Next Article in Journal
Debenzylation of Benzyl-Protected Methylcellulose
Next Article in Special Issue
Algal Polysaccharides-Based Nanomaterials: General Aspects and Potential Applications in Food and Biomedical Fields
Previous Article in Journal
Ionic Strength of Methylcellulose-Based Films: An Alternative for Modulating Mechanical Performance and Hydrophobicity for Potential Food Packaging Application
Previous Article in Special Issue
Biofunctionalized Nanomaterials: Alternative for Encapsulation Process Enhancement
 
 
Font Type:
Arial Georgia Verdana
Font Size:
Aa Aa Aa
Line Spacing:
Column Width:
Background:
Review

Microalgae Polysaccharides: An Alternative Source for Food Production and Sustainable Agriculture

by
Juliana Botelho Moreira
1,*,
Bruna da Silva Vaz
1,
Bruna Barcelos Cardias
2,3,
Camila Gonzales Cruz
2,
Ana Claudia Araujo de Almeida
1,
Jorge Alberto Vieira Costa
2 and
Michele Greque de Morais
1
1
Laboratory of Microbiology and Biochemistry, College of Chemistry and Food Engineering, Federal University of Rio Grande, P.O. Box 474, Rio Grande 96203-900, RS, Brazil
2
Laboratory of Biochemical Engineering, College of Chemistry and Food Engineering, Federal University of Rio Grande, P.O. Box 474, Rio Grande 96203-900, RS, Brazil
3
Department of Bioprocess Engineering and Biotechnology, Federal University of Paraná, P.O. Box 19011, Curitiba 81531-990, PR, Brazil
*
Author to whom correspondence should be addressed.
Polysaccharides 2022, 3(2), 441-457; https://doi.org/10.3390/polysaccharides3020027
Submission received: 8 May 2022 / Revised: 29 May 2022 / Accepted: 8 June 2022 / Published: 11 June 2022
(This article belongs to the Collection Current Opinion in Polysaccharides)

Abstract

:
Carbohydrates or polysaccharides are the main products derived from photosynthesis and carbon fixation in the Calvin cycle. Compared to other sources, polysaccharides derived from microalgae are safe, biocompatible, biodegradable, stable, and versatile. These polymeric macromolecules present complex biochemical structures according to each microalgal species. In addition, they exhibit emulsifying properties and biological characteristics that include antioxidant, anti-inflammatory, antitumor, and antimicrobial activities. Some microalgal species have a naturally high concentration of carbohydrates. Other species can adapt their metabolism to produce more sugars from changes in temperature and light, carbon source, macro and micronutrient limitations (mainly nitrogen), and saline stress. In addition to growing in adverse conditions, microalgae can use industrial effluents as an alternative source of nutrients. Microalgal polysaccharides are predominantly composed of pentose and hexose monosaccharide subunits with many glycosidic bonds. Microalgae polysaccharides can be structural constituents of the cell wall, energy stores, or protective polysaccharides and cell interaction. The industrial use of microalgae polysaccharides is on the rise. These microorganisms present rheological and biological properties, making them a promising candidate for application in the food industry and agriculture. Thus, microalgae polysaccharides are promising sustainable alternatives for potential applications in several sectors, and the choice of producing microalgal species depends on the required functional activity. In this context, this review article aims to provide an overview of microalgae technology for polysaccharide production, emphasizing its potential in the food, animal feed, and agriculture sector.

Graphical Abstract

1. Introduction

Microalgae and cyanobacteria are photosynthetic microorganisms that convert light energy and carbon dioxide (CO2) to produce biomass and several compounds, including polysaccharides [1,2]. These microorganisms assimilate solid waste from thermoelectric plants [3,4], industrial wastewater [5], and other gaseous effluents, such as sulfur oxides, nitrogen oxides, and hydrocarbons, and use them as alternative sources of nutrients for their growth [6,7]. Porphyridium sp., Chlorella sp., Spirulina sp., and Nostoc sp. are strains frequently studied to produce polysaccharides [7].
Polysaccharides synthesis is related to microalgae and cyanobacteria’ ability to grow under adverse conditions [8,9]. Environmental and nutritional factors, which are inherent to microalgae technology, interfere with the production of polysaccharides [10]. Salinity, nutrient limitation, temperature, growth phase, and presence of ions such as Mg, K, and Ca impact the production of these compounds [7]. Thus, optimizing process conditions and infrastructure for microalgae cultivation contributes to increased cell growth rate, biomass production, and polysaccharide yield [9].
Microalgae polysaccharides are predominantly constituted by galactose, xylose, and glucose. Other sugars may also be present, and residues of glucuronic and galacturonic acids [7]. The composition of polysaccharides depends on several factors, such as species, strains, and growth conditions [11]. In addition, acidic compounds and sulfate and carboxyl groups contribute to the anionic nature and consequently to the diverse biological activities of polysaccharides [7,11]. Among the microalgal polysaccharides, exopolysaccharides (EPS) have gained prominence, mainly due to their bioactive properties. The antioxidant, anti-inflammatory, antitumor, and antimicrobial characteristics contribute to using these compounds in several areas [9].
Some reviews report an overview of microalgal polysaccharides, highlighting their production, structure, and biological properties that direct application in different sectors [7,9,12,13,14]. Morais et al. [11] discussed aspects of obtaining EPS from microalgae in a biorefinery structure to improve the production viability of these biocompounds. Chanda et al. [15] presented a review of microalgae polysaccharides as plant biostimulants, and Moreira et al. [16] reported microalgae EPS in flocculation [16]. This study stands out in addressing the production of microalgae polysaccharides for the agri-food field. Thus, this review article aims to provide an overview of microalgae technology for polysaccharide production, emphasizing its potential in the food, animal feed, and agriculture sector.

2. Microalgae Polysaccharides

Microalgae, through photosynthesis, convert CO2 or other inorganic (bicarbonate) or organic carbon sources (industrial and domestic wastewater) into carbohydrates, lipids, and proteins, among other bioactive metabolites [5,12]. Carbohydrates can constitute 15–75% of dry biomass [13]. Some species can produce high amounts of polysaccharides, while others need to be exposed to cellular stress conditions to synthesize these compounds [12]. However, stimulating carbohydrate synthesis can reduce biomass production [17].
Polysaccharides are polymeric carbohydrate macromolecules with complex structures that vary (structurally and biochemically) in each species of microorganism. Xylose, galactose, glucose, rhamnose, and mannose are constituent monomers in polysaccharides synthesized by microalgae [12,15,18]. In microalgae, polysaccharides are mainly found as structural polymers (forming part of the cell wall) or energy storage polymers for various metabolic processes [12,17], in addition to EPS (with protection and cellular interaction) [11,19].
Carbohydrate synthesis occurs in the chloroplast for eukaryotes and in the cytoplasm for prokaryotes during the Calvin cycle (Figure 1), in the dark phase. The Calvin cycle has three basic phases for carbohydrate production: fixation, reduction, and regeneration. Firstly, CO2 is added to a five-carbon sugar (ribulose-1,5-bisphosphate), a reaction catalyzed by ribulose-1,5-bisphosphate carboxylase oxygenase (RuBisCo), forming two three-carbon molecules (phosphoglycerate). Phosphoglycerate is converted to two molecules of glyceraldehyde-3-phosphate. One of the molecules continues in the Calvin cycle, while the other is used as a substrate to form carbohydrates (sucrose). The portion of glyceraldehyde-3-phosphate not immediately used as an energy source is converted to starch in the chloroplast. The biosynthesis and sulfation of polysaccharides in eukaryotic cells occur in the Golgi complex, whose main role is the synthesis of EPS [20,21,22].
The main advantages of using polysaccharides or any other microalgal source biomolecule are: production takes place throughout the year, biomass harvest does not depend on climatic conditions or seasons, growth is fast, and cultivation is relatively simple compared to higher plants [20,22]. Microalgae can be cultivated with solar energy, wastewater, and effluent gases as a source of nutrients and do not require arable land [7]. Besides, microalgae-based carbohydrates are easily saccharified and require less treatment than other sources, being highly competitive for many applications [23]. Microalgae polysaccharides have advantages over other polysaccharides sources (terrestrial plants, crustaceans, squid pens, or fungal cell walls), such as safety, stability, biocompatibility, and biodegradability [13,14]. These characteristics contribute to promote quality of life for humans in different products [22,23,24].
The functional activity of polysaccharides depends on their monosaccharides, molecular weight, and degree of sulfation [15]. Thus, the choice of microalgae species to be cultivated depends on the final application of the biomolecule. Moreover, the cultivation conditions can be adapted according to production needs.

