Microalgal Communities in Mucilage Aggregates (Northern Adriatic Sea, Summer 2024) Based on Microscopy and Metabarcoding
Abstract
1. Introduction
2. Materials and Methods
2.1. Sampling Area and Sample Collection
2.2. Metabarcoding Analysis
2.3. Microscopy Analysis
2.4. Data Analysis
3. Results
3.1. Comparison Between Mucilage Aggregates and Surrounding Water
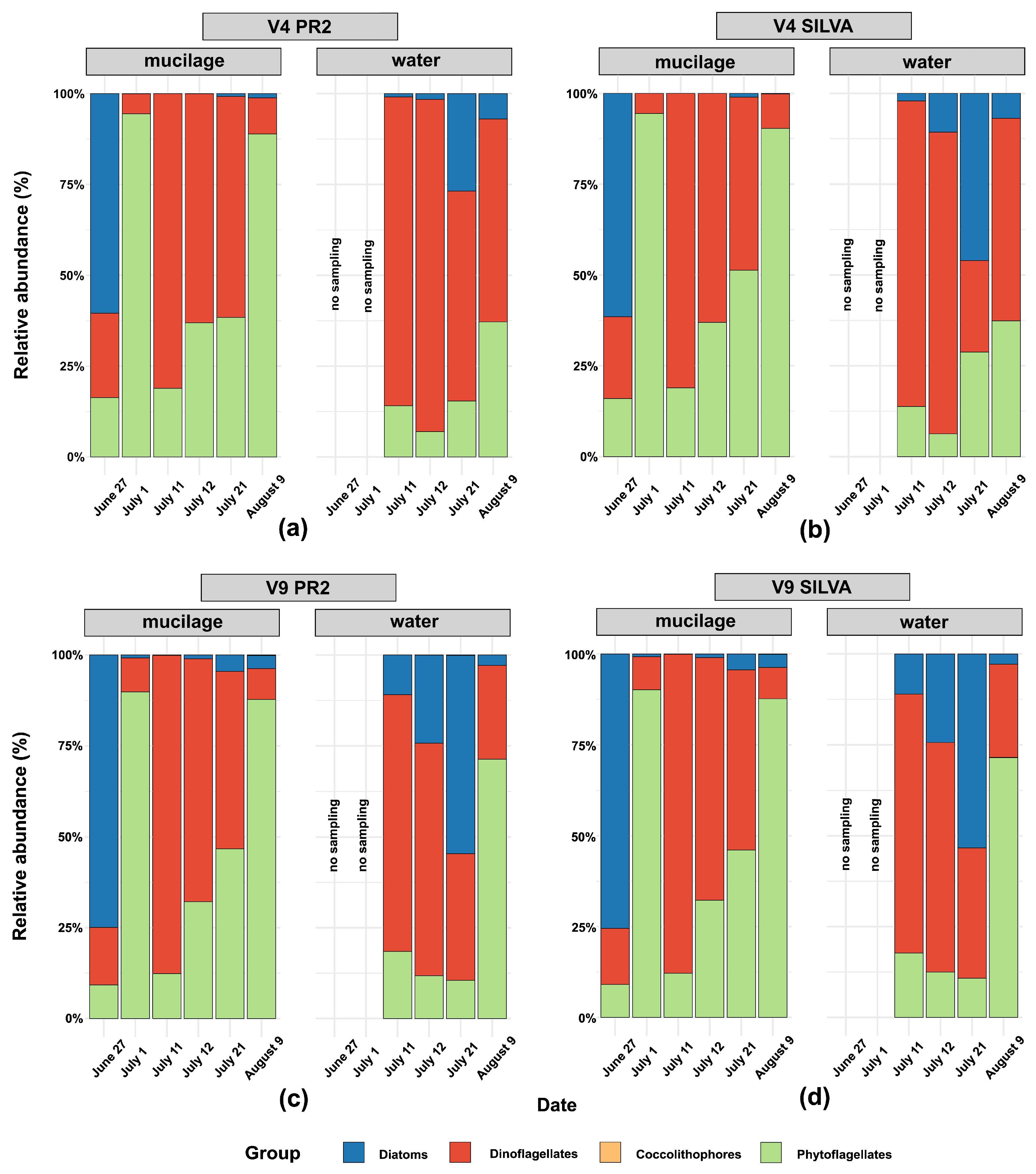
3.2. Evolution of Microalgal Composition in Mucilage and Surrounding Water
3.3. Comparison Between Gulf of Trieste and Conero Riviera
4. Discussion
5. Conclusions
Supplementary Materials
Author Contributions
Funding
Data Availability Statement
Acknowledgments
Conflicts of Interest
Abbreviations
| NAS | Northern Adriatic Sea |
| LM | Light microscopy |
| SEM | Scanning electron microscopy |
| MB | Metabarcoding |
| HAB | Harmful Algal Bloom |
| ASVs | Amplicon sequence variants |
References
- Campanelli, A.; Grilli, F.; Paschini, E.; Marini, M. The influence of an exceptional Po River flood on the physical and chemical oceanographic properties of the Adriatic Sea. Dyn. Atmos. Oceans 2011, 52, 284–297. [Google Scholar] [CrossRef]
- Djakovac, T.; Supić, N.; Bernardi Aubry, F.; Degobbis, D.; Giani, M. Mechanisms of hypoxia frequency changes in the northern Adriatic Sea during the period 1972–2012. J. Mar. Syst. 2015, 141, 179–189. [Google Scholar] [CrossRef]
- Grilli, F.; Accoroni, S.; Acri, F.; Aubry, F.B.; Bergami, C.; Cabrini, M.; Campanelli, A.; Giani, M.; Guicciardi, S.; Marini, M.; et al. Seasonal and interannual trends of oceanographic parameters over 40 years in the northern Adriatic Sea in relation to nutrient loadings using the EMODnet chemistry data portal. Water 2020, 12, 2280. [Google Scholar] [CrossRef]
- Penna, N.; Capellacci, S.; Ricci, F. The influence of the Po River discharge on phytoplankton bloom dynamics along the coastline of Pesaro (Italy) in the Adriatic Sea. Mar. Pollut. Bull. 2004, 48, 321–326. [Google Scholar] [CrossRef] [PubMed]
