Sign in to use this feature.

Years

Between: -

Subjects

remove_circle_outline
remove_circle_outline
remove_circle_outline
remove_circle_outline
remove_circle_outline
remove_circle_outline
remove_circle_outline
remove_circle_outline
remove_circle_outline

Journals

remove_circle_outline
remove_circle_outline
remove_circle_outline
remove_circle_outline
remove_circle_outline

Article Types

Countries / Regions

remove_circle_outline
remove_circle_outline
remove_circle_outline
remove_circle_outline

Search Results (225)

Search Parameters:
Keywords = baicalein

Order results
Result details
Results per page
Select all
Export citation of selected articles as:
18 pages, 1598 KB  
Review
AI-Driven Plant-Derived Anti-Infectives: Integrating Traditional Wisdom into Precision Medicine Against AMR
by Zhiwu Yin, Changbin Chen, Xing Wu, Wenhao Luo, Paulo Quaresma and Jianbiao Dai
Life 2026, 16(4), 540; https://doi.org/10.3390/life16040540 - 25 Mar 2026
Viewed by 337
Abstract
The escalating antimicrobial resistance (AMR) crisis necessitates the development of innovative anti-infectives with novel mechanisms of action. Nevertheless, research on natural products remains constrained by low-throughput screening and limited mechanistic insights. Artificial intelligence (AI) is catalyzing a pivotal paradigm shift—from the mere isolation [...] Read more.
The escalating antimicrobial resistance (AMR) crisis necessitates the development of innovative anti-infectives with novel mechanisms of action. Nevertheless, research on natural products remains constrained by low-throughput screening and limited mechanistic insights. Artificial intelligence (AI) is catalyzing a pivotal paradigm shift—from the mere isolation of active compounds to precisely deciphering their modes of action. This review highlights AI’s transformative role in bridging ethnopharmacological knowledge and modern pharmacology to decode the mechanisms of plant-derived anti-infectives. Case studies on berberine, baicalein, danshensu derivatives, and rosmarinic acid derivatives from Coleus amboinicus illustrate AI’s capacity to map traditional therapeutic concepts to specific pathways (e.g., biofilm inhibition, inflammasome modulation) and to predict precise binding interactions and pharmacophores with high precision. Leveraging statistical correlations between ethnobotanical usage patterns and chemical similarity, we propose a “Knowledge–Data–Mechanism” three-layer framework centered on deep mechanistic insight. Integrating Chinese initiatives, such as the CNDR (China’s National Drug Repository) database and the TCM-AI platform, with global traditional medicine wisdom, this strategy provides an actionable roadmap for modernizing anti-infective discovery. Validated applications of this paradigm have demonstrated order-of-magnitude acceleration in mechanistic characterization, rapidly yielding structurally novel agents with well-defined, target-specific actions—a critical advancement in addressing the urgent global threat of antimicrobial resistance. Full article
(This article belongs to the Section Pharmaceutical Science)
Show Figures

Figure 1

39 pages, 5739 KB  
Review
NRF2 as a Therapeutic Target in Dermatological Disorders: Mechanisms and Molecules
by Ismael Khiar-Fernández, Nora Khiar-Fernández, José-Juan Pereyra-Rodríguez and Inmaculada Fernández
Pharmaceuticals 2026, 19(3), 497; https://doi.org/10.3390/ph19030497 - 17 Mar 2026
Viewed by 344
Abstract
The nuclear factor erythroid 2–related factor 2 (NRF2) is a master transcription factor that orchestrates cellular defense against oxidative and electrophilic stress. Dysregulation of the KEAP1–NRF2–ARE pathway has been implicated in several dermatological disorders, including vitiligo, psoriasis, atopic dermatitis, photoaging, and radiation dermatitis. [...] Read more.
The nuclear factor erythroid 2–related factor 2 (NRF2) is a master transcription factor that orchestrates cellular defense against oxidative and electrophilic stress. Dysregulation of the KEAP1–NRF2–ARE pathway has been implicated in several dermatological disorders, including vitiligo, psoriasis, atopic dermatitis, photoaging, and radiation dermatitis. This review summarizes recent advances in the understanding of NRF2 activation mechanisms and highlights pharmacological and natural compounds with potential dermatological applications. A comprehensive analysis of natural, semisynthetic, and synthetic NRF2 modulators is provided, describing their chemical structures, synthetic approaches, mechanisms of action, preclinical and clinical evidence, and therapeutic relevance for skin disorders. Multiple classes of NRF2 activators, including isothiocyanates such as sulforaphane, triterpenoids such as omaveloxolone, flavonoids including baicalein and apigenin, alkaloids such as berberine, glycosides like afzelin and paeoniflorin, stilbenoids such as tapinarof, and α,β-unsaturated fumaric acid esters such as dimethyl fumarate, have demonstrated antioxidant, anti-inflammatory, and cytoprotective effects in keratinocytes and melanocytes. Some of these agents, particularly dimethyl fumarate and tapinarof, have advanced to clinical development or commercialization, whereas others remain at the preclinical stage but show encouraging results in animal models and cell culture systems. Overall, pharmacological activation of NRF2 represents a promising therapeutic strategy to counteract oxidative stress–driven skin damage and inflammation; however, continued translational and clinical research is required to optimize formulations, dosing regimens, and safety profiles for integration into dermatological practice. Full article
(This article belongs to the Collection Feature Review Collection in Medicinal Chemistry)
Show Figures