2.1. Producing Species and Types of Polysaccharides

Polysaccharides contain 20–25 monosaccharide residues or a high degree of polymerization. Most exopolysaccharides are heteropolymers constituted of different proportions of glucose, xylose, and galactose. Sulfated polysaccharides can bind to specific proteins in the tissues, exhibiting anticoagulant properties [12]. Sulfate polysaccharides especially exhibit immunomodulatory, antitumor, antithrombotic, anticoagulant, anti-mutagenic, anti-inflammatory, antimicrobial, and antiviral activities, including anti-HIV infection, herpes, and hepatitis viruses. Generally, the biological activity of sulfate polysaccharides is related to their different composition and mainly to the extent of the sulfation of their molecules [25]. As for structural carbohydrates, cyanobacteria mainly synthesize glycogen (glucan with α-1,4 bonds). Green algae synthesize amylopectin-type polysaccharides (starch), and red algae synthesize floridean starch (a hybrid of starch and glycogen) [12,26].
Some genera of eukaryotic microalgae and cyanobacteria widely used in the production and extraction of polysaccharides are Tetraselmis sp., Isochrysis sp., Porphyridium, Chlorella sp. [27], Spirulina platensis, Chlamydomonas reinhardtii, Scenedesmus sp. [24], Nostoc sp., Anabaena sp., Botryococcus braunii, Dunaliella salina [7], Chlorella vulgaris, and Haematococcus pluvialis [16]. Species, strain, culture’ age, physiology, and cultivation conditions influence monosaccharide composition and polysaccharide structure [7,12].
The composition of polysaccharides differs in structure and size by microalgae phylum (Table 1). Glucose is the most abundant sugar, while fructose, in general, is found only in EPS from cyanobacteria [7]. EPS from Charophyta are mainly constituted of fucose and uronic acids. EPS from Rhodophyta are predominantly composed of xylose followed by galactose. In Chlorophyta, galactose is a majority component of EPS. In cyanobacteria, the presence of galactose is remarkable, followed by xylose [28]. Deamici et al. [29] identified eight monosaccharides in Spirulina sp. LEB 18: glucose, galactose, xylose, glucuronic acid, fucose, rhamnose, galacturonic acid, and arabinose. The first three represented more than 55% of the composition. Rhabdoderma rubrum and Synechocystis have glucosamine and galactosamine as principal components of the polysaccharide profile [28]. On the other hand, the polysaccharides that make up the cell wall can range from 82.9% to 49% glucose in Diacronema lutheri and Arthrospira platensis, respectively, to 46.4% mannose in Phaeodactylum tricornutum [18].
The direct incorporation of microalgal biomass into products is more sustainable and economical, as it reduces waste generation and eliminates purification steps. The use of compound extracts or pure compounds creates high-quality products and increases the bioavailability of the molecule of interest. Species such as Chlorella vulgaris, Arthrospira platensis, Euglena gracilis, Chlamydomonas reinhardtii, Auxenochlorella protothecoides, and Dunaliella bardawil are listed by the Food and Drug Administration (FDA) as Generally Recognized as Safe (GRAS) for human consumption [33]. Thus, selecting strains with nutritional and toxicological relevance is essential to developing safe microalgae-based products. Furthermore, the application of biotechnology for species modification must also consider health regulations [33]. In this way, a two-stage process (1—ideal cultivation conditions for growth and 2—adverse conditions for biomolecule production) can be used as a biotechnology strategy to increase microalgae polysaccharides yield and not lose the quality of the culture [24].

2.2. Cultivation Conditions to Increase the Concentration of Polysaccharides

The parameters of the microalgae cultivation process can influence the polysaccharide content in the cell [34] (Table 2). Nutrient limitation is usually performed to accumulate these macromolecules in microalgae cultures. However, a decrease in the growth rate of the microorganism is evidenced. In this sense, two-stage cultivation is an alternative to maintaining a high production of biomass and polysaccharides yield. In the first stage, microalgae cultivation is performed with a complete supply of nutrients to favor biomass production. In the second stage, specific nutrient deprivation is applied to improve the polysaccharides production [35].
Nitrogen is an essential nutrient for synthesizing vital compounds such as proteins, amino acids, enzymes, coenzymes, and other compounds [46]. Nitrogen deprivation primarily influences the efficiency of photosynthetic systems and directs microalgae metabolism toward the accumulation of reserve compounds (carbohydrates and lipids) [47]. Nagappan and Kumar [48] applied effluents with reduced nitrogen concentration in microalgae Dunaliella tertiolecta, Dunaliella salina, Chlorella minutissima, and Desmodesmus sp. MCC34 cultures. Compared to nutrient-sufficient conditions, microalgae cultivated with nitrogen deficiency increased carbohydrate production by 1.5 times. Desmodesmus sp. showed the highest increase in carbohydrate content (18.3%) compared to the other microalgae.
Phosphorus is another essential element for synthesizing important compounds for cellular metabolisms such as DNA and ATP. Sulfur is necessary for the main cellular processes in microalgae growth [49]. As with nitrogen, limiting phosphorus and sulfur diverts protein synthesis and directs the accumulation of carbohydrates and lipids [50].
Stress conditions caused by a gradual increase in salinity, different light intensities, and temperature also influence the carbohydrate content in microalgae cells [51]. The salinity affects the synthesis of polysaccharides due to the need to maintain an osmotic balance between the intracellular and extracellular environments [52,53]. Light intensity influences the growth rate and biomass composition of the microorganism. Thus, this parameter contributes to the accumulation of carbohydrates, as it stimulates the precursors of starch synthesis (dihydroxyacetone and sucrose). Long lighting periods are crucial for carbohydrate accumulation and content [54]. Besides, the spectral composition of light can affect photosynthetic activity and polysaccharide production by microorganisms [34].
Temperature can influence the production of polysaccharides in combination with light energy, as it affects the absorption of nutrients, the structure of cell membranes, and the evolution of oxygen from the PSII complex [55]. The optimal temperature for the production of polysaccharides depends on the strain of microalgae studied. Zhao, Han, and Cao [56] analyzed the effect of temperature on the production of polysaccharides from Phaeodactylum tricornutum, Chlorella vulgaris, and Nannochloropsis sp., with a light intensity of 150 μmol photons m−2 s−1. The polysaccharide content was determined by using gas chromatography. The microalgae Chlorella vulgaris showed higher production of the macromolecule at a temperature of 25 °C (relative area of the absorption peak of 28.32). The polysaccharide contents of Phaeodactylum tricornutum and Nannochloropsis sp. were lower than Chlorella (peak area of 6.02 and 1.31) at temperatures of 20 °C and 25 °C, respectively. In this way, the temperature influences the production of polysaccharides, showing a relationship with the species of the producing microorganism.
The carbon metabolic mode (photoautotrophic, heterotrophic, photoheterotrophic, or mixotrophic) must also be considered in polysaccharides production by microalgae. Heterotrophic and mixotrophic cultures increase the microbial growth rate, promoting a higher accumulation of carbohydrates [34]. Zhang et al. [57] evaluated the production of EPS by the microalgae Chlorella zofingiensis and Chlorella vulgaris grown under mixotrophic conditions in BG-11 medium supplemented with glucose. Chlorella zofingiensis and Chlorella vulgaris reached maximum EPS production of 208.4 and 364.3 mg L−1, respectively.

3. Applications of Microalgae Polysaccharides

Microalgae are promising alternatives for obtaining polysaccharides while contributing to the mitigation of environmental pollution generated by industrial waste [7]. Microalgae are commonly known for growing faster than any terrestrial plant, not needing fertile land for their cultivation, and thus not competing with food production. Its efficiency for carbon fixation is 10 to 50 times that of any plant. Microalgae contribute to reducing greenhouse gases by capturing carbon dioxide from industrial processes. They can grow in freshwater, seawater, brackish, and wastewater [13]. Microalgae polysaccharides have rheological and biological properties for applications in food and sustainable agriculture fields (Figure 2, Table 3).

