Abstract
Parkinson’s disease is a neurodegenerative disease which involves the malfunction and death of vital nerve cells in the brain, called neurons, which produce dopamine. Dopamine is a neurotransmitter that communicates with the area of the brain responsible for movement and coordination. As Parkinson’s disease progresses, the amount of dopamine production in the brain declines, leaving a person unable to control movement. Typically, natural compounds such as flavanoids have been cited in the literature for having the ability to penetrate the blood–brain barrier and halt the progression of such disorders. In this study, ten phytoconstituents were screened using molecular docking against adenosine A2A to identify potential inhibitors. Target protein of interest, Adenosine A2A receptor (PDB ID: 3UZA) was extracted from PDB database. Test drugs as well as standard drug were extracted in their 3D conformation from the PubChem in .SDF format, and docking was done using FlexX software. The docking scores of the selected photochemical were compared with levodopa as a positive control. Docking studies revealed that Baicaline has best molecular docking result (−21.6 kcal/mol) for Adenosine A2A receptor, with low toxicity as per pro Tox-II online server which indicates that the Baicalein is a potential lead to be drug candidate for Parkinson’s disease.
1. Introduction
Parkinson’s disease (PD) is the second most common neurodegenerative disorder globally, which leads to severe behavioral and cognitive dysfunction [1], with a prevalence of about 0.5–1% among people 65 to 69 years old and rising to 1–3% among people 80 and older [2]. It was initially described in 1817 by James Parkinson, and it was further defined by Jean-Martin Charcot [3].
The etiology of Parkinson’s disease remains a topic of intense investigation, with both genetic and environmental factors implicated in its development. The main risk factor for PD is age, with a median onset age of 60 years old [4]. The hallmark pathological feature of Parkinson’s is the progressive loss of dopamine-producing neurons in the substantia nigra, a region of the brain critical for motor control [5]. This depletion of dopamine leads to the characteristic motor symptoms of tremors, bradykinesia, rigidity, and postural instability, which significantly hamper patients’ daily lives [6].
Deep brain stimulation and dopaminergic medications are currently accessible to enhance daily activities and quality of life while lessening the motor impairment in the patient with Parkinson’s disease [7]. In order to encourage neuroprotective intervention prior to the commencement of clinical manifestation, new investigations are being done to identify suitable therapy approaches [8].
Recently, natural medicines, mostly molecules derived from plants, have gained wide acceptance to treat Parkinson’s disease, since they are known to have fewer negative side effects than synthetic ones [9].
From the literature, ten phytoconstituents were selected for their neuroprotective action (Table 1) are caffeine (1), lenoleic acid (2), oleic acid (3), vasicine (4), vasicinol (5), vasicol (6), baicalein (7), amentoflavone (8), ginkgolide-B (9) and alpha cubebene (10) (Figure 1).
Figure 1.
Structure of compound.
Using molecular docking analysis, phytoconstituents were investigated and were compared with the standard drug Levodopa. FlexX is a quick and flexible docking tool that docks ligands into the active site of proteins. It possesses excellent ligand flexibility by changing the conformations in the active site although protein is rigid [10]. Using the FlexX docking software, screening of ten natural compounds with the Adenosine A2A receptor (3UZA) was done on the basis of their binding energy and conformation.
Table 1.
Neuroprotective action of phytoconstituents.
Table 1.
Neuroprotective action of phytoconstituents.
| Phytoconstituents | Mechanism of Neuroprotective Action |
|---|---|
| Caffeine | Caffeine has capacity to antagonize adenosine receptors, particularly A2A receptors present in striatopallidal neurons and improves PD motor functioning [11]. |
| Lenoleic acid | Antidepressant and anti-inflammatory properties, as well as increases in neuronal plasticity [12]. |
| Oleic acid | Oleic acid serves as a neurotrophic factor that promotes synapse formation, axonal and dendritic growth, neuronal migration and aggregation, and the production of myelin phospholipids during brain development [13]. |
| Vasicine | Effectively inhibited cholinesterases and Aβ aggregates, as well as neuroprotection activity [14]. |
| Vasicinol | |
| Vasicol | |
| Baicalein | Baicalein has a protective effect against oxidative stress-related damage. It also suppressed cell viability loss, intracellular ROS production, and prevented the buildup of ROS [15]. |
| Amentoflavone | Protects dopaminergic neurons from neurotoxicity by activating the PI3K/Akt and ERK signalling pathways, and reducing neuroinflammation in dopaminergic neurons [16]. |
| Ginkgolide-B | Anti-inflammatory effects and scavenging of oxygen free radicals [17]. |
| Alpha cubebene | Reduces the amyloid-induced neuroinflammatory response of microglia [18]. |
2. Material and Methods
2.1. Preparation of Ligands
From the literature, we selected the set of ten phytoconstituents structure, known for their brain stimulant action and can be used for Parkinson’s disease.