Graphical abstract

13 pages, 1031 KB  
Article
Origin Identification of Scutellariae radix Based on Multidimensional Quality Indicators and Machine Learning Algorithms
by Xiao-Lu Liu, Tong Zhu, Ming-Yue Zhang, Jun-Xuan Yang, Hua Li and Bin Yang
Molecules 2026, 31(4), 680; https://doi.org/10.3390/molecules31040680 - 15 Feb 2026
Viewed by 397
Abstract
This study aims to establish an origin identification method for Scutellariae radix that integrates multidimensional quality indicators and machine learning algorithms, enabling accurate and rapid traceability of Scutellariae radix medicinal materials from four production areas: Hebei (HB), Shanxi (SX), Shaanxi (SAX), and Chengde [...] Read more.
This study aims to establish an origin identification method for Scutellariae radix that integrates multidimensional quality indicators and machine learning algorithms, enabling accurate and rapid traceability of Scutellariae radix medicinal materials from four production areas: Hebei (HB), Shanxi (SX), Shaanxi (SAX), and Chengde (CD). The study collected a total of 43 batches of Scutellariae radix samples from the aforementioned origins. It systematically measured 12 key quality indicators covering flavonoids, physicochemical parameters, chromaticity values, and biological activity. These specifically include four flavonoid components: baicalin, wogonoside, baicalein, and wogonin; three physicochemical parameters: moisture content, ash content, and alcohol-soluble extract; four chromaticity values: L*, a*, b*, and ΔE; and in vitro anti-inflammatory activity (IC50 value for NO clearance). On the basis of these parameters, in this study there were five machine learning models constructed based on the following algorithms and methods: Random Forest (RF), Extreme Learning Machine (ELM), Backpropagation Neural Network (BP), and Radial Basis Function Neural Network (RBF). A comparative analysis was conducted to evaluate the origin identification performance of each model. The results indicate significant differences (p < 0.05) in the contents of baicalin, wogonoside, L*, a*, b*, ΔE, and alcohol-soluble extract among Scutellariae radix from different origins. The comparative analysis of four machine learning models reveals that RF outperforms ELM, BP, and RBF in multiclass classification, achieving a test accuracy of 75% and consistent precision, recall, and F1-score of 79.17%. In contrast, the three neural networks attain only 66.67% test accuracy, with RBF showing high precision but low recall, ELM delivering moderate performance, and BP performing poorly. These results underscore the strength of ensemble methods like RF in small-sample settings, where they mitigate overfitting and enhance generalization, whereas neural networks struggle with limited data. We therefore recommend RF for deployment under current data constraints and suggest future work should focus on data expansion, especially for under-performing classes, along with hyperparameter tuning to further improve classification. Full article
(This article belongs to the Special Issue 30th Anniversary of Molecules—Recent Advances in Food Chemistry)
Show Figures