3.1. Food Sector

Since 1950, microalgae have been consumed as a supplement and food source. Due to their rich biochemical compositions, microalgae are considered a source of sustainable food with nutritional value and functional quality. The most commonly used microalgal strains for consumption include Chlorella, Spirulina, Dunaliella, Haematococcus, and Schizochytrium. These microorganisms are GRAS (Generally Recognized as Safe) certified by the FDA [71].
The use of microalgae as a source of polysaccharides for applications in functional foods, nutraceuticals, and supplements should be further explored due to the abundant nutrients, bioactive compounds, and dietary fiber [25]. Microalgae polysaccharides have biological properties that vary depending on their structural characteristics. For example, β-glucan, which has glucose as structural components with β-1,3- or β-1,4-linear linkages connected by β-1,6 linkages, shows the activity as dietary fiber, whereas the β-1,4 form has no immunomodulatory effects [72]. Recent studies on applying polysaccharides and their microalgae derivatives as dietary fibers have attracted attention as a new prebiotic source for functional foods [58,73]. Furthermore, due to the high viscosity of microalgal polysaccharides over a wide range of pH, temperature, and salinity, microalgae have the potential for applications in the food industry as thickeners and food additives [74] (Table 2).
Polysaccharides from Spirulina platensis are widely used as a food additive or coloring in various foods, such as ice cream, chewing gum, candy, popsicle, dairy products, soft drinks, or jellies [75]. In addition to these applications, microalgae have been reported as food ingredients for weight management due to their non-digestible polysaccharides that can act as natural anti-obesity agents [76,77]. Guo et al. [78] evaluated the anti-obesity effects of polysaccharides isolated from Chlorella pyrenoidosa and Spirulina platensis in obese C57BL/6 mice induced by high-fat diets (HFD). β-glucan was a positive control. Polysaccharides were administered daily for 10 weeks, with HFD feeding, via the intragastric route. Polysaccharides controlled excess weight, protecting against energy imbalance, glucose tolerance, systemic inflammation and dyslipidemia. In addition, there was a decrease in lipogenesis in the liver and a restoration of beneficial intestinal bacteria [78].
Polysaccharides are one of the most common biopolymers used in the formulation of packaging films. Microalgae polysaccharides are also promising for food packaging development because they are biodegradable and sustainable. In addition to its emulsifying capacity and antifungal property, Morales-Jiménez et al. [79] observed the potential of polysaccharides from three microalgal strains (Nostoc sp., Synechocystis sp., and Porphyridium purpureum) for the formation of biofilms (transparent, flexible, rough with pores and fissures). This study demonstrates that microalgae polysaccharides have the potential for developing food and food packaging that guarantee the conservation and quality of products.
Moreover, polysaccharide-based packaging has efficient mechanical and gas barrier properties [80]. Some studies have reported that cellulose of microalgal origin can be used to reinforce packaging materials in the development of bioplastics. However, natural cellulose fibers are not thermally stable, present incompatibility with some polymers, and absorb moisture. These aspects can be resolved from other forms of cellulose, for example, cellulose nanofibrils [81,82] (Table 2).

3.2. Animal Feed

Structural polysaccharides such as cellulose and hemicellulose (xylans, glucans, mannans, galactans, and their sulfated derivatives) constitute the cell wall of eukaryotic microalgae. These components provide rigidity and the formation of a barrier against environmental interference [30]. The thick cell wall of microalgae with polysaccharides or cellulose can make digestion of microalgae biomass difficult for some animals [83]. Thus, animal feed producers often use enzymes to process the biomass so that nutrients are available for absorption [84]. This statement does not reflect the cyanobacterium Spirulina, because its cell wall does not contain these polysaccharides [85].
However, microalgae polysaccharides have advantages in terms of animal feed. Due to increasing regulatory requirements and consumer preference for antibiotic-free meat, producers are looking for alternatives to maintain animal performance and maximize profitability. Some microalgae polysaccharides, such as β-glucan, have antibacterial properties and can be used as antibiotic substitutes in chicken feed. Broiler chickens fed dry biomass of Euglena gracilis (55% β-glucans content) showed improved protection against coccidiosis [31].
Feeding with glucans, peptidoglycans, lipopolysaccharides, fucoidan, chitin, or crude microalgae biomass can improve the immune system in aquatic species. Cell-wall polysaccharides enhance cytokine, phagocytosis, and proliferation of immune cells in aquatic species [86]. Chlorella sp., for example, is a source of β-glucan polysaccharide [32] that present antibacterial and immunostimulant activities for fish [87].
Replacement of fishmeal with Chlorella vulgaris biomass (6–8%) provided a better immune response of Macrobrachium rosenbergii postlarvae and a high survival rate against Aeromonas hydrophila infection [88]. The oral administration of the biomass of Tetraselmis chuii, Nannochloropsis gaditana, and Phaeodactylum tricornutum increased the defense activity of the fish Sparus aurata L. [89]. The biomass of Dunaliella salina increased the survival rate of Penaeus monodon shrimp infected with white spot syndrome. An increase in antioxidant factors (superoxide dismutase and catalase) was observed in shrimp [90]. Feed containing biomass of the Parietochloris incisa increased the survival rate of Poecilia reticulata (Guppy fish) by increasing their lysozyme levels [91]. Leukocyte count, blood count, hemoglobin, albumin, and total protein levels increased when 10% of Arthrospira platensis was fed to rainbow trout (Oncorhynchus mykiss) [92].
All the studies cited show the advantages of using microalgae biomass in animal feed. These advantages were related to polysaccharides composition and their biological properties, such as antioxidant, antibacterial, and antiviral properties [7].

3.3. Sustainable Agriculture

Agrochemicals such as pesticides and fertilizers contain toxic elements and contaminants for food, soil, and water. This contamination can cause several environmental consequences on global biodiversity. The agricultural systems that aim to replace synthetic substances such as chemical fertilizers avoid environmental damage and contribute to sustainable agriculture. In this scenario, agrochemicals of biological origin stand out, such as biofertilizers, biostimulants, and biopesticides [93,94].
Microalgae play a variety of roles in agriculture. One of the most explored activities of microalgae in agriculture is its ability to improve plant and soil properties, reducing the environmental impact generated by chemical fertilizers [95,96]. Microalgae polysaccharides are potential biostimulants of plants for protection against biotic and abiotic stress [63]. The enrichment of soil and plants through microalgae is related to the release of bioactive substances (vitamins, amino acids, polypeptides, antibacterial or antifungal substances, phytohormones, and polysaccharides) [95,96]. The release of polysaccharide material collaborates to increase the germination rate and biomass accumulation in vascular plants. EPS from cyanobacteria and microalgae can retain water and maintain soil moisture [66]. Studies have demonstrated the potential of these molecules to stimulate different metabolic pathways in plants, helping their growth and development (Table 2).
Crude extract of polysaccharides from three microalgae was applied to plant Solanum lycopersicum by irrigation. Using 1 mg mL−1 of polysaccharides from Arthrospira platensis, Dunaliella salina, and Porphorydium sp. in tomato plants significantly improved the nodes number, shoot dry weight, and shoot length by 75%, 46.6%, and 25.26% compared to the control, respectively. Furthermore, the treatment with crude polysaccharides increased the concentrations of carotenoids, chlorophyll, and proteins [63]. Guzmán-Murillo et al. [97] found that EPS extracted from Phaeodactylum tricornutum and Dunaliella salina stimulated pepper germination under saline stress conditions. Furthermore, EPS from Dunaliella salina showed the potential to stimulate germination, growth, and tolerance of tomato and wheat plants under saline stress.
Some polysaccharides may have antifungal activity, acting as a biopesticide in vegetable crops [98]. Microalgal polysaccharides, such as alginate, have been shown to induce plant resistance by increasing the activity of several defense-related enzymes. Sodium alginate can be applied to improve seed germination, shoot elongation, root growth, and resistance against plant pathogens. In in vitro experiments, polysaccharide extracts from Anabaena sp. and Ecklonia sp. inhibited the growth of colonies of the fungus Botrytis cinerea. Polysaccharides from Anabaena sp., Ecklonia sp., and Jania sp. reduced the area infected by the fungus in strawberry fruits, suggesting that they can be good crop protection products when used in pre-harvest treatment [63].
The studies presented demonstrate the high potentiality of microalgae polysaccharides in agriculture. Polysaccharides help plant growth and protect plant crops against contaminants. Therefore, these compounds have a high potential to be applied to replace chemical fertilizers and pesticides, collaborating with alternatives for sustainable agriculture.

4. Future Work and Opportunities

Microalgae polysaccharides have applications in several areas, including human and animal nutrition and agriculture. These macromolecules have been studied and characterized for several decades. However, compared to other microorganisms such as bacteria, algae, and macroalgae, its commercial application is limited due to the lower biomass production [35]. Studies involving different strategies to increase the production of polysaccharides by microalgae have been carried out [39,99]. However, the production process faces challenges that prevent the EPS production from being viable for commercial application. The main limitations of these microorganisms are the high operational costs of production related to the culture medium, CO2 addition, electrical energy consumption, and stages of biomass recovery. Another difficulty is increasing the process from laboratory to industrial scale [9,35]. According to Delattre et al. [35], in 2013, the production cost of microalgae polysaccharides was around 1000 and 3000 euros per kg of product. New alternatives can reduce the nutritional costs of the culture medium, such as using effluents as a source of nutrients in microalgae cultivation [100,101].
In this sense, strategies that aim to increase the biomass yield of microalgae cultures can balance the costs related to the recovery stage. The microalgal biorefinery enables the application of microalgae macromolecules in various sectors of the economy (food and biofuel production, environmental area). In this way, microalgae cultivation for the production of polysaccharides can become more viable for commercial application. Besides, it is interesting to investigate microalgae strains that present higher yields of polysaccharides. The nature of the produced macromolecules also must be known. Using nanotechnological processes to develop polysaccharide-based products can also leverage the food, health, and beauty markets [11].
Given the above, further research on microalgae cultivation should be carried out to improve the production of polysaccharides and make the process more economically viable. Thus, new approaches are crucial for the development of this process, such as the optimization of cultivation conditions/design of photobioreactors and the replacement of culture media with domestic or industrial effluents [9].

