Next Issue
Volume 7, June
Previous Issue
Volume 6, December
 
 

Hydrogen, Volume 7, Issue 1 (March 2026) – 43 articles

Cover Story (view full-size image): This paper presents a systematic meta-analysis of studies from 2024 to early 2025, evaluating hydrogen’s role through techno-economic, environmental, and social lenses. While direct electrification via heat pumps is currently the primary least-cost solution, hydrogen offers strategic value for seasonal storage and grid resilience. However, significant barriers remain, including high capital costs for fuel cell materials, infrastructure challenges such as pipeline retrofitting, and regional variations in social acceptance. By synthesizing multidisciplinary evidence, this work identifies the technological bottlenecks and socio-economic drivers required to steer a viable and socially acceptable residential hydrogen transition. View this paper
  • Issues are regarded as officially published after their release is announced to the table of contents alert mailing list.
  • You may sign up for e-mail alerts to receive table of contents of newly released issues.
  • PDF is the official format for papers published in both, html and pdf forms. To view the papers in pdf format, click on the "PDF Full-text" link, and use the free Adobe Reader to open them.
Order results
Result details
Select all
Export citation of selected articles as:
29 pages, 5249 KB  
Article
Hydrogen Production from Blended Waste Biomass: Pyrolysis, Thermodynamic-Kinetic Analysis and AI-Based Modelling
by Sana Kordoghli, Abdelhakim Settar, Oumayma Belaati, Mohammad Alkhatib, Khaled Chetehouna and Zakaria Mansouri
Hydrogen 2026, 7(1), 43; https://doi.org/10.3390/hydrogen7010043 - 20 Mar 2026
Cited by 1 | Viewed by 618
Abstract
This work contributes to advancing sustainable energy and waste management strategies by investigating the thermochemical conversion of food-based biomass through pyrolysis, highlighting the role of artificial intelligence (AI) in enhancing process modelling accuracy and optimization efficiency. The main objective is to explore the [...] Read more.
This work contributes to advancing sustainable energy and waste management strategies by investigating the thermochemical conversion of food-based biomass through pyrolysis, highlighting the role of artificial intelligence (AI) in enhancing process modelling accuracy and optimization efficiency. The main objective is to explore the potential of underutilized biomass resources like spent coffee grounds (SCGs) and DSs (date seeds) for sustainable hydrogen production. Specifically, it aims to optimize the pyrolysis process while evaluating the performance of these resources both individually and as blends. Proximate, ultimate, fibre, TGA/DTG, kinetic, thermodynamic, and Py-Micro-GC analyses were conducted for pure DS, SCG, and blends (75% DS-25% SCG, 50%DS-50%SCG, 25%DS–75%SCG). Blend 3 offered superior hydrogen yield potential but had the highest activation energy (Ea: 313.24 kJ/mol), while Blend 1 exhibited the best activation energy value (Ea: 161.75 kJ/mol). The kinetic modelling based on isoconversional methods (KAS, FWO, and Friedman) identified KAS as the most accurate. These approaches work together to provide a detailed understanding of the pyrolysis process with a particular emphasis on the integration of artificial intelligence (AI). An LSTM model trained with lignocellulosic data predicted TGA curves with exceptional accuracy (R2: 0.9996–0.9998). Full article
Show Figures

Figure 1

12 pages, 1515 KB  
Article
Impact of Cathode Surface Area on Gas–Liquid Mass Transfer and Acetate Production Efficiency in H2-Mediated Microbial Electrosynthesis from CO2
by Yuhan Guo, Menglong Zhao, Yan Yi, Jiahao Cao, Bingyan Wang, Hong Zhang, Wenfang Cai, Kai Cui, Sunil A. Patil and Kun Guo
Hydrogen 2026, 7(1), 42; https://doi.org/10.3390/hydrogen7010042 - 20 Mar 2026
Viewed by 609
Abstract
Hydrogen-mediated microbial electrosynthesis (MES) of chemicals from CO2 relies on effective gas–liquid transfer at the cathode interface, yet the extent to which cathode surface area regulates acetate productivity remains insufficiently quantified. In this study, three identical MES reactors equipped with stainless-steel cathodes [...] Read more.
Hydrogen-mediated microbial electrosynthesis (MES) of chemicals from CO2 relies on effective gas–liquid transfer at the cathode interface, yet the extent to which cathode surface area regulates acetate productivity remains insufficiently quantified. In this study, three identical MES reactors equipped with stainless-steel cathodes of different geometric areas (8 × 1, 8 × 4, and 8 × 16 cm2) were operated at a constant electric current of 0.3 A. The largest cathode significantly accelerated hydrogen mass transfer (kLa = 0.592 h−1), reaching dissolution equilibrium within 3 min, which was nearly twice as fast as the smallest electrode. Upon inoculation with enriched acetate-producing microbial consortia, the 8 × 16 cm2cathode reactor fed with CO2 achieved the highest steady-state acetate concentration of 32 g·L−1 produced at a rate of 2.12 g·L−1·d−1, with 94% hydrogen utilization, and 59% coulombic efficiency. In contrast, smaller electrodes exhibited rapid bubble detachment and reduced residence time, thereby limiting microbial gas uptake, and resulting in low acetate productivity. These findings demonstrate that cathode surface area is a key engineering lever controlling both hydrogen availability and electron recovery efficiency in H2-driven MES. The results provide practical guidance for electrode design and scale-up of CO2-to-acetate bioconversion via the MES process. Full article
Show Figures

Graphical abstract

18 pages, 6946 KB  
Article
Packing Geometry and Polymer Material Effects on Sealing of a PN650 Hydrogen Service Needle Valve: Vacuum/Helium Leak Screening and 650 Bar Hydrogen Cycling
by Enric Palau Forte and Francesc Medina Cabello
Hydrogen 2026, 7(1), 41; https://doi.org/10.3390/hydrogen7010041 - 20 Mar 2026
Viewed by 395
Abstract
External leakage from valve stem packings is a critical safety and reliability issue in high-pressure hydrogen systems. This work aims to quantify how packing geometry and polymer selection influence stem sealing in a PN650 needle valve (316L body and stem). Two geometries were [...] Read more.
External leakage from valve stem packings is a critical safety and reliability issue in high-pressure hydrogen systems. This work aims to quantify how packing geometry and polymer selection influence stem sealing in a PN650 needle valve (316L body and stem). Two geometries were compared: a conical V-ring (chevron style) stack and a flat three-disc stack. Two polymer material sets were assessed: Vespel® polyimide (SP-1/SP-21) and a glass-filled PTFE sealing element combined with a virgin PEEK back-up ring. Four assemblies (one per geometry/material combination) were first screened by hydrostatic pressure hold testing up to 1500 bar and by helium mass spectrometer leak measurements under vacuum. All assemblies sustained the hydrostatic overpressure hold with negligible decay. Vacuum helium screening produced leak rates between 3.7 × 10−10 and 9.5 × 10−10 mbar·l·s−1, with the conical V-ring geometry consistently outperforming the disc stack. A more demanding helium test at 700 bar with external vacuum yielded leak rates of 3.6–3.7 × 10−8 mbar·l·s−1, for conical assemblies. Based on the screening results and practical industrial considerations, the PTFE/PEEK conical configuration was selected for endurance testing and completed 2500 open/close cycles in 650 bar hydrogen without gland readjustment. Post-cycling checks confirmed continued tightness, including a qualitative helium pressure hold result near 700 bar and 0 bubbles in 10 min in the seat tightness test. Microscopy/EDX revealed limited wear with minor metallic transfer. The proposed multi-stage workflow provides a pragmatic route for the early qualification of stem packings for high-pressure hydrogen valves. Full article
Show Figures