Graphical abstract

16 pages, 1728 KB  
Article
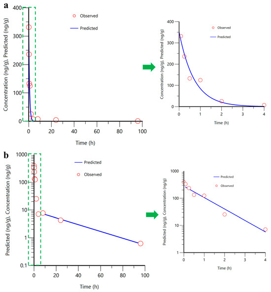
Ocular and Systemic Pharmacokinetics of Baicalein and Baicalin After Intravitreal Injection and Oral Administration in Mice
by Yunshi Zhi, Li Pan, Wenjun Xiong, Thomas Chuen Lam, Huihui Xiao and Chi Wai Do
Pharmaceutics 2026, 18(2), 243; https://doi.org/10.3390/pharmaceutics18020243 - 15 Feb 2026
Viewed by 950
Abstract
Background: Glaucoma requires therapies that extend beyond intraocular pressure (IOP)-lowering strategies, and baicalein (BA) offers dual IOP-lowering and neuroprotective potential. This study evaluated the pharmacokinetics of BA and its major metabolite baicalin (BG) in mouse eyes and serum after intravitreal (IVT) and oral [...] Read more.
Background: Glaucoma requires therapies that extend beyond intraocular pressure (IOP)-lowering strategies, and baicalein (BA) offers dual IOP-lowering and neuroprotective potential. This study evaluated the pharmacokinetics of BA and its major metabolite baicalin (BG) in mouse eyes and serum after intravitreal (IVT) and oral administration to determine whether non-invasive oral dosing can achieve IVT-comparable ocular exposure. Methods: BA was administered via IVT injection (100 μM) or oral gavage (20 and 200 mg/kg) in mice, and concentrations of BA and BG in serum and ocular tissues were quantified using a validated ultra-performance liquid chromatography–mass spectrometry (UHPLC/MS) method. Results: After IVT, ocular BA peaked at 331.56 ± 17.75 ng/g at 5 min and declined to 7.13 ± 0.79 ng/g at 4 h, with minimal systemic exposure. Oral administration achieved comparable or higher peak ocular BA levels (380.43 ± 52.85 ng/g at 15 min for 20 mg/kg; 309.70 ± 24.75 ng/g at 5 min for 200 mg/kg), with markedly higher ocular area under the concentration–time curve (AUC: 2455.48 ± 667.83 h·ng/g for 200 mg/kg and 1224.88 ± 751.13 h·ng/g for 20 mg/kg) versus IVT (247.07 h·ng/g). Serum BA and BG peaked at 5 min after oral dosing, with systemic BG exposure substantially exceeding BA. Conclusions: Non-invasive oral BA dosing achieves ocular concentrations comparable to IVT injection, with significantly greater overall exposure and favorable pharmacokinetic profiles. This study provides the first demonstration in mice that non-invasive oral BA administration can replace invasive IVT delivery, establishing a strong rationale for its clinical development in glaucoma and retinal disease management. Full article
(This article belongs to the Special Issue Ocular Drug Delivery System)
Show Figures

Figure 1

27 pages, 10639 KB  
Article
Taming the Tumor Stroma: A Two-Stage Targeted Nanocapsule for Potent Deep Chemo-Immunotherapy in Triple-Negative Breast Cancer
by Bin Xing, Xinru Shen, Xintao Jia, Ying Zhang, Zhongyan Liu, Xueli Guo, Xin Li and Zhidong Liu
Pharmaceutics 2026, 18(2), 184; https://doi.org/10.3390/pharmaceutics18020184 - 30 Jan 2026
Viewed by 569
Abstract
Background: The tumor microenvironment (TME) poses significant challenges to effective therapy, with cancer-associated fibroblasts (CAFs) playing a key role in tumor progression and drug resistance in triple-negative breast cancer (TNBC). Herein, a TME responsive nanocapsule, NPC-ABS/FDS, was developed utilizing baicalein, a CAFs [...] Read more.
Background: The tumor microenvironment (TME) poses significant challenges to effective therapy, with cancer-associated fibroblasts (CAFs) playing a key role in tumor progression and drug resistance in triple-negative breast cancer (TNBC). Herein, a TME responsive nanocapsule, NPC-ABS/FDS, was developed utilizing baicalein, a CAFs modulator, and the cytotoxic drug doxorubicin to selectively target CAFs and tumor cells, respectively, in a stepwise manner. Methods: NPC-ABS/FDS was designed with CD13-mediated primary targeting for tumor accumulation and secondary targeting via σ-receptor binding (ABS nanoparticles) for CAFs and folate modification (FDS nanoparticles) for cancer cells. Physicochemical properties were assessed using TEM, particle size, and ζ-potential analyses. Fluorescence imaging evaluated tumor retention, while cellular uptake and TME modulation were analyzed in vitro and in vivo. Results: The successful preparation of NPC-ABS/FDS was demonstrated by its uniform morphology, stable characteristics, charge reversal, and increased particle size. Fluorescence imaging confirmed prolonged peritumoral retention. Cellular uptake increased 2.5-fold for baicalein in CAFs and 4.3-fold for doxorubicin in cancer cells. NPC-ABS/FDS downregulated α-SMA and FAP, reducing CAFs activation, improving intratumoral drug penetration, and enhancing CD8+ and CD4+ T cell infiltration while decreasing regulatory T cells. Conclusions: NPC-ABS/FDS effectively modulates multiple TME components, including CAFs and immune cells, and improves drug delivery in TNBC. These findings may support the development of improved therapeutic approaches for TNBC. Full article
(This article belongs to the Section Drug Targeting and Design)
Show Figures