5. Conclusions

Microalgae are innovative and alternative sources for obtaining sustainable and functional polysaccharides. These microorganisms present photosynthetic nature and the ability to use industrial waste as nutrients. The properties responsible for the physiological effects and/or biological functions of microalgal polysaccharides result from the diversity of structures and biochemical compositions of these molecules. Potential bioactive properties of microalgal polysaccharides include antioxidant, anti-inflammatory, antitumor, and antimicrobial action, among others, which provide their application in several areas. The potential applications of microalgae-based polysaccharides in the food, packages, and agriculture sector are remarkable. However, new strategies and production conditions must be developed to increase cell growth rate, biomass production, and yield of polysaccharides. Moreover, biotechnological steps to produce these compounds should be optimized for large-scale production, expanding market competition. Thus, using microalgae as a source of functional and sustainable polysaccharides in the food and agriculture sector can promote health, quality of life, and global food security, mitigating environmental problems caused by the expansion of agricultural production.

Author Contributions

Conceptualization, J.B.M., B.S.V., B.B.C., C.G.C. and A.C.A.A.; writing—original draft preparation, J.B.M., B.S.V., B.B.C., C.G.C. and A.C.A.A.; writing—review and editing, J.B.M., B.S.V.; B.B.C.; C.G.C. and A.C.A.A.; visualization, J.B.M., B.S.V., B.B.C., C.G.C., A.C.A.A., J.A.V.C. and M.G.M.; supervision, J.B.M., J.A.V.C. and M.G.M.; project administration, J.B.M., J.A.V.C. and M.G.M.; funding acquisition, J.B.M., J.A.V.C. and M.G.M. All authors have read and agreed to the published version of the manuscript.

Funding

This study was financed in part by the Coordenação de Aperfeiçoamento de Pessoal de Nível Superior—Brasil (CAPES)—Finance Code 001. This research was developed within the scope of the CAPES-Print Program (Process # 88887.310848/2018-00).

Institutional Review Board Statement

Not applicable.

Informed Consent Statement

Not applicable.

Data Availability Statement

The data presented in this study are available on request from the corresponding author.

Conflicts of Interest

The authors declare no conflict of interest.

