Journal Description
Chemistry Proceedings
Chemistry Proceedings
is an open access journal dedicated to publishing findings resulting from conferences, workshops, and similar events, in all areas of chemistry. The conference organizers and proceedings editors are responsible for managing the peer review process and selecting papers for conference proceedings.
Latest Articles
Abstracts of the 1st International Online Conference on Separations
Chem. Proc. 2025, 19(1), 1; https://doi.org/10.3390/chemproc2025019001 - 11 Dec 2025
Abstract
The 1st International Online Conference on Separations (IOCS 2025), organized by MDPI during 15–17 October 2025, brings together researchers, professionals, and industry experts from around the world to explore the latest advancements in the dynamic field of separation science [...]
Full article
Open AccessEditorial
Statement of Peer Review
by
Evangelos Topakas and Keith Hohn
Chem. Proc. 2025, 17(1), 12; https://doi.org/10.3390/chemproc2025017012 - 4 Dec 2025
Abstract
In submitting conference proceedings to Chemistry Proceedings, the volume editors of the proceedings certify to the publisher that all papers published in this volume have been subjected to peer review administered by the volume editors [...]
Full article
(This article belongs to the Proceedings of The 3rd International Electronic Conference on Catalysis Sciences)
Open AccessProceeding Paper
LIFE.PTML Model Development Targeting Calmodulin Pathway Proteins
by
Maider Baltasar-Marchueta, Naia López, Sonia Arrasate, Matthew M. Montemore and Humberto González-Díaz
Chem. Proc. 2025, 18(1), 38; https://doi.org/10.3390/ecsoc-29-26890 - 3 Dec 2025
Abstract
►▼
Show Figures
Developing predictive models for drug efficacy is challenged by the complexity and heterogeneity of bioassay data. Here, we present LIFE.PTML, which is a methodology integrating drug Lifecycle (L), Information Fusion (IF), Encoding (E), Perturbation Theory (PT), and Machine Learning (ML) to predict compound
[...] Read more.
Developing predictive models for drug efficacy is challenged by the complexity and heterogeneity of bioassay data. Here, we present LIFE.PTML, which is a methodology integrating drug Lifecycle (L), Information Fusion (IF), Encoding (E), Perturbation Theory (PT), and Machine Learning (ML) to predict compound activity across diverse experimental conditions. Using a dataset of 3748 molecule–assay combinations targeting calmodulin (CaM) and related proteins, LIFE.PTML combines chemical and protein descriptors, quantifies experimental variability via perturbation operators, and trains non-linear classifiers, including XGBoost and Gradient Boosting. XGBoost achieved the best performance, with 88.9% test accuracy and an ROC AUC of 0.959, while feature importance analysis highlighted contributions from both drug- and protein-level descriptors. The results demonstrate that LIFE.PTML provides a robust, flexible, and interpretable framework for predictive chemoinformatics, facilitating the integration of multi-source data for drug discovery applications.
Full article

Figure 1
Open AccessProceeding Paper
Therapeutic Potential of 1-Deazapurines as Alpha-Glucosidase Inhibitors: Molecular Docking and Pharmacokinetic Evaluation
by
Faiza Boukli-Hacene, Hocine Allali, Sabri Ahmed Cherrak, Wassila Soufi and Said Ghalem
Chem. Proc. 2025, 18(1), 33; https://doi.org/10.3390/ecsoc-29-26911 - 1 Dec 2025
Abstract
►▼
Show Figures
Type 2 diabetes mellitus remains a critical metabolic disorder requiring novel therapeutic approaches. In this work, a library of 1-deazapurine derivatives was evaluated as α-glucosidase inhibitors through molecular docking with MOE software. The three top-ranked ligands—Methyl 6-(2-hydroxybenzoyl)-3-(2-phenylethyl)imidazo[4,5-b] pyridine-5-carboxylate (–6.1247 kcal/mol), 5-(furan-2-yl)-3-(4-methoxybenzyl)-2-phenyl-7- (trifluoromethyl)imidazo[4,5-b]pyridine (–5.7030
[...] Read more.
Type 2 diabetes mellitus remains a critical metabolic disorder requiring novel therapeutic approaches. In this work, a library of 1-deazapurine derivatives was evaluated as α-glucosidase inhibitors through molecular docking with MOE software. The three top-ranked ligands—Methyl 6-(2-hydroxybenzoyl)-3-(2-phenylethyl)imidazo[4,5-b] pyridine-5-carboxylate (–6.1247 kcal/mol), 5-(furan-2-yl)-3-(4-methoxybenzyl)-2-phenyl-7- (trifluoromethyl)imidazo[4,5-b]pyridine (–5.7030 kcal/mol), and 3-[2-phenylethyl]-5-thio phen-2-yl-7-(trifluoromethyl)imidazo[4,5-b]pyridine (–5.5403 kcal/mol)—were further validated by molecular dynamics simulations. ADMET and drug-likeness predictions confirmed favourable pharmacokinetic behaviour, gastrointestinal absorption, and oral bioavailability. These findings highlight 1-deazapurines as promising scaffolds for developing new α-glucosidase inhibitors targeting type 2 diabetes.
Full article

