New Technique to Improve the Ductility of Steel Beam to Column Bolted Connections: A Numerical Investigation
Abstract
:1. Introduction
2. FE Model
3. Numerical Investigation
- Thickness of the end plate (thick/thin).
- Bolt spacing.
- Thickness of the sleeve wall.
- Length of the sleeve.
3.1. Performance of Connections with Thick End Plate
3.2. Behaviour of Connections with a Thin End Plate
3.3. Effect of Bolt Spacing
3.4. Effect of Sleeve Thickness
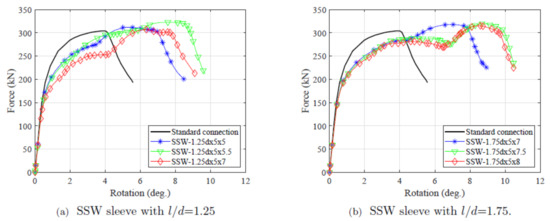
3.5. Effect of the Sleeve Length
4. Conclusions
- Thickness of the end plate (thick/thin).
- Bolt spacing.
- Sleeve thickness.
- Length of the sleeve.
- In the case of the tighter bolt distances, the rotational capacity reduced and this reduction was attributed to the geometric constraint rather than the sleeve parameters.
- A simplified equation was presented to evaluate the optimum sleeve length which provided a particular rotation capacity.
- Finally, increasing the sleeve thickness does not add any benefits to the connection performance, hence it is recommended to use the minimum acceptable sleeve thickness as the larger thickness consumes higher quantities of material.
Author Contributions
Funding
Conflicts of Interest
References
- Kiakojouri, F.; de Biagi, V.; Chiaia, B.; Sheidaii, M.R. Progressive collapse of framed building structures: Current knowledge and future prospects. Eng. Struct. 2020, 206, 110061. [Google Scholar] [CrossRef]
- Chen, C.; Qiao, H.; Wang, J.; Chen, Y. Progressive collapse behavior of joints in steel moment frames involving reduced beam section. Eng. Struct. 2020, 225, 111297. [Google Scholar] [CrossRef]
- Galal, M.A.; Bandyopadhyay, M.; Banik, A.K. Vulnerability of Three-Dimensional Semirigid Composite Frame Subjected to Progressive Collapse. J. Perform. Constr. Facil. 2019, 33. [Google Scholar] [CrossRef]
- Wang, Y.C.; Dai, X.H.; Bailey, C.G. An experimental study of relative structural fire behaviour and robustness of different types of steel joint in restrained steel frames. J. Constr. Steel Res. 2011, 67, 1149–1163. [Google Scholar] [CrossRef]
- Suwondo, R.; Gillie, M.; Cunningham, L.; Bailey, C. Effect of earthquake damage on the behaviour of composite steel frames in fire. Adv. Struct. Eng. 2018, 21, 2589–2604. [Google Scholar] [CrossRef] [Green Version]
- Suwondo, R.; Cunningham, L.; Gillie, M.; Bailey, C. Progressive collapse analysis of composite steel frames subject to fire following earthquake. Fire Saf. J. 2019, 103, 49–58. [Google Scholar] [CrossRef] [Green Version]
- Kim, Y.J.; Oh, S.H.; Moon, T.S. Seismic behavior and retrofit of steel moment connections considering slab effects. Eng. Struct. 2004, 26, 1993–2005. [Google Scholar] [CrossRef]
- Lee, C.H.; Jeon, S.W.; Kim, J.H.; Uang, C.M. Effects of Panel Zone Strength and Beam Web Connection Method on Seismic Performance of Reduced Beam Section Steel Moment Connections. J. Struct. Eng. 2005, 131, 1854–1865. [Google Scholar] [CrossRef]
- Shaheen, M.A.; Tsavdaridis, K.D.; Yamada, S. Comprehensive FE Study of the Hysteretic Behaviour of Steel-Concrete Composite and Non-Composite RWS Beam-to-Column Connections. J. Struct. Eng. 2018, 144, 1–13. [Google Scholar] [CrossRef]