The phytoconstituent were extracted in their 3D conformation from the PubChem and were in .SDF format. Levodopa was used as the reference standard, as the first line of treatment for Parkinson’s disease is levodopa.
2.2. Retrieval of Protein Structure and Preparation
The X-ray-co-crystallized structures of the protein molecules (PDB ID: 3UZA) used in the study were retrieved from the Research Collaboratory for Structural Bioinformatics (RCSB). The receptor file was saved in “Mol2” format.
2.3. Molecular Docking Studies
The FlexX v 2.1.3 program was used to load the potential binding sites between the various ligands and the target protein. Prediction of protein–ligand interactions is performed using FlexX v 2.1.3 docking software. The results of docking were then compared with the docked result of reference ligand obtained from the corresponding PDB ID. The docking scores, 2D and 3D pose views, as well as the binding affinities of the selected natural compounds, were generated for further investigation.
The best docked phytoconstituent for neuroprotective action was identified on the basis of binding energy and interaction with amino acid residues.
2.4. Toxiciy Study
Toxicity of each phytoconstituents were determined with the help of pro Tox-II online server. ProTox-II is a virtual toxicity lab that enables the prediction of multiple toxicological endpoints related with a chemical structure.
3. Results and Discussion
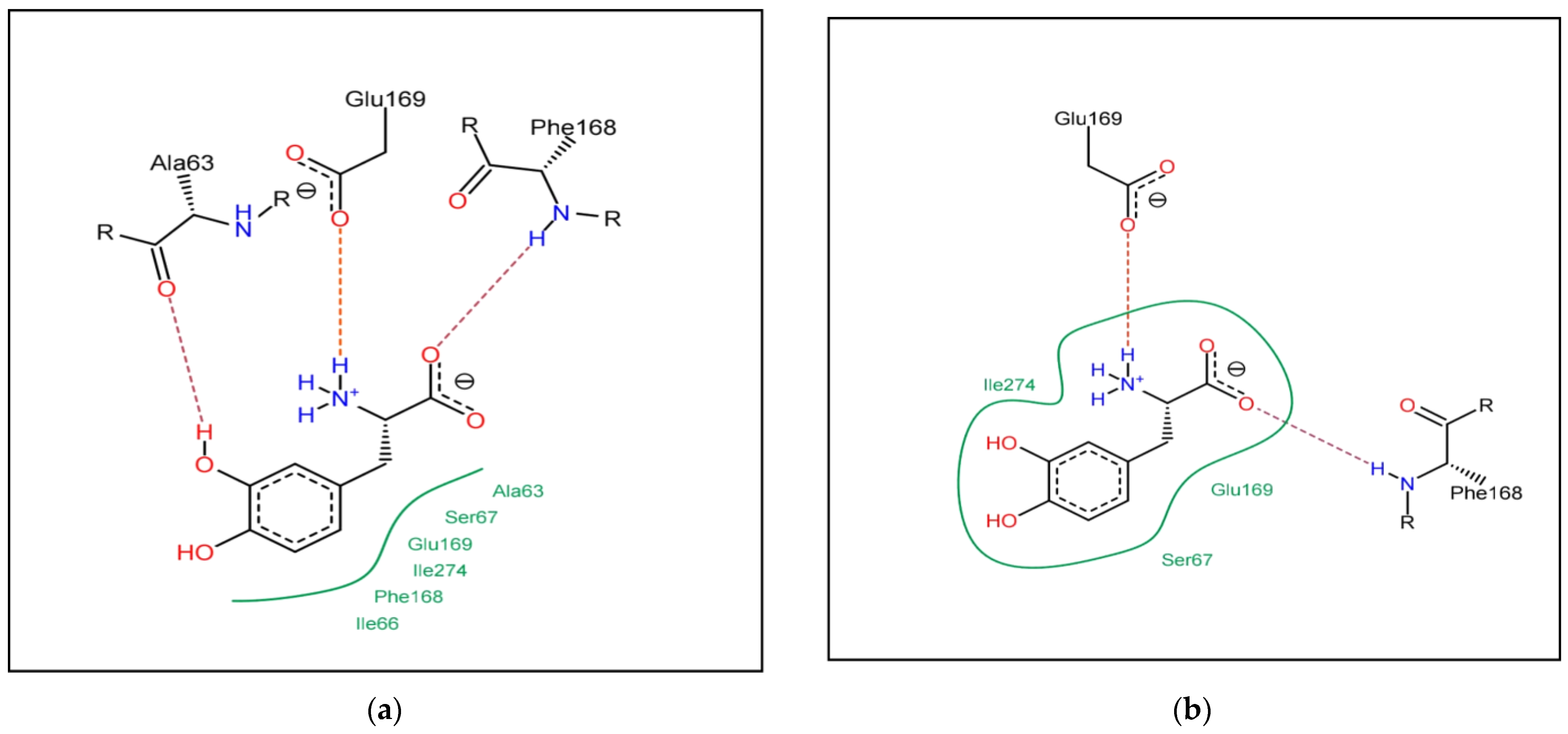
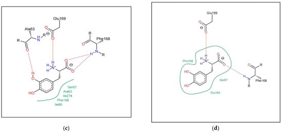
It has been discovered that natural substances operate preferentially as brain stimulants. The objective of the current study was to investigate the effects of natural substances as brain stimulants. Among the ten ligands, Baicalein showed a superior docking score of −21.60 kcal/mol. Baicalein (5,6,7-trihydroxy-2-phenylchromen-4-one) is a naturally occurring substance mainly found in stachys annua, stellera chamaejasme and other organisms. It belongs to the trihydroxyflavone class of group with the hydroxy groups at positions C-5, -6 and -7. Binding configuration of the reference ligand and best dock ligand is depicted in Figure 2 and Figure 3 and Table 2 and Table 3.

