Next Article in Journal
Evaluation of Fluorescent Staining Capacity of Two New Nile Blue Analogues
Previous Article in Journal
Synthesis of Triphenylamine-Imidazo[1,2-a]pyridine via Groebke–Blackburn–Bienaymé Reaction
 
 
Font Type:
Arial Georgia Verdana
Font Size:
Aa Aa Aa
Line Spacing:
Column Width:
Background:
Proceeding Paper

Synthesis of Amino Alcohols from Eugenol and Their Insecticidal Activity against Sf9 Cell Line †

by
Nuno F. S. Pinto
1,
David M. Pereira
2,
Renato B. Pereira
2,
A. Gil Fortes
1,
Maria José G. Fernandes
1,
Elisabete M. S. Castanheira
3 and
M. Sameiro T. Gonçalves
1,*
1
Centre of Chemistry (CQ/UM), University of Minho, Campus of Gualtar, 4710-057 Braga, Portugal
2
REQUIMTE/LAQV, Laboratory of Pharmacognosy, Department of Chemistry, Faculty of Pharmacy, University of Porto, R. Jorge Viterbo Ferreira, 228, 4050-313 Porto, Portugal
3
Centre of Physics (CFUM), University of Minho, Campus of Gualtar, 4710-057 Braga, Portugal
*
Author to whom correspondence should be addressed.
Presented at the 24th International Electronic Conference on Synthetic Organic Chemistry, 15 November 2020–15 December 2020. Available online: https://ecsoc-24.sciforum.net/.
Chem. Proc. 2021, 3(1), 62; https://doi.org/10.3390/ecsoc-24-08337
Published: 14 November 2020

Abstract

:
Eugenol is a major constituent of clove essential oil with interesting biological activity, namely antimicrobial and antioxidant. Structural changes of eugenol are a useful strategy in order to improve biological activity and at the same time obtain new analogues with reduced side effects. In this work, a series of amine nucleophiles were reacted with eugenol epoxide so as to obtain the corresponding amino alcohols, considering their potential as biopesticides. These eugenol amino alcohols were evaluated against insect cells, specifically the Sf9 cell line.

1. Introduction

Structural changes of natural biologically active compounds are an important strategy to improve biological activity and at the same time to reduce possible side effects [1,2].
Eugenol, a phenylpropanoid, is a major constituent of clove essential oil with several applications in pharmaceutical, food, agricultural, and cosmetics industries [3], showing various types of biological activities, for example antioxidant [4,5], antimicrobial [6], antiviral [7,8] and anti-inflammatory [9]. Additionally, the ß-amino alcohol moiety represents an important core in the pharmaceutical industry; drugs such as salbutamol and propranolol are amongst the most important therapeutical agents on the market with this feature [10].
Following previous work in our lab, in which some eugenol derivatives showed high potential as biopesticides in assays using the Sf9 (Spodoptera frugiperda) insect cell line, a new series of eugenol amino alcohol derivatives was obtained and evaluated for insecticidal activity.

2. Materials and Methods

2.1. Synthesis of Eugenol Derivatives

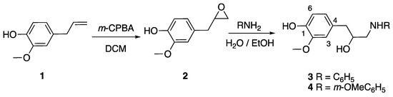
2.1.1. Synthesis of Eugenol Epoxide 2

To a suspension of m-CPBA (1.022 g, 55%, 3.27 mmol) in DCM (12 mL) under stirring at 0 °C was added a solution of eugenol (0.5 mL, 3.23 mmol) in DCM (10 mL), and the reaction mixture was left for 2 h at room temperature, after which another portion of m-CPBA was added (1.016 g, 55%, 3.24 mmol). After 23 h, the mixture was washed with NaSO3 (2 × 10 mL) followed by a saturated solution of NaHCO3 (2 × 10 mL). The organic phase was dried with MgSO4, and the solvent evaporated to afford epoxide 2 as yellow oil (0.532 g, 2.95 mmol, 91%). Rf = 0.10 (EtOAc/Pet.Et.-1:5). 1H-RMN (CDCl3, 400 MHz) δH: 6.86 (d, J = 7.6 Hz, 1H, H-6), 6.77 (d, J = 2 Hz, 1H, H-3), 6.74 (dd, J = 2 Hz, 7.6 Hz, 1H, H-5), 5.56 (s, 1H, OH), 3.90 (s, 3H, OCH3), 3.14 (tdd, J = 2.8 Hz, 4 Hz, 5.6 Hz, 1H, CH2CHCHH), 2.792–2.82 (m, 3H, CH2CHCHH), 2.55 (dd, J = 2.8 Hz, 4.8 Hz, 1H, CH2CHCHH) ppm. 13C-RMN (CDCl3, 100.6 MHz) δC: 143.5 (C-2), 144.4 (C-1), 129.0 (C-4), 121.6 (C-5), 114.3 (C-6), 111.5 (C-3), 55.9 (OCH3), 52.7 (-CH2CHCH2), 46.8 (-CH2CHCH2), 38.4 (-CH2CHCH2) ppm.