Figure 1

17 pages, 2282 KB  
Article
Physical Characteristics of Hydride Perovskites XZrH3 (X = Mg, Ca, Sr, and Ba) as Materials for Hydrogen Storage: A First-Principles Investigation
by Ayoub Koufi, Younes Ziat, Hamza Belkhanchi and Noureddine Elmeskini
Hydrogen 2026, 7(1), 40; https://doi.org/10.3390/hydrogen7010040 - 12 Mar 2026
Viewed by 624
Abstract
In this study, density functional theory (DFT) within the generalized gradient approximation (GGA) is employed to investigate the structural, electronic, mechanical, and thermoelectric properties of perovskite hydrides XZrH3 (X = Mg, Ca, Sr, Ba). Mechanical stability and ductility are evaluated through the [...] Read more.
In this study, density functional theory (DFT) within the generalized gradient approximation (GGA) is employed to investigate the structural, electronic, mechanical, and thermoelectric properties of perovskite hydrides XZrH3 (X = Mg, Ca, Sr, Ba). Mechanical stability and ductility are evaluated through the Cauchy pressure, Pugh’s ratio, and Poisson’s ratio, all of which point to ductile behavior with a dominant ionic-bonding character. Electronic structure calculations reveal metallic behavior arising from band overlap at the Fermi level. Equilibrium energy–volume data are fitted with the Murnaghan equation of state, and transport coefficients are extracted using the BoltzTraP package as implemented in WIEN2k. The absence of a band gap and the overlap between valence and conduction bands confirm conductor-like behavior. Lattice thermal conductivity for MgZrH3, CaZrH3, SrZrH3, and BaZrH3 increases monotonically with temperature. Overall, the results identify MgZrH3 in particular as a promising candidate for thermoelectric devices and solid-state hydrogen storage, thereby supporting progress toward a sustainable hydrogen economy. Full article
Show Figures

Figure 1

12 pages, 1380 KB  
Article
A Three-Stage Process of CO-Selective Methanation Based on Its Reaction Characteristics: Achieving a High Gas Hourly Space Velocity
by Changchang Yang, Chunhuan Luo and Qingquan Su
Hydrogen 2026, 7(1), 39; https://doi.org/10.3390/hydrogen7010039 - 10 Mar 2026
Viewed by 541
Abstract
CO-selective methanation (CO-SMET) is an important technology for CO deep removal from reforming hydrogen. We previously proposed a three-stage CO-SMET with a decreasing temperature profile based on critical CO concentration. In this study, focusing on the sharp decline in each stage’s CO inlet [...] Read more.
CO-selective methanation (CO-SMET) is an important technology for CO deep removal from reforming hydrogen. We previously proposed a three-stage CO-SMET with a decreasing temperature profile based on critical CO concentration. In this study, focusing on the sharp decline in each stage’s CO inlet concentration, we further proposed and validated a three-stage CO-SMET process characterized by an increasing space velocity profile, combined with a decreasing temperature profile. Compared to operating all stages at an identical space velocity of 9000 h−1, increasing the space velocities of the second and third stages to 27,000 h−1—thereby raising the overall space velocity from 3000 h−1 to 5400 h−1—only modestly increased the CO outlet concentration from 2.1 ppm to 6.5 ppm, while slightly improving the CO selectivity from 75.3% to 76.3%. These findings offer valuable insights into CO-SMET design that simultaneously achieve high CO-removal depth, high CO selectivity, and high space velocity. Full article
Show Figures

Graphical abstract

22 pages, 3336 KB  
Article
Pinch-Guided Heat Integration for Hydrogen Production from Mixed Plastic Waste
by Fiyinfoluwa Joan Medaiyese, Maryam Nasiri Ghiri, Hamid Reza Nasriani, Leila Khajenoori and Khalid Khan
Hydrogen 2026, 7(1), 38; https://doi.org/10.3390/hydrogen7010038 - 4 Mar 2026
Cited by 1 | Viewed by 798
Abstract
The conversion of plastic waste into hydrogen offers a promising waste-to-value pathway, but its industrial viability is constrained by high external energy demand associated with thermochemical processing. This study evaluates the energy performance of hydrogen production from mixed plastic waste via pyrolysis and [...] Read more.
The conversion of plastic waste into hydrogen offers a promising waste-to-value pathway, but its industrial viability is constrained by high external energy demand associated with thermochemical processing. This study evaluates the energy performance of hydrogen production from mixed plastic waste via pyrolysis and in-line steam reforming, with a focus on reducing utility consumption through systematic heat integration. A steady-state process model was developed in Aspen Plus for a representative mixture of polyethylene, polypropylene, and polystyrene, followed by detailed energy analysis and pinch-based heat integration using Aspen Energy Analyser. Baseline utility requirements were quantified and compared against optimised configurations incorporating targeted heat exchanger network modifications. The base-case analysis identified significant recoverable heat, enabling a reduction in total external utilities from 7.14 to 2.88 GJ h−1, corresponding to a 59.6% decrease in utility demand. Sequential heat integration scenarios further reduced heating and cooling duties while maintaining process operability, demonstrating the effectiveness of iterative, pinch-guided design. The results show that high-temperature waste-plastic-to-hydrogen systems need not be utility-dominated when energy integration is embedded at the design stage. These findings highlight heat integration as a critical enabler for improving the energy efficiency and sustainability of pyrolysis–reforming routes and provide a robust framework for developing scalable, low-carbon hydrogen production from plastic waste. Full article
Show Figures

Figure 1

38 pages, 4908 KB  
Systematic Review
From Catalyst to System: A Systematic Review of Simulation-Based Modelling of Ammonia Decomposition for Hydrogen Production
by Dk Nur Hayati Amali Pg Haji Omar Ali, Hazwani Suhaimi and Pg Emeroylariffion Abas
Hydrogen 2026, 7(1), 37; https://doi.org/10.3390/hydrogen7010037 - 2 Mar 2026
Viewed by 1095
Abstract
Ammonia decomposition is one of the most used pathways for carbon-free hydrogen production, particularly in systems where ammonia is used as a hydrogen carrier. Modelling and simulation are critical for the general quantification of reaction kinetics, transport limitations, reactor performance, and system-level integration; [...] Read more.
Ammonia decomposition is one of the most used pathways for carbon-free hydrogen production, particularly in systems where ammonia is used as a hydrogen carrier. Modelling and simulation are critical for the general quantification of reaction kinetics, transport limitations, reactor performance, and system-level integration; however, simulation-based studies remain disjointed across modelling scales and synthesis routes. This systematic review examines modelling and simulation studies on ammonia decomposition published in the period between 2014 and 2025, identified through a structured Scopus search and screened using PRISMA methodology. A total of 70 modelling-focused studies were classified into five modelling categories: reactor-scale numerical and CFD modelling; kinetic and thermochemical mechanism modelling; thermodynamic, energy, and exergy-based process simulation; multiscale or cross-scale modelling; and conceptual or dimensionless modelling frameworks. The results show that reactor-scale CFD and kinetic models constitute most published studies, while integrated multiscale frameworks linking catalyst-scale phenomena to reactor and process-level performance remain limited. Furthermore, the inclusion of techno-economic analysis (TEA) and life-cycle assessment (LCA) is limited, restricting quantitative evaluation of scalability and system viability. Based on the reviewed literature, key methodological gaps are identified, and a multiscale modelling roadmap is proposed to support the design, optimisation, and scale-up of ammonia-to-hydrogen conversion systems. Full article
Show Figures