References

  1. Moreira, J.B.; Santos, T.D.; Duarte, J.H.; Bezerra, P.Q.M.; de Morais, M.G.; Costa, J.A.V. Role of microalgae in circular bioeconomy: From waste treatment to biofuel production. Clean Techno.l Environ. Policy 2021, 1–11. [Google Scholar] [CrossRef]
  2. Costa, J.A.V.; Moreira, J.B.; Fanka, L.S.; Kosinski, R.D.C.; de Morais, M.G. Microalgal biotechnology applied in biomedicine. In Handbook of Algal Science, Technology and Medicine; Konur, O., Ed.; Elsevier: Amsterdam, The Netherlands, 2020; pp. 429–439. [Google Scholar]
  3. Braga, V.D.S.; Moreira, J.B.; Costa, J.A.V.; de Morais, M.G. Enhancement of the carbohydrate content in Spirulina by applying CO2, thermoelectric fly ashes and reduced nitrogen supply. Int. J. Biol. Macromol. 2019, 123, 1241–1247. [Google Scholar] [CrossRef] [PubMed]
  4. Braga, V.D.S.; Moreira, J.B.; Costa, J.A.V.; de Morais, M.G. Potential of Chlorella fusca LEB 111 cultivated with thermoelectric fly ashes, carbon dioxide and reduced supply of nitrogen to produce macromolecules. Bioresour. Technol. 2019, 277, 55–61. [Google Scholar] [CrossRef] [PubMed]
  5. Carraro, C.F.F.; Loures, C.C.A.; Castro, J.A. Microalgae biorremediation and CO2 fixation of industrial waster. Clean. Technol. 2022, 8, 100466. [Google Scholar] [CrossRef]
  6. Costa, J.A.V.; Moraes, L.; Moreira, J.B.; Rosa, G.M.; Henrard, A.S.A.; Morais, M.G. Microalgae-based biorefineries as a promising approach to biofuel production. In Prospects and Challenges in Algal Biotechnology; Tripathi, B.N., Kumar, D., Eds.; Springer: Singapore, 2017; pp. 113–140. [Google Scholar]
  7. Costa, J.A.V.; Lucas, B.F.; Alvarenga, A.G.P.; Moreira, J.B.; Morais, M.G. Microalgae Polysaccharides: An Overview of Production, Characterization, and Potential Applications. Polysaccharides 2021, 2, 759–772. [Google Scholar] [CrossRef]
  8. Parwani, L.; Bhatt, M.; Singh, J. Potential biotechnological applications of cyanobacterial exopolysaccharides. Braz. Arch. Biol. Technol. 2021, 64, e21200401. [Google Scholar] [CrossRef]
  9. Colusse, G.A.; Carneiro, J.; Duarte, M.E.R.; De Carvalho, J.C.; Noseda, M.D. Advances in microalgal cell wall polysaccharides: A review focused on structure, production, and biological application. Crit. Rev. Biotechnol. 2021, 41, 1–16. [Google Scholar] [CrossRef]
  10. Rossi, F.; De Philippis, R. Role of cyanobacterial exopolysaccharides in phototrophic biofilms and in complex microbial mats. Life 2015, 5, 1218–1238. [Google Scholar] [CrossRef] [Green Version]
  11. Morais, M.G.; Santos, T.D.; Moraes, L.; Vaz, B.S.; Morais, E.G.; Costa, J.A. Exopolysaccharides from microalgae: Production in a biorefinery framework and potential applications. Bioresour. Technol. Rep. 2022, 18, 101006. [Google Scholar] [CrossRef]
  12. Yi, Z.; Su, Y.; Brynjolfsson, S.; Olafsdóttir, K.; Fu, W. Bioactive polysaccharides and their derivatives from microalgae: Biosynthesis, applications, and challenges. Stud. Nat. Prod. Chem. 2021, 71, 67–85. [Google Scholar]
  13. Patel, A.K.; Vadrale, A.P.; Singhania, R.R.; Michaud, P.; Pandey, A.; Chen, S.J.; Chen, C.W.; Dong, C.D. Algal polysaccharides: Current status and future prospects. Phytochem. Rev. 2022, 48, 451–463. [Google Scholar] [CrossRef]
  14. Kazachenko, A.S.; Akman, F.; Malyar, Y.N.; Issaoui, N.; Vasilieva, N.Y.; Karacharov, A.A. Synthesis optimization, DFT and physicochemical study of chitosan sulfates. J. Mol. Struct. 2021, 1245, 131083. [Google Scholar] [CrossRef]
  15. Chanda, M.; Merghoub, N.; Arroussi, H. Microalgae polysaccharides: The new sustainable bioactive products for the development of plant bio-stimulants? World J. Microbiol. Biotechnol. 2019, 35, 1–10. [Google Scholar] [CrossRef]
  16. Moreira, J.B.; Kuntzler, S.G.; Bezerra, P.Q.M.; Cassuriaga, A.P.A.; Zaparoli, M.; da Silva, J.L.V.; Costa, J.A.V.; da Morais, M.G. Recent Advances of Microalgae Exopolysaccharides for Application as Bioflocculants. Polysaccharides 2022, 3, 264–276. [Google Scholar] [CrossRef]
  17. Markou, G.; Angelidaki, I.; Georgakakis, D. Microalgal carbohydrates: An overview of the factors influencing carbohydrates production, and of main bioconversion technologies for production of biofuels. Appl. Microbiol. Biotechnol. 2012, 96, 631–645. [Google Scholar] [CrossRef] [PubMed]
  18. Bernaerts, T.M.M.; Gheysen, L.; Kyomugasho, C.; Jamsazzadeh Kermani, Z.; Vandionant, S.; Foubert, I.; Hendrickx, M.E.; Loey, A.M. Comparison of microalgal biomasses as functional food ingredients: Focus on the composition of cell wall related polysaccharides. Algal Res. 2018, 32, 150–161. [Google Scholar] [CrossRef]
  19. Prybylski, N.; Toucheteau, C.; El Alaoui, H.; Bridiau, N.; Maugard, T.; Abdelkafi, S.; Fendri, I.; Delattre, C.; Dubessay, P.; Pierre, G.; et al. Bioactive polysaccharides from microalgae. In Handbook of Microalgae-Based Processes and Products: Fundamentals and Advances in Energy, Food, Feed, Fertilizer, and Bioactive Compounds; Academic Press: Cambridge, MA, USA, 2020; pp. 533–571. [Google Scholar]
  20. Silvello, M.A.D.C.; Gonçalves, I.S.; Azambuja, S.P.H.; Costa, S.S.; Silva, P.G.P.; Santos, L.O.; Goldbeck, R. Microalgae-based carbohydrates: A green innovative source of bioenergy. Bioresour. Technol. 2022, 344, 126304. [Google Scholar] [CrossRef]
  21. Keidan, M.; Friedlander, M.; Arad, S. Effect of Brefeldin A on cell-wall polysaccharide production in the red microalga Porphyridium sp. (Rhodophyta) through its effect on the Golgi apparatus. J. Appl. Phycol. 2009, 21, 707–717. [Google Scholar] [CrossRef]
  22. Raposo, M.F.; Morais, R.M.S.C.; Morais, A.M.M.B. Bioactivity and applications of sulphated polysaccharides from marine microalgae. Mar. Drugs 2013, 11, 233–252. [Google Scholar] [CrossRef] [Green Version]
  23. Chen, C.Y.; Zhao, X.Q.; Yen, H.W.; Ho, S.H.; Cheng, C.L.; Lee, D.J.; Bai, F.W.; Chang, J.S. Microalgae-based carbohydrates for biofuel production. Biochem. Eng. J. 2013, 78, 1–10. [Google Scholar] [CrossRef]
  24. Morais, M.G.; Rosa, G.M.; Moraes, L.; Alvarenga, A.G.P.; Silva, J.L.V.; Costa, J.A.V. Microalgae Polysaccharides with Potential Biomedical Application. In Polysaccharides of Microbial Origin; Springer International Publishing: Cham, Switzerland, 2021; pp. 363–380. [Google Scholar]
  25. Mišurcová, L.; Škrovánková, S.; Samek, D.; Ambrožová, J.; Machů, L. Health Benefits of Algal Polysaccharides in Human Nutrition. Adv. Food Nutr. Res. 2012, 66, 75–145. [Google Scholar] [PubMed]
  26. Levasseur, W.; Perré, P.; Pozzobon, V. A review of high value-added molecules production by microalgae in light of the classification. Biotechnol. Adv. 2020, 41, 107545. [Google Scholar] [CrossRef]
  27. Mourelle, M.L.; Gómez, C.P.; Legido, J.L. The potential use of marine microalgae and cyanobacteria in cosmetics and thalassotherapy. Cosmetics 2017, 4, 46. [Google Scholar] [CrossRef] [Green Version]
  28. Gaignard, C.; Laroche, C.; Pierre, G.; Dubessay, P.; Delattre, C.; Gardarin, C.; Gourvil, P.; Probert, I.; Dubuffet, A.; Michaud, P. Screening of marine microalgae: Investigation of new exopolysaccharide producers. Algal Res. 2019, 44, 101711. [Google Scholar] [CrossRef]
  29. Deamici, K.; de Morais, M.; Santos, L.; Muylaert, K.; Gardarin, C.; Costa, J.; Laroche, C. Static Magnetic Fields Effects on Polysaccharides Production by Different Microalgae Strains. Appl. Sci. 2021, 11, 5299. [Google Scholar] [CrossRef]
  30. Popper, Z.A.; Michel, G.; Hervé, C.; Domozych, D.S.; Willats, W.G.; Tuohy, M.G.; Kloareg, B.; Stengel, D.B. Evolution and diversity of plant cell walls: From algae to flowering plants. Annu. Rev. Plant Biol. 2011, 62, 567–590. [Google Scholar] [CrossRef] [Green Version]
  31. Levine, R.; Horst, G.; Tonda, R.; Lumpkins, B.; Mathis, G. Evaluation of the effects of feeding dried algae containing beta-1,3-glucan on broilers challenged with Eimeria. Poult. Sci. 2018, 97, 3494–3500. [Google Scholar] [CrossRef]
  32. Iwamoto, H. Industrial production of microalgal cell-mass and secondary products—Major Industrial Species: Chlorella. Handb. Microalgal Cult. 2004, 255, 253–263. [Google Scholar]
  33. Ravindran, R.; Rajauria, G. Carbohydrates derived from microalgae in the food industry. Cult. Microalgae Food Ind. 2021, 127–146. [Google Scholar] [CrossRef]
  34. Rossi, F.; Philips, R.D. Exocellular Polysaccharides in Microalgae and Cyanobacteria: Chemical Features, Role and Enzymes and Genes Involved in Their Biosynthesis. In The Physiology of Microalgae; Borowtzka, M.A., Beardall, J., Raven, J.A., Eds.; Springer: Cham, Switzerland, 2016; pp. 565–590. [Google Scholar]
  35. Delattre, C.; Pierre, G.; Laroche, C.; Michaud, P. Production, extraction and characterization of microalgal and cyanobacterial exopolysaccharides. Biotechnol. Adv. 2016, 34, 1159–1179. [Google Scholar] [CrossRef]
  36. Koçer, A.T.; Inan, B.; Usul, S.K.; Özçimen, D.; Yılmaz, M.T.; Işıldak, I. Exopolysaccharides from microalgae: Production, characterization, optimization and techno-economic assessment. Braz. J. Microbiol. 2021, 52, 1779–1790. [Google Scholar] [CrossRef] [PubMed]
  37. Li, S.; Ji, L.; Chen, C.; Zhao, S.; Sun, M.; Gao, S.; Gao, Z.; Wu, H.; Fan, J. Efficient accumulation of high-value bioactive substances by carbon to nitrogen ratio regulation in marine microalgae Porphyridium purpureum. Bioresour. Technol. 2022, 309, 123362. [Google Scholar] [CrossRef] [PubMed]
  38. Li, Y.; Wang, C.; Liu, H.; Su, J.; Lan, C.Q.; Zhong, M.; Hu, X. Production, isolation and bioactive estimation of extracellular polysaccharides of green microalga Neochloris oleoabundans. Algal Res. 2020, 48, 101883. [Google Scholar] [CrossRef]
  39. Medina-Cabrera, E.V.; Rühmann, B.; Schmid, J.; Sieber, V. Optimization of growth and EPS production in two Porphyridum strains. Bioresour. Technol. Rep. 2020, 11, 100486. [Google Scholar] [CrossRef]
  40. Cepák, V.; Přibyl, P. Light intensity and nitrogen effectively control exopolysaccharide production by the green microalga Botryococcus Braunii (Trebouxiophyceae). Genet. Plant. Physiol. 2018, 8, 24–37. [Google Scholar]
  41. Gui, J.; Tong, W.; Huang, S.; Liang, X.; Fang, Z.; Wang, W.; Zhang, Y. Effects of Chlorella vulgaris polysaccharides accumulation on growth characteristics of Trachemys scripta elegans. Int. J. Biol. Macromol. 2019, 141, 1304–1313. [Google Scholar] [CrossRef]
  42. Vo, H.N.P.; Ngo, H.H.; Guo, W.; Liu, Y.; Chang, S.W.; Nguyen, D.D.; Zhang, X.; Liang, H.; Xue, S. Selective carbon sources and salinities enhance enzymes and extracellular polymeric substances extrusion of Chlorella sp. for potential co-metabolism. Bioresour. Technol. 2020, 303, 122877. [Google Scholar] [CrossRef]
  43. Chentir, I.; Hamdi, M.; Doumandji, A.; Sadok, A.D.; Ouada, H.B.; Nasri, M.; Jridi, M. Enhancement of extracellular polymeric substances (EPS) production in Spirulina (Arthrospira sp.) by two-step cultivation process and partial characterization of their polysaccharidic moiety. Int. J. Biol. Macromol. 2017, 105, 1412–1420. [Google Scholar] [CrossRef]
  44. Cheirsilp, B.; Mandik, Y.I.; Prasertsan, P. Evaluation of optimal conditions for cultivation of marine Chlorella sp. as potential sources of lipids, exopolymeric substances and pigments. Aquac. Int. 2016, 24, 313–326. [Google Scholar] [CrossRef]