Figure 1
Open AccessProceeding Paper
Chitosan-Based Biosorption: A Sustainable Approach for Heavy Metal Removal from Wastewater
by
Imane Lansari, Khadidja Tizaoui and Belkacem Benguella
Chem. Proc. 2025, 18(1), 37; https://doi.org/10.3390/ecsoc-29-26919 - 28 Nov 2025
Abstract
►▼
Show Figures
This study investigates the application of natural chitosan as an efficient adsorbent for the removal of heavy metals from aqueous solutions. Experimental results showed that Mn(II), Co(II), and Ni(II) ions were effectively retained on the chitosan surface. Kinetic analysis revealed a preferential adsorption
[...] Read more.
This study investigates the application of natural chitosan as an efficient adsorbent for the removal of heavy metals from aqueous solutions. Experimental results showed that Mn(II), Co(II), and Ni(II) ions were effectively retained on the chitosan surface. Kinetic analysis revealed a preferential adsorption order of Co(II) > Mn(II) > Ni(II), following a pseudo-second-order model with rapid kinetics. Equilibrium adsorption capacities were influenced by initial concentration, temperature, and pH. Thermodynamic analysis indicated that the adsorption process was exothermic and physical in nature. Overall, chitosan proved to be a promising and cost-effective adsorbent for water decontamination.
Full article

Figure 1
Open AccessProceeding Paper
Supramolecular Assemblies Driven by N-H…O and O-H…O Hydrogen Bonding Interactions: Experimental and Theoretical Investigation into the Supramolecular Architectures of Dihydropyrimidin-2(1H)-ones
by
Sunshine Dominic Kurbah
Chem. Proc. 2025, 18(1), 28; https://doi.org/10.3390/ecsoc-29-26921 - 27 Nov 2025
Abstract
►▼
Show Figures
In this paper, quantum chemical calculations at the DFT/6-311G (d,p) level of theory have been carried out to study the supramolecular structure of dihydropyrimidin-2(1H)-ones. Theoretical studies such as Hirshfeld surface analysis, MEPS (molecular electrostatic potential surface), and HOMO–LUMO calculation were also carried out
[...] Read more.
In this paper, quantum chemical calculations at the DFT/6-311G (d,p) level of theory have been carried out to study the supramolecular structure of dihydropyrimidin-2(1H)-ones. Theoretical studies such as Hirshfeld surface analysis, MEPS (molecular electrostatic potential surface), and HOMO–LUMO calculation were also carried out to obtain the energy gap and to determine the kinetic stability and chemical reactivity. The crystal structure of dihydropyrimidin-2(1H)-ones shows the present of N-H…O and O-H…O hydrogen bonding interactions. The N-H…O bond lengths are 2.102 Å and 2.037 Å, respectively. The theoretical hydrogen bonding interactions were also compared with the available experimental data and found to be closely related.
Full article