Figure 1

46 pages, 2279 KB  
Review
Alternative Maritime Fuels for Net-Zero Shipping: A Comprehensive Operational, Techno-Economic and Regulatory Review
by Nikolaos Diamantakis, Nikolaos Xynopoulos, Jil Sheth, John Andresen and Mercedes Maroto-Valer
Hydrogen 2026, 7(1), 36; https://doi.org/10.3390/hydrogen7010036 - 2 Mar 2026
Cited by 1 | Viewed by 3129
Abstract
The maritime shipping industry faces the challenge of decarbonising its operations while maintaining economic viability. We present a comprehensive techno-economic review of four alternative energy carriers, liquid hydrogen (LH2), ammonia (NH3), liquefied natural gas (LNG), and methanol, evaluating their [...] Read more.
The maritime shipping industry faces the challenge of decarbonising its operations while maintaining economic viability. We present a comprehensive techno-economic review of four alternative energy carriers, liquid hydrogen (LH2), ammonia (NH3), liquefied natural gas (LNG), and methanol, evaluating their suitability for maritime applications within the context of global decarbonisation policy. Through the comparative assessment of physicochemical properties, hazard profiles, storage requirements, and regulatory compliance mechanisms, this review demonstrates that fuel selection is highly route-dependent, with methanol emerging as the most practical near-term solution for short-sea corridors, ammonia emerging as the primary pathway for long-term deep-sea decarbonisation, leveraging existing production infrastructure to achieve up to 90% lifecycle GHG reduction when produced from renewable hydrogen, and hydrogen serving as an alternative option pending cryogenic infrastructure maturation. The integration of digital twin technologies and port call optimisation provides a realistic pathway to achieving International Maritime Organisation (IMO) decarbonisation targets by 2030 and beyond. The findings are contextualised within current and emerging regulatory frameworks, including MARPOL Annex VI and FuelEU Maritime, to support evidence-based fuel selection and infrastructure investment decisions. Full article
Show Figures

Figure 1

19 pages, 1093 KB  
Article
Understanding the Application Envelope for Metal Hydride Compressors (Techno-Economic Considerations)
by Ashleigh Cousins, Nikolai Kinaev, Sandy Edwards, Matt Langley and Evan MacA. Gray
Hydrogen 2026, 7(1), 35; https://doi.org/10.3390/hydrogen7010035 - 26 Feb 2026
Viewed by 490
Abstract
Currently, H2 compression is one of the highest-cost items, both in terms of capital and operating costs, at H2 refuelling stations. Metal hydride (MH) compressors are an alternative H2 compression technology, which uses heat rather than electricity to provide the [...] Read more.
Currently, H2 compression is one of the highest-cost items, both in terms of capital and operating costs, at H2 refuelling stations. Metal hydride (MH) compressors are an alternative H2 compression technology, which uses heat rather than electricity to provide the driving force for compression. Where waste heat is available, these compressors have the potential to be lower in cost than current mechanical alternatives. While the development of metal hydride compressors has been underway for the last 40–50 years, only a few have made it through to demonstration at industrial sites. To better understand where these compressors see best potential, we have completed a high-level assessment of the levelised costs associated with MH compression. We explore the impact of cost assumptions (capital and operating cost items) on the overall cost of MH compression over an assumed 10-year life. Results indicate that MH compressors have similar capital costs to currently available mechanical compressors but have a significant advantage in operating costs where waste or solar heat is available. This analysis highlights that it is the cost of energy that has the greatest impact on the cost competitiveness of the metal hydride compressor. Full article
Show Figures

Figure 1

30 pages, 1195 KB  
Review
Meta-Analysis of Hydrogen’s Role in Residential Heat Decarbonization
by Eleonora Aneggi, Marilda Scarbolo and Daniele Zuccaccia
Hydrogen 2026, 7(1), 34; https://doi.org/10.3390/hydrogen7010034 - 26 Feb 2026
Viewed by 1103
Abstract
Hydrogen is a potential energy carrier for the decarbonization of the heating sector; however, its long-term role remains highly debated. This meta-analysis (2024–early 2025) assesses hydrogen’s potential for domestic heating regarding consumption, costs, and environmental impacts. Current scientific evidence distinguishes between hydrogen use [...] Read more.
Hydrogen is a potential energy carrier for the decarbonization of the heating sector; however, its long-term role remains highly debated. This meta-analysis (2024–early 2025) assesses hydrogen’s potential for domestic heating regarding consumption, costs, and environmental impacts. Current scientific evidence distinguishes between hydrogen use for direct residential heating and its role in integrated energy systems. For residential decarbonization, the literature does not support hydrogen as a primary solution: electrification, especially through heat pumps, remains the most efficient and cost-effective long-term pathway. Direct hydrogen heating faces major thermodynamic and economic barriers, including low conversion efficiency, high Levelized Costs of Energy (LCOE), infrastructure limitations, and challenges in achieving broad social acceptance. Hydrogen’s more strategic value emerges at the system level. Hybrid configurations that combine heat pumps with hydrogen storage show strong potential by using heat pumps to efficiently meet thermal demand while reserving hydrogen for flexible backup and storage. In particular, hydrogen is well suited for long-term seasonal energy storage and grid balancing, enhancing system flexibility and reliability. Its main contribution therefore lies not in direct end-use heating, but in strengthening grid resilience and supporting energy autarky in net-zero scenarios. Hydrogen blending into existing gas networks is widely viewed as a transitional measure to stimulate the hydrogen economy and deliver limited short-term emission reductions, rather than a definitive net-zero solution. Overall, hydrogen’s residential role remains niche, requiring targeted research, development, and large-scale pilot projects to validate competitive applications. Full article
Show Figures

Graphical abstract

17 pages, 4446 KB  
Article
Conceptual Design of an Internally Reinforced Pressure Vessel for Hydrogen Storage in Heavy-Duty Fuel Cell Vehicles
by Tinashe Mazarire, Alexander Galloway and Athanasios Toumpis
Hydrogen 2026, 7(1), 33; https://doi.org/10.3390/hydrogen7010033 - 25 Feb 2026
Viewed by 786
Abstract
Current onboard hydrogen storage systems are volumetrically inefficient and represent a major constraint on the driving range of heavy-duty fuel cell vehicles. This work presents a conceptual model of an internally reinforced Type I rectangular-shaped pressure vessel as a solution to enhance the [...] Read more.
Current onboard hydrogen storage systems are volumetrically inefficient and represent a major constraint on the driving range of heavy-duty fuel cell vehicles. This work presents a conceptual model of an internally reinforced Type I rectangular-shaped pressure vessel as a solution to enhance the volumetric efficiency of hydrogen storage in heavy-duty vehicles. The pressure vessel’s geometry incorporates an internal reinforcing structure to ensure both the structural integrity of the vessel and compliance with the standards for onboard hydrogen storage. Initially, an analytical approach was employed to determine the base parameters of the wall and the internal structure of the reinforced pressure vessel. Finite element analysis was then conducted to validate the analytical solutions and assess the structural integrity of the pressure vessel under design pressure conditions. This was followed by a parametric optimisation study in which the design parameters were systematically varied to identify an optimal pressure vessel design. The 35 MPa reinforced titanium pressure vessel offers 29% more volumetric capacity than the conventional Type IV storage system. The gravimetric capacity of the titanium pressure vessel is low, 2.9 wt%; despite this, the mass of the vessel is applicable in HDVs. This design increases hydrogen storage capacity, offering a range increase of approximately 29% for the same design space. Full article
Show Figures