Figure 2.
Binding configuration of levodopa with 3UZA (a) high dock, (b) low dock, (c) high match, (d) low match.

Figure 3.
Binding configuration of Baicalein with 3UZA (a) high dock, (b) low dock, (c) high match, (d) low match.
Table 2.
Docking result of levodopa in 3UZA.
Table 3.
Docking result of baicalein in 3UZA.
Predictive Toxicity Studies
Toxicity of baicalein was determined with the help of pro Tox-II online server, and it was found that the predicted LD50 value of baicalein was 3919 mg/kg and the predictive toxicity class of baicalein is 5.
4. Conclusions
Docking studies were performed on the ten selected phytoconstituents. The docking result of plant compound compared to levodopa, standard drug shows that baicalein, caffeine, vasicol, vasicinol, vasicine, and amentoflavone have negative docking energy, which corresponds to good binding. Baicalein has a more negative value (−21.6080), which corresponds to very high binding and is closest to levodopa binding energy. Lineolic acid and oleic acid has positive score, which corresponds to non-existing binding (Table 4).
Table 4.
Docking score of phytoconstituents in the active site of Adenosine A2A receptor (PDB ID:3UZA).
Author Contributions
Conceptualization, M.G.; methodology, M.G. and P.C.; software, M.G. and P.C.; writing, N.K.; supervision, M.G. All authors have read and agreed to the published version of the manuscript.
Funding
This research received no external funding.
Institutional Review Board Statement
Not applicable.
Informed Consent Statement
Not applicable.
Data Availability Statement
Data are contained within the article.
Acknowledgments
The authors would like to acknowledge the Department of Pharmaceutical Sciences and Technology, Birla Institute of Technology, Mesra, Ranchi.
Conflicts of Interest
The authors declare no conflicts of interest.
References
- Papagno, C.; Trojano, L. Cognitive and behavioral disorders in Parkinson’s disease: An update. I: Cognitive impairments. Neurol. Sci. 2018, 39, 215–223. [Google Scholar] [CrossRef] [PubMed]
- Schneider, S.A.; Obeso, J.A. Clinical and pathological features of Parkinson’s disease. Curr. Top. Behav. Neurosci. 2015, 22, 205–220. [Google Scholar] [PubMed]
- Goetz, C.G. The history of Parkinson’s disease: Early clinical descriptions and neurological therapies. Cold Spring Harb. Perspect. Med. 2011, 1, a008862. [Google Scholar] [CrossRef] [PubMed]
- Lees, A.J.; Hardy, J.; Revesz, T. Parkinson’s disease. Lancet 2009, 373, 2055–2066. [Google Scholar] [CrossRef] [PubMed]
- Xu, L.; Pu, J. Alpha-Synuclein in Parkinson’s Disease: From Pathogenetic Dysfunction to Potential Clinical Application. Park. Dis. 2016, 2016, 1720621. [Google Scholar] [CrossRef] [PubMed]
- DeMaagd, G.; Philip, A. Parkinson’s Disease and Its Management: Part 1: Disease Entity, Risk Factors, Pathophysiology, Clinical Presentation, and Diagnosis. Pharm. Ther. 2015, 40, 504–532. [Google Scholar]
- Groiss, S.J.; Wojtecki, L.; Südmeyer, M.; Schnitzler, A. Deep brain stimulation in Parkinson’s disease. Ther. Adv. Neurol. Disord. 2009, 2, 20–28. [Google Scholar] [CrossRef] [PubMed]
- Jankovic, J.; Aguilar, L.G. Current approaches to the treatment of Parkinson’s disease. Neuropsychiatr. Dis. Treat. 2008, 4, 743–757. [Google Scholar] [CrossRef] [PubMed]
