, such as phytol, oleic acid, 2H-pyran, and thymine. These results show the effectiveness of using S. platensis and C. vulgaris extracts as eco-friendly biostimulants. Full article
Show Figures

Figure 1

18 pages, 2674 KB  
Article
Assessment of an Aqueous Microalgal Extract of Chlorococcum sp. as an Eco-Friendly Biostimulant to Improve Germination and Seedling Performance of Sesamum indicum L.
by Khaoula Abid, Maryem Minhaj, Amer Chabili, Imane El Ateri, Mohammed Loudiki, Najat Manaut and Mountasser Douma
Phycology 2026, 6(1), 6; https://doi.org/10.3390/phycology6010006 - 1 Jan 2026
Viewed by 299
Abstract
The use of biostimulants has emerged as a promising strategy for enhancing seed vigor, germination, and seedling growth. This is due to the composition of beneficial substances considered as biostimulants that modulate plant physiology and metabolism. In this context, the interest in biostimulants [...] Read more.
The use of biostimulants has emerged as a promising strategy for enhancing seed vigor, germination, and seedling growth. This is due to the composition of beneficial substances considered as biostimulants that modulate plant physiology and metabolism. In this context, the interest in biostimulants is growing and the use of microalgal extracts is becoming more widespread. This study aims to assess the effect of Chlorococcum sp. aqueous extracts on the germination indices and the biometric and biochemical parameters of sesame (Sesamum indicum L.). Chlorococcum sp. culture exhibited favorable growth characteristics, including high productivity, specific growth rate, and short generation time. Furthermore, analysis of the extract demonstrated that it contains a high concentration of biomolecules, which suggests significant biostimulant potential. Importantly, the results also showed a significant improvement in germination indices as well as in biochemical parameters and photosynthetic pigments in seeds treated with the highest extract concentration (2 g/L). Furthermore, improvement in biometric parameters, including radicle length as well as fresh and dry weight, was observed at low extract concentration (0.1 and 0.5 g/L). Additionally, no phytoinhibitory effects were detected. Overall, the application of microalgal aqueous extract highlights a strong potential as a sustainable and cost-effective alternative to conventional synthetic chemical fertilizers, thereby promoting the development of an environmentally friendly agricultural practice of sesame cultivation. Full article
Show Figures

Figure 1

22 pages, 16200 KB  
Article
Microalgal Communities in Mucilage Aggregates (Northern Adriatic Sea, Summer 2024) Based on Microscopy and Metabarcoding
by Marika Ubaldi, Francesca Neri, Giorgia Montali, Tiziana Romagnoli, Aurora Tomasini, Federica Cerino, Timotej Turk Dermastia, Patricijia Mozetič, Janja Francé, Camilla Spoto, Stefano Accoroni and Cecilia Totti
Phycology 2026, 6(1), 5; https://doi.org/10.3390/phycology6010005 - 1 Jan 2026
Viewed by 631
Abstract
The mucilage phenomenon consists of the appearance of large gelatinous aggregates floating in the water column. In summer 2024, this event has reappeared in the Northern Adriatic Sea (NAS) on a large scale. This study provides an integrated characterization of the microalgal community [...] Read more.
The mucilage phenomenon consists of the appearance of large gelatinous aggregates floating in the water column. In summer 2024, this event has reappeared in the Northern Adriatic Sea (NAS) on a large scale. This study provides an integrated characterization of the microalgal community within mucilage aggregates and surrounding waters in two NAS areas (Gulf of Trieste and Conero Riviera) using light microscopy (LM), metabarcoding (MB) based on ribosomal 18S V4 and V9 markers, and scanning electron microscopy (SEM) for selected taxa identification. Mucilage aggregates acted as dynamic microbial hotspots, hosting a rich diatom community, with abundances 1–2 orders of magnitude higher than in the surrounding water. Dominant diatom species were Cylindrotheca closterium, Nitzschia spp., Nitzschia gobbii, and Thalassionema nitzschioides. Some phytoflagellates (e.g., Tetraselmis spp.) and dinoflagellates (e.g., Karlodinium veneficum, Pseliodinium fusus, and Wangodinium sinense) were detected exclusively by MB, while LM and SEM revealed species missed by other approaches. Gonyaulax fragilis, one of the species indicated as an important mucus producer, was present at the onset and throughout the phenomenon, as detected by LM and MB. The integrated approach improves knowledge of microalgal communities in NAS mucilage. Full article
Show Figures