Figure 1

39 pages, 3968 KB  
Article
Modeling and Optimal Scheduling of a Hydrogen Production-Enriched Compressing-Integrated Urban Energy System
by Min Xie, Xianbo Jiang and Yanxuan Lu
Hydrogen 2026, 7(1), 32; https://doi.org/10.3390/hydrogen7010032 - 24 Feb 2026
Viewed by 469
Abstract
Hydrogen, an emerging low-carbon energy carrier, is pivotal for high-penetration renewable energy and integrated energy systems, yet the coupling of hydrogen with electricity and gas for hydrogen production and enriched compression-integrated systems remains a key issue for energy transition. This study establishes the [...] Read more.
Hydrogen, an emerging low-carbon energy carrier, is pivotal for high-penetration renewable energy and integrated energy systems, yet the coupling of hydrogen with electricity and gas for hydrogen production and enriched compression-integrated systems remains a key issue for energy transition. This study establishes the architecture and analyzes the energy flow of an urban hydrogen production and enriched compressing-integrated energy system, as well as models its hydrogen production-enriched compressing, power, and hydrogen-enriched compressed natural gas subsystems based on water electrolysis, hydrogen storage, hydrogen fuel cells (HFCs), and hydrogen-enriched compressed natural gas (HCNG) technology, and develops a low-carbon optimal scheduling model with demand response to minimize intraday economic dispatch costs. Scenario comparisons verify the model’s effectiveness, showing that the system boosts wind-solar utilization by 6.81% and cuts carbon emissions by 1.89%. Full article
Show Figures

Figure 1

25 pages, 1117 KB  
Article
Techno-Economic and Environmental Assessment of Hydrogen Production from Ammonia via Catalytic and Electrocatalytic Decomposition
by Dk Syasya Nurul Batrisyia Pg Haji Md Ali Badrin, Yun Yung Liaw, Miza Syahmimi Haji Rhyme, Zi Hui Yong, Hazwani Suhaimi and Pg Emeroylariffion Abas
Hydrogen 2026, 7(1), 31; https://doi.org/10.3390/hydrogen7010031 - 24 Feb 2026
Cited by 1 | Viewed by 841
Abstract
Hydrogen has been widely regarded as a key energy carrier. However, its storage and long-distance transportation are challenging, resulting in the emergence of ammonia as a potential carrier of hydrogen due to its high hydrogen density, ease of liquefaction, and established transport infrastructure. [...] Read more.
Hydrogen has been widely regarded as a key energy carrier. However, its storage and long-distance transportation are challenging, resulting in the emergence of ammonia as a potential carrier of hydrogen due to its high hydrogen density, ease of liquefaction, and established transport infrastructure. This study presents a techno-economic and environmental impact assessment of two methods of hydrogen production from ammonia: catalytic cracking (ACC) and electrocatalytic (AEC) decomposition, modeled under the specific local economic conditions of Brunei Darussalam. Analysis over a 20-year plant lifetime under local economic conditions indicates that the more technologically established ACC achieves a higher net present value of USD 7.298 million, compared to USD 6.867 million for AEC, primarily due to its significantly lower replacement costs. Sensitivity analysis indicates that AEC becomes economically favorable at production rates above approximately 29.5 kg/h or electricity prices exceeding USD 0.13/kWh. Environmental impact analysis indicates that AEC produces higher lifetime CO2 emissions of approximately 84.9 million kg, compared to ACC with approximately 44.0 million kg of CO2 emissions under grid-based electricity supply. This is mainly due to its higher electricity demand. Overall, the study highlights clear economic–environmental trade-offs between ACC and AEC and underscores the importance of integrated techno-economic and environmental evaluation for ammonia-based hydrogen systems in a Bruneian context. Full article
Show Figures

Figure 1

14 pages, 1288 KB  
Article
Hydrogen from Waste Plastics: Integrated Pyrolysis–Reforming Simulation and Techno-Economic Insights for a Circular Economy
by Sharif H. Zein, Yvette Kusi Agyemang, Usama Ahmed, Amal Al Saadi, Aditya Putranto and Aishah A. Jalil
Hydrogen 2026, 7(1), 30; https://doi.org/10.3390/hydrogen7010030 - 22 Feb 2026
Cited by 1 | Viewed by 1768
Abstract
Plastic waste poses a major environmental issue because it persists in nature for long durations and recycling facilities are not readily available. The conversion of waste materials into hydrogen creates two beneficial effects that help decrease pollution levels and establish hydrogen as a [...] Read more.
Plastic waste poses a major environmental issue because it persists in nature for long durations and recycling facilities are not readily available. The conversion of waste materials into hydrogen creates two beneficial effects that help decrease pollution levels and establish hydrogen as a clean energy source for sustainable low-carbon systems. In this study, an integrated process for plastic-to-hydrogen conversion was developed using Aspen HYSYS v14. The system uses pyrolysis, steam reforming, and the water–gas shift (WGS) reaction, through pseudo-components of polyethylene, polypropylene and polystyrene to model decomposition processes. Following optimization, the hydrogen fraction in the syngas rose from 0.664 to 0.733. At this stage, the process produced roughly 651 kg of hydrogen per hour in steady operation. In addition, char and pyrolysis oil were produced as co-products that can be valorized in circular economy applications The implementation of heat integration achieved an 8% reduction in utility demand that proves that internal energy recovery stands as a vital element for sustainable design. The techno-economic analysis showed that the project would achieve a 39% internal rate of return and payback period of 5.95 years, thus proving its financial stability. The research demonstrates how modern process modeling techniques enable the creation of clean technology systems that address plastic pollution problems while producing low-carbon hydrogen. Full article
Show Figures

Figure 1

19 pages, 799 KB  
Article
The Energetic Aspect of the Formation of Molecular Hydrogen During Gamma Irradiation of Liquid Cyclohexane
by Igor Y. Shchapin and Andrey I. Nekhaev
Hydrogen 2026, 7(1), 29; https://doi.org/10.3390/hydrogen7010029 - 22 Feb 2026
Viewed by 412
Abstract
Molecular hydrogen, the basis of hydrogen energy, is formed in many physical and chemical processes, including the absorption of gamma-ray energy by liquid cyclohexane. From the point of view of energy consumption, the stages of gamma radiolytic formation of molecular hydrogen have not [...] Read more.
Molecular hydrogen, the basis of hydrogen energy, is formed in many physical and chemical processes, including the absorption of gamma-ray energy by liquid cyclohexane. From the point of view of energy consumption, the stages of gamma radiolytic formation of molecular hydrogen have not been quantified. By means of a new energy method, we analyzed the amounts of released molecular hydrogen during gamma irradiation of liquid cyclohexane in the absence and presence of small additives of bicyclic mono- and dienes RH (initial concentrations of C0(RH) ≈ 5 × 10−3 M/L), depending on the first ionization potentials of the components of solutions determined in the gas phase. Using the new energy method, four primary intermediates—radical anion, electronically excited molecule, radical cation, and superexcited molecule—of liquid cyclohexane gamma radiolysis were identified. Energy, mechanistic, and spin relationships and connections between these four cyclohexane intermediates were established. The experimental value of the adiabatic electron affinity of the cyclohexane molecule is −2.01 eV. The energy of formation of the superexcited cyclohexane molecule is 18 eV (gas phase). Using the energy method, it is shown that an increase in C0(RH) concentrations from 5 × 10−3 to 0.1 M/L leads to a change in the mechanism of RH consumption. Instead of RH activation, as a result of the single electron transfer reaction, RH polymerization begins, which is initiated by cyclohexyl radicals. Full article
Show Figures