- Khazdair, M.R.; Kianmehr, M.; Anaeigoudari, A. Effects of Medicinal Plants and Flavonoids on Parkinson’s Disease: A Review on Basic and Clinical Evidences. Adv. Pharm. Bull. 2021, 11, 224–232. [Google Scholar] [CrossRef] [PubMed]
- Rarey, M.; Kramer, B.; Lengauer, T.; Klebe, G. A fast flexible docking method using an incremental construction algorithm. J. Mol. Biol. 1996, 261, 470–489. [Google Scholar] [CrossRef] [PubMed]
- Lazarus, M.; Shen, H.Y.; Cherasse, Y.; Qu, W.M.; Huang, Z.L.; Bass, C.E.; Winsky-Sommerer, R.; Semba, K.; Fredholm, B.B.; Boison, D.; et al. Arousal effect of caffeine depends on adenosine A2A receptors in the shell of the nucleus accumbens. J. Neurosci. 2011, 31, 10067–10075. [Google Scholar] [CrossRef] [PubMed]
- Blondeau, N.; Lipsky, R.H.; Bourourou, M.; Duncan, M.W.; Gorelick, P.B.; Marini, A.M. Alpha-linolenic acid: An omega-3 fatty acid with neuroprotective properties-ready for use in the stroke clinic. Biomed. Res. Int. 2015, 2015, 519830. [Google Scholar] [CrossRef] [PubMed]
- Medina, J.M.; Tabernero, A. Astrocyte-synthesized oleic acid behaves as a neurotrophic factor for neurons. J. Physiol.-Paris 2002, 96, 265–271. [Google Scholar] [CrossRef] [PubMed]
- Roja, G.; Vikrant, B.H.; Sandur, S.K.; Sharma, A.; Pushpa, K.K. Accumulation of vasicine and vasicinone in tissue cultures of Adhatoda vasica and evaluation of the free radical-scavenging activities of the various crude extracts. Food Chem. 2011, 126, 1033–1038. [Google Scholar] [CrossRef]
- Park, C.; Choi, E.O.; Kim, G.Y.; Hwang, H.J.; Kim, B.W.; Yoo, Y.H.; Park, H.T.; Choi, Y.H. Protective Effect of Baicalein on Oxidative Stress-induced DNA Damage and Apoptosis in RT4-D6P2T Schwann Cells. Int. J. Med. Sci. 2019, 16, 8–16. [Google Scholar] [CrossRef] [PubMed]
- Cao, Q.; Qin, L.; Huang, F.; Wang, X.; Yang, L.; Shi, H.; Wu, H.; Zhang, B.; Chen, Z.; Wu, X. Amentoflavone protects dopaminergic neurons in MPTP-induced Parkinson’s disease model mice through PI3K/Akt and ERK signaling pathways. Toxicol. Appl. Pharmacol. 2017, 319, 80–90. [Google Scholar] [CrossRef] [PubMed]
- Yang, X.; Zheng, T.; Hong, H.; Cai, N.; Zhou, X.; Sun, C.; Wu, L.; Liu, S.; Zhao, Y.; Zhu, L.; et al. Neuroprotective effects of Ginkgo biloba extract and Ginkgolide B against oxygen-glucose deprivation/reoxygenation and glucose injury in a new in vitro multicellular network model. Front. Med. 2018, 12, 307–318. [Google Scholar] [CrossRef] [PubMed]
- Park, S.Y.; Park, S.J.; Park, N.J.; Joo, W.H.; Lee, S.J.; Choi, Y.W. α-Iso-cubebene exerts neuroprotective effects in amyloid beta stimulated microglia activation. Neurosci. Lett. 2013, 555, 143–148. [Google Scholar] [CrossRef] [PubMed]
Disclaimer/Publisher’s Note: The statements, opinions and data contained in all publications are solely those of the individual author(s) and contributor(s) and not of MDPI and/or the editor(s). MDPI and/or the editor(s) disclaim responsibility for any injury to people or property resulting from any ideas, methods, instructions or products referred to in the content. |
© 2023 by the authors. Licensee MDPI, Basel, Switzerland. This article is an open access article distributed under the terms and conditions of the Creative Commons Attribution (CC BY) license (https://creativecommons.org/licenses/by/4.0/).