Figure 1
Open AccessProceeding Paper
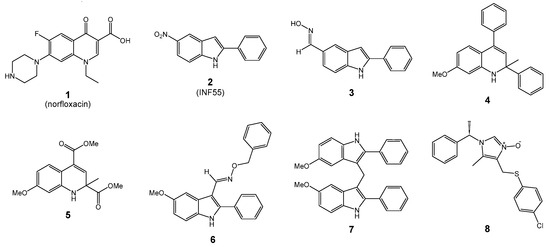
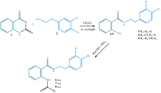
Structure-Based Design and Synthesis of Novel Hybrid Molecules Derived from Anthranilic Acid as Drug Candidates
by
Miglena Milusheva, Vera Gledacheva, Mihaela Stoyanova, Mina Todorova, Iliyana Stefanova and Stoyanka Atanasova Nikolova
Chem. Proc. 2025, 18(1), 19; https://doi.org/10.3390/ecsoc-29-26686 - 26 Nov 2025
Abstract
►▼
Show Figures
Hybrid molecules, integrating multiple pharmacophores within a single scaffold, represent a modern strategy in drug discovery, offering improved selectivity and safety. Anthranilic acid is a versatile building block with diverse biological activities. In this work, we designed and synthesized novel anthranilic acid-based hybrids
[...] Read more.
Hybrid molecules, integrating multiple pharmacophores within a single scaffold, represent a modern strategy in drug discovery, offering improved selectivity and safety. Anthranilic acid is a versatile building block with diverse biological activities. In this work, we designed and synthesized novel anthranilic acid-based hybrids with enhanced pharmacokinetic potential. The methods used include cheminformatics- guided library design, followed by amide bond formation between anthranilic acid derivatives and substituted 2-phenylethylamines. Purification and structural characterization were achieved via NMR, IR, and HRMS. The compounds exhibited favorable, predicted ADME/Tox profiles and synthetic accessibility. These results provide a foundation for further biological evaluation toward therapies for smooth muscle dysfunction and inflammation.
Full article

Figure 1
Open AccessProceeding Paper
Pest Control from Sustainable Resources: A Virtual Screening for Modulators of Odour Receptors in Drosophila melanogaster
by
Milena Ivkovic, Jelena Nakomcic, Jelena Kvrgic, Milica Andrejev, Milan Ilic, Natasa Jovanovic Ljeskovic and Mire Zloh
Chem. Proc. 2025, 18(1), 35; https://doi.org/10.3390/ecsoc-29-26884 - 13 Nov 2025
Abstract
►▼
Show Figures
Odorant receptors (ORs) in Drosophila melanogaster represent important proteins of the insect’s olfactory system, enabling the detection of environmental cues such as food sources, host plants, and mating signals. Their modulation by natural ligands offers a sustainable strategy for pest management, particularly through
[...] Read more.
Odorant receptors (ORs) in Drosophila melanogaster represent important proteins of the insect’s olfactory system, enabling the detection of environmental cues such as food sources, host plants, and mating signals. Their modulation by natural ligands offers a sustainable strategy for pest management, particularly through the use of bioactive compounds obtained from agricultural crop and food production residues (ACFPR). In this study, as a model we employed the AlphaFold-predicted structure of the odorant receptor Q9W1P8 for structure-based virtual screening. Molecular docking was carried out using GNINA, a deep learning-enhanced docking tool. Screening of 164 ACFPR-derived compounds from different sources revealed several strong binders, including α-tomatine, peonidin 3-rutinoside, and cinnamtannin B1. Predicted binding modes support the role of plant-derived molecules as candidate modulators of insect olfactory receptors. These findings highlight the utility of integrating AlphaFold models with advanced docking platforms to support the development of sustainable pest management strategies.
Full article