- Brush, M.J.; Giani, M.; Totti, C.; Testa, J.M.; Faganeli, J.; Ogrinc, N.; Kemp, W.M.; Umani, S.F. Eutrophication, harmful algae, oxygen depletion, and acidification. In Coastal Ecosystems in Transition: A Comparative Analysis of the Northern Adriatic and Chesapeake Bay, 1st ed.; Malone, T.C., Malej, A., Faganeli, J., Eds.; Geophysical Monograph 256; John Wiley & Sons: Washington, DC, USA; Hoboken, NJ, USA, 2020; pp. 75–104. [Google Scholar]
- Artegiani, A.; Paschini, E.; Russo, A.; Bregant, D.; Raicich, F.; Pinardi, N. The Adriatic Sea general circulation. Part I: Air–sea interactions and water mass structure. J. Phys. Oceanogr. 1997, 27, 1492–1514. [Google Scholar] [CrossRef]
- Accoroni, S.; Romagnoli, T.; Colombo, F.; Pennesi, C.; Di Camillo, C.G.; Marini, M.; Battocchi, C.; Ciminiello, P.; Dell’Aversano, C.; Dello Iacovo, E.; et al. Ostreopsis cf. ovata bloom in the northern Adriatic Sea during summer 2009: Ecology, molecular characterization and toxin profile. Mar. Pollut. Bull. 2011, 62, 2512–2519. [Google Scholar] [CrossRef]
- Henigman, U.; Mozetič, P.; Francé, J.; Knific, T.; Vadnjal, S.; Dolenc, J.; Kirbiš, A.; Biasizzo, M. Okadaic acid as a major problem for the seafood safety (Mytilus galloprovincialis) and the dynamics of toxic phytoplankton in the Slovenian coastal sea (Gulf of Trieste, Adriatic Sea). Harmful Algae 2024, 135, 102632. [Google Scholar] [CrossRef]
- Zingone, A.; Escalera, L.; Aligizaki, K.; Fernández-Tejedor, M.; Ismael, A.; Montresor, M.; Mozetič, P.; Taş, S.; Totti, C. Toxic marine microalgae and noxious blooms in the Mediterranean Sea: A contribution to the global HAB status report. Harmful Algae 2021, 102, 101843. [Google Scholar] [CrossRef]
- Boni, L. Red tides off the coast of Emilia Romagna (northwestern Adriatic Sea) from 1975 to 1982. Inf. Bot. Ital. 1983, 15, 18–23. [Google Scholar]
- De Lazzari, A.; Berto, D.; Cassin, D.; Boldrin, A.; Giani, M. Influence of winds and oceanographic conditions on the mucilage aggregation in the northern Adriatic Sea in 2003–2006. Mar. Ecol. 2008, 29, 469–482. [Google Scholar] [CrossRef]
- Giani, M.; Rinaldi, A.; Degobbis, D. Mucilages in the Adriatic and Tyrrhenian Sea: An introduction. Sci. Total Environ. 2005, 353, 3–9. [Google Scholar] [CrossRef] [PubMed]