Graphical abstract

23 pages, 2955 KB  
Review
Molecular Mechanisms and Therapeutic Potential of Baicalein in Acute Pancreatitis: A Comprehensive Review
by Linbo Yao, Shiyu Liu, Wei Huang and Xinmin Yang
Biomolecules 2026, 16(1), 151; https://doi.org/10.3390/biom16010151 - 14 Jan 2026
Viewed by 782
Abstract
Acute pancreatitis (AP) is a severe inflammatory disorder characterized by a complex molecular pathophysiology involving premature zymogen activation, organelle dysfunction, and systemic immune dysregulation. Current therapeutic strategies remain largely supportive, underscoring the critical need for specific molecular-targeted interventions. Baicalein, a bioactive flavonoid derived [...] Read more.
Acute pancreatitis (AP) is a severe inflammatory disorder characterized by a complex molecular pathophysiology involving premature zymogen activation, organelle dysfunction, and systemic immune dysregulation. Current therapeutic strategies remain largely supportive, underscoring the critical need for specific molecular-targeted interventions. Baicalein, a bioactive flavonoid derived from Scutellaria baicalensis Georgi, has emerged as a potent pleiotropic agent. This review comprehensively synthesizes the molecular mechanisms underlying baicalein’s therapeutic efficacy in AP. Its capacity to intercept the pathological cascade at multiple checkpoints is elucidated, from mitigating the initiating cytosolic calcium overload and preserving mitochondrial integrity to suppressing the cytokine storm via the TLR4/NF-κB/MAPK signaling axis. Crucially, baicalein modulates the pancreatic immune microenvironment by driving the phenotypic polarization of macrophages from pro-inflammatory M1 to reparative M2 states and regulating neutrophil dynamics, specifically by inhibiting infiltration and neutrophil extracellular trap formation. Furthermore, its role in orchestrating regulated cell death pathways is highlighted, specifically by blocking pyroptosis and ferroptosis while modulating apoptosis, and its function as a biophysical scavenger of circulating histones and pancreatic lipase to neutralize systemic toxins. Consequently, this review emphasizes the multi-target biological activities of baicalein, providing a mechanistic rationale for its development as a precision therapeutic candidate for AP. Full article
Show Figures

Figure 1

19 pages, 1661 KB  
Review
Scutellaria baicalensis Georgi: A Promising Source of Bioactive Molecules for Kidney Disease Therapy
by Xia Yang, Fang Dou, Lang Hai, Yating Xiao, Jie Cui, Yangyang Cai, Rui Wang, Kai Ji, Yalong Feng and Hua Chen
Biomolecules 2026, 16(1), 64; https://doi.org/10.3390/biom16010064 - 31 Dec 2025
Viewed by 697
Abstract
The incidence of kidney diseases has been increasing due to changes in modern lifestyles and the ecological environment. The progression of kidney disease is characterized by ongoing renal damage and a gradual decline in renal function, ultimately leading to end-stage renal disease. The [...] Read more.
The incidence of kidney diseases has been increasing due to changes in modern lifestyles and the ecological environment. The progression of kidney disease is characterized by ongoing renal damage and a gradual decline in renal function, ultimately leading to end-stage renal disease. The limitations of present medications have brought many disadvantages to patients. Consequently, identifying bioactive molecules has emerged as a critical strategy in the development of novel therapies for kidney diseases, particularly those derived from natural medicinal resources. This review presents a comprehensive analysis of renoprotective effects and underlying mechanisms of the medicinal plant Scutellaria baicalensis Georgi based on evidence retrieved from multiple databases, including Web of Science, PubMed, and CNKI. Flavonoids from S. baicalensis have been demonstrated to have good renoprotective properties by mitigating inflammation and oxidative stress, inhibiting cell apoptosis, reducing renal fibrosis, etc. Baicalein, wogonin, baicalin, and wogonoside are considered as the main bioactive components of the renoprotective effect of S. baicalensis. Further research on candidate molecules derived from S. baicalensis represents a promising strategy for the development of novel therapeutic agents targeting kidney diseases. Full article
(This article belongs to the Section Natural and Bio-derived Molecules)
Show Figures