Figure 1
Open AccessProceeding Paper
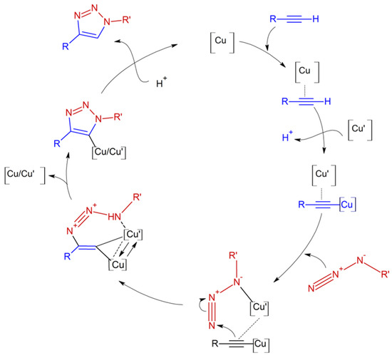
Functionalization and Characterization of New Chitosan Derivatives Obtained by 1,3-Dipolar Cycloaddition Reaction (CuAAC)
by
Johana Gutierrez-Guzmán, Christian David Alcívar-León, Verónica Jeanneth Taco-Taco, Ronny Flores and Pablo M. Bonilla-Valladares
Chem. Proc. 2025, 18(1), 34; https://doi.org/10.3390/ecsoc-29-26927 - 13 Nov 2025
Abstract
►▼
Show Figures
Chitosan is a biopolymer with excellent properties such as biodegradability, biocompatibility, bioactivity, and non-toxicity, making it an attractive material for various applications. In this study, to enhance these properties particularly for the development of food coatings chitosan derivatives (1,2,3-triazoles) were synthesized via microwave-assisted
[...] Read more.
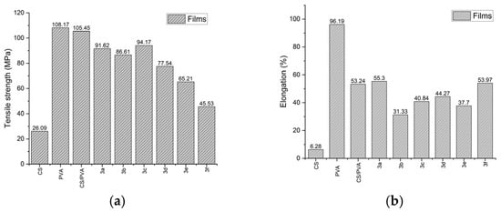
Chitosan is a biopolymer with excellent properties such as biodegradability, biocompatibility, bioactivity, and non-toxicity, making it an attractive material for various applications. In this study, to enhance these properties particularly for the development of food coatings chitosan derivatives (1,2,3-triazoles) were synthesized via microwave-assisted 1,3-dipolar cycloaddition (CuAAC) using different terminal alkynes. The resulting compounds were obtained in high yields 79.7–88.0% and characterized by vibrational (IR) and electronic (UV–Visible) spectroscopy. Films were formed by combining the derivatives with PVA and characterized using differential scanning calorimetry (DSC), tensile strength testing, and water vapor permeability analysis. The resulting films exhibited improved mechanical properties, homogeneous thicknesses, low-porosity surfaces, and favorable barrier properties, highlighting their potential applicability as food coating materials.
Full article

Figure 1
Open AccessProceeding Paper
Chiral DPP Thin Films: Unlocking Circularly Polarized Light for Next-Gen Optoelectronics
by
Alessia Arrigoni, Simone Molinaro, Federico Turco, Eleonora Sofia Cama, Chiara Botta, Umberto Giovanella, Benedetta Maria Squeo and Mariacecilia Pasini
Chem. Proc. 2025, 18(1), 31; https://doi.org/10.3390/ecsoc-29-26916 - 13 Nov 2025
Abstract
►▼
Show Figures
We report the synthesis and characterization of the two enantiomeric forms of a thienyl-substituted diketopyrrolopyrrole (DPP) derivative bearing chiral alkyl chains. Thin films were prepared either by spin-coating and drop-casting and analyzed by UV–Visible absorption, electronic circular dichroism (ECD), and circularly polarized (CP)
[...] Read more.
We report the synthesis and characterization of the two enantiomeric forms of a thienyl-substituted diketopyrrolopyrrole (DPP) derivative bearing chiral alkyl chains. Thin films were prepared either by spin-coating and drop-casting and analyzed by UV–Visible absorption, electronic circular dichroism (ECD), and circularly polarized (CP) luminescence (CPL). ECD spectra confirmed the opposite chirality of the (R) and (S) isomers, while CPL measurements of the S enantiomer demonstrated solid-state chiroptical activity. Preliminary device tests showed promising optoelectronic behavior, highlighting these chiral DPP materials as potential candidates for CP organic light-emitting diodes (CP-OLEDs) applications, combining strong chiroptical response with good film quality.
Full article

Figure 1
Open AccessProceeding Paper
Photoelectroactive Corrole Monomer Functionalized with a Triphenylamine–Chalcone Derivative: Synthesis, Electropolymerization, and Electrochromic Applications
by
Elizabeth Bermúdez Prieto, Edwin Javier Gónzalez López, Claudia Solis, Andres Calosso, Luis Otero, Edgardo Néstor Durantini, Lorena Macor, Miguel Gervaldo and Daniel Alejandro Heredia
Chem. Proc. 2025, 18(1), 29; https://doi.org/10.3390/ecsoc-29-26913 - 13 Nov 2025
Abstract
►▼
Show Figures
In this work, we report the divergent synthesis of a novel corrole macrocycle with a T-shaped geometry, functionalized with triphenylamine (TPA) units. The synthetic route involved a green preparation of 5-(pentafluorophenyl)dipyrromethane, condensation with pentafluorobenzaldehyde, and DDQ oxidation to afford the target corrole. In
[...] Read more.
In this work, we report the divergent synthesis of a novel corrole macrocycle with a T-shaped geometry, functionalized with triphenylamine (TPA) units. The synthetic route involved a green preparation of 5-(pentafluorophenyl)dipyrromethane, condensation with pentafluorobenzaldehyde, and DDQ oxidation to afford the target corrole. In parallel, a TPA-based chalcone derivative was obtained and introduced via regioselective nucleophilic aromatic substitution. The resulting photoactive corrole–TPA conjugate exhibited efficient electropolymerization, retaining the corrole chromophore while forming conductive TPB-linked films (TPB, tetraphenylbenzidine). Spectroelectrochemical studies confirmed reversible redox activity, color switching, and electrochromic behavior, highlighting its potential as a building block for photo- and electroactive devices.
Full article