2.1.2. Typical Procedure for the Preparation of Amino Alcohols 3 and 4 (Illustrated for 3)

To a solution of epoxide 2 (0.204 g, 1.13 mmol) in EtOH/water (2 mL, 1:2, v/v) was added aniline (0.4 mL, 4.38 mmol, 3.9 eq.), and the mixture was heated at 50 °C for 5.5 h. Water (2 mL) was added and the resulting mixture was extracted with EtOAc (2 mL); the organic phase was collected, dried with MgSO4, filtered, and the solvent evaporated to afford a crude as a red oil (0.284 g), which was subjected to column chromatography in silica using DCM/MeOH as eluent of gradient polarity. The pure compound 3 was isolated as yellow oil (0.095 g, 0.35 mmol, 31%). Rf = 0.7 (MeOH/DCM 5:95). 1H-RMN (CDCl3, 400 MHz) δH: 7.19 (t, J = 3.2 Hz, 2H; H-3/H-5 NHC6H5OMe), 6.88 (d, J = 8 Hz, 1H, H-6), 6.75 (t, J = 8 Hz, 1H, H-4 NHC6H5OMe), 6.75 (s, 1H, H-3), 6.74 (d, J = 7.6 Hz, 1H, H-5), 6.65 (d, J = 8 Hz, 2H, H-2/H-6 NHC6H5OMe), 4.06 (m, 1H, -CHHCHCHHN), 3.87 (s, 3H, OCH3), 3.31 (dd, J = 12.4 Hz, 7.2 Hz, 1H; -CHHCHCHHN), 3.10 (dd, J = 12.8 Hz, 8Hz, 1H, -CHHCHCHHN), 2.83 (dd, J = 14 Hz, 5.2 Hz, 1H, -CHHCHCHHN), 2.75 (dd, J = 14 Hz, 8 Hz, 1H, -CHHCHCHHN) ppm. 13C-RMN (CDCl3, 100.6 MHz) δC: 147.9 (C-1 NHC6H5OMe), 146.6 (C-2), 144.4 (C-1), 129.4 (C-4), 129.3 (C-3/5 NHC6H5OMe), 122.0 (C-5), 118.1 (C-4 NHC6H5OMe), 114.5 (C-6), 113.5 (C-2/6 NHC6H5OMe), 111.8 (C-3), 71.1 (-CH2CHCH2N), 55.9 (OCH3), 49.5 (-CH2CHCH2N), 41.2 (-CH2CHCH2N) ppm.

2.2. Biological Assays

The potential of compounds 14 was evaluated as a biopesticide in assays using the Sf9 (Spodoptera frugiperda) insect cell line. Cells were maintained at 28 °C and cultivated in Grace’s medium with 10% FBS.
For the evaluation of viability, cells were plated at 3 × 104 cells/well and exposed to the molecules, after which resazurin was added, resulting in being read at 560/590 nm after 60 min of incubation.