- Revelante, N.; Gilmartin, M. The phytoplankton composition and population enrichment in gelatinous “macroaggregates” in the Northern Adriatic during the summer of 1989. J. Exp. Mar. Biol. Ecol. 1991, 146, 217–233. [Google Scholar] [CrossRef]
- Rinaldi, A.; Vollenweider, R.A.; Montanari, G.; Ferrari, C.R.; Ghetti, A. Mucilages in Italian Seas: The Adriatic and Tyrrhenian Seas, 1988–1991. Sci. Total Environ. 1995, 165, 165–183. [Google Scholar] [CrossRef]
- Stachowitsch, M.; Fanuko, N.; Richter, M. Mucus aggregates in the Adriatic Sea: An overview of stages and occurrences. Mar. Ecol. 1990, 11, 327–350. [Google Scholar] [CrossRef]
- Turk, V.; Hagström, Å.; Kovač, N.; Faganeli, J. Composition and function of mucilage macroaggregates in the northern Adriatic. Aquat. Microb. Ecol. 2010, 61, 279–289. [Google Scholar] [CrossRef][Green Version]
- Isinibilir, M.; Yüksel, E.; Martell, L.; Topçu, N.E. No escape from the mucilage impact: Even opportunistic Hydroids were affected in the catastrophic mucilage of 2021 in the Sea of Marmara. Reg. Stud. Mar. Sci. 2024, 77, 103678. [Google Scholar] [CrossRef]
- Giani, M.; Berto, D.; Cornello, M.; Sartoni, G.; Rinaldi, A. Le Mucillagini nell’Adriatico e nel Tirreno; Quaderni dell’ICRAM; ICRAM: Rome, Italy, 2005. [Google Scholar]
- Dagsuyu, E.; Can-Tuncelli, I.; Yanardag, R.; Erkan, N.; Dogruyol, H.; Ulusoy, S.; Ozden, O.; Mol, S.; Tosun, S.Y.; Ucok, D. Environmental stress responses to marine mucilage: Oxidative damage in economically important seafood from the Sea of Marmara. Environ. Pollut. 2025, 374, 126266. [Google Scholar] [CrossRef]
- Fonda Umani, S.; Ghirardelli, E.; Ferrante, M. Gli Episodi di “Mare Sporco” nell’Adriatico dal 1729 ai Giorni Nostri; Regione Friuli-Venezia Giulia: Trieste, Italy, 1989. [Google Scholar]
- Totti, C.; Cavolo, F.; Marzocchi, M.; Solazzi, A. Popolamenti fitoplanctonici durante il fenomeno del “Mare Sporco” in Adriatico settentrionale (estate 1989). Quad. Is. Ric. Pesca Marittima 1993, 5, 99–118. [Google Scholar]
- ARPAE Emilia-Romagna. Qualità Ambientale delle Acque Marine in Emilia-Romagna: Rapporto Annuale 2024; ARPAE Emilia-Romagna: Bologna, Italy, 2024.