Graphical abstract
Open AccessProceeding Paper
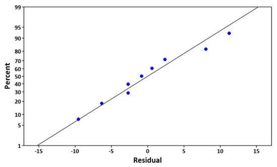
Process Optimization of Keratin Extraction from Chicken Feathers Using Alkaline Oxidation: A Taguchi L9 Orthogonal Array Study
by
Mohamed Belhajja, Omar Cherkaoui and Khalid Bougrin
Chem. Proc. 2025, 18(1), 27; https://doi.org/10.3390/ecsoc-29-26914 - 13 Nov 2025
Abstract
►▼
Show Figures
The valorization of poultry feather waste as a sustainable source of keratin aligns with circular economy principles and offers an environmentally responsible solution to managing agro-industrial residues. In this study, an eco-friendly alkaline oxidative extraction method using hydrogen peroxide (H2O2
[...] Read more.
The valorization of poultry feather waste as a sustainable source of keratin aligns with circular economy principles and offers an environmentally responsible solution to managing agro-industrial residues. In this study, an eco-friendly alkaline oxidative extraction method using hydrogen peroxide (H2O2) was investigated for recovering keratin from chicken feathers. The process was optimized through a Taguchi experimental design to enhance both extraction efficiency and protein regeneration. Four critical parameters, H2O2 concentration, pH, temperature, and extraction time, were studied at three levels each using an L9 orthogonal array. Their effects on solubilization and regeneration yields were systematically evaluated. Statistical analysis revealed that pH and H2O2 concentration had the most significant influence on keratin yield. The optimal conditions for maximum solubilization (2 M H2O2, pH 12, 75 °C, 1.5 h) yielded high extraction efficiency, whereas a lower H2O2 concentration (1 M) favored better regeneration, indicating that excessive oxidation may compromise protein reassembly. Regression models and ANOVA confirmed the statistical significance of these findings, with R2 values of 94.25% for solubilization and 78.23% for regeneration. The extracted keratin maintained essential structural features, as verified through subsequent characterization. This work not only improves the sustainability and effectiveness of keratin recovery but also establishes a statistically robust optimization approach. The methodology and insights provided can support future efforts in developing high-quality keratin-based biomaterials for biomedical, cosmetic, or environmental applications.
Full article

Figure 1
Open AccessProceeding Paper
Comparative Adsorption Performance of Chitosan and Iron-Modified Chitosan for the Removal of a Synthetic Textile Dye
by
Imane Lansari, Khadidja Tizaoui and Belkacem Benguella
Chem. Proc. 2025, 18(1), 26; https://doi.org/10.3390/ecsoc-29-26918 - 13 Nov 2025
Abstract
►▼
Show Figures
The present work focuses on the removal of a textile dye from wastewater through adsorption using industrial chitosan and iron-modified chitosan as adsorbents. Characterization was performed through infrared spectroscopy pH point of zero charge analysis. Kinetic results showed that iron modification significantly improved
[...] Read more.
The present work focuses on the removal of a textile dye from wastewater through adsorption using industrial chitosan and iron-modified chitosan as adsorbents. Characterization was performed through infrared spectroscopy pH point of zero charge analysis. Kinetic results showed that iron modification significantly improved adsorption capacity, achieving 96% removal within 120 min. The initial pH strongly influenced performance: industrial chitosan was more efficient in basic solutions, while iron-chitosan worked best under acidic conditions. Moderate agitation optimized adsorption rate and retention. Findings confirm the promising potential of both materials, particularly iron-chitosan, for textile wastewater treatment applications.
Full article