  45. Díaz-Bayona, K.C.; Garcés, L.A. Effect of different media on exopolysaccharide and biomass production by the green microalga Botryococcus braunii. J. Appl. Phycol. 2014, 26, 2087–2095. [Google Scholar] [CrossRef]
  46. Turpin, D.H. Effects of inorganic N availability on algal photosynthesis and carbon metabolism. J. Phycol. 1991, 27, 14–20. [Google Scholar] [CrossRef]
  47. Bellou, S.; Aggelis, G. Biochemical activities in Chlorella sp. and Nannochloropsis salina during lipid and sugar synthesis in a lab scale open pond simulating reactor. J. Biotechnol. 2013, 164, 318–329. [Google Scholar] [CrossRef] [PubMed]
  48. Nagappan, S.; Kumar, G. Investigation of four microalgae in nitrogen deficient synthetic wastewater for biorefinery based biofuel production. Environ. Technol. Innov. 2021, 23, 101572. [Google Scholar] [CrossRef]
  49. Lakatos, G.E.; Ranglová, K.; Manoel, J.C.; Grivalský, T.; Kopecký, J.; Masojídek, J. Bioethanol production from microalgae polysaccharides. Folia Microbiol. 2019, 64, 627–644. [Google Scholar] [CrossRef]
  50. Markou, G.; Chatzipavlidis, I.; Georgakakis, D. Carbohydrates production and bio-flocculation characteristics in cultures of Arthrospira (Spirulina) platensis: Improvements through phosphorus limitation process. BioEnergy Res. 2012, 5, 915–925. [Google Scholar] [CrossRef]
  51. Solís-Salinas, C.E.; Patlán-Juárez, G.; Okoye, P.U.; Guillén-Garcés, A.; Sebastian, P.J.; Arías, D.M. Long-term semi-continuous production of carbohydrate-enriched microalgae biomass cultivated in low-loaded domestic wastewater. Sci. Total Environ. 2021, 798, 149227. [Google Scholar] [CrossRef]
  52. Morais, M.G.; Morais, E.G.; Cardias, B.C.; Vaz, B.S.; Moreira, J.B.; Mitchell, G.; Costa, J.A.V. Microalgae as a source of sustainable biofuels. In Recent Developments In Bioenergy Research; Gupta, V.K., Treichel, H., Rodriguez-Cout, S., Eds.; Elsevier: Amsterdam, The Netherlands, 2020; pp. 253–271. [Google Scholar]
  53. Chen, L.Z.; Li, D.-H.; Song, L.R.; Hu, C.X.; Wang, G.H.; Liu, Y.D. Effects of salt stress on carbohydrate metabolism in desert soil alga Microcoleus vaginatus. Gom. J. Integr. Plant Biol 2006, 48, 914–919. [Google Scholar] [CrossRef]
  54. Champigny, M. Regulation of photosynthetic carbon assimilation at the cellular level: A review. Photosynth. Res. 1985, 6, 273–286. [Google Scholar] [CrossRef]
  55. Vonshak, A. Spirulina Platensis (Arthrospira): Physiology, Cell-Biology and Biotechnology; Taylor and Francis: London, UK, 1997; 233p. [Google Scholar]
  56. Zhao, T.; Han, X.; Cao, H. Effect of Temperature on Biological Macromolecules of Three Microalgae and Application of FT-IR for Evaluating Microalgal Lipid Characterization. ACS Omega 2020, 5, 33262–33268. [Google Scholar] [CrossRef]
  57. Zhang, J.; Liu, L.; Chen, F. Production and characterization of exopolysaccharides from Chlorella zofingiensis and Chlorella vulgaris with anti-colorectal cancer activity. Int. J. Biol. Macromol. 2019, 134, 976–983. [Google Scholar] [CrossRef]
  58. Medeiros, V.P.B.; Souza, E.L.; Albuquerque, T.M.R.; Sassi, C.F.C.; Lima, M.S.; Sivieri, K.; Pimentel, T.C.; Magnani, M. Freshwater microalgae biomasses exert a prebiotic effect on human colonic microbiota. Algal Res. 2021, 60, 102547. [Google Scholar] [CrossRef]
  59. Tiwaria, O.N.; Mondal, A.; Bhunia, B.; Bandyopadhyay, T.K.; Jaladid, P.; Oiname, G.; Indrama, T. Purification, characterization and biotechnological potential of new exopolysaccharide polymers produced by cyanobacterium Anabaena sp. CCC 745. Polymer 2019, 178, 121695. [Google Scholar] [CrossRef]
  60. Arad, S.; Levy-Ontman, O. Red microalgal cell-wall polysaccharides: Biotechnological aspects. Curr. Opin. Biotechnol. 2010, 21, 358–364. [Google Scholar] [CrossRef] [PubMed]
  61. Jindal, N.; Singh, D.P.; Khattar, J.I.S. Optimization, characterization, and flow properties of exopolysaccharides produced by the cyanobacterium Lyngbya stagnina. J. Basic Microbiol. 2013, 53, 902–912. [Google Scholar] [CrossRef]
  62. Lee, H.; Kim, K.; Mun, S.C.; Chang, Y.K.; Choi, S.Q. A new method to produce cellulose nanofibrils from microalgae and the measurement of their mechanical strength. Carbohydr. Polym. 2018, 180, 276–285. [Google Scholar] [CrossRef]
  63. Rachidi, F.; Benhima, R.; Sbabou, L.; El Arroussi, H. Microalgae polysaccharides bio-stimulating effect on tomato plants: Growth and metabolic distribution. Biotechnol. Rep. 2020, 25, e00426. [Google Scholar] [CrossRef]
  64. Chamizo, S.; Adessi, A.; Torzillo, G.; De Philippis, R. Exopolysaccharide features influence growth success in biocrust-forming cyanobacteria, moving from liquid culture to sand microcosms. Front. Microbiol. 2020, 11, 568224. [Google Scholar] [CrossRef]
  65. Park, C.H.; Li, X.R.; Zhao, Y.; Jia, R.L.; Hur, J.S. Rapid development of cyanobacterial crust in the field for combating desertification. PLoS One 2017, 12, e0179903. [Google Scholar] [CrossRef] [Green Version]
  66. Xu, Y.; Rossi, F.; Colica, G.; Deng, S.; Philippis, R.; Chen, L. Use of cyanobacterial polysaccharides to promote shrub performances in desert soils: A potential approach for the restoration of desertified areas. Biol. Fertil. Soils. 2013, 49, 143–152. [Google Scholar] [CrossRef]
  67. Li, T.T.; Huang, Z.R.; Jia, R.B.; Lv, X.C.; Zhao, C.; Liu, B. Spirulina platensis polysaccharides attenuate lipid and carbohydrate metabolism disorder in high-sucrose and high-fat diet-fed rats in association with intestinal microbiota. Food Res. Int. 2021, 147, 110530. [Google Scholar] [CrossRef]
  68. Rajasekar, P.; Palanisamy, S.; Anjali, R.; Vinosha, M.; Elakkiya, M.; Marudhupandi, T.; Tabarsa, M.; You, S.; Prabhu, N.M. Isolation and structural characterization of sulfated polysaccharide from Spirulina platensis and its bioactive potential: In vitro antioxidant, antibacterial activity and Zebrafish growth and reproductive performance. Int. J. Biol. Macromol. 2019, 141, 809–821. [Google Scholar] [CrossRef] [PubMed]
  69. Chen, Y.X.; Liu, X.Y.; Xiao, Z.; Huang, Y.F.; Liu, B. Antioxidant activities of polysaccharides obtained from Chlorella pyrenoidosa via different ethanol concentrations. Int. J. Biol. Macromol. 2016, 91, 505–509. [Google Scholar] [CrossRef] [PubMed]
  70. Zhang, H.Q.; Lin, A.P.; Sun, Y.; Deng, Y.M. Chemo- and radio-protective effects of polysaccharide of Spirulina platensis on hemopoietic system of mice and dogs. Acta Pharmacol. Sin. 2001, 22, 1121–1124. [Google Scholar] [PubMed]
  71. Kusmayadi, A.; Leong, Y.K.; Yen, H.-W.; Huang, C.-Y.; Chang, J.-S. Microalgae as sustainable food and feed sources for animals and humans e Biotechnological and environmental aspects. Chemosphere 2021, 271, 129800. [Google Scholar] [CrossRef]
  72. Villarruel-López, A.; Ascencio, F.; Nuño, K. Microalgae, a Potential Natural Functional Food Source—A Review. Pol. J. Food Nutr. Sci. 2017, 67, 251–263. [Google Scholar] [CrossRef] [Green Version]
  73. Gouda, M.; Tadda, M.A.; Zhao, Y.; Farmanullah, F.; Chu, B.; Li, X.; He, Y. Microalgae Bioactive Carbohydrates as a Novel Sustainable and Eco-Friendly Source of Prebiotics: Emerging Health Functionality and Recent Technologies for Extraction and Detection. Front. Nutr. 2022, 9, 806692. [Google Scholar] [CrossRef]
  74. Venugopal, V. Marine Polysaccharides: Food Applications, 1st ed.; CRC Press: Boca Raton, FL, USA, 2016; 396p. [Google Scholar]
  75. Begum, H.; Yusoff, F.M.; Banerjee, S.; Khatoon, H.; Shariff, M. Availability and utilization of pigments from microalgae. Crit. Rev. Food Sci. Nutr. 2016, 56, 2209–2222. [Google Scholar] [CrossRef]
  76. Heo, M.-G.; Choung, S.-Y. Anti-obesity effects of Spirulina maxima in high fat diet induced obese rats via the activation of AMPK pathway and SIRT1. Food Funct. 2018, 9, 4906–4915. [Google Scholar] [CrossRef]
  77. Gómez-Zorita, S.; Trepiana, J.; González-Arceo, M.; Aguirre, L.; Milton-Laskibar, I.; González, M.; Eseberri, I.; Fernández-Quintela, A.; Portillo, M.P. Anti-obesity effects of microalgae. Int. J. Mol. Sci. 2019, 21, 41. [Google Scholar] [CrossRef] [Green Version]
  78. Guo, W.; Zhu, S.; Li, S.; Feng, Y.; Wu, H.; Zeng, M. Microalgae polysaccharides ameliorates obesity in association with modulation of lipid metabolism and gut microbiota in high-fat-diet fed C57BL/6 mice. Int. J. Biol. Macromol. 2021, 182, 1371–1383. [Google Scholar] [CrossRef]
  79. Morales-Jiménez, M.; Gouveia, L.; Yáñez-Fernández, J.; Castro-Muñoz, R.; Barragán-Huerta, B.E. Production, Preparation and Characterization of Microalgae-Based Biopolymer as a Potential Bioactive Film. Coatings 2020, 10, 120. [Google Scholar] [CrossRef] [Green Version]
  80. Hamed, I.; Jakobsen, A.N.; Lerfall, J. Sustainable edible packaging systems based on active compounds from food processing byproducts: A review. Compr. Rev. Food Sci. Food Saf. 2022, 21, 198–226. [Google Scholar] [CrossRef] [PubMed]
  81. Prakash, M.M.; Selvakumar, R.; Suresh, K.P.; Ramakrishna, S. Extraction and modification of cellulose nanofibers derived from biomass for environmental application. RSC Adv. 2017, 7, 42750–42773. [Google Scholar] [CrossRef] [Green Version]
  82. Madadi, R.; Maljaee, H.; Serafim, L.S.; Ventura, S.P.M. Microalgae as Contributors to Produce Biopolymers. Mar. Drugs 2021, 19, 466. [Google Scholar] [CrossRef]
  83. Buono, S.; Langellotti, A.L.; Martello, A.; Rinna, F.; Fogliano, V. Functional ingredients from microalgae. Food Funct. 2014, 5, 1669–1685. [Google Scholar] [CrossRef]
  84. Madeira, M.S.; Cardoso, C.; Lopes, P.A.; Coelho, D.; Afonso, C.; Bandarra, N.M.; Prates, J.A.M. Microalgae as feed ingredients for livestock production and meat quality: A review. Livest. Sci. 2017, 205, 111–121. [Google Scholar] [CrossRef]
  85. Devi, M.A.; Venkataraman, L.V. Supplementary value of the proteins of blue green algae Spirulina platensis to rice and wheat proteins. Nutr. Rep. Int. 1983, 28, 1029–1035. [Google Scholar]
  86. Dawood, M.A.; Moustafa, E.M.; Elbialy, Z.I.; Farrag, F.; Lolo, E.E.; Abdel-Daim, H.A.; Van Doan, H. Lactobacillus plantarum L-137 and/or β-glucan impacted the histopathological, antioxidant, immune-related genes and resistance of Nile tilapia (Oreochromis niloticus) against Aeromonas hydrophila. Res. Vet. Sci. 2020, 130, 212–221. [Google Scholar] [CrossRef]
  87. Yaakob, Z.; Ali, E.; Zainal, A.; Mohamad, M.; Takriff, M.S. An overview: Biomolecules from microalgae for animal feed and aquaculture. J. Biol. Res. 2014, 21, 6. [Google Scholar] [CrossRef] [Green Version]
  88. Maliwat, G.C.; Velasquez, S.; Robil, J.L.; Chan, M.; Traifalgar, R.F.; Tayamen, M.; Ragaza, J.A. Growth and immune response of giant freshwater prawn Macrobrachium rosenbergii (De Man) postlarvae fed diets containing Chlorella vulgaris (Beijerinck). Aquac. Res. 2017, 48, 1666–1676. [Google Scholar] [CrossRef]
  89. Cerezuela, R.; Guardiola, F.A.; Meseguer, J.; Esteban, M.Á. Increases in immune parameters by inulin and Bacillus subtilis dietary administration to gilthead seabream (Sparus aurata L.) did not correlate with disease resistance to Photobacterium damselae. Fish Shellfish Immunol. 2012, 32, 1032–1040. [Google Scholar] [CrossRef] [PubMed]
  90. Madhumathi, M.; Rengasamy, R. Antioxidant status of Penaeus monodon fed with Dunaliella salina supplemented diet and resistance against WSSV. Int. J. Eng. Sci. Technol. 2011, 3, 7249–7259. [Google Scholar]