- Faganeli, J.; Mohar, B.; Kofol, R.; Pavlica, V.; Marinšek, T.; Rozman, A.; Kovač, N.; Vuk, A.Š. Nature and lability of northern Adriatic macroaggregates. Mar. Drugs 2010, 8, 2480–2492. [Google Scholar] [CrossRef]
- Kovač, N.; Viers, J.; Faganeli, J.; Bajt, O.; Pokrovsky, O.S. Elemental composition of plankton exometabolites (mucous macroaggregates): Control by biogenic and lithogenic components. Metabolites 2023, 13, 726. [Google Scholar] [CrossRef]
- Kovač, N.; Mozetič, P.; Trichet, J.; Défarge, C. Phytoplankton composition and organic matter organization of mucous aggregates by means of light and cryo-scanning electron microscopy. Mar. Biol. 2005, 147, 261–271. [Google Scholar] [CrossRef]
- Bongiorni, L.; Armeni, M.; Corinaldesi, C.; Dell’Anno, A.; Pusceddu, A.; Danovaro, R. Viruses, prokaryotes and biochemical composition of organic matter in different types of mucilage aggregates. Aquat. Microb. Ecol. 2007, 49, 15–23. [Google Scholar] [CrossRef][Green Version]
- Decho, A.W.; Herndl, G.J. Microbial activities and the transformation of organic matter within mucilaginous material. Sci. Total Environ. 1995, 165, 33–42. [Google Scholar] [CrossRef]
- Zoppini, A.; Puddu, A.; Fazi, S.; Rosati, M.; Sist, P. Extracellular enzyme activity and dynamics of bacterial community in mucilaginous aggregates of the northern Adriatic Sea. Sci. Total Environ. 2005, 353, 270–286. [Google Scholar] [CrossRef]
- Del Negro, P.; Crevatin, E.; Larato, C.; Ferrari, C.; Totti, C.; Pompei, M.; Giani, M.; Berto, D.; Fonda Umani, S. Mucilage microcosms. Sci. Total Environ. 2005, 353, 258–269. [Google Scholar] [CrossRef]
- Simon, M.; Grossart, H.; Schweitzer, B.; Ploug, H. Microbial ecology of organic aggregates in aquatic ecosystems. Aquat. Microb. Ecol. 2002, 28, 175–211. [Google Scholar] [CrossRef]
- Russo, A.; Maccaferri, S.; Djakovac, T.; Precali, R.; Degobbis, D.; Deserti, M.; Paschini, E.; Lyons, D.M. Meteorological and oceanographic conditions in the northern Adriatic Sea during the period June 1999–July 2002: Influence on the mucilage phenomenon. Sci. Total Environ. 2005, 353, 24–38. [Google Scholar] [CrossRef]
- Vilibić, I.; Terzić, E.; Vrdoljak, I.; Dominović Novković, I.; Vodopivec, M.; Ciglenečki, I.; Djakovac, T.; Hamer, B. Extraordinary mucilage event in the northern Adriatic in 2024—A glimpse into the future climate? Estuar. Coast. Shelf Sci. 2025, 317, 109222. [Google Scholar] [CrossRef]
- Danovaro, R.; Fonda Umani, S.; Pusceddu, A. Climate change and the potential spreading of marine mucilage and microbial pathogens in the Mediterranean Sea. PLoS ONE 2009, 4, e7006. [Google Scholar] [CrossRef]
- Balkis, N.; Atabay, H.; Türetgen, I.; Albayrak, S.; Balkis, H.; Tüfekçi, V. Role of single-celled organisms in mucilage formation on the shores of Büyükada Island (the Marmara Sea). J. Mar. Biol. Assoc. U. K. 2011, 91, 771–781. [Google Scholar] [CrossRef]
- MacKenzie, L.; Sims, I.; Beuzenberg, V.; Gillespie, P. Mass Accumulation of mucilage caused by dinoflagellate polysaccharide exudates in Tasman Bay, New Zealand. Harmful Algae 2002, 1, 69–83. [Google Scholar] [CrossRef]
- Tüfekçi, V.; Balkis, N.; Polat Beken, Ç.; Ediger, D.; Mantıkçı, M. Phytoplankton composition and environmental conditions of the mucilage event in the Sea of Marmara. Turk. J. Biol. 2010, 34, 199–210. [Google Scholar] [CrossRef]
- Alcoverro, T.; Conte, E.; Mazzella, L. Production of mucilage by the Adriatic epipelic diatom Cylindrotheca closterium (Bacillariophyceae) under nutrient limitation. J. Phycol. 2000, 36, 1087–1095. [Google Scholar] [CrossRef]
- Haug, A.; Myklestad, S. Polysaccharides of marine diatoms with special reference to Chaetoceros species. Mar. Biol. 1976, 34, 217–222. [Google Scholar] [CrossRef]
- Myklestad, S.M. Release of extracellular products by phytoplankton with special emphasis on polysaccharides. Sci. Total Environ. 1995, 165, 155–164. [Google Scholar] [CrossRef]