Figure 1
Open AccessProceeding Paper
Sustainable Synthesis of Vinyl Sulfones Using Copper Catalysis
by
Dawid Halka, Ignacio Padrón, Amparo Luna and Pedro Almendros
Chem. Proc. 2025, 18(1), 21; https://doi.org/10.3390/ecsoc-29-26896 - 13 Nov 2025
Abstract
►▼
Show Figures
Sulfonyl derivatives are very important compounds as they can be found in sulfones and sulfonamides, two classes of compounds with prominent biological and pharmacological activities. This study explores a copper-catalyzed cascade heterocyclization/sulfonylation reaction for the controlled preparation of sulfonyl oxazinones. Surprisingly, in this
[...] Read more.
Sulfonyl derivatives are very important compounds as they can be found in sulfones and sulfonamides, two classes of compounds with prominent biological and pharmacological activities. This study explores a copper-catalyzed cascade heterocyclization/sulfonylation reaction for the controlled preparation of sulfonyl oxazinones. Surprisingly, in this work we have isolated a great variety of vinyl sulfones with high selectivity instead of the expected cyclization. These sulfones are obtained by the reaction between N-Boc-allenes and aromatic sodium sulfinates. These results emphasize the reactivity of allenes toward the formation of bis(γ-amino-functionalized vinyl sulfones) in the presence of copper salts under radical conditions.
Full article

Figure 1
Open AccessProceeding Paper
Molecular Docking and Dynamics of a Series of Aza-Heterocyclic Compounds Against Effector Protein NleL
by
Karen Astrid Ortiz-Vargas, Juan Pedro Palomares-Báez, Judit A. Aviña-Verduzco, Hugo A. García-Gutiérrez, Rafael Herrera-Bucio and Pedro Navarro-Santos
Chem. Proc. 2025, 18(1), 16; https://doi.org/10.3390/ecsoc-29-26894 - 13 Nov 2025
Abstract
►▼
Show Figures
The Shiga toxin-producing strain of Escherichia coli with serotype O157:H7 can cause acute bloody diarrhea, which can lead to life-threatening hemolytic uremic syndrome. According to the World Health Organization, this bacterium causes 2.8 million cases annually. Therefore, this theoretical study based on molecular
[...] Read more.
The Shiga toxin-producing strain of Escherichia coli with serotype O157:H7 can cause acute bloody diarrhea, which can lead to life-threatening hemolytic uremic syndrome. According to the World Health Organization, this bacterium causes 2.8 million cases annually. Therefore, this theoretical study based on molecular docking and dynamics examined the inhibitory capacity of a series of aza-heterocyclic derivatives against the effector protein NleL of enterohemorrhagic E. coli (PDB ID: 3NAW), by determining affinity energy, stability, H-bond interactions and binding free energies of the compounds. The results obtained have enabled the identification of compounds with the potential to inhibit this infectious strain, contributing to an understanding of this protein.
Full article

Figure 1
Open AccessProceeding Paper
Novel Chalcone Derivatives as Potent Lyn Tyrosine Kinase Inhibitors: A Promising In-Silico Approach for Targeted Therapy in Triple-Negative Breast Cancer
by
Enayi Onaji, Yusuf Jimoh, Asmau Nasir Hamza and Maryam Abdullahi
Chem. Proc. 2025, 18(1), 8; https://doi.org/10.3390/ecsoc-29-26887 - 13 Nov 2025
Abstract
►▼
Show Figures
Triple-negative breast cancer (TNBC) accounts for approximately 10–15% of breast cancer cases and poses a significant clinical challenge due to its aggressive nature and poorer survival outcomes compared to other subtypes. This is primarily attributed to the lack of estrogen, progesterone, and HER2
[...] Read more.
Triple-negative breast cancer (TNBC) accounts for approximately 10–15% of breast cancer cases and poses a significant clinical challenge due to its aggressive nature and poorer survival outcomes compared to other subtypes. This is primarily attributed to the lack of estrogen, progesterone, and HER2 receptors, which render conventional hormone-based therapies ineffective. In this study, we employed in silico approaches to design and evaluate novel chalcone derivatives as potential inhibitors of Lyn tyrosine kinase, a critical enzyme implicated in TNBC progression. The designed compounds were screened for drug-likeness and toxicity, all meeting Lipinski’s rule of five and demonstrating favorable toxicity profiles. Molecular docking analyses identified five promising ligands, CHCN1, CHCN19, CHCN48, CHCN333, and CHCN94, that exhibited comparable binding affinities to key active site residues of Lyn kinase, including Asp385, Phe386, Gly387, Lys275, and Glu290. Among these, CHCN1 showed the highest binding affinity at –8.4 kcal/mol, likely due to interactions with Asp385 and Lys275. These results suggest that the chalcone derivatives may effectively disrupt Lyn-mediated signaling pathways essential for cancer cell survival, potentially inhibiting proliferation, metastasis, and invasion. Overall, this study provides valuable insights into the therapeutic potential of chalcone derivatives for TNBC, offering promising avenues for targeted intervention.
Full article