Graphical abstract

20 pages, 892 KB  
Article
Assessment of Russia’s Green Hydrogen Demand Potential and Realization Pathways: A Scenario Analysis with Learning Curve Dynamics
by Svetlana Ratner, Konstantin Gomonov, Sos Khachikyan and Artem Shaposhnikov
Hydrogen 2026, 7(1), 28; https://doi.org/10.3390/hydrogen7010028 - 21 Feb 2026
Viewed by 1184
Abstract
This study develops an integrated analytical framework to assess Russia’s green hydrogen demand potential and cost-competitiveness pathways across the steel production and road transport sectors. Using bottom-up sectoral analysis, we estimate Russia’s theoretical hydrogen demand potential at approximately 18.2 Mt/year. Three policy scenarios [...] Read more.
This study develops an integrated analytical framework to assess Russia’s green hydrogen demand potential and cost-competitiveness pathways across the steel production and road transport sectors. Using bottom-up sectoral analysis, we estimate Russia’s theoretical hydrogen demand potential at approximately 18.2 Mt/year. Three policy scenarios model demand realization trajectories under differentiated support regimes, calibrated to European alternative fuel vehicle diffusion patterns and Russian statistical data. A learning curve framework projects green hydrogen costs as an endogenous function of cumulative production, with learning rates of 5% and 10.1% representing conservative and optimistic technology development pathways. Results indicate that under realistic policy support and 10.1% learning rates, hydrogen costs decline from USD 15/kg to USD 7.23/kg by 2050, reaching the USD 10/kg competitiveness threshold by approximately 2035. However, Russia’s costs remain 2–4 times higher than global optimal-location projections due to scale disadvantages and infrastructure constraints. Policy recommendations emphasize front-loaded support mechanisms, export market integration with EAEU partners, and electrolyzer technology localization to accelerate learning effects and achieve cost competitiveness within mid-term planning horizons. Full article
Show Figures

Figure 1

1 pages, 126 KB  
Retraction
RETRACTED: Babay et al. Bio-Aerodynamic Flow Field Optimization in PEM Fuel Cells: A Peregrine Falcon-Inspired Flow Field Approach. Hydrogen 2025, 6, 102
by Mohamed-Amine Babay, Mustapha Adar, Mohamed Essam El Messoussi, Ahmed Chebak and Mustapha Mabrouki
Hydrogen 2026, 7(1), 27; https://doi.org/10.3390/hydrogen7010027 - 14 Feb 2026
Viewed by 477
Abstract
The journal retracts the article titled, “Bio-Aerodynamic Flow Field Optimization in PEM Fuel Cells: A Peregrine Falcon-Inspired Flow Field Approach” [...] Full article
18 pages, 1642 KB  
Article
Hydrogen Compression in Hydraulically Driven Piston Systems: Analysis of Technical Data and Selection of the Electric Motor
by Antonio Giuffrida
Hydrogen 2026, 7(1), 26; https://doi.org/10.3390/hydrogen7010026 - 12 Feb 2026
Cited by 1 | Viewed by 715
Abstract
The hydraulically driven piston compressor is a state-of-the-art solution for compressing hydrogen to pressure levels up to 100 MPa and even beyond, especially for use in hydrogen refueling stations. Based on the technical data of a few commercial hydraulically driven piston systems for [...] Read more.
The hydraulically driven piston compressor is a state-of-the-art solution for compressing hydrogen to pressure levels up to 100 MPa and even beyond, especially for use in hydrogen refueling stations. Based on the technical data of a few commercial hydraulically driven piston systems for hydrogen compression, thermodynamic calculations are developed in this paper, and a preliminary indicator, the compression-to-electric power ratio (CEPR), is assessed. In order to justify calculated CEPR values no greater than 0.42 for the analyzed compression units, attention is paid to the hydrogen compression duty, and the instantaneous power is drawn based on a simple but effective procedure. In detail, the instantaneous power profile has a peak value approximately double that of the average power, and this peak is maintained for almost half of the working period. According to this result, the electric motor must be sized correctly. Thus, it might seem over-configured if compared to the average compression power, hence the relatively low CEPR values. Finally, in order to support the current assessment of the instantaneous power, considerations about the control system for piston movement inversion are reported. Full article
(This article belongs to the Topic Hydrogen Energy Technologies, 3rd Edition)
Show Figures

Figure 1

54 pages, 3186 KB  
Review
Hydrogen Compression Choices for Tomorrow’s Refueling Stations: Review of Recent Advances and Selection Guide
by Konstantinos Letsios, Nikolaos D. Charisiou, Georgios S. Skodras, Maria A. Goula and Savvas L. Douvartzides
Hydrogen 2026, 7(1), 25; https://doi.org/10.3390/hydrogen7010025 - 8 Feb 2026
Cited by 1 | Viewed by 3101
Abstract
As hydrogen mobility gains increasing importance, the number of hydrogen refueling stations (HRSs) worldwide is expanding rapidly. Hydrogen compression is a critical component of every HRS, exerting a direct and decisive influence on operability, performance, economic viability, downtime, safety, and public acceptance. Given [...] Read more.
As hydrogen mobility gains increasing importance, the number of hydrogen refueling stations (HRSs) worldwide is expanding rapidly. Hydrogen compression is a critical component of every HRS, exerting a direct and decisive influence on operability, performance, economic viability, downtime, safety, and public acceptance. Given this central role, this work presents a comprehensive overview of the hydrogen compression landscape, critically examining both conventional mechanical systems—such as piston and diaphragm compressors—and emerging non-mechanical technologies, including electrochemical and metal hydride compressors. The analysis also addresses novel hybrid approaches that combine methods to exploit their respective strengths. Each technology is assessed against a consistent set of practical criteria, encompassing not only fundamental performance metrics such as maximum discharge pressure and flow capacity but also key considerations relevant to real-world deployment. This review provides a detailed comparison of all hydrogen compression technologies with respect to energy efficiency, maintenance needs and intervals, capital expenditures (CAPEX), operating expenditures (OPEX), and Technology Readiness Level (TRL). Additional factors—including physical size, noise levels, and effects on hydrogen purity—are also evaluated, as they strongly influence the suitability for applications in urban or remote areas. By synthesizing recent scientific literature, industry data, and applicable technical standards, this work develops a structured multi-criteria framework that translates technical insights into practical guidance and a clear technology selection roadmap. The overarching objective is to equip engineers, station developers, operators, and policymakers with the knowledge needed to make informed and optimized decisions about hydrogen compression during HRS planning and design. Full article
Show Figures