- Myklestad, S. Production of carbohydrates by marine planktonic diatoms. II. Influence of the NP ratio in the growth medium on the assimilation ratio, growth rate, and production of cellular and extracellular carbohydrates by Chaetoceros affinis var. willei (Gran) Hustedt and Skeletonema costatum (Grev.) Cleve. J. Exp. Mar. Biol. Ecol. 1977, 29, 161–179. [Google Scholar] [CrossRef]
- Pompei, M.; Mazziotti, C.; Guerrini, F.; Cangini, M.; Pigozzi, S.; Benzi, M.; Palamidesi, S.; Boni, L.; Pistocchi, R. Correlation between the presence of Gonyaulax fragilis (Dinophyceae) and the mucilage phenomena of the Emilia-Romagna coast (northern Adriatic Sea). Harmful Algae 2003, 2, 301–316. [Google Scholar] [CrossRef]
- Guerrini, F.; Mazzotti, A.; Boni, L.; Pistocchi, R. Bacterial-algal interactions in polysaccharide production. Aquat. Microb. Ecol. 1998, 15, 247–253. [Google Scholar] [CrossRef]
- Pistocchi, R.; Guerrini, F.; Balboni, V.; Boni, L. Copper toxicity and carbohydrate production in the microalgae Cylindrotheca fusiformis and Gymnodinium sp. Eur. J. Phycol. 1997, 32, 125–132. [Google Scholar] [CrossRef]
- Doğan, O.; Örün, A.D.; Bilgin, R.; İşinibilir, M. Using the metabarcoding approach for characterization of community diversity in mucilage in the Sea of Marmara. In Ecological Changes in the Sea of Marmara; İşinibilir, M., Kıdeyş, A.E., Malej, A., Eds.; Istanbul University Press: Istanbul, Turkey, 2024; pp. 635–660. [Google Scholar]
- Nikolaidis, G.; Aligizaki, K.; Koukaras, K.; Moschandreou, K. Mucilage phenomena in the north Aegean Sea, Greece: Another harmful effect of dinoflagellates? In Proceedings of the 12th International Conference on Harmful Algae, Copenhagen, Denmark, 4–8 September 2006; pp. 4–8. [Google Scholar]
- Hurley, D.E. The “Nelson Slime”: Observations on Past Occurrences; NZOI Oceanographic Summary; New Zealand Oceanographic Institute: Wellington, New Zealand, 1982; Volume 11. [Google Scholar]
- Innamorati, M. Hyperproduction of mucilages by micro and macro algae in the Tyrrhenian Sea. Sci. Total Environ. 1995, 165, 65–81. [Google Scholar] [CrossRef]
- Gundogdu, A.; Nalbantoglu, O.U.; Karis, G.; Sarikaya, I.; Erdogan, M.N.; Hora, M.; Aslan, H. Comparing microbial communities in mucilage and seawater samples: Metagenomic insights into mucilage formation in the Marmara Sea. Environ. Sci. Pollut. Res. 2024, 31, 58363–58374. [Google Scholar] [CrossRef]
- Balkıs-Ozdelıce, N.; Durmuş, T.; Balcı, M. A preliminary study on the intense pelagic and benthic mucilage phenomenon observed in the Sea of Marmara. IJEGEO 2021, 8, 414–422. [Google Scholar] [CrossRef]
- Cataletto, B.; Feoli, E.; Umani, S.F.; Monti, M.; Pecchiar, I. Analyses of the relationship between mucous aggregates and phytoplankton communities in the Gulf of Trieste (northern Adriatic Sea) by multivariate techniques. Mar. Ecol. 1996, 17, 291–307. [Google Scholar] [CrossRef]
- Ergul, H.A.; Balkis-Ozdelice, N.; Koral, M.; Aksan, S.; Durmus, T.; Kaya, M.; Kayal, M.; Ekmekci, F.; Canli, O. The early stage of mucilage formation in the Marmara Sea during spring 2021. J. Black Sea/Medit. Environ. 2021, 27, 232–257. [Google Scholar]
- Pettine, M.; Puddu, A.; Totti, C.; Zoppini, A.; Artegiani, A.; Pagnotta, R. Caratterizzazione chimica e biologica di mucillagini. Biol. Mar. Suppl. Notiz. SIBM 1993, 1, 39–42. [Google Scholar]
- Totti, C.; Cangini, M.; Ferrari, C.; Kraus, R.; Pompei, M.; Pugnetti, A.; Romagnoli, T.; Vanucci, S.; Socal, G. Phytoplankton size-distribution and community structure in relation to mucilage occurrence in the northern Adriatic Sea. Sci. Total Environ. 2005, 353, 204–217. [Google Scholar] [CrossRef]
- Akcaalan, R.; Ozbayram, E.G.; Kaleli, A.; Cam, A.O.; Koker, L.; Albay, M. Does environmental DNA reflect the actual phytoplankton diversity in the aquatic environment? Case study of marine mucilage in the Sea of Marmara. Environ. Sci. Pollut. Res. Int. 2023, 30, 72821–72831. [Google Scholar] [CrossRef]
- Çelik, I.; Gülen, B.; Taş, P.; Geçgil, G.; Keskin, E. Identifying bacterial and eukaryotic communities related to marine mucilage with eDNA metabarcoding. Microorganisms 2024, 12, 318. [Google Scholar] [CrossRef]