Graphical abstract

31 pages, 1574 KB  
Review
Nanoparticle-Based Assays for Antioxidant Capacity Determination
by Jolanta Flieger, Natalia Żuk, Ewelina Grabias-Blicharz, Piotr Puźniak and Wojciech Flieger
Antioxidants 2025, 14(12), 1506; https://doi.org/10.3390/antiox14121506 - 15 Dec 2025
Cited by 1 | Viewed by 1126
Abstract
Thanks to both endogenous and exogenous antioxidants (AOs), the antioxidant defense system ensures redox homeostasis, which is crucial for protecting the body from oxidative stress and maintaining overall health. The food industry also exploits the antioxidant properties to prevent or delay the oxidation [...] Read more.
Thanks to both endogenous and exogenous antioxidants (AOs), the antioxidant defense system ensures redox homeostasis, which is crucial for protecting the body from oxidative stress and maintaining overall health. The food industry also exploits the antioxidant properties to prevent or delay the oxidation of other molecules during processing and storage. There are many classical methods for assessing antioxidant capacity/activity, which are based on mechanisms such as hydrogen atom transfer (HAT), single electron transfer (SET), electron transfer with proton conjugation (HAT/SET mixed mode assays) or the chelation of selected transition metal ions (e.g., Fe2+ or Cu1+). The antioxidant capacity (AOxC) index value can be expressed in terms of standard AOs (e.g., Trolox or ascorbic acid) equivalents, enabling different products to be compared. However, there is currently no standardized method for measuring AOxC. Nanoparticle sensors offer a new approach to assessing antioxidant status and can be used to analyze environmental samples, plant extracts, foodstuffs, dietary supplements and clinical samples. This review summarizes the available information on nanoparticle sensors as tools for assessing antioxidant status. Particular attention has been paid to nanoparticles (with a size of less than 100 nm), including silver (AgNPs), gold (AuNPs), cerium oxide (CeONPs) and other metal oxide nanoparticles, as well as nanozymes. Nanozymes belong to an advanced class of nanomaterials that mimic natural enzymes due to their catalytic properties and constitute a novel signal transduction strategy in colorimetric and absorption sensors based on the localized surface plasmon resonance (LSPR) band. Other potential AOxC sensors include quantum dots (QDs, <10 nm), which are particularly useful for the sensitive detection of specific antioxidants (e.g., GSH, AA and baicalein) and can achieve very good limits of detection (LOD). QDs and metallic nanoparticles (MNPs) operate on different principles to evaluate AOxC. MNPs rely on optical changes resulting from LSPR, which are monitored as changes in color or absorbance during synthesis, growth or aggregation. QDs, on the other hand, primarily utilize changes in fluorescence. This review aims to demonstrate that, thanks to its simplicity, speed, small sample volumes and relatively inexpensive instrumentation, nanoparticle-based AOxC assessment is a useful alternative to classical approaches and can be tailored to the desired aim and analytes. Full article
Show Figures

Figure 1

22 pages, 5292 KB  
Article
Effects of Eucalyptus Biochar on Intestinal Health and Function in Largemouth Bass (Micropterus salmoides)
by Bing Fu, Yan Chen, Xiang Li, Huiyun Zhou, Junru Hu, Jinghong Li, Wen Huang, Hongxia Zhao, Bing Chen and Jiun-Yan Loh
Biology 2025, 14(12), 1754; https://doi.org/10.3390/biology14121754 - 7 Dec 2025
Viewed by 806
Abstract
Intestinal health is critical for nutrient absorption and disease resistance in cultured fish. Yet, the effects of dietary Eucalyptus-derived biochar on the gut of largemouth bass (Micropterus salmoides) remain largely unexplored. This study evaluated whether supplementing diets with Eucalyptus biochar c [...] Read more.
Intestinal health is critical for nutrient absorption and disease resistance in cultured fish. Yet, the effects of dietary Eucalyptus-derived biochar on the gut of largemouth bass (Micropterus salmoides) remain largely unexplored. This study evaluated whether supplementing diets with Eucalyptus biochar c profiles. In a 56-day feeding trial, M. salmoides were offered a standard diet containing either 0% (control) or graded levels of biochar. Juvenile fish (initial body weight 13.34 g) were randomly distributed into six groups with three replicates each (30 fish per replicate). Six extruded diets were formulated with 0, 2.5, 5.0, 10.0, 20.0, or 40.0 g kg−1 of biochar, designated G0 through G5. Biochar had no significant effects on villus length, muscle layer thickness, villus width, or the activities of trypsin, amylase, and lipase, though goblet cell number was significantly higher in G5. mRNA expression of Claudin-3 and IL-10 was significantly upregulated in G1–G4, while IL-1β was significantly downregulated in G4 and G5, and TNF-α expression was reduced in G2 and G3. 16S rDNA sequencing showed increasing trends in the relative abundance of Firmicutes (43% to 49.17%) and Lactococcus (0% to 1.10%) in G3, accompanied by decreases in Proteobacteria and Klebsiella. Metabolomic analysis indicated significant upregulation of taurochenodeoxycholic acid-7-sulfate, apigenin, genistein, baicalein, taurocholic acid-3-sulfate, taurochenodeoxycholic acid-3-sulfate, and arginylmethionine in G3, whereas etoxazole and soyasaponin were significantly reduced. Dietary inclusion of 10 g kg−1 Eucalyptus biochar improved intestinal health in largemouth bass by shaping the gut microbiota, promoting isoflavone biosynthesis and bile acid and amino acid metabolism, inhibiting the NF-κB pathway, and reinforcing the intestinal barrier. Full article
(This article belongs to the Section Biochemistry and Molecular Biology)
Show Figures