3. Results and Discussion

3.1. Synthesis of Eugenol Derivatives

In the present work, a series of amino alcohols were prepared from eugenol epoxide. Eugenol 1, obtained by hydrodistillation of clove essential oil, was reacted by a known procedure [1,11] using m-CPBA in DCM, at room temperature, to give epoxide 2 in 91% yield. The reaction of epoxide 2 with two amine nucleophiles, namely aniline and 3-methoxyaniline using an ethanol/water solution as solvent, under heating at 50 °C [12], followed by column chromatography purification afforded the corresponding ß-amino alcohols 3 and 4 in 31% and 37% yields, respectively (Scheme 1). The obtained compounds were fully characterized by usual analytical techniques, namely NMR spectroscopy. The main 1H-NMR features of compounds 3 and 4 are the presence of two doublet of doublets at δ 3.31 and 3.10 ppm and δ 3.27 and 3.05 ppm, respectively corresponding to the CH2 vicinal to N; the OCH3 shows as a singlet at δ 3.87 and δ 3.84 ppm in compounds 3 and 4, respectively; at δ 4.06 ppm and δ 4.03 ppm a multiplet corresponding to CHOH. Regarding 13C NMR, the main features are the CH2N at δ 41.2 and δ 41.1 ppm for compounds 3 and 4, respectively, CHOH at δ 71.1 ppm for both compounds, OCH3 at δ 55.9 and δ 55.8 ppm, respectively, and CH2CHOHCH2N at δ 49.5 and δ 49.3 ppm, respectively. The OCH3 of the aromatic amine in compound 4 shows at δ 55.0 ppm.

3.2. Biological Evaluation

Previous work carried out in our lab showed interesting biological activity of some eugenol derivatives. The assessment of the starting molecule 1 showed that it exerted a low effect in the cell viability of Sf9 cells, causing a loss of viability under 20%. Conversion of 1 into its epoxide 2 resulted in a complete loss of activity. Differently, substitution of the corresponding amino alcohols at the amino function with bulkier groups, such as phenyl, led to a significant increase in the toxicity of the resulting molecule. In fact, amino alcohol 3 was the most active molecule obtained, being twice as toxic as the starting material, eugenol 1. In the case of compound 4, its toxicity is mostly comparable to that of eugenol 1, albeit marginally more toxic (Figure 1).

4. Conclusions

New eugenol derivatives were prepared through the reaction of eugenol epoxide with amine nucleophiles. The compounds obtained were fully characterized and their biological evaluation as insecticides using the Sf9 (Spodoptera frugiperda) insect cell line showed that it was possible to obtained molecules that were more toxic by tuning its structure.

Funding

This research was funded by Foundation for Science and Technology (FCT), COMPETE2020 and FEDER through project PTDC/ASP-AGR/30154/2017 (PCI-01-0145-FEDER-030154). Financial support to the research centres CQ/UM (UIDB/00686/2020), CF-UM-UP (UIDB/04650/2020) and REQUIMTE (UIDB/50006/2020) is also acknowledged to FCT. The NMR spectrometer Bruker Avance III 400 (part of the National NMR Network) was financed by FCT and FEDER.

Conflicts of Interest

The authors declare no conflict of interest.