Figure 1

31 pages, 4057 KB  
Article
Cold Start Optimization Study of PEMFC Low Temperature Coolant-Assisted Heating Based on CAB-Net and LO-WOA
by Xinshu Yu, Jingyi Zhang, Jie Zhang, Sihan Chen, Yifan Lu and Dongji Xuan
Hydrogen 2026, 7(1), 24; https://doi.org/10.3390/hydrogen7010024 - 6 Feb 2026
Viewed by 663
Abstract
Proton Exchange Membrane Fuel Cells (PEMFCs) are highly valued for their zero emissions, low noise, and environmentally friendly characteristics. However, they face substantial difficulties when starting up in low-temperature conditions. Coolant-assisted heating is usually more effective than other methods because of its fast [...] Read more.
Proton Exchange Membrane Fuel Cells (PEMFCs) are highly valued for their zero emissions, low noise, and environmentally friendly characteristics. However, they face substantial difficulties when starting up in low-temperature conditions. Coolant-assisted heating is usually more effective than other methods because of its fast speed, high heat transfer efficiency, and simple structure. This study developed a three-dimensional multiphase non-isothermal PEMFC cold start model with coolant-assisted heating. Key parameters, including heat consumption rate, coolant flow rate, load current slope, initial membrane water content, catalyst layer porosity, and gas diffusion layer porosity, were selected as optimization variables. A Convolutional Neural Network–Attention Mechanism–Bidirectional Long Short-Term Memory Neural Network (CAB-Net) was employed as a surrogate model to predict the ice volume fraction during the cold start process. The CAB-Net model was further integrated with the Lexicographic Ordered Whale Optimization Algorithm (LO-WOA) to identify the optimal combination of parameters. The optimization aimed to minimize the maximum ice volume fraction (MIVF) in the Cathode Catalyst Layer (CCL) and reduce the energy consumption required to reach this fraction. The optimization results revealed that, compared to the baseline model (MIVF = 0.4519, energy consumption = 0.77264 J), the MIVF was reduced to 0.1471, representing a 67.45% decrease, while energy consumption was reduced to 0.70299 J, achieving a 9.01% decrease. The results underscore the efficacy of the proposed strategy in enhancing cold start performance under low-temperature conditions. Full article
(This article belongs to the Special Issue Hydrogen and Fuel Cell Technologies: A Clean Energy Pathway)
Show Figures

Figure 1

33 pages, 6733 KB  
Review
Contribution of Severe Plastic Deformation via High-Pressure Torsion to the Hydrogen Cycle: From Hydrogen Production and Storage to Hydrogen Embrittlement
by Kaveh Edalati
Hydrogen 2026, 7(1), 23; https://doi.org/10.3390/hydrogen7010023 - 4 Feb 2026
Viewed by 823
Abstract
Hydrogen is a key energy carrier for achieving carbon neutrality, yet its widespread deployment is hindered by challenges associated with efficient hydrogen production, safe and reversible hydrogen storage, and hydrogen-induced embrittlement. Severe plastic deformation processes, particularly high-pressure torsion (HPT), have emerged as a [...] Read more.
Hydrogen is a key energy carrier for achieving carbon neutrality, yet its widespread deployment is hindered by challenges associated with efficient hydrogen production, safe and reversible hydrogen storage, and hydrogen-induced embrittlement. Severe plastic deformation processes, particularly high-pressure torsion (HPT), have emerged as a powerful approach capable of addressing these challenges through extreme grain refinement, defect engineering, phase stabilization far from equilibrium, and synthesis of novel materials. This article reviews the impact of HPT on hydrogen-related materials, covering hydrogen production, hydrogen storage, and hydrogen embrittlement resistance. For hydrogen production, HPT enables the synthesis of nanostructured, defect-rich, and compositionally complex compounds, including high-entropy oxides and oxynitrides, which exhibit enhanced hydrolytic, electrocatalytic, photocatalytic, photoelectrocatalytic, and photoreforming performance. For hydrogen storage, HPT fundamentally modifies hydrogenation activation and kinetics, and modifies thermodynamics by hydrogen binding energy engineering, enabling reversible hydrogen storage at room temperature in systems such as Mg-based and high-entropy alloys. For hydrogen embrittlement resistance, HPT under optimized conditions suppresses hydrogen-assisted fracture by engineering ultrafine grains and defects (vacancies, dislocations, Lomer–Cottrell locks, D-Frank partial dislocations, stacking faults, twins, and grain boundaries) that control hydrogen diffusion, trapping, and strain localization. By integrating insights across these three domains, this article highlights HPT as a transformative strategy for developing next-generation hydrogen materials and identifies key opportunities for future research at the intersection of severe plastic deformation and hydrogen technologies. Full article
(This article belongs to the Topic Advances in Hydrogen Energy)
Show Figures

Figure 1

22 pages, 2660 KB  
Article
Reliable and Economically Viable Green Hydrogen Infrastructures—Challenges and Applications
by Przemyslaw Komarnicki
Hydrogen 2026, 7(1), 22; https://doi.org/10.3390/hydrogen7010022 - 2 Feb 2026
Cited by 1 | Viewed by 1511
Abstract
The smart grid concept is based on the full integration of different types of energy sources and intelligent devices. Due to the short- and long-term volatility of these sources, new flexibility measures are necessary to ensure the smart grid operates stably and reliably. [...] Read more.
The smart grid concept is based on the full integration of different types of energy sources and intelligent devices. Due to the short- and long-term volatility of these sources, new flexibility measures are necessary to ensure the smart grid operates stably and reliably. One option is to convert renewable energy into hydrogen, especially during periods of generation overcapacity, in order that the hydrogen that is produced can be stored effectively and used “just in time” to stabilize the power system by undergoing a reverse conversion process in gas turbines or fuel cells which then supply power to the network. On the other hand, in order to achieve a sustainable general energy system (GES), it is necessary to replace other forms of fossil energy use, such as that used for heating and other industrial processes. Research indicates that a comprehensive hydrogen supply infrastructure is required. This infrastructure would include electrolyzers, conversion stations, pipelines, storage facilities, and hydrogen gas turbines and/or fuel cell power stations. Some studies in Germany suggest that the existing gas infrastructure could be used for this purpose. Further, nuclear and coal power plants are not considered reserve power plants (as in the German case), and an additional 20–30 GW of generation capacity in H2-operated gas turbines and strong H2 transportation infrastructure will be required over the next 10 years. The novelty of the approach presented in this article lies in the development of a unified modeling framework that enables the simultaneous and coherent representation of both economic and technical aspects of hydrogen production systems which will be used for planning and pre-decision making. From the technical perspective, the model, based on the black box approach, captures the key operational characteristics of hydrogen production, including energy consumption, system efficiency, and operational constraints. In parallel, the economic layer incorporates capital expenditures (CAPEX), operational expenditures (OPEX), and cost-related performance indicators, allowing for a direct linkage between technical operation and economic outcomes. This paper describes the systematic transformation from today’s power system to one that includes a hydrogen economy, with a particular focus on practical experiences and developments, especially in the German energy system. It discusses the components of this new system in depth, focusing on current challenges and applications. Some scaled current applications demonstrate the state of the art in this area, including not only technical requirements (reliability, risks) and possibilities, but also economic aspects (cost, business models, impact factors). Full article
Show Figures