Figure 1
Open AccessProceeding Paper
Electrochemical Generation of Aza-BODIPY Polymers as NIR-Absorbing Electrochromic Materials
by
Andres Calosso, Edwin Gónzalez López, Elizabeth Bermúdez Prieto, Claudia Solis, Lorena Macor, Javier Durantini, Edgardo Durantini, Luis Otero, Miguel Gervaldo and Daniel Heredia
Chem. Proc. 2025, 18(1), 3; https://doi.org/10.3390/ecsoc-29-26923 - 13 Nov 2025
Abstract
►▼
Show Figures
A novel aza-BODIPY derivative functionalized with triphenylamine (TPA) substituents was synthesized through a multi-step route involving Claisen–Schmidt condensation, Michael addition, cyclization, and subsequent complexation. The presence of TPA units was introduced to enable electropolymerization, which was successfully achieved on Pt and ITO electrodes
[...] Read more.
A novel aza-BODIPY derivative functionalized with triphenylamine (TPA) substituents was synthesized through a multi-step route involving Claisen–Schmidt condensation, Michael addition, cyclization, and subsequent complexation. The presence of TPA units was introduced to enable electropolymerization, which was successfully achieved on Pt and ITO electrodes via cyclic voltammetry (CV). The progressive growth of the polymer films was evidenced by increasing redox currents, while their formation and properties were determined by CV, UV–Vis, and spectroelectrochemical analyses. The resulting polymer exhibited reversible absorption changes spanning the visible and near-infrared regions, highlighting its potential as a promising material for advanced electrochromic applications. Notably, the absorption in the NIR region makes this polymer particularly useful for optoelectronic technologies.
Full article

Figure 1
Open AccessProceeding Paper
Design, Synthesis, and Catalytic Evaluation of a New Pd-Dipeptide Metal Catalyst in the Stereoselective Formation of C–C Bonds via an Aldol Reaction
by
Juan C. Jiménez-Cruz, Ramón Guzmán-Mejía, Pedro Navarro-Santos, Hugo A. García-Gutiérrez, Julio César Ontiveros-Rodríguez, Verónica Cortés-Muñoz and Judit A. Aviña-Verduzco
Chem. Proc. 2025, 18(1), 2; https://doi.org/10.3390/ecsoc-29-26892 - 13 Nov 2025
Abstract
►▼
Show Figures
The mixture of enantiomers in pharmaceuticals can lead to adverse effects, as demonstrated by thalidomide, where one enantiomer exhibited therapeutic properties while the other was teratogenic. Currently, efforts are focused on developing efficient catalysts capable of selectively producing a single stereoisomer, particularly in
[...] Read more.
The mixture of enantiomers in pharmaceuticals can lead to adverse effects, as demonstrated by thalidomide, where one enantiomer exhibited therapeutic properties while the other was teratogenic. Currently, efforts are focused on developing efficient catalysts capable of selectively producing a single stereoisomer, particularly in the synthesis of neuropharmaceuticals and NSAIDs. In this context, a new chiral catalyst was synthesized, featuring a palladium core and the dipeptide L-lysine-glycine as a ligand. The catalyst was characterized using various spectroscopic techniques and exhibited enantiomeric excesses of up to 40% in aldol reactions. Additionally, it efficiently promoted Heck cross-coupling reactions, indicating its potential catalytic versatility.
Full article

