Synthesis and Characterization of a Self-Crosslinked Organic Copolymer Kappa-Carrageenan/Polyacrylamide/Cetrimide (κ-CAR/PAAm/CI) Hydrogel with Antimicrobial and Anti-Inflammatory Activities for Wound Healing
Abstract
:1. Introduction
2. Materials and Methods
2.1. Materials
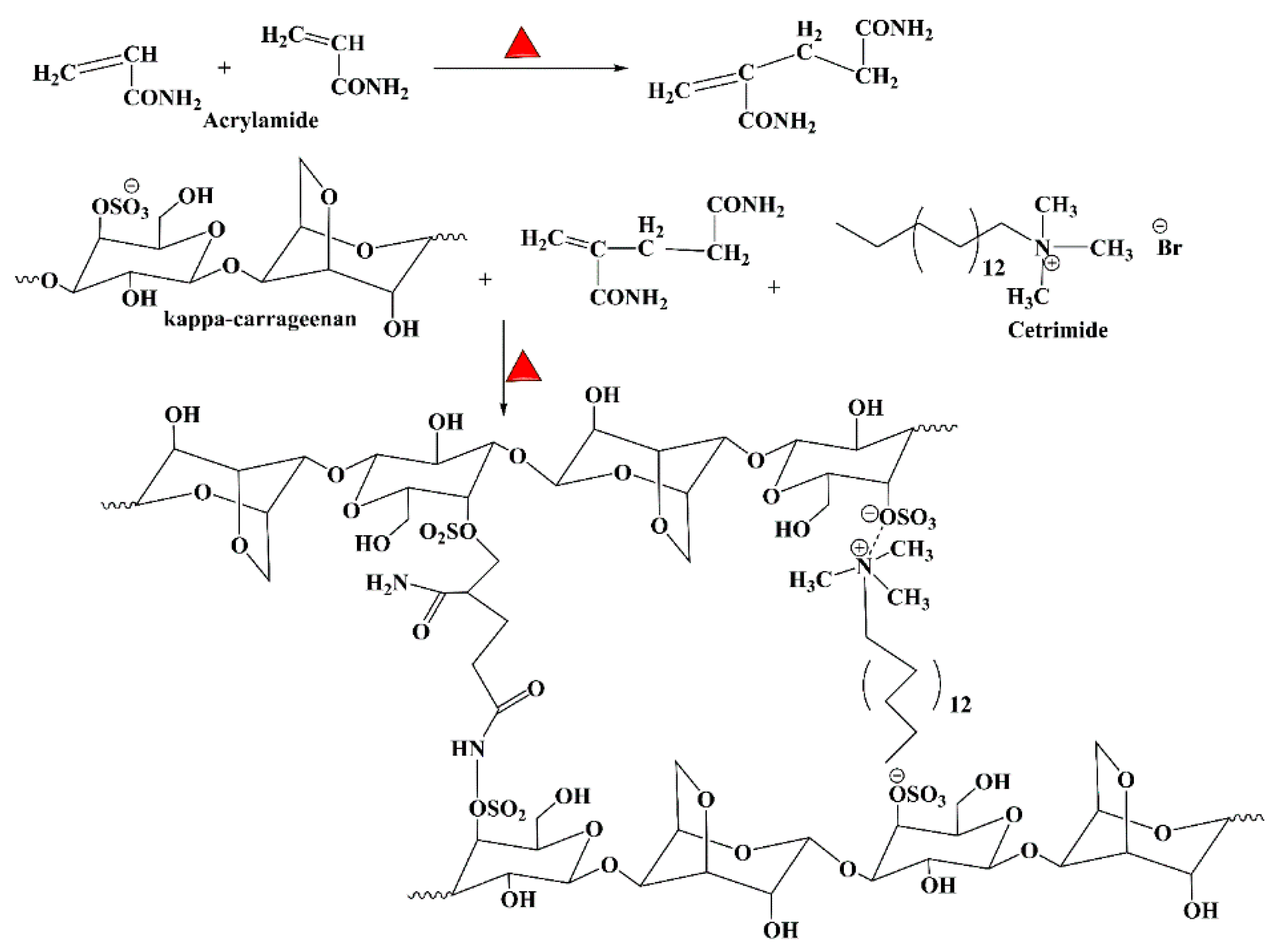
2.2. Preparation of κ-CAR/PAAm/CI Films
2.3. Fourier Transform Infrared Spectroscopy (FT-IR)
2.4. Thermal Gravimetric Analysis (TGA)
2.5. Mechanical Properties
2.6. Contact Angle Measurements
2.7. Antimicrobial Activity
2.8. Anti-Inflammatory Activity
2.9. In Vivo Wound Healing
2.9.1. Excision Wound Mode
2.9.2. Measurement of Wound Contraction
2.10. Statistical Analysis
3. Results and Discussion
3.1. Synthetic Route of κ-CAR/PAAm/CI Films
3.2. Spectral Analysis
3.3. Thermogravimetric Analysis (TGA)
3.4. Contact Angle
3.5. Mechanical Properties
3.6. Antimicrobial Activity
3.7. Anti-Inflammatory Activity
3.8. Wound Healing Activity of the Films
4. Conclusions
Author Contributions
Funding
Data Availability Statement
Acknowledgments
Conflicts of Interest
References
- Han, G.; Ceilley, R. Chronic wound healing: A review of current management and treatments. Adv. Ther. 2017, 34, 599–610. [Google Scholar] [CrossRef]
- Stan, D.; Marioara, A.; Roxana, A.; Nicolae-Bogdan, M.; Andreea, L.M.; Dana, S. Wound healing applications of creams and “smart” hydrogels. Exp. Dermatol. 2021, 30, 1218–1232. [Google Scholar] [CrossRef]
- Sahana, T.; Rekha, P. Biopolymers: Applications in wound healing and skin tissue engineering. Mol. Biol. Rep. 2018, 45, 2857–2867. [Google Scholar] [CrossRef]
- Nosrati, H.; Mohammad, K.; Zohreh, A.; Mehdi, B. Cationic, anionic and neutral polysaccharides for skin tissue engineering and wound healing applications. Int. J. Biol. Macromol. 2021, 192, 298–322. [Google Scholar] [CrossRef]
- Riha, S.M.; Maarof, M.; Fauzi, M.B. Synergistic effect of biomaterial and stem cell for skin tissue engineering in cutaneous wound healing: A concise review. Polymers 2021, 13, 1546–1574. [Google Scholar] [CrossRef]
- Yegappan, R.; Vignesh, S.; Sivashanmugam, A.; Jayakumar, R. Carrageenan based hydrogels for drug delivery, tissue engineering and wound healing. Carbohydr. Polym. 2018, 198, 385–400. [Google Scholar] [CrossRef] [PubMed]
