Influence of Optimal Charging Station Integration on Electric Power Distribution Grid: Case of Electric Bus-Based Transport System †
Abstract
1. Introduction
2. Study Case Description
2.1. Public Transportation Route Model
2.2. Electric Bus Parameters
3. Energy Consumption for Electric Buses
4. Optimization Problem
- Each bus has a predetermined schedule that specifies the arrival and departure frequencies to terminals.
- In every loop, the charging times are the same for all buses in the route.
- All loops have the same length, duration, and energy consumption, and all buses were produced by the same manufacturer and have the same driving range.
- There is only one charging station in the transportation system located at the starting point.
- All chargers are identical, and each charger is equipped with only one outlet.
4.1. Problem Formulation
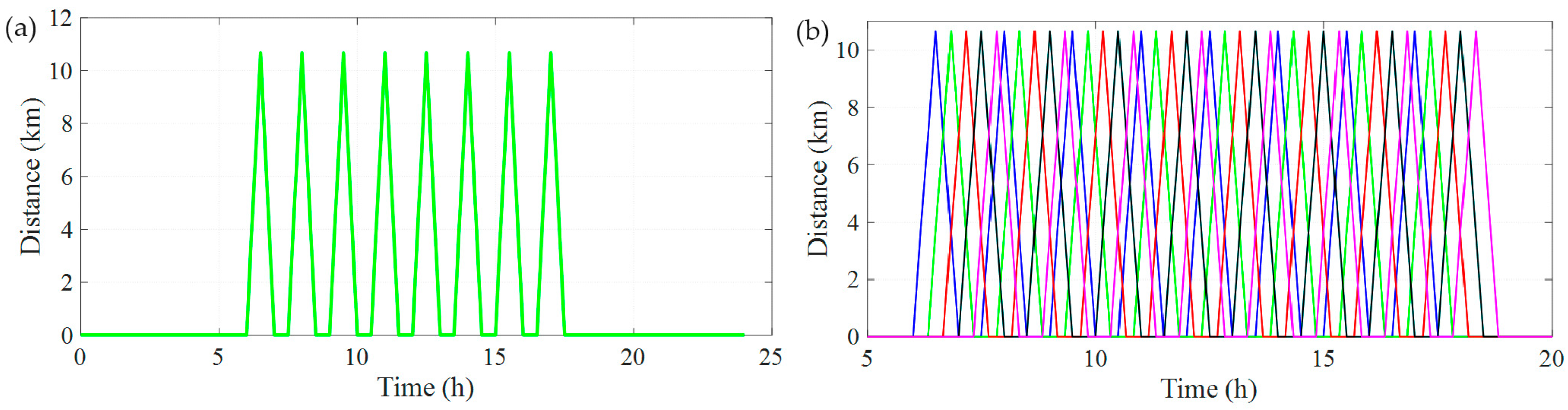
4.2. Route Optimization Results
5. Demand Analysis
Electric Chargers Demand Profile
6. Impact Evaluation
7. Conclusions
Author Contributions
Funding
Institutional Review Board Statement
Informed Consent Statement
Data Availability Statement
Conflicts of Interest
References
- Skuza, A.; Jurecki, R.S. Analysis of Factors Affecting the Energy Consumption of an EV Vehicle—A Literature Study. IOP Conf. Ser. Mater. Sci. Eng. 2022, 1247, 012001. [Google Scholar] [CrossRef]
- Bie, Y.; Ji, J.; Wang, X.; Qu, X. Optimization of Electric Bus Scheduling Considering Stochastic Volatilities in Trip Travel Time and Energy Consumption. Comput.-Aided Civ. Infrastruct. Eng. 2021, 36, 1530–1548. [Google Scholar] [CrossRef]
- Orbe, D.; Salazar, L.; Vásquez, P. Estimación y Análisis de Sensibilidad del Consumo Energético de Buses Eléctricos mediante Simulaciones Microscópicas en líneas de Transporte Público. Rev. Téc. Energ. 2024, 21, 105–113. [Google Scholar] [CrossRef]
- Ibarra-Rojas, O.J.; Delgado, F.; Giesen, R.; Muñoz, J.C. Planning, Operation, and Control of Bus Transport Systems: A Literature Review. Transp. Res. Part B Methodol. 2015, 77, 38–75. [Google Scholar] [CrossRef]
- Sebastiani, M.T.; Lüders, R.; Fonseca, K.V.O. Evaluating Electric Bus Operation for a Real-World BRT Public Transportation Using Simulation Optimization. IEEE Trans. Intell. Transp. Syst. 2016, 17, 2777–2786. [Google Scholar] [CrossRef]
- Iliopoulou, C.; Tassopoulos, I.; Kepaptsoglou, K.; Beligiannis, G. Electric Transit Route Network Design Problem: Model and Application. Transp. Res. Rec. 2019, 2673, 264–274. [Google Scholar] [CrossRef]
- Messaoudi, B.; Oulamara, A. Electric Bus Scheduling and Optimal Charging. In Proceedings of the Computational Logistics; Paternina-Arboleda, C., Voß, S., Eds.; Springer International Publishing: Cham, Switzerland, 2019; pp. 233–247. [Google Scholar]
- Peña, D.; Dorronsoro, B.; Tchernykh, A.; Ruiz, P. Public Transport Timetable and Charge Optimization Using Multiple Electric Buses Types. In Proceedings of the Genetic and Evolutionary Computation Conference Companion, Boston, MA, USA, 9–13 July 2022; Association for Computing Machinery: New York, NY, USA, 2022; pp. 751–754. [Google Scholar]
- Unterluggauer, T.; Rich, J.; Andersen, P.B.; Hashemi, S. Electric Vehicle Charging Infrastructure Planning for Integrated Transportation and Power Distribution Networks: A Review. eTransportation 2022, 12, 100163. [Google Scholar] [CrossRef]
- Alamatsaz, K.; Hussain, S.; Lai, C.; Eicker, U. Electric Bus Scheduling and Timetabling, Fast Charging Infrastructure Planning, and Their Impact on the Grid: A Review. Energies 2022, 15, 7919. [Google Scholar] [CrossRef]
- Liu, K.; Yamamoto, T.; Morikawa, T. Impact of Road Gradient on Energy Consumption of Electric Vehicles. Transp. Res. Part Transp. Environ. 2017, 54, 74–81. [Google Scholar] [CrossRef]
- Li, X.; Castellanos, S.; Maassen, A. Emerging Trends and Innovations for Electric Bus Adoption—A Comparative Case Study of Contracting and Financing of 22 Cities in the Americas, Asia-Pacific, and Europe. Res. Transp. Econ. 2018, 69, 470–481. [Google Scholar] [CrossRef]
- E-BUS RADAR. Available online: https://ebusradar.org/es/ (accessed on 27 August 2024).