Graphical abstract

14 pages, 3983 KB  
Article
Therapeutic Potential of Baicalein in Endometrial Cancer: Suppression of mTOR Signaling and Synergy with Metformin
by Alison L. Dumitriu, Wei Wen, Jin Yan, Quanhua Xing, Finn E. Ro, Ernest S. Han and John H. Yim
Int. J. Mol. Sci. 2025, 26(22), 11061; https://doi.org/10.3390/ijms262211061 - 15 Nov 2025
Cited by 1 | Viewed by 802
Abstract
Baicalein, a natural flavonoid derived from traditional medicinal herbs, has demonstrated anticancer activity in various malignancies, but its role in endometrial cancer remains largely unexplored. In this study, we investigated the therapeutic potential of baicalein, alone and in combination with metformin, in human [...] Read more.
Baicalein, a natural flavonoid derived from traditional medicinal herbs, has demonstrated anticancer activity in various malignancies, but its role in endometrial cancer remains largely unexplored. In this study, we investigated the therapeutic potential of baicalein, alone and in combination with metformin, in human endometrial cancer cells. Given that the mTOR signaling pathway is frequently dysregulated in endometrial cancer due to PTEN loss, we examined how baicalein affects this pathway. Our results demonstrated that baicalein significantly inhibited cell proliferation in a dose-dependent manner, which was associated with increased DDIT4 expression, activation of AMPK, and decreased phosphorylation of mTOR downstream targets S6K1 and S6. In vivo, baicalein treatment led to a reduction in tumor volume in HEC-1A xenograft female nude mice without affecting body weight. While metformin also reduced cell viability, baicalein achieved comparable effects at lower concentrations. The combination of baicalein and metformin produced a synergistic anti-tumor effect and more effectively inhibited the AMPK/PI3K/mTOR signaling pathway than either agent alone. These findings suggest that baicalein may represent a promising, non-toxic therapeutic option for endometrial cancer, particularly when used in combination with metformin. Further investigation is warranted to assess the clinical relevance of this strategy. Full article
Show Figures

Figure 1

21 pages, 4404 KB  
Article
Exploring the Antidiabetic Properties of Polyalthia longifolia Leaf and Stem Extracts: In Vitro α-Glucosidase and Glycation Inhibition
by Guglielmina Froldi, Marguerite Kamdem Simo, Laura Tomasi, Giulia Tadiotto, Francine Medjiofack Djeujo, Xavier Gabriel Fopokam, Emmanuel Souana, Modeste Lambert Sameza, Pierre Michel Jazet and Fabrice Fekam Boyom
Molecules 2025, 30(21), 4264; https://doi.org/10.3390/molecules30214264 - 31 Oct 2025
Viewed by 927
Abstract
Polyalthia longifolia, a member of the Annonaceae family, is traditionally used for its medicinal properties, including as an antidiabetic remedy, primarily in Asia and sub-Saharan Africa. This study investigated the potential of six P. longifolia extracts in counteracting hyperglycemia and diabetes-related complications. [...] Read more.
Polyalthia longifolia, a member of the Annonaceae family, is traditionally used for its medicinal properties, including as an antidiabetic remedy, primarily in Asia and sub-Saharan Africa. This study investigated the potential of six P. longifolia extracts in counteracting hyperglycemia and diabetes-related complications. Aqueous, ethanol, and methanol extracts from leaves and stems were evaluated for their antihyperglycemic, antiglycation, and antiradical properties using α-glucosidase, BSA, and ORAC assays, respectively. Phytochemical characterization was conducted using TPC and TFC assays, and HPLC analysis identified specific bioactive compounds, including various phenolic compounds (gallic acid, (+)-catechin, epicatechin, caffeic acid, ellagic acid and rosmarinic acid) and flavonoids (luteolin, kaempferol and baicalein). The MTT assay on the human cell line HT-29 assessed the activity of extracts on cell viability, showing slight cytotoxicity. Results demonstrated significant antidiabetic activity of the ethanol and methanol extracts from P. longifolia leaves. This study provides new insights into the potential use of P. longifolia in diabetes mellitus and supports the valorization of traditional medicinal plants. Full article
(This article belongs to the Special Issue Bioactivity of Natural Compounds: From Plants to Humans, 2nd Edition)
Show Figures