- Santosh, S.B.; Pallavi, V.M.; Kaustubh, C.P.; Rohan, C.; Prachi, B.; Prajakta, D.; Ravindra, V.A. Cytotoxicity and hemostatic activity of chitosan/carrageenan composite wound healing dressing for traumatic hemorrhage. Carbohydr. Polym. 2020, 239, 116106. [Google Scholar]
- Neamtu, B.; Andreea, B.; Mihai, O.; Cristian, S.; Dragos, P.; Marius, Z.; Vioara, M. Carrageenan-Based Compounds as Wound Healing Materials. Int. J. Mol. Sci. 2022, 23, 9117–9137. [Google Scholar] [CrossRef]
- Mokhtari, H.; Shima, T.; Fereshteh, S.; Mahshid, K.; Hamid, R.; Seeram, R.; Filippo, B. Recent advances in chemically-modified and hybrid carrageenan-based platforms for drug delivery, wound healing, and tissue engineering. Polymers 2021, 13, 1744–1765. [Google Scholar] [CrossRef] [PubMed]
- Natalia, P.; Saddys, R.; Rebeca, B.; Luis, B.; Sandra, F.; Francisca, L. Carrageenan-based physically crosslinked injectable hydrogel for wound healing and tissue repairing applications. Int. J. Pharm. 2020, 589, 119828. [Google Scholar]
- Chauhan, P.S.; Saxena, A. Bacterial carrageenases: An overview of production and biotechnological applications. Biotech 2016, 6, 146–164. [Google Scholar] [CrossRef] [PubMed]
- Jessie, L.; Rashin, N.; Sławomir, D.; Kazimiera, A.; Cyrille, B.; Edgar, H.; Bronwyn, H.; Marta, K.; David, A. Incorporation and antimicrobial activity of nisin Z within carrageenan/chitosan multilayers. Sci. Rep. 2021, 11, 1690. [Google Scholar]
- Pereira, L. Seaweeds as source of bioactive substances and skin care therapy-cosmeceuticals, algotheraphy, and thalassotherapy. Cosmetics 2018, 5, 68. [Google Scholar] [CrossRef]
- Meng, W.; Huihua, H.; Xiaofeng, M.; Chaokang, H.; Xiaohong, P. Copper metal-organic framework embedded carboxymethyl chitosan-g-glutathione/polyacrylamide hydrogels for killing bacteria and promoting wound healing. Int. J. Biol. Macromol. 2021, 187, 699–709. [Google Scholar]
- Zhongxiang, B.; Weihua, D.; Guofei, Y.; Yanjun, W.; Yining, C.; Yanping, H.; Changkai, Y.; Nianhua, D. Tough and tissue-adhesive polyacrylamide/collagen hydrogel with dopamine-grafted oxidized sodium alginate as crosslinker for cutaneous wound healing. RSC Adv. 2018, 8, 42123–42132. [Google Scholar]