- Tzafesta, E.; Saccomanno, B.; Zangaro, F.; Vadrucci, M.R.; Specchia, V.; Pinna, M. DNA barcode gap analysis for multiple marker genes for phytoplankton species biodiversity in Mediterranean aquatic ecosystems. Biology 2022, 11, 1277. [Google Scholar] [CrossRef]
- Andersson, A.; Zhao, L.; Brugel, S.; Figueroa, D.; Huseby, S. Metabarcoding vs microscopy: Comparison of methods to monitor phytoplankton communities. ACS EST Water 2023, 3, 2671–2680. [Google Scholar] [CrossRef]
- Neri, F.; Ubaldi, M.; Accoroni, S.; Ricci, S.; Banchi, E.; Romagnoli, T.; Totti, C. Comparative analysis of phytoplankton diversity using microscopy and metabarcoding: Insights from an eLTER station in the northern Adriatic Sea. Hydrobiologia 2025, 852, 169–183. [Google Scholar] [CrossRef]
- Piredda, R.; Tomasino, M.P.; D’Erchia, A.M.; Manzari, C.; Pesole, G.; Montresor, M.; Kooistra, W.H.C.F.; Sarno, D.; Zingone, A. Diversity and temporal patterns of planktonic protist assemblages at a Mediterranean Long Term Ecological Research site. FEMS Microbiol. Ecol. 2017, 93, fiw200. [Google Scholar] [CrossRef] [PubMed]
- Throndsen, J. Preservation and Storage. In Phytoplankton Manual. Monographs on Oceanographic Methodology; Sournia, A., Ed.; UNESCO: Paris, France, 1978; pp. 69–74. [Google Scholar]
- Kezlya, E.; Tseplik, N.; Kulikovskiy, M. Genetic markers for metabarcoding of freshwater microalgae: Review. Biology 2023, 12, 1038. [Google Scholar] [CrossRef] [PubMed]
- Stoeck, T.; Bass, D.; Nebel, M.; Christen, R.; Jones, M.D.M.; Breiner, H.; Richards, T.A. Multiple marker parallel tag environmental DNA sequencing reveals a highly complex eukaryotic community in marine anoxic water. Mol. Ecol. 2010, 19, 21–31. [Google Scholar] [CrossRef]
- Andrews, S. FastQC: A Quality Control Tool for High Throughput Sequence Data; Babraham Bioinformatics: Cambridge, UK, 2010. [Google Scholar]
- Martin, M. Cutadapt removes adapter sequences from high-throughput sequencing reads. EMBnet J. 2011, 17, 10–12. [Google Scholar] [CrossRef]
- Bolyen, E.; Rideout, J.R.; Dillon, M.R.; Bokulich, N.A.; Abnet, C.C.; Al-Ghalith, G.A.; Alexander, H.; Alm, E.J.; Arumugam, M.; Asnicar, F.; et al. Reproducible, interactive, scalable and extensible microbiome data science using QIIME 2. Nat. Biotechnol. 2019, 37, 852–857. [Google Scholar] [CrossRef]
- Callahan, B.J.; McMurdie, P.J.; Rosen, M.J.; Han, A.W.; Johnson, A.J.A.; Holmes, S.P. DADA2: High-resolution sample inference from Illumina amplicon data. Nat. Methods 2016, 13, 581–583. [Google Scholar] [CrossRef]
- Bokulich, N.A.; Kaehler, B.D.; Rideout, J.R.; Dillon, M.; Bolyen, E.; Knight, R.; Huttley, G.A.; Gregory Caporaso, J. Optimizing taxonomic classification of marker-gene amplicon sequences with QIIME 2’s Q2-Feature-Classifier Plugin. Microbiome 2018, 6, 90. [Google Scholar] [CrossRef]
- Guillou, L.; Bachar, D.; Audic, S.; Bass, D.; Berney, C.; Bittner, L.; Boutte, C.; Burgaud, G.; De Vargas, C.; Decelle, J.; et al. The Protist Ribosomal Reference Database (PR2): A catalog of unicellular eukaryote small sub-unit rRNA sequences with curated taxonomy. Nucleic Acids Res. 2012, 41, D597–D604. [Google Scholar] [CrossRef]
- Quast, C.; Pruesse, E.; Yilmaz, P.; Gerken, J.; Schweer, T.; Yarza, P.; Peplies, J.; Glöckner, F.O. The SILVA ribosomal RNA gene database project: Improved data processing and web-based tools. Nucleic Acids Res. 2012, 41, D590–D596. [Google Scholar] [CrossRef]
- Edler, L.; Elbrachter, M. The Utermöhl method for quantitative phytoplankton analysis. In Microscopic and Molecular Methods for Quantitative Phytoplankton Analysis; Manuals and Guides; Karlson, B., Cusack, C., Bresnan, E., Eds.; IOC UNESCO: Paris, France, 2010; Volume 55. [Google Scholar]
- Hasle, G.R.; Syvertsen, E.E. Marine Diatoms. In Identifying Marine Phytoplankton; Tomas, C.R., Ed.; Academic Press: San Diego, CA, USA, 1997; pp. 5–385. ISBN 978-0-12-693018-4. [Google Scholar]
- Guiry, M.D.; Guiry, G.M. AlgaeBase. Global Electronic Publication, National University of Ireland, Galway. Available online: https://www.algaebase.org (accessed on 19 December 2025).