Graphical abstract

26 pages, 2690 KB  
Review
A Systematic Review of Evidence-Based Health Benefits of Oroxylum indicum and Its Functional Food Potential
by Hai Linh Nguyen, Amporn Sae-Eaw, Dinh Quyen Tran, Witoon Prinyawiwatkul and Yaowared Chulikhit
Foods 2025, 14(20), 3465; https://doi.org/10.3390/foods14203465 - 10 Oct 2025
Viewed by 2973
Abstract
Oroxylum indicum is a traditional food in Asia rich in flavonoids and health-related effects. However, research into the use of O. indicum as a functional food ingredient is overlooked. This review synthesized literature from 2010 to 2025 using the PRISMA framework, bibliometric mapping, [...] Read more.
Oroxylum indicum is a traditional food in Asia rich in flavonoids and health-related effects. However, research into the use of O. indicum as a functional food ingredient is overlooked. This review synthesized literature from 2010 to 2025 using the PRISMA framework, bibliometric mapping, and the Antecedents–Decisions–Outcomes (ADO) model. In total, 185 articles were included, covering in vitro, in vivo, in silico, and limited human investigations. Bibliometric analysis shows a growing global interest, with recent focuses on molecular docking, cancer, and conservation. Phytochemical investigations consistently report key flavonoids, including baicalein, baicalin, oroxylin A, chrysin, oroxin A, and oroxin B. Studies have linked these compounds to different health benefits, including antioxidants, cardiovascular, and neurological protection. Application of the ADO framework organized research into motives, methods, and outcomes, and highlighted scientifically validated ethnomedicinal uses, such as diabetes and liver protection. Meanwhile, gaps, including obesity-related studies, long-term safety, and clinical trials, remain. More importantly, although young fruits are locally consumed as vegetables or beverages, translation into functional foods is limited by bitterness, lack of standardized preparations, and insufficient dose–response data at dietary intakes. This review discusses the bioactive potential of O. indicum and outlines research priorities for its development in functional food. Full article
(This article belongs to the Special Issue Potential Health Benefits of Plant Food-Derived Bioactive Compounds)
Show Figures

Figure 1

24 pages, 9438 KB  
Article
Large-Scale Transcriptome Profiling and Network Pharmacology Analysis Reveal the Multi-Target Inhibitory Mechanism of Modified Guizhi Fuling Decoction in Prostate Cancer Cells
by Guochen Zhang, Lei Xiang, Qingzhou Li, Mingming Wei, Xiankuo Yu, Yan Luo, Jianping Chen, Xilinqiqige Bao, Dong Wang and Shiyi Zhou
Pharmaceuticals 2025, 18(9), 1275; https://doi.org/10.3390/ph18091275 - 27 Aug 2025
Cited by 2 | Viewed by 1601
Abstract
Background: Prostate cancer (PCa) is the primary contributor to male cancer-related mortality and currently lacks effective treatment options. The Modified Guizhi Fuling Decoction (MGFD) is used in clinical practice to treat multiple tumors. This research focused on the mechanisms of action (MOA) in [...] Read more.
Background: Prostate cancer (PCa) is the primary contributor to male cancer-related mortality and currently lacks effective treatment options. The Modified Guizhi Fuling Decoction (MGFD) is used in clinical practice to treat multiple tumors. This research focused on the mechanisms of action (MOA) in MGFD that inhibit PCa. Methods: The impact of MGFD on PCa cells (PC3 and DU145) was examined via Cell Counting Kit-8, wound healing assays, and transwell assays. To determine the MOA, high-throughput sequencing based high-throughput screening (HTS2) was utilized along with network pharmacology. Results: The findings indicated that MGFD suppressed the proliferation, migration, and invasion of PCa cells. We then utilized the HTS2 assay to generate 270 gene expression profiles from PCa cells perturbed by MGFD. Large-scale transcriptional analysis highlighted three pathways closely associated with PCa: the TNF signaling pathway, cellular senescence, and FoxO signaling pathway. Through the combination of network pharmacology and bioinformatics, we discovered four primary targets through which MGFD acts on PCa: AKT serine/threonine kinase 1 (AKT1), Caspase-8 (CASP8), Cyclin-Dependent Kinase 1 (CDK1), and Cyclin D1 (CCND1). Finally, molecular docking demonstrated that the potential bioactive compounds baicalein, quercetin, and 5-[[5-(4-methoxyphenyl)-2-furyl] methylene] barbituric acid strongly bind to CDK1, AKT1, and CASP8, respectively. Conclusions: This research shows that MGFD displays encouraging anticancer effects via various mechanisms. Its multi-target activity profile underscores its promise as a potential therapeutic option for PCa treatment and encourages additional in vivo validation studies. Full article
Show Figures