References

  1. Silva, F.F.M.; Monte, F.J.Q.; Lemos, T.L.G.; Nascimento, P.G.G.; Costa, A.K.M.; Paiva, L.M.M. Eugenol derivatives: Synthesis, characterization, and evaluation of antibacterial and antioxidant activities. Chem. Cent. J. 2018, 12, 1–9. [Google Scholar] [CrossRef] [PubMed]
  2. Kodama, T.; Ito, T.; Dibwe, D.F.; Woo, S.-T.; Morita, H. Syntheses of benzophenone-xanthone hybrid polyketides and their antibacterial activities. Bioorg. Med. Chem. Lett. 2017, 27, 2397–2400. [Google Scholar] [CrossRef] [PubMed]
  3. Kaufman, T.S. The multiple faces of eugenol. A versatile starting material and building block for organic and bio-organic synthesis and a convenient precursor toward bio-based fine chemicals. J. Braz. Chem. Soc. 2015, 26, 1055–1085. [Google Scholar] [CrossRef]
  4. Nam, H.; Kim, M.M. Eugenol with antioxidant activity inhibits MMP-9 related to metastasis in human fibrosarcoma cells. Food Chem. Toxicol. 2013, 55, 106–112. [Google Scholar] [CrossRef] [PubMed]
  5. Eyambe, G.; Canales, L.; Banik, B.K. Antimicrobial activity of eugenol derivatives. Heterocycl. Lett. 2011, 1, 2231–3087. [Google Scholar]
  6. Awasthi, P.K.; Dixit, S.C.; Dixit, N.; Sinha, A.K. Eugenol derivatives as future potential drugs. Drugs 2008, 1, 215–220. [Google Scholar]
  7. Sun, W.-J.; Lv, W.-J.; Li, L.-N. Eugenol confers resistance to tomato yellow leaf curl virus (TYLCV) by regulating the expression of SlPer1 in tomato plants. New Biotechnol. 2016, 33, 345–354. [Google Scholar] [CrossRef]
  8. Kong, X.; Liu, X.; Li, J.; Yang, Y. Advances in pharmacological research of eugenol. Curr. Opin. Complement. Altern. Med. 2014, 1, 8–11. [Google Scholar]
  9. Fonsêca, D.V.; Salgado, P.R.R.; Neto, H.C.A.; Golzio, A.M.F.O.; Filho, M.R.D.C.; Melo, C.G.F.; Leite, F.C.; Piuvezam, M.R.; Pordeus, L.C.M.; Filho, J.M.B.; et al. Ortho-eugenol exhibits anti-nociceptive and anti-inflammatory activities. Int. Immunopharmacol. 2016, 38, 402–408. [Google Scholar] [CrossRef] [PubMed]
  10. Cioc, R.C.; Van der Niet, D.J.H.; Janssen, E.; Ruijter, E.; Orru, R.V.A. One-pot synthesis of N-substituted ß-amino alcohols from aldehydes and isocyanides. Chem. Eur. J. 2015, 21, 7808–7813. [Google Scholar] [CrossRef] [PubMed]
  11. Modjinou, T.; Versace, D.-L.; Abbad-Andaloussi, S.; Langlois, V.; Renard, E. Antibacterial and antioxidante photoinitiated epoxy co-networks of resorcinol and eugenol derivatives. Mater. Today Commun. 2017, 12, 19–28. [Google Scholar] [CrossRef]
  12. Azizi, N.; Saidi, M.R. Highly chemoselective addition of amines to epoxides in water. Org. Lett. 2015, 7, 3649–3651. [Google Scholar] [CrossRef] [PubMed]
Scheme 1. Synthesis of eugenol derivatives 24.
Scheme 1. Synthesis of eugenol derivatives 24.
Chemproc 03 00062 sch001
Figure 1. Viability of Sf9 cells after exposure to the referred molecules for 24 h at the concentration of 100 µg/mL. * p < 0.05; *** p < 0.001.
Figure 1. Viability of Sf9 cells after exposure to the referred molecules for 24 h at the concentration of 100 µg/mL. * p < 0.05; *** p < 0.001.
Chemproc 03 00062 g001
Publisher’s Note: MDPI stays neutral with regard to jurisdictional claims in published maps and institutional affiliations.

Share and Cite

MDPI and ACS Style

Pinto, N.F.S.; Pereira, D.M.; Pereira, R.B.; Fortes, A.G.; Fernandes, M.J.G.; Castanheira, E.M.S.; Gonçalves, M.S.T. Synthesis of Amino Alcohols from Eugenol and Their Insecticidal Activity against Sf9 Cell Line. Chem. Proc. 2021, 3, 62. https://doi.org/10.3390/ecsoc-24-08337

AMA Style

Pinto NFS, Pereira DM, Pereira RB, Fortes AG, Fernandes MJG, Castanheira EMS, Gonçalves MST. Synthesis of Amino Alcohols from Eugenol and Their Insecticidal Activity against Sf9 Cell Line. Chemistry Proceedings. 2021; 3(1):62. https://doi.org/10.3390/ecsoc-24-08337

Chicago/Turabian Style

Pinto, Nuno F. S., David M. Pereira, Renato B. Pereira, A. Gil Fortes, Maria José G. Fernandes, Elisabete M. S. Castanheira, and M. Sameiro T. Gonçalves. 2021. "Synthesis of Amino Alcohols from Eugenol and Their Insecticidal Activity against Sf9 Cell Line" Chemistry Proceedings 3, no. 1: 62. https://doi.org/10.3390/ecsoc-24-08337

APA Style

Pinto, N. F. S., Pereira, D. M., Pereira, R. B., Fortes, A. G., Fernandes, M. J. G., Castanheira, E. M. S., & Gonçalves, M. S. T. (2021). Synthesis of Amino Alcohols from Eugenol and Their Insecticidal Activity against Sf9 Cell Line. Chemistry Proceedings, 3(1), 62. https://doi.org/10.3390/ecsoc-24-08337

Article Metrics

Back to TopTop