Figure 1

20 pages, 3214 KB  
Article
Kinetics of Isothermal and Non-Isothermal Pre-Reduction of Chromite with Hydrogen
by Mopeli Ishmael Khama, Beberto Myth Vunene Baloyi, Quinn Gareth Reynolds, Buhle Sinaye Xakalashe and Deshenthree Chetty
Hydrogen 2026, 7(1), 21; https://doi.org/10.3390/hydrogen7010021 - 1 Feb 2026
Viewed by 688
Abstract
Production of ferrochrome alloy is carried out using carbon as a reductant in a Submerged Arc Furnace (SAF). Carbothermic reduction of chromite ore results in high CO2 emissions, and alternative reductants such as H2, wherein H2O is the [...] Read more.
Production of ferrochrome alloy is carried out using carbon as a reductant in a Submerged Arc Furnace (SAF). Carbothermic reduction of chromite ore results in high CO2 emissions, and alternative reductants such as H2, wherein H2O is the only by-product, have become attractive potential alternatives. Before utilizing H2 as a reductant, it is crucial to carry out a comprehensive study on the reaction kinetics with the view to aid the design and operation of reactors that facilitate the reduction process. The current study determined the kinetic parameters for isothermal and non-isothermal pre-reduction of chromite with H2 in a thermogravimetric furnace. Results from powder X-ray diffraction and scanning electron microscopy determined the mineralogical variations between the feed and the pre-reduced samples, as well as the variation between isothermally and non-isothermally treated samples. The mass loss data indicates that longer reduction times are required to reach complete reduction. The apparent activation energy for the isothermal and non-isothermal pre-reduction tests was found to be 105 and 124 kJ/mol, respectively. The mineralogical observations for pre-reduced samples at 1300 °C and 1500 °C showed that samples treated at lower temperatures (1300 °C) displayed consistent textures and Fe-Cr droplets along rims of partially altered chromite (PAC), which suggested higher metallization at this temperature. Higher temperatures (1500 °C), on the other hand, resulted in poor metallization, possibly because higher temperatures are often associated with a collapsed pore network, which results in poor diffusion rates, thus hindering complete reduction. Full article
Show Figures

Figure 1

22 pages, 3650 KB  
Review
Combustion Characteristics of Hydrogen-Enriched Natural Gas with a Focus on Residential Appliances: A Review
by Theodor Mihnea Sîrbu, Cristi Emanuel Iolu and Tudor Prisecaru
Hydrogen 2026, 7(1), 20; https://doi.org/10.3390/hydrogen7010020 - 30 Jan 2026
Cited by 1 | Viewed by 1066
Abstract
This review examines the combustion characteristics of hydrogen-enriched natural gas with a specific focus on residential appliances, where safety, efficiency, and emission performance are critical. Drawing on experimental studies, numerical simulations, and regulatory considerations, the paper synthesizes current knowledge on how hydrogen addition [...] Read more.
This review examines the combustion characteristics of hydrogen-enriched natural gas with a specific focus on residential appliances, where safety, efficiency, and emission performance are critical. Drawing on experimental studies, numerical simulations, and regulatory considerations, the paper synthesizes current knowledge on how hydrogen addition influences flame stability, flashback phenomenon, thermal efficiency, pollutant formation, and flame geometry. Results across cooktop burners, boilers, and other domestic systems show that moderate hydrogen blending not only can reduce CO and CO2 emissions and enhance combustion efficiency but also can increase burning velocity, diffusivity, and flame temperature, thereby elevating flashback and NOx risks. The review highlights the blending limits, design adaptations, and operational strategies required to ensure safe and effective integration of hydrogen into residential gas infrastructures, supporting its role as a transitional low-carbon fuel. Full article
(This article belongs to the Special Issue Hydrogen for a Clean Energy Future)
Show Figures

Figure 1

24 pages, 2380 KB  
Article
Gas Flow Metering Using National Standards and Gas Mixtures Containing Hydrogen
by Maxime Mussard, Marc De Huu, Rémy Maury, Loucie Cirkeline Nordhjort Mjølna, Tomáš Valenta, Mahdi Sadri, Eric Starke, Pieter Pinson, Marcel Workamp and Adriaan M. H. van der Veen
Hydrogen 2026, 7(1), 19; https://doi.org/10.3390/hydrogen7010019 - 28 Jan 2026
Viewed by 711
Abstract
We present the first European intercomparison of primary flow measurement standards with hydrogen-enriched natural gas (up to 20% hydrogen in molar fraction) and natural gas with pressure up to 60 bar and volume flow rates in the range (5 to 160) m3 [...] Read more.
We present the first European intercomparison of primary flow measurement standards with hydrogen-enriched natural gas (up to 20% hydrogen in molar fraction) and natural gas with pressure up to 60 bar and volume flow rates in the range (5 to 160) m3/h. We describe the principles of operation of the primary standards and present the transfer standards, a rotary meter and an ultrasonic meter, used for the intercomparison. In many instances, the overlap between the different laboratories is satisfactory, but the collected results are limited and do not allow us to make advanced conclusions. In addition, we investigate the effect of nitrogen impurities (2% in molar fraction) on the performance of low-pressure gas meters for pure hydrogen using newly developed measurement standards. We present the methods and results of this investigation. We show that nitrogen impurities affect the volume flow measurements of an ultrasonic meter but seem to have little effect on a thermal mass flow meter. This paper explores future opportunities and challenges in international intercomparisons involving hydrogen blends and highlights key issues and solutions with hydrogen gas metering in the presence of impurities. Full article
Show Figures

Figure 1

23 pages, 3874 KB  
Article
Hysteresis in Precipitation–Dissolution Cycling of Hydrides in Zirconium Alloys Is an Illusion
by Glenn McRae and Christopher Coleman
Hydrogen 2026, 7(1), 18; https://doi.org/10.3390/hydrogen7010018 - 28 Jan 2026
Viewed by 1198
Abstract
Experimental results are compiled to show apparent hysteresis seen in hydride thermal precipitation–dissolution cycling in zirconium alloys using X-ray diffraction, dynamic elastic modulus techniques, and differential scanning calorimetry (DSC). Gibbs’ phase rule is used to justify a description of a stable hydride in [...] Read more.
Experimental results are compiled to show apparent hysteresis seen in hydride thermal precipitation–dissolution cycling in zirconium alloys using X-ray diffraction, dynamic elastic modulus techniques, and differential scanning calorimetry (DSC). Gibbs’ phase rule is used to justify a description of a stable hydride in the H-Zr system in terms of a control volume with a hydride at its core, surrounded by a stress gradient that produces a stabilizing gradient of hydrogen in the solution. The conditions for a stable hydride are derived when the flux of hydrogen in solid solution is zero. DSC heat flow curves are analyzed with a thermodynamic model that predicts concentrations of hydrogen in a solution during temperature cycling and a description of experimental results that show how concentrations evolve at a constant temperature to the same final state when cycling is paused, from which hysteresis is deemed an illusion. The control volume is supported by previous energy calculations, performed with density functional theory. Implications of replacing the order parameter for phase field methods with the gradient of the yield stress are discussed. A practical method for forming a stable hydride is presented. Full article
(This article belongs to the Special Issue Atomic and Molecular Clusters for Hydrogen Storage)
Show Figures