- Lanlan, W.; Jinhua, D.; Ziqiang, Z.; Dawei, L.; Wenhao, D.; Yingke, L.; Bingqi, J.; Haoxuan, L.; Qingsheng, L.; Bingyao, D. Quarternized chitosan/quercetin/polyacrylamide semi-interpenetrating network hydrogel with recoverability, toughness and antibacterial properties for wound healing. Int. J. Biol. Macromol. 2023, 228, 48–58. [Google Scholar]
- Gupta, A.; Marek, K.; Wayne, H.; Stephen, T.B.; Claire, M.; Iza, R. The production and application of hydrogels for wound management: A review. Eur. Polym. J. 2019, 111, 134–151. [Google Scholar] [CrossRef]
- Grunlan, J.; Choi, J.; Lin, A. Antimicrobial behavior of polyelectrolyte multilayer films containing cetrimide and silver. Biomacromolecules 2005, 6, 1149–1153. [Google Scholar] [CrossRef] [PubMed]
- Marto, J.; Pinto, P.; Fitas, M.; Gonçalves, L.M.; Almeida, A.J.; Ribeiro, H.M. Safety assessment of starch-based personal care products: Nanocapsules and pickering emulsions. Toxicol. Appl. Pharmacol. 2018, 342, 14–21. [Google Scholar] [CrossRef] [PubMed]
- Mishra, A.; Pandey, R.; Manickam, N. Antibacterial effect and physical properties of chitosan and chlorhexidine-cetrimide-modified glass ionomer cements. J. Indian Soc. Pedod. Prev. Dent. 2017, 35, 28–33. [Google Scholar] [PubMed]
- Giorgi, G.M.; Natalia, C.M.; Diana, R.P.; Augusto, E.J.; Giovanna, R.D.; Carlos, E.; Sérgio, L.P. Effect of cetrimide 2% with and without photodynamic therapy to reduce Streptococcus mutans burden in dentinal carious lesions. Lasers Med. Sci. 2021, 36, 1935–1940. [Google Scholar]
- Aben, O.; Jhimli, B. Sulfonamide drugs: Structure, antibacterial property, toxicity, and biophysical interactions. Biophys. Rev. 2021, 13, 259–272. [Google Scholar]
- Bendjeddou, A.; Abbaz, T.; Khacha, N.; Benahmed, M.; Gouasmia, A.; Villemin, D. Antibacterial activity of sulfonamide derivatives against clinical strains of bacteria. Res. J. Pharm. Biol. Chem. Sci. 2016, 7, 799–804. [Google Scholar]
- Liu, S.; Li, L. Recoverable and self-healing double network hydrogel based on κ-carrageenan. ACS Appl. Mater. Interfaces 2016, 8, 29749–29758. [Google Scholar] [CrossRef]
- Jin, W.; Zixuan, W.; Huihua, X.; Qian, W.; Chuan, L.; Bo-Ru, Y.; Xuchun, G.; Xi, X.; Kai, T.; Yi, S.; et al. An intrinsically stretchable humidity sensor based on anti-drying, self-healing and transparent organohydrogels. Mater. Horiz. 2019, 6, 595–603. [Google Scholar]