  91. Nath, P.R.; Khozin-Goldberg, I.; Cohen, Z.; Boussiba, S.; Zilberg, D. Dietary supplementation with the microalgae Parietochloris incisa increases survival and stress resistance in guppy (Poecilia reticulata) fry. Aquac. Nutr. 2012, 18, 167–180. [Google Scholar] [CrossRef]
  92. Yeganeh, S.; Teimouri, M.; Amirkolaie, A.K. Dietary effects of Spirulina platensis on hematological and serum biochemical parameters of rainbow trout (Oncorhynchus mykiss). Res. Vet. Sci. 2015, 101, 84–88. [Google Scholar] [CrossRef] [PubMed]
  93. Costa, J.A.V.; Freitas, B.C.B.; Cruz, C.G.; Silveira, J.; Morais, M.G. Potential of microalgae as biopesticides to contribute to sustainable agriculture and environmental development. J. Environ. Sci. Health Part B 2019, 54, 366–375. [Google Scholar] [CrossRef] [PubMed]
  94. Renuka, N.; Guldhe, A.; Prasanna, R.; Singh, P.; Bux, F. Microalgae as multi-functional options in modern agriculture: Current trends, prospects and challenges. Biotechnol. Adv. 2018, 36, 1255–1273. [Google Scholar] [CrossRef] [PubMed]
  95. Alvarez, A.L.; Weyers, S.L.; Goemann, H.M.; Peyton, B.M.; Gardner, R.D. Microalgae, soil and plants: A critical review of microalgae as renewable resources for agriculture. Algal Res. 2021, 54, 102200. [Google Scholar] [CrossRef]
  96. Stirk, W.A.; Staden, J. Potential of phytohormones as a strategy to improve microalgae productivity for biotechnological applications. Biotechnol. Adv. 2020, 44, 107612. [Google Scholar] [CrossRef]
  97. Guzmán-Murillo, M.A.; Ascencio, F.; Larrinaga-Mayoral, J.A. Germination and ROS detoxification in bell pepper (Capsicum annuum L.) under NaCl stress and treatment with microalgae extracts. Protoplasma 2013, 250, 33–42. [Google Scholar] [CrossRef]
  98. Righini, H.; Baraldi, E.; García Fernández, Y.; Martel Quintana, A.; Roberti, R. Different Antifungal Activity of Anabaena sp., Ecklonia sp., and Jania sp. against Botrytis cinerea. Mar. Drugs 2019, 17, 299. [Google Scholar] [CrossRef] [Green Version]
  99. Sasaki, M.; Takagi, A.; Ota, S.; Kawano, S.; Sasaki, D.; Asayama, M. Coproduction of lipids and extracellular polysaccharides from the novel green alga Parachlorella sp. BX1.5 depending on cultivation conditions. Biotechnol. Rep. 2020, 25, e00392. [Google Scholar] [CrossRef] [PubMed]
  100. Kumar, M.; Sun, Y.; Rathour, R.; Pandey, A.; Thakur, I.S.; Tsang, D.C.W. Algae as potential feedstock for the production of biofuels and value-added products: Opportunities and challenges. Sci. Total Environ. 2020, 716, 137116. [Google Scholar] [CrossRef] [PubMed]
  101. Song, C.; Han, X.; Qiu, Y.; Liu, Z.; Li, S.; Kitamura, Y. Microalgae carbon fixation integrated with organic matters recycling from soybean wastewater: Effect of pH on the performance of hybrid system. Chemosphere 2020, 248, 126094. [Google Scholar] [CrossRef] [PubMed]
Figure 1. Illustrative representation of carbohydrate synthesis in the microalgal cell (CO2: carbon dioxide, EPS: exopolysaccharide, G3P: glyceraldehyde-3-phosphate, HCO3: bicarbonate, RuBP: Ribulose-1,5-bisphosphate, 3-PGA: phosphoglycerate).
Figure 1. Illustrative representation of carbohydrate synthesis in the microalgal cell (CO2: carbon dioxide, EPS: exopolysaccharide, G3P: glyceraldehyde-3-phosphate, HCO3: bicarbonate, RuBP: Ribulose-1,5-bisphosphate, 3-PGA: phosphoglycerate).
Polysaccharides 03 00027 g001
Figure 2. Advantages of using microalgae polysaccharides in the food, animal feed, and sustainable agriculture sectors.
Figure 2. Advantages of using microalgae polysaccharides in the food, animal feed, and sustainable agriculture sectors.
Polysaccharides 03 00027 g002
Table 1. Chemical structure of monosaccharides and polysaccharides from different species of microalgae.
Table 1. Chemical structure of monosaccharides and polysaccharides from different species of microalgae.
Monosaccharides and polysaccharidesChemical StructureSourceReference
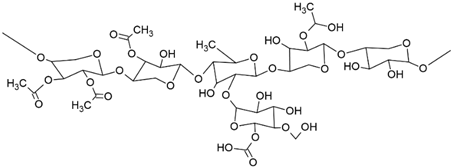
Glucose (C6H12O6) Polysaccharides 03 00027 i001
α-D-Glucose  β-D-Glucose
EPS from cyanobacteria[16]
Fucose (C6H12O5) Polysaccharides 03 00027 i002
D-Fucose  L-Fucose
EPS from Charophyta[16]
Uronic acids (Cn(H2O)n) Polysaccharides 03 00027 i003
Manuronic acid Galacturonic acid Glucuronic acid
EPS from Charophyta[16]
Xylose (C5H10O5) Polysaccharides 03 00027 i004
D-Xylose  L-Xylose
EPS from Rhodophyta and cyanobacteria[16]
Galactose (C6H12O6) Polysaccharides 03 00027 i005
D-galactose  L-Galactose
EPS from Rhodophyta, Chlorophyta and cyanobacteria[16]
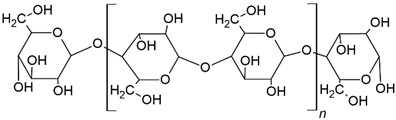
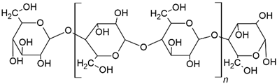
Cellulose (C6H10O5)n Polysaccharides 03 00027 i006Cell wall of microalgae[30]
Hemicellulose (C5H8O4)n or (C6H10O5)n Polysaccharides 03 00027 i007Cell wall of microalgae[30]
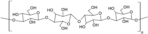
β-glucan (C18H32O16) Polysaccharides 03 00027 i008Euglena gracilis and Chlorella sp.[31,32]
Table 2. Production of polysaccharides by microalgae and influence of cultivation parameters.
Table 2. Production of polysaccharides by microalgae and influence of cultivation parameters.
MicroalgaCulture MediumCultivation Conditions SubstrateResultsReference
Chlorella minutissima, Chlorella sorokiniana and Botryococcus brauniiBG-11 mediumCarbon (Na2CO3) and nitrogen (NaNO3) content in the culture medium-Lower concentrations of Na2CO3 (0.02 g L−1) and (NaNO3) (0.2 g L−1) promoted higher EPS production in Chlorella minutissima (0.245 g L−1), Chlorella sorokiniana (0.163 g L−1) and Botryococcus braunii (0.117g L−1)[36]
Neochloris oleoabundansModified medium SECarbon/nitrogen (C/N) ratio, nitrogen limitation Glucose, galactose, maltose, lactose and sucroseThe use of 20 g L−1 of glucose and 12 mM of NaNO3 (low N concentration) were favorable to the production of polysaccharides.[37]
Porphyridium purpureumASW medium with low carbon/nitrogen ratio (LC/N), medium carbon/nitrogen ratio (MC/N) and high carbon/nitrogen ratio (HC/N) C/N ratio-HC/N and MC/N resulted in higher EPS production (around 1.75 g L−1). Higher C/N ratios stimulated the production of this molecule.[38]
Porphyridium sordidum and Porphyridium purpureumArtificial sea waterDifferent wavelengths—blue light (430 nm); combination of lights green/yellow/orange (572/625/640 nm), orange/red (660/780 nm) and white light (combination of all)-White light was the most suitable for the production of polysaccharides (Porphyridium sordidum (0.10 g L−1) and Porphyridium purpureum (0.14 g L−1)[39]
Botryococcus brauniiZehnder mediumLight intensity and nitrogen concentration-Higher production of polysaccharides at higher light intensities (650–950 μmol m−2 s−1) and nitrogen concentration of 6 mM, supplied as potassium nitrate.[40]
Chlorella vulgarisBG-11 mediumLight intensity and temperature-Accumulation of 32.7% of polysaccharides under the conditions of 65 μmol m−2 s−1 and 28 °C.[41]
Chlorella sp.MLA mediumDifferent sources of carbon and salinityMethanol, ethanol, sucrose, glucose, sodium acetate, glycine,
sodium bicarbonate.
Higher production of polysaccharides (0.01g L−1) with microalgae cultured with glucose and sucrose. When increasing salinity from 0.1% to 3.5%, EPS concentrations increased 2-fold.[42]
Spirulina sp.Zarrouk médiumLight intensity and NaCl concentration-Light intensity did not affect polysaccharide production. High concentration of NaCl (40 g L−1) increased the production of EPS (1.02 g g−1 of biomass).[43]
Chlorella sp.BG-11 mediumLight intensity. Mixotrophic cultivationGlucoseLight intensity of 65 µmol m−2 s−1 and glucose concentration of up to 1% w v−1 improved EPS yields (1.46 g L−1) in semi-continuous culture.[44]
Botryococcus brauniiBG-11 and D mediumInfluence of nitrogen concentration and salinity of culture media-EPS production was higher in medium D (0.549 g L−1) than in BG11 (0.336 g L−1). Influence of lower N concentration and higher salinity of medium D (NaNO3 = 0.689 g L−1 and NaCl = 0.008 g L−1)[45]
Table 3. Applications of microalgae polysaccharides in the food, animal feed and agriculture sector.
Table 3. Applications of microalgae polysaccharides in the food, animal feed and agriculture sector.
MicroalgaeApplicationPolysaccharideMain ResultsReference
Arthrospira platensis, Chlorella vulgarisFood sectorNative and modified forms of polysaccharides as dietary prebioticsPrebiotic score was 6.93 ± 0.05 and Chlorella vulgaris was 2.54 ± 0.02, results significantly high compared to the control (−1.35 ± 0.04).[58]
Anabaena sp. CCC 745Food sectorCyanobacteria
exopolysaccharides
Exopolysaccharides exhibited pseudoplastic fluid behavior, and significant antioxidant and scavenging activity.[59]
Porfyridium sp.Food sectorExopolysaccharides of red microalgaExopolysaccharides showed intrinsic viscosity higher than the values reported in the literature for hydrocolloids.[60]
Lyngbya stagninaFood sectorCyanobacteria
exopolysaccharides
Exopolysaccharides showed non-Newtonian behavior, pseudoplastic, and stable viscosity. Results similar to commercial Xanthan gum.[61]
Nannochloropsis oceanicaFood sectorCellulose nanofibrils from
Nannochloropsis
Cellulose nanofibrils with 3–4 GPA tensile strength, being similar or higher than other general packaging reinforcements currently applied.[62]
Arthrospira platensis, Dunaliella salina,
Porphyridium sp.
AgriculturePolysaccharides extracts used for
irrigation
Polysaccharides extracts
in tomato plants improved significantly the nodes number, shoot dry weight, and shoot length compared to control.
[63]
Nostoc commune, Scytonema javanicum, and Phormidium
ambiguum
AgricultureCyanobacteria exopolysaccharidesPolysaccharidic matrix produced by different cyanobacteria can influence their growth in soil.[64]
Nostoc sp.,
Phormidium sp., and Scytonema arcangeli
AgricultureTacki-SprayTM (TKS7), which consists of bio-polysaccharides and tackifiers, was used as a soil fixing agent.Combined application of cyanobacteria with soil fixing chemicals can rapidly develop cyanobacterial crust formation in the field within 12 months.[65]
Phormidium tenueAgricultureCrude polysaccharide synthesized by Phormidium tenueThe polysaccharide significantly increased seed germination and metabolic activity of the seedling of the shrub Caragana korshinskii.[66]
Spirulina platensisAnimal feedSpirulina platensis crude polysaccharidesSpirulina platensis polysaccharides attenuate lipid and carbohydrate metabolism disorder in high-sucrose and high-fat diet-fed rats.[67]
Spirulina platensisAnimal feedSulfated polysaccharide from
Spirulina platensis
In vitro antioxidant activity, antibacterial activity, and Zebrafish growth and reproductive performance.[68]
Chlorella pyrenoidosaAnimal feedChlorella pyrenoidosa polysaccharidesChlorella pyrenoidosa polysaccharides levels had a positive effect on the specific growth rate of the Trachemys scripta elegans.[69]
Spirulina platensisAnimal feedPolysaccharide of Spirulina platensisChemo- and radio-protective effects of polysaccharide of Spirulina platensis on hemopoietic system of mice and dogs.[70]
Publisher’s Note: MDPI stays neutral with regard to jurisdictional claims in published maps and institutional affiliations.