- McMurdie, P.J.; Holmes, S. Phyloseq: An R package for reproducible interactive analysis and graphics of microbiome census data. PLoS ONE 2013, 8, e61217. [Google Scholar] [CrossRef]
- Altschul, S.F.; Gish, W.; Miller, W.; Myers, E.W.; Lipman, D.J. Basic local alignment search tool. J. Mol. Biol. 1990, 215, 403–410. [Google Scholar] [CrossRef]
- Oksanen, J.; Blanchet, F.G.; Friendly, M.; Kindt, R.; Legendre, P.; McGlinn, D.; Minchin, P.R.; O’Hara, R.B.; Simpson, G.L.; Solymos, P.; et al. Vegan: Community Ecology Package, R Package Version 2.6-2, 2022. Available online: https://CRAN.R-project.org/package=vegan (accessed on 17 December 2025).
- R Core Team. R: A Language and Environment for Statistical Computing; R Foundation for Statistical Computing: Vienna, Austria, 2023; Available online: https://www.R-project.org (accessed on 17 December 2025).
- Wickham, H. ggplot2: Elegant Graphics for Data Analysis; Springer: New York, NY, USA, 2016; Available online: https://ggplot2.tidyverse.org (accessed on 17 December 2025).
- Prokopowich, C.D.; Gregory, T.R.; Crease, T.J. The correlation between rDNA copy number and genome size in eukaryotes. Genome 2003, 46, 48–50. [Google Scholar] [CrossRef]
- Japelaghi, R.H.; Haddad, R.; Garoosi, G.-A. Rapid and efficient isolation of high quality nucleic acids from plant tissues rich in polyphenols and polysaccharides. Mol. Biotechnol. 2011, 49, 129–137. [Google Scholar] [CrossRef] [PubMed]
- Carini, P.; Marsden, P.J.; Leff, J.W.; Morgan, E.E.; Strickland, M.S.; Fierer, N. Relic DNA is abundant in soil and obscures estimates of soil microbial diversity. Nat. Microbiol. 2016, 2, 16242. [Google Scholar] [CrossRef] [PubMed]
- Lennon, J.T.; Muscarella, M.E.; Placella, S.A.; Lehmkuhl, B.K. How, when, and where relic DNA affects microbial diversity. mBio 2018, 9, e00637-18. [Google Scholar] [CrossRef] [PubMed]
- Reynolds, C.S. Variability in the provision and function of mucilage in phytoplankton: Facultative responses to the environment. Hydrobiologia 2007, 578, 37–45. [Google Scholar] [CrossRef]
- Flander-Putrle, V.; Malej, A. The evolution and phytoplankton composition of mucilaginous aggregates in the northern Adriatic Sea. Harmful Algae 2008, 7, 752–761. [Google Scholar] [CrossRef]
- Kraus, R.; Supić, N. Sea Dynamics Impacts on the Macroaggregates: A case study of the 1997 mucilage event in the Northern Adriatic. Prog. Oceanogr. 2015, 138, 249–267. [Google Scholar] [CrossRef]
- Pistocchi, R.; Cangini, M.; Totti, C.; Urbani, R.; Guerrini, F.; Romagnoli, T.; Sist, P.; Palamidesi, S.; Boni, L.; Pompei, M. Relevance of the dinoflagellate Gonyaulax fragilis in mucilage formations of the Adriatic Sea. Sci. Total Environ. 2005, 353, 307–316. [Google Scholar] [CrossRef]
- Najdek, M.; Blažina, M.; Djakovac, T.; Kraus, R. The role of the diatom Cylindrotheca closterium in a mucilage event in the northern Adriatic Sea: Coupling with high salinity water intrusions. J. Plankton Res. 2005, 27, 851–862. [Google Scholar] [CrossRef]
- Allan, G.G.; Lewin, J.; Johnson, P.G. Marine polymers. IV diatom polysaccharides. Bot. Mar. 1972, 15, 102–108. [Google Scholar] [CrossRef]












| Date | Station | Sample Type | Analysis |