Figure 1

21 pages, 1827 KB  
Article
A Reliable Semi-Continuous Cultivation Mode for Stable High-Quality Biomass Production of Chlorella sorokiniana IPPAS C-1
by David A. Gabrielyan, Maria A. Sinetova, Boris V. Gabel, Alexander K. Gabrielian, Alexander Y. Starikov, Roman A. Voloshin, Alexandra Markelova, Grigoriy A. Savinykh, Natalia V. Shcherbakova and Dmitry A. Los
Phycology 2026, 6(1), 4; https://doi.org/10.3390/phycology6010004 - 1 Jan 2026
Viewed by 466
Abstract
The industrial cultivation of microalgae for high-value products faces significant challenges, particularly in maintaining long-term, cost-effective operations. Semi-continuous cultivation presents a promising solution to this problem. In this study, the green alga Chlorella sorokiniana IPPAS C-1 was cultivated in a flat-panel 5 L [...] Read more.
The industrial cultivation of microalgae for high-value products faces significant challenges, particularly in maintaining long-term, cost-effective operations. Semi-continuous cultivation presents a promising solution to this problem. In this study, the green alga Chlorella sorokiniana IPPAS C-1 was cultivated in a flat-panel 5 L photobioreactor under optimized conditions, with three biological replicates. We evaluated batch mode against three semi-continuous dilution fractions (50%, 75%, and 87.5%). The 75% dilution fraction demonstrated superior performance, achieving the highest biomass productivity with an average specific productivity of 1.36 g DW L−1 day−1 over seven harvest cycles. Furthermore, this regime ensured stable biochemical composition—including proteins, lipids, carbohydrates, and pigments—as well as a consistent lipid profile and sustained photosynthetic activity throughout the cultivation. These findings are useful for the development of scalable and efficient technological protocols for the industrial production of Chlorella in flat-panel photobioreactors. Full article
(This article belongs to the Special Issue Development of Algal Biotechnology)
Show Figures

Figure 1

11 pages, 812 KB  
Communication
Exploring the Anti-Inflammatory Potential of Nannochloropsis sp. Extract
by Hanbi Moon and Jaoon Young Hwan Kim
Phycology 2026, 6(1), 3; https://doi.org/10.3390/phycology6010003 - 30 Dec 2025
Viewed by 324
Abstract
Microalgae have garnered increasing attention as promising sources of diverse natural anti-inflammatory compounds, including carotenoids, phenolics, and unsaturated fatty acids. In this study, we aimed to examine the anti-inflammatory properties of the methanol extract of Nannochloropsis sp. G1-5 (NG15), a strain of marine [...] Read more.
Microalgae have garnered increasing attention as promising sources of diverse natural anti-inflammatory compounds, including carotenoids, phenolics, and unsaturated fatty acids. In this study, we aimed to examine the anti-inflammatory properties of the methanol extract of Nannochloropsis sp. G1-5 (NG15), a strain of marine microalgae isolated from the southern West Sea of the Republic of Korea. Pigment and metabolite analyses revealed that the extract contained various carotenoids and polyunsaturated fatty acids alongside significant quantities of phenolic and flavonoid compounds, which are known to have anti-inflammatory activities. Cytotoxicity assays confirmed that the extract was non-toxic to RAW 264.7 macrophage cells at concentrations up to 1 mg/mL. Upon lipopolysaccharide (LPS) stimulation of the macrophage cells, the NG15 extract significantly inhibited nitric oxide (NO) production in a dose-dependent manner up to 81%. In addition, the NG15 extract reduced the expression of iNOS, COX-2, TNF-α, and IL-6 in the LPS-stimulated cells. These findings suggest that NG15 methanol extract exerts anti-inflammatory effects primarily through the suppression of NO generation without inducing cytotoxicity. Overall, these results underscore NG15 as a promising natural resource for the development of non-toxic and effective anti-inflammatory agents with potential applications in the biomedical and cosmeceutical industries. Full article
Show Figures