- Wang, M.; Wang, P. Strategies to increase the robustness of endplate beam-column connections in fire. J. Constr. Steel Res. 2013, 80, 109–120. [Google Scholar] [CrossRef]
- Liu, Y.; Huang, S.S.; Burgess, I. Investigation of a steel connection to accommodate ductility demand of beams in fire. J. Constr. Steel Res. 2019, 157, 182–197. [Google Scholar] [CrossRef]
- James, A.S.; Roberto, T.L. Bolted steel connections: Tests on T-stub components. J. Struct. Eng. 2000, 126, 91–99. [Google Scholar]
- Silva, L.S.; Santiago, A.; Real, P.V. A component model for the behaviour of steel joints at elevated temperatures. J. Constr. Steel Res. 2001, 57, 1169–1195. [Google Scholar] [CrossRef]
- BSI. BS EN 1993-1-8:2005—Eurocode 3: Design of Steel Structures—Part 1–8: Design of Joints; British Standard Institute (BSI): London, UK, 2005. [Google Scholar] [CrossRef]
- Beg, D.; Zupančič, E.; Vayas, I. On the rotation capacity of moment connections. J. Constr. Steel Res. 2004, 60, 601–620. [Google Scholar] [CrossRef]
- Shaheen, M.A.; Foster, A.S.J.; Cunningham, L.S.; Afshan, S. A numerical investigation into stripping failure of bolt assemblies at elevated temperatures. Structures 2020, 27, 1458–1466. [Google Scholar] [CrossRef]
- CEN. BS EN 1993-1-2:2005—Eurocode 3: Design of Steel Structures—Part 1–2: General Rules—Structural Fire Design, Eurocode 3; European Committee for Standardisation: London, UK, 2005. [Google Scholar]
- Shaheen, M.A.; Andrew, A.S.; Cunningham, L.S. A novel device to improve robustness of end plate beam-column connections. Structures 2020, 28, 2415–2423. [Google Scholar] [CrossRef]
- STimoshenko, P.; Gere, J.M. Theory of Elastic Stability, 2nd ed.; McGraw-Hill: New York, NY, USA, 1963. [Google Scholar]
- ABAQUS. Abaqus 6.19; Dassault Systèmes Simulia Corp.: Johnston, RI, USA, 2019. [Google Scholar]
- Moradi, S.; Alam, M.S. Finite-Element Simulation of Posttensioned Steel Connections with Bolted Angles under Cyclic Loading. J. Struct. Eng. 2016. [Google Scholar] [CrossRef]
- CEN. BS EN 1993-1-2:1995—Eurocode 3: Design of Steel Structures—Part 1–2: General Rules—Structural Fire Design, Eurocode 3; European Committee for Standardisation: London, UK, 1995. [Google Scholar]
- Yu, H.; Burgess, I.W.; Davison, J.B.; Plank, R.J. Experimental and Numerical Investigations of the Behavior of Flush End Plate Connections at Elevated Temperatures. J. Struct. Eng. 2011, 137, 80–87. [Google Scholar] [CrossRef]
- Pavlović, M.; Marković, Z.; Veljković, M.; Signevac, D.B.D. Bolted shear connectors vs. headed studs behaviour in push-out tests. J. Constr. Steel Res. 2013, 88, 134–149. [Google Scholar] [CrossRef]
- Qiang, X.; Bijlaard, F.; Kolstein, H.; Twilt, L. Numerical analysis of high strength steel endplate connections at ambient and elevated temperatures. J. Struct. Fire Eng. 2013, 4, 143–152. [Google Scholar] [CrossRef]
- AISC 360-16, Specification for Structural Steel Buildings ANSI/AISC 360-16. An American National Standard 2016. Available online: https://www.aisc.org/globalassets/aisc/publications/standards/a360-16w-rev-june-2019.pdf (accessed on 8 October 2021).