Share and Cite

MDPI and ACS Style

Moreira, J.B.; Vaz, B.d.S.; Cardias, B.B.; Cruz, C.G.; Almeida, A.C.A.d.; Costa, J.A.V.; Morais, M.G.d. Microalgae Polysaccharides: An Alternative Source for Food Production and Sustainable Agriculture. Polysaccharides 2022, 3, 441-457. https://doi.org/10.3390/polysaccharides3020027

AMA Style

Moreira JB, Vaz BdS, Cardias BB, Cruz CG, Almeida ACAd, Costa JAV, Morais MGd. Microalgae Polysaccharides: An Alternative Source for Food Production and Sustainable Agriculture. Polysaccharides. 2022; 3(2):441-457. https://doi.org/10.3390/polysaccharides3020027

Chicago/Turabian Style

Moreira, Juliana Botelho, Bruna da Silva Vaz, Bruna Barcelos Cardias, Camila Gonzales Cruz, Ana Claudia Araujo de Almeida, Jorge Alberto Vieira Costa, and Michele Greque de Morais. 2022. "Microalgae Polysaccharides: An Alternative Source for Food Production and Sustainable Agriculture" Polysaccharides 3, no. 2: 441-457. https://doi.org/10.3390/polysaccharides3020027

APA Style

Moreira, J. B., Vaz, B. d. S., Cardias, B. B., Cruz, C. G., Almeida, A. C. A. d., Costa, J. A. V., & Morais, M. G. d. (2022). Microalgae Polysaccharides: An Alternative Source for Food Production and Sustainable Agriculture. Polysaccharides, 3(2), 441-457. https://doi.org/10.3390/polysaccharides3020027

Article Metrics

Back to TopTop