Figure 1

10 pages, 24399 KB  
Communication
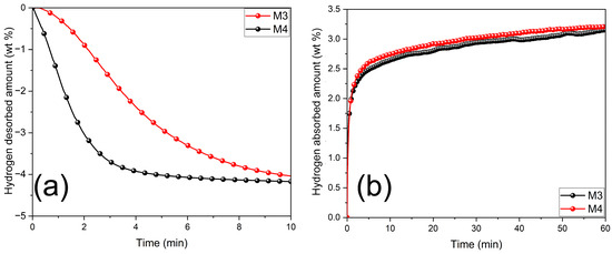
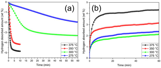
A Scalable Strategy for Enhancing MgH2 Hydrogen Storage: Pre-Hydrogenation and Catalyst Integration
by Robinson Aguirre Ocampo, Julian Arias-Velandia, Julian A. Lenis, Alejandro A. Zuleta Gil, Sindy Bello, Esteban Correa, Carlos E. Arrieta, Francisco J. Bolívar and Félix Echeverria Echeverria
Hydrogen 2026, 7(1), 17; https://doi.org/10.3390/hydrogen7010017 - 26 Jan 2026
Cited by 2 | Viewed by 940
Abstract
Magnesium has significant potential for hydrogen storage in the solid state because its capacity is about 7.6 wt%. However, the high stability of magnesium hydride requires operating temperatures superior to 380 °C for hydrogen release. It is well known that Ni could catalyze [...] Read more.
Magnesium has significant potential for hydrogen storage in the solid state because its capacity is about 7.6 wt%. However, the high stability of magnesium hydride requires operating temperatures superior to 380 °C for hydrogen release. It is well known that Ni could catalyze the hydrogen absorption and desorption in magnesium. In this study, carbon-coated nickel nanoparticles were employed as catalysts to enhance the hydrogen absorption and desorption kinetics of pre-hydrogenated magnesium particles. The carbon-coated nickel nanoparticles were uniformly dispersed across the surface of the pre-hydrogenated magnesium particles. In dehydrogenation at 375 °C and 350 °C, the best sample desorbs 4.90 and 4.1 wt%, respectively, in 10 min. After 45 cycles at 375 °C, the hydrogen desorption capacity is 4.91 wt%, indicating a retention capacity of 100%. Our results demonstrate that carbon-coated nickel nanoparticles can be effectively incorporated into pre-hydrogenated magnesium without the need for ball milling, significantly enhancing hydrogen absorption and desorption performance. Full article
Show Figures

Figure 1

61 pages, 2678 KB  
Review
Technological Trends in Ammonia-to-Hydrogen Production: Insights from a Global Patent Review
by Miza Syahmimi Haji Rhyme, Dk Nur Hayati Amali Pg Haji Omar Ali, Hazwani Suhaimi and Pg Emeroylariffion Abas
Hydrogen 2026, 7(1), 16; https://doi.org/10.3390/hydrogen7010016 - 23 Jan 2026
Cited by 2 | Viewed by 1973
Abstract
With rising demand for clean energy and uncertainty surrounding large-scale renewable deployment, ammonia has emerged as a viable carrier for hydrogen storage and transportation. This study conducts a global patent-based analysis of ammonia-to-hydrogen production technologies to determine technological maturity, dominant design pathways, and [...] Read more.
With rising demand for clean energy and uncertainty surrounding large-scale renewable deployment, ammonia has emerged as a viable carrier for hydrogen storage and transportation. This study conducts a global patent-based analysis of ammonia-to-hydrogen production technologies to determine technological maturity, dominant design pathways, and emerging innovation trends. A statistically robust retrieval, screening, and classification process, based on the PRISMA guidelines, was employed to screen, sort, and analyze 708 relevant patent families systematically. Patent families were categorized according to synthesis processes, catalyst types, and technological fields. The findings indicate that electrochemical, plasma-based, photocatalytic, and hybrid systems are being increasingly investigated as alternatives to low-temperature processes. At the same time, thermal catalytic cracking remains the most established and widely used method. Significant advances in reactor engineering, system integration, and catalyst design have been observed, especially in Asia. While national hydrogen initiatives, such as those in Brunei, highlight the policy importance of ammonia-based hydrogen systems, the findings primarily provide a global overview of technological maturity and innovation trajectories, thereby facilitating long-term transitions to cleaner hydrogen pathways. Full article
Show Figures

Figure 1

21 pages, 1523 KB  
Article
Game-Theoretic Assessment of Grid-Scale Hydrogen Energy Storage Adoption in Island Grids of the Philippines
by Alvin Garcia Palanca, Cherry Lyn Velarde Chao, Kristian July R. Yap and Rizalinda L. de Leon
Hydrogen 2026, 7(1), 15; https://doi.org/10.3390/hydrogen7010015 - 22 Jan 2026
Cited by 1 | Viewed by 963
Abstract
This study introduces an integrated Life Cycle Assessment–Multi-Criteria Decision Analysis–Nash Equilibrium (LCA–MCDA–NE) framework to assess the feasibility of hydrogen energy storage (HES) in Philippine island grids. It starts with a cradle-to-gate LCA of hydrogen production across various electricity mix scenarios, from diesel-dominated Small [...] Read more.
This study introduces an integrated Life Cycle Assessment–Multi-Criteria Decision Analysis–Nash Equilibrium (LCA–MCDA–NE) framework to assess the feasibility of hydrogen energy storage (HES) in Philippine island grids. It starts with a cradle-to-gate LCA of hydrogen production across various electricity mix scenarios, from diesel-dominated Small Power Utilities Group (SPUG) systems to high-renewable configurations, quantifying greenhouse gas emissions. These impacts are normalized and integrated into an MCDA framework that considers four stakeholder perspectives: Regulatory (PRF), Developer (DF), Scientific (SF), and Local Social (LSF). Attribute utilities for Maintainability, Energy Efficiency, Geographic–Climatic Suitability, and Regulatory Compliance inform a 2 × 2 strategic game where net utility gain (Δ) and switching costs (C1, C2) influence adoption behavior. The findings indicate that the baseline Nash Equilibrium favors non-adoption due to limited utility gains and high switching barriers. However, enhancements in Maintainability and reduced costs can shift this equilibrium toward adoption. The LCA results show that meaningful decarbonization occurs only when low-carbon generation exceeds 60% of the electricity mix. This integrated framework highlights that successful HES deployment in remote grids relies on stakeholder coordination, reduced risks, and access to low-carbon electricity, offering a replicable model for emerging economies. Full article
Show Figures

Figure 1

34 pages, 1200 KB  
Review
The Role of Hydrogen in Energy Communities: Current Status, Challenges, and Future Developments
by Néstor Velaz-Acera, Cristina Sáez Blázquez, Víctor Casado-Lorenzo and Susana Lagüela
Hydrogen 2026, 7(1), 14; https://doi.org/10.3390/hydrogen7010014 - 19 Jan 2026
Viewed by 1176
Abstract
Renewable hydrogen has become a versatile technology that can play a key role in the deployment of energy communities, although technological, economic, environmental, legal, and social challenges remain to be addressed. This study conducts a systematic review based on the Preferred Reporting Items [...] Read more.
Renewable hydrogen has become a versatile technology that can play a key role in the deployment of energy communities, although technological, economic, environmental, legal, and social challenges remain to be addressed. This study conducts a systematic review based on the Preferred Reporting Items for Systematic Reviews and Meta-Analysis (PRISMA) methodology that analyzes the current state of technologies, the different applications, challenges and limitations, and future lines of research related to the enabling role of hydrogen in energy communities. Results from the bibliometric analysis show sustained growth in the number of publications over the last five years (2020–2025), with a predominance of applications in which hydrogen is combined with other energy carriers (58%). The versatility of hydrogen has prompted the evaluation of different applications, with particular emphasis on energy storage to capitalize on energy surpluses (51%), mobility (19%), and heating (20%). The main existing barriers come from the absence of stable long-term regulation, interoperability between components and technologies, and a lack of real data. Overcoming these challenges should be based on new technologies such as artificial intelligence and the construction and operation of pilot projects. In addition, a Strengths, Weaknesses, Opportunities and Threats (SWOT) analysis has been conducted building upon the SHARED-H2 SUDOE project, yielding particularly insightful results through the active involvement of stakeholders in the preparatory process. Based on all the points given above, the research concludes that it is necessary to improve long-term policies and increase training at all levels aimed at active end-user participation and a profound restructuring of the energy system. Full article
Show Figures

Figure 1

Previous Issue
Next Issue
Back to TopTop