| D | upl |
|---|---|
| 0.000 | 0.00000 |
| 0.010 | 0.01894 |
| 0.020 | 0.04077 |
| 0.030 | 0.06507 |
| 0.040 | 0.09171 |
| 0.050 | 0.12066 |
| 0.060 | 0.15192 |
| 0.070 | 0.18558 |
| 0.080 | 0.22172 |
| 0.090 | 0.26050 |
| 0.100 | 0.30210 |
| 0.110 | 0.34674 |
| 0.120 | 0.39474 |
| 0.130 | 0.44646 |
| 0.140 | 0.50238 |
| 0.150 | 0.56313 |
| 0.160 | 0.62951 |
| 0.170 | 0.70267 |
| 0.180 | 0.78416 |
| 0.190 | 0.87632 |
| 0.200 | 0.98280 |
| 0.900 | 1.16609 |
| D | upl |
|---|---|
| 0.000 | 0.00000 |
| 0.037 | 0.00516 |
| 0.074 | 0.01126 |
| 0.111 | 0.01821 |
| 0.148 | 0.02601 |
| 0.186 | 0.03469 |
| 0.223 | 0.04432 |
| 0.260 | 0.05497 |
| 0.297 | 0.06677 |
| 0.334 | 0.07986 |
| 0.371 | 0.09447 |
| 0.901 | 0.15576 |
| Specimen (SSW) | P/Ptrad | R/Rtrad | Specimen (SSW) | P/Ptrad | R/Rtrad |
|---|---|---|---|---|---|
| 0.5d×5×1 | 1.02 | 1.37 | 1.25d×5×1 | 1.03 | 1.61 |
| 0.5d×5×3 | 1.02 | 1.39 | 1.25d×5×3 | 1.04 | 1.82 |
| 0.5d×5×4 | 1.02 | 1.49 | 1.25d×5×4 | 1.05 | 1.90 |
| 0.5d×5×5 | 1.03 | 1.53 | 1.25d×5×5 | 1.04 | 1.83 |
| 0.5d×5×6 | 1.03 | 1.60 | 1.25d×5×6 | 1.07 | 2.32 |
| 0.5d×5×7 | 1.02 | 1.56 | 1.25d×5×7 | 1.05 | 2.04 |
| 0.75d×5×1 | 1.02 | 1.46 | 1.5d×5×1 | 1.03 | 1.60 |
| 0.75d×5×3 | 1.03 | 1.63 | 1.5d×5×3 | 1.04 | 1.72 |
| 0.75d×5×4 | 1.04 | 1.82 | 1.5d×5×4 | 1.05 | 1.91 |
| 0.75d×5×5 | 1.03 | 1.69 | 1.5d×5×5 | 1.05 | 2.03 |
| 0.75d×5×6 | 1.02 | 1.74 | 1.5d×5×6 | 1.05 | 1.95 |
| 0.75d×5×7 | 1.01 | 1.73 | 1.5d×5×7 | 1.07 | 2.46 |
| 1d×5×1 | 1.03 | 1.55 | 1.75d×5×1 | 1.03 | 1.61 |
| 1d×5×3 | 1.04 | 1.79 | 1.75d×5×3 | 1.04 | 1.73 |
| 1d×5×4 | 1.04 | 1.80 | 1.75d×5×4 | 1.04 | 1.81 |
| 1d×5×5 | 1.04 | 1.94 | 1.75d×5×5 | 1.05 | 2.03 |
| 1d×5×6 | 1.02 | 1.86 | 1.75d×5×6 | 1.05 | 1.95 |
| 1d×5×7 | 1.02 | 1.92 | 1.75d×5×7 | 1.06 | 2.19 |
Publisher’s Note: MDPI stays neutral with regard to jurisdictional claims in published maps and institutional affiliations. |
© 2021 by the authors. Licensee MDPI, Basel, Switzerland. This article is an open access article distributed under the terms and conditions of the Creative Commons Attribution (CC BY) license (https://creativecommons.org/licenses/by/4.0/).
Share and Cite
Shaheen, M.A.; Galal, M.A.; Cunningham, L.S.; Foster, A.S.J. New Technique to Improve the Ductility of Steel Beam to Column Bolted Connections: A Numerical Investigation. CivilEng 2021, 2, 929-942. https://doi.org/10.3390/civileng2040050
Shaheen MA, Galal MA, Cunningham LS, Foster ASJ. New Technique to Improve the Ductility of Steel Beam to Column Bolted Connections: A Numerical Investigation. CivilEng. 2021; 2(4):929-942. https://doi.org/10.3390/civileng2040050
Chicago/Turabian StyleShaheen, Mohamed A., Mohamed Ahmed Galal, Lee S. Cunningham, and Andrew S. J. Foster. 2021. "New Technique to Improve the Ductility of Steel Beam to Column Bolted Connections: A Numerical Investigation" CivilEng 2, no. 4: 929-942. https://doi.org/10.3390/civileng2040050
APA StyleShaheen, M. A., Galal, M. A., Cunningham, L. S., & Foster, A. S. J. (2021). New Technique to Improve the Ductility of Steel Beam to Column Bolted Connections: A Numerical Investigation. CivilEng, 2(4), 929-942. https://doi.org/10.3390/civileng2040050