- Validi, A.; Morales-Alvarez, W.; Olaverri-Monreal, C. Analysis of the Battery Energy Estimation Model in SUMO Compared with Actual Analysis of Battery Energy Consumption. In Proceedings of the 2021 16th Iberian Conference on Information Systems and Technologies (CISTI), Chaves, Portugal, 23–26 June 2021; pp. 1–6. [Google Scholar]
- He, Y.; Liu, Z.; Song, Z. Optimal Charging Scheduling and Management for a Fast-Charging Battery Electric Bus System. Transp. Res. Part E Logist. Transp. Rev. 2020, 142, 102056. [Google Scholar] [CrossRef]
- Wang, Y.; Huang, Y.; Xu, J.; Barclay, N. Optimal Recharging Scheduling for Urban Electric Buses: A Case Study in Davis. Transp. Res. Part E Logist. Transp. Rev. 2017, 100, 115–132. [Google Scholar] [CrossRef]
- Estudio de Análisis y Prospectiva de La Electro-Movilidad En Ecuador y El Mix Energético al 2030, Instituto de Investigación Geológico y Energético, Ministerio de Energía y Minas. Available online: https://www.geoenergia.gob.ec/wp-content/uploads/downloads/2023/08/Estudio-de-analisis-y-prospectiva-de-la-electromovilidad-en-Ecuador-y-el-mix-energetico-al-2030.pdf (accessed on 3 August 2023).
- Juan, A.; Marugan, C.; Ahsini, Y.; Fornes, R.; Panadero, J.; Martin, X. Using Reinforcement Learning to Solve a Dynamic Orienteering Problem with Random Rewards Affected by the Battery Status. Batteries 2023, 9, 416. [Google Scholar] [CrossRef]
- Orbe Játiva, D.; Salazar Yépez, G.; Vásquez Miranda, P. Estimación de Curvas Diarias de Demanda Eléctrica En Transformadores de Distribución Mediante Redes Neuronales Artificiales. In Proceedings of the 2022 IEEE Biennial Congress of Argentina (ARGENCON), San Juan, Argentina, 7–9 September 2022; pp. 1–5. [Google Scholar]










| Parameter | Value |
|---|---|
| Brand | BYD |
| Model | C9 |
| Engine Power | 360 kW |
| Battery Capacity | 438 kWh |
| Autonomy | 300 km |
| Height | 3.55 m |
| Length | 12.9 |
| Width | 2.55 |
| Weight | 18,000 kg |
| Capacity | 53 p |
| Scenario (Prevalence) | Projected Year | Charging Stations | Minimum Total Costs (USD) |
|---|---|---|---|
| 20% | 2030 1 | 1 | 85,464.55 |
| 50% | 2037 1 | 1 | 204,626.64 |
| 100% | 2055 1 | 2 | 413,614.68 |
Disclaimer/Publisher’s Note: The statements, opinions and data contained in all publications are solely those of the individual author(s) and contributor(s) and not of MDPI and/or the editor(s). MDPI and/or the editor(s) disclaim responsibility for any injury to people or property resulting from any ideas, methods, instructions or products referred to in the content. |
© 2024 by the authors. Licensee MDPI, Basel, Switzerland. This article is an open access article distributed under the terms and conditions of the Creative Commons Attribution (CC BY) license (https://creativecommons.org/licenses/by/4.0/).
Share and Cite
Orbe, D.; Salazar, L.; Vásquez, P.; Chamorro, W.; Medina, J. Influence of Optimal Charging Station Integration on Electric Power Distribution Grid: Case of Electric Bus-Based Transport System. Eng. Proc. 2024, 77, 22. https://doi.org/10.3390/engproc2024077022
Orbe D, Salazar L, Vásquez P, Chamorro W, Medina J. Influence of Optimal Charging Station Integration on Electric Power Distribution Grid: Case of Electric Bus-Based Transport System. Engineering Proceedings. 2024; 77(1):22. https://doi.org/10.3390/engproc2024077022
Chicago/Turabian StyleOrbe, Daniel, Luis Salazar, Paúl Vásquez, William Chamorro, and Jorge Medina. 2024. "Influence of Optimal Charging Station Integration on Electric Power Distribution Grid: Case of Electric Bus-Based Transport System" Engineering Proceedings 77, no. 1: 22. https://doi.org/10.3390/engproc2024077022
APA StyleOrbe, D., Salazar, L., Vásquez, P., Chamorro, W., & Medina, J. (2024). Influence of Optimal Charging Station Integration on Electric Power Distribution Grid: Case of Electric Bus-Based Transport System. Engineering Proceedings, 77(1), 22. https://doi.org/10.3390/engproc2024077022