Figure 1

20 pages, 2538 KB  
Article
Treatment of Wastewater from the Fish Processing Industry and Production of Valuable Algal Biomass with a Biostimulating Effect
by Svetlana S. Bulynina, Elvira E. Ziganshina, Artem D. Terentev and Ayrat M. Ziganshin
Phycology 2026, 6(1), 2; https://doi.org/10.3390/phycology6010002 - 26 Dec 2025
Viewed by 373
Abstract
Incorporating microalgae into integrated biotechnologies facilitates rational resource management. Cultivation of microalgae in various types of wastewater offers a number of advantages: safe disposal of liquid waste, restoration of water resources, and the production of valuable products. This study presents a comparative analysis [...] Read more.
Incorporating microalgae into integrated biotechnologies facilitates rational resource management. Cultivation of microalgae in various types of wastewater offers a number of advantages: safe disposal of liquid waste, restoration of water resources, and the production of valuable products. This study presents a comparative analysis of the growth and biomass productivity of various algal strains in an unsterilized fish processing plant wastewater. Desmodesmus sp. EE-M8 demonstrated the most efficient growth, with a biomass yield of 2.21 ± 0.09 g L−1. The average biomass yield obtained during the growth of Chlorella vulgaris SB-M4, Chlorella sp. EE-P5, Micractinium inermum EE-M2, and Tetradesmus obliquus EZ-B11 ranged from 1.42 to 1.96 g L−1. Ammonium, phosphate, and sulfate ions were completely utilized from the wastewater during algal growth. In addition, the bacterial community structure of wastewater was found to change drastically toward the dominance of Alphaproteobacteria during the microalgal growth. The algal strains (in combination with bacterial partners) used to determine their biostimulant potential demonstrated a positive effect on the germination of garden cress seeds. These findings demonstrate that incorporating algae into the wastewater purification process will reduce the negative impact on the environment and produce valuable biomass for various purposes. Full article
Show Figures

Graphical abstract

22 pages, 5082 KB  
Article
A High-Throughput Screening Platform to Evaluate Biostimulant Activity of Five Microalgae in Arabidopsis thaliana
by Bram Vangenechten, Tom Bernaerts, Floris Schoeters, Sabine Van Miert, Barbara De Coninck and Johan Ceusters
Phycology 2026, 6(1), 1; https://doi.org/10.3390/phycology6010001 - 19 Dec 2025
Viewed by 413
Abstract
Microalgae are increasingly recognized as promising biostimulants for sustainable agriculture, yet their potential remains underexplored due to the complexity of biostimulant activity and the vast diversity of species. Efficient standardized screening approaches are therefore needed. In this study, a high-throughput screening platform assessed [...] Read more.
Microalgae are increasingly recognized as promising biostimulants for sustainable agriculture, yet their potential remains underexplored due to the complexity of biostimulant activity and the vast diversity of species. Efficient standardized screening approaches are therefore needed. In this study, a high-throughput screening platform assessed the biostimulant activity of five microalgal species (Limnospira platensis, Chlorella vulgaris, Dunaliella salina, Microchloropsis gaditana, and Isochrysis galbana) in Arabidopsis thaliana. The system enabled full life-cycle assessment of A. thaliana under optimal and drought stress conditions, incorporating three application methods (soil amendment, irrigation, foliar spray) and a wide concentration range of 0.01–0.5 g/L. Biostimulant efficacy depended strongly on concentration and application method. Irrigation-based applications generally enhanced drought tolerance but delayed bolting and flowering. The highest concentration inhibited germination and root elongation, likely due to bioactive compound toxicity rather than salinity or pH. L. platensis exhibited broad activity across environmental conditions, while I. galbana likewise showed wide-ranging effects, including enhanced generative growth. In contrast, D. salina and M. gaditana primarily improved drought tolerance, and C. vulgaris acted mainly under optimal conditions. These findings highlight the value of A. thaliana to accommodate rapid biostimulant screening and identify both novel and established microalgae for further validation in crops. Full article
Show Figures

Graphical abstract

Previous Issue
Back to TopTop