|---|---|---|---|
| 27 June 2024 | Portonovo (Conero Riviera) | Mucilage | LM and MB V4–V9 |
| 1 July 2024 | Passetto (Conero Riviera) | Mucilage | MB V4–V9 |
| 5 July 2024 | 00BF (Gulf of Trieste) | Mucilage | MB V4 |
| 5 July 2024 | 00BF (Gulf of Trieste) | Surrounding water | LM |
| 9 July 2024 | C2 (Gulf of Trieste) | Mucilage | MB V4 |
| 11 July 2024 | Passetto (Conero Riviera) | Mucilage | LM and MB V4–V9 |
| 11 July 2024 | Passetto (Conero Riviera) | Surrounding water | LM and MB V4–V9 |
| 12 July 2024 | Passetto (Conero Riviera) | Mucilage | LM and MB V4–V9 |
| 12 July 2024 | Passetto (Conero Riviera) | Surrounding water | LM and MB V4–V9 |
| 16 July 2024 | C1-LTER | Mucilage | LM and MB V4 |
| 16 July 2024 | C1-LTER | Surrounding water | LM and MB V4 |
| 19 July 2024 | 00BF | Mucilage | MB V4 |
| 19 July 2024 | 00BF | Surrounding water | LM and MB V4 |
| 21 July 2024 | Passetto (Conero Riviera) | Mucilage | LM and MB V4–V9 |
| 21 July 2024 | Passetto (Conero Riviera) | Surrounding water | LM and MB V4–V9 |
| 9 August 2024 | Passetto (Conero Riviera) | Mucilage | LM, SEM and MB V4–V9 |
| 9 August 2024 | Passetto (Conero Riviera) | Surrounding water | LM, SEM and MB V4–V9 |
Disclaimer/Publisher’s Note: The statements, opinions and data contained in all publications are solely those of the individual author(s) and contributor(s) and not of MDPI and/or the editor(s). MDPI and/or the editor(s) disclaim responsibility for any injury to people or property resulting from any ideas, methods, instructions or products referred to in the content. |
© 2026 by the authors. Licensee MDPI, Basel, Switzerland. This article is an open access article distributed under the terms and conditions of the Creative Commons Attribution (CC BY) license.
Share and Cite
Ubaldi, M.; Neri, F.; Montali, G.; Romagnoli, T.; Tomasini, A.; Cerino, F.; Turk Dermastia, T.; Mozetič, P.; Francé, J.; Spoto, C.; et al. Microalgal Communities in Mucilage Aggregates (Northern Adriatic Sea, Summer 2024) Based on Microscopy and Metabarcoding. Phycology 2026, 6, 5. https://doi.org/10.3390/phycology6010005
Ubaldi M, Neri F, Montali G, Romagnoli T, Tomasini A, Cerino F, Turk Dermastia T, Mozetič P, Francé J, Spoto C, et al. Microalgal Communities in Mucilage Aggregates (Northern Adriatic Sea, Summer 2024) Based on Microscopy and Metabarcoding. Phycology. 2026; 6(1):5. https://doi.org/10.3390/phycology6010005
Chicago/Turabian StyleUbaldi, Marika, Francesca Neri, Giorgia Montali, Tiziana Romagnoli, Aurora Tomasini, Federica Cerino, Timotej Turk Dermastia, Patricijia Mozetič, Janja Francé, Camilla Spoto, and et al. 2026. "Microalgal Communities in Mucilage Aggregates (Northern Adriatic Sea, Summer 2024) Based on Microscopy and Metabarcoding" Phycology 6, no. 1: 5. https://doi.org/10.3390/phycology6010005
APA StyleUbaldi, M., Neri, F., Montali, G., Romagnoli, T., Tomasini, A., Cerino, F., Turk Dermastia, T., Mozetič, P., Francé, J., Spoto, C., Accoroni, S., & Totti, C. (2026). Microalgal Communities in Mucilage Aggregates (Northern Adriatic Sea, Summer 2024) Based on Microscopy and Metabarcoding. Phycology, 6(1), 5. https://doi.org/10.3390/phycology6010005