Graphical abstract

17 pages, 728 KB  
Review
Scutellaria baicalensis and Lonicera japonica: An In-Depth Look at Herbal Interventions Against Oxidative Stress in Non-Ruminant Animals
by Vetriselvi Sampath, Yu Jin Baek and In Ho Kim
Vet. Sci. 2025, 12(9), 816; https://doi.org/10.3390/vetsci12090816 - 26 Aug 2025
Cited by 1 | Viewed by 1653
Abstract
The use of antibiotics as growth promoters (AGPs) has been a common practice in animal production; however, concerns over microbial resistance have led organizations, such as the FAO, EU, and EFSA, to restrict or ban their use. This has prompted a growing interest [...] Read more.
The use of antibiotics as growth promoters (AGPs) has been a common practice in animal production; however, concerns over microbial resistance have led organizations, such as the FAO, EU, and EFSA, to restrict or ban their use. This has prompted a growing interest in natural alternatives, particularly medicinal herbs, for enhancing animal performance and health. Among these, Scutellaria baicalensis (Chinese Skullcap) and Lonicera japonica (Japanese Honeysuckle) have gained attention for their high medicinal value in monogastric animal diets. These plants contain bioactive compounds, such as flavones (baicalin, baicalein, oroxylin A), iridoids (loganin), and saponins (including loniceroside hederagenin), which exhibit a range of biological activities, including antioxidative, anti-inflammatory, antibacterial, antiviral, and anti-stress effects. Notably, these herbal extracts are natural, safe, and unlikely to induce microbial resistance. Recent studies suggest that supplementation with S. baicalensis and L. japonica can improve livestock production performance by mitigating oxidative stress. This review aims to highlight the potential application of these plant-based additives in reducing oxidative damage and enhancing productivity in animal agriculture. Full article
(This article belongs to the Special Issue Nutritional Health of Monogastric Animals)
Show Figures

Figure 1

30 pages, 13403 KB  
Article
Baicalein-Loaded Chitosan Films for Local Treatment of Oral Infections
by Magdalena Paczkowska-Walendowska, Anna Rył, Jakub Kwiatek, Natalia Rosiak, Kamil Szarzyński, Weronika Wawrzyniak, Julia Ziółkowska, Weronika Kuderska, Kaja Kręcka, Anna Marciniak, Tomasz M. Karpiński, Tomasz Plech, Andrzej Miklaszewski, Piotr Owczarz and Judyta Cielecka-Piontek
Polymers 2025, 17(16), 2167; https://doi.org/10.3390/polym17162167 - 8 Aug 2025
Cited by 1 | Viewed by 1682
Abstract
Oral infections and tissue defects remain significant clinical challenges, often requiring localized, sustained, and multifunctional therapeutic solutions. In this study, baicalein-loaded chitosan films were developed and comprehensively characterized as novel biomaterials for oral and maxillofacial applications. Using a 32 factorial design, nine [...] Read more.
Oral infections and tissue defects remain significant clinical challenges, often requiring localized, sustained, and multifunctional therapeutic solutions. In this study, baicalein-loaded chitosan films were developed and comprehensively characterized as novel biomaterials for oral and maxillofacial applications. Using a 32 factorial design, nine film formulations were prepared via solvent casting, varying chitosan molecular weight and composition. Physicochemical and structural analyses (microscopy, SEM, FTIR, and XRPD) confirmed uniform drug distribution and matrix compatibility. Mechanical testing and dissolution studies demonstrated zero-order baicalein release kinetics, with controlled, sustained delivery influenced by chitosan content and molecular weight. The optimal formulation (F5: CS MMW 2%, Gel 2%) combined favorable mechanical integrity, drug release, and potent antioxidant and anti-inflammatory activities. Further evaluation on 3D anatomical models simulating bone and soft tissue defects highlighted excellent membrane adaptability, stability, and ease of handling under conditions mimicking clinical surgery. The films acted as effective barriers in guided tissue regeneration and donor site protection, with improved surgical visibility due to their baicalein-induced coloration. Biocompatibility assays confirmed the safety of the materials, while antibacterial testing demonstrated activity against Streptococcus mutans. These results support the potential of baicalein-loaded chitosan films as multifunctional membranes for regenerative dentistry, periodontal therapy, and peri-implant care. The modular formulation design provides a platform for future integration of additional bioactive agents, paving the way for personalized, advanced wound healing solutions. Full article
(This article belongs to the Section Biobased and Biodegradable Polymers)
Show Figures

Graphical abstract

Back to TopTop