Figure 1
Open AccessProceeding Paper
Screening of the Antibacterial Potential of the Biosurfactant Produced by Pseudomonas fluorescens ICCF 392 Against Bacillus sp.
by
Roxana Mădălina Stoica
Chem. Proc. 2025, 18(1), 1; https://doi.org/10.3390/ecsoc-29-26915 - 13 Nov 2025
Abstract
►▼
Show Figures
Biosurfactants are amphiphilic biocompounds produced by microorganisms, recognized for their surface-active properties and broad biotechnological applicability. The rising concern over antimicrobial resistance and environmental impact of synthetic chemicals has increased the demand for natural and eco-friendly alternatives. Biosurfactants, due to their unique chemical
[...] Read more.
Biosurfactants are amphiphilic biocompounds produced by microorganisms, recognized for their surface-active properties and broad biotechnological applicability. The rising concern over antimicrobial resistance and environmental impact of synthetic chemicals has increased the demand for natural and eco-friendly alternatives. Biosurfactants, due to their unique chemical structure and multifunctional properties, have emerged as promising candidates in this regard. These compounds have gained increasing attention due to their biodegradability, low toxicity, and potential to replace synthetic surfactants in various industries. In particular, their antimicrobial properties make them promising agents for applications in food safety, pharmaceuticals, and environmental protection. Pseudomonas fluorescens, a well-known biosurfactant-producing bacterium, has been extensively studied for its capacity to produce rhamnolipids with antimicrobial activity. Therefore, this study aimed to assess the antibacterial potential of the biosurfactant synthesized by Pseudomonas fluorescens ICCF 392 against Bacillus cereus, a Gram-positive bacterium frequently associated with foodborne illnesses. The biosurfactant was obtained through submerged fermentation and partially purified. The antibacterial activity was evaluated using the agar diffusion (cylinder-plate) method, which revealed a clear zone of inhibition measuring 20 mm in diameter. These findings indicate that microbial biosurfactants can serve as effective and sustainable alternatives to conventional antimicrobial agents. Further studies will focus on detailed characterization of the biosurfactant, its spectrum of activity, and potential formulation in various delivery systems.
Full article

Figure 1
Open AccessProceeding Paper
Identification and Synthesis of Semiochemical Substances Analogues of Stink Bugs
by
Gulnara Shakirzyanova, Ulugbek Togaev, Omon Kholbekov and Muxriddin Xudoynazarov
Chem. Proc. 2025, 18(1), 57; https://doi.org/10.3390/ecsoc-29-26741 - 12 Nov 2025
Abstract
►▼
Show Figures
Stink bugs (Hemiptera: Pentatomidae and Scutelleridae) produce a wide range of semiochemical compounds that function as pheromones, allomones, synomones, and kairomones. This study aimed to isolate, identify, and synthesize the main semiochemical components of the metathoracic glands of Aelia rostrata, A. melanota
[...] Read more.
Stink bugs (Hemiptera: Pentatomidae and Scutelleridae) produce a wide range of semiochemical compounds that function as pheromones, allomones, synomones, and kairomones. This study aimed to isolate, identify, and synthesize the main semiochemical components of the metathoracic glands of Aelia rostrata, A. melanota, Eurygaster integriceps, and E. maura. Extracts from male and female glands were analyzed using GC–MS, which revealed that (E)-2-hexen-1-ol acetate was the dominant compound in all four species. In addition, several α,β-unsaturated aldehydes with chain lengths of C6–C8, including (E)-2-hexenal, (E)-2-heptenal, (E)-2-octenal, and (E)-2-hexen-1-ol, were detected. These compounds are characterized by strong odors and irritant properties, acting as defensive allomones and alarm pheromones. Synthetic routes were developed for these key compounds. In particular, (E)-2-hexen-1-ol acetate was efficiently synthesized via acetylation of (E)-2-hexen-1-ol using acetic anhydride in the presence of 4-dimethylaminopyridine (DMAP) as a catalyst. This approach significantly reduced the reaction time to 30 min and improved the yield to 90%. Although DMAP is widely used in organic synthesis, the simplicity and efficiency of this optimized protocol for producing semiochemical analogues of stink bugs have not been previously reported. Preliminary trials with synthetic lures indicated their potential for pheromone-based monitoring of stink bug populations in cereal fields. The optimized semiochemical blends developed in this study are expected to contribute to integrated pest management strategies by enabling more effective detection and control of these economically important pests.
Full article

Figure 1
Highly Accessed Articles
Latest Books
E-Mail Alert
News
Topics