- Linjie, Z.; Xinjie, P.; Kun, F.; Rui, Z.; Jun, F. Super tough, ultra-stretchable, and fast recoverable double network hydrogels physically crosslinked by triple non-covalent interactions. Polymer 2020, 192, 122319. [Google Scholar]
- Baoxiao, C.; Boying, P.; Zhengke, W.; Qiaoling, H. Advances in chitosan-based superabsorbent hydrogels. RSC Adv. 2017, 7, 42036–42046. [Google Scholar]
- Jie, C.; Yebang, T.; Yuju, C.; Qiang, M. Fabrication and properties of superabsorbent complex gel beads composed of hydrolyzed polyacrylamide and chitosan. J. Appl. Polym. Sci. 2010, 116, 3338–3345. [Google Scholar]
- Babak, G.; Mohamad, M.; Oromiehie, A.R.; Keramat, R.; Elhame, R.R.; Jafar, M. Effect of plasticizing sugars on water vapor permeability, surface energy and microstructure properties of zein films. LWT 2007, 40, 1191–1197. [Google Scholar]
- Soliman, E.A.; Khalil, A.A.; Deraz, S.F.; El-Fawal, G.; Abd Elrahman, S. Synthesis, characterization and antibacterial activity of biodegradable films prepared from Schiff bases of zein. J. Food Sci. Technol. 2014, 51, 2425–2434. [Google Scholar] [CrossRef]
- Bezawit, A.A.; Tiruzer, B.; Kefyalew, A.G.; Assefa, B.A. Evaluation of Wound Healing Activity of 80% Hydromethanolic Crude Extract and Solvent Fractions of the Leaves of Urtica simensis in Mice. J. Exp. Pharmacol. 2022, 4, 221–241. [Google Scholar]
- Sijun, L.; Hongbin, Z.; Wei, Y. Simultaneously improved strength and toughness in κ-carrageenan/polyacrylamide double network hydrogel via synergistic interaction. Carbohydr. Polym. 2020, 230, 115596. [Google Scholar]
- Hai, C.Y.; Chen, Y.L.; Miao, D.; Yihu, S.; Zi, L.W.; Qiang, Z. Improved toughness and stability of κ-carrageenan/polyacrylamide double-network hydrogels by dual cross-linking of the first network. Macromolecules 2019, 52, 629–638. [Google Scholar]
- Yi, D.; Min, H.; Sun, D.; Yi, H.; Yubao, L.; Taosheng, D.; Xiaohong, W.; Zhang, L.; Weizhong, Y. Dual physically cross-linked κ-carrageenan-based double network hydrogels with superior self-healing performance for biomedical application. ACS Appl. Mater. Interfaces 2018, 10, 37544–37554. [Google Scholar]
- Kishore, K.; Santhanalakshmi, K.N. Thermal polymerization of acrylamide by differential scanning calorimetry. J. Polym. Sci. 1981, 19, 2367–2375. [Google Scholar] [CrossRef]
- Dessouki, A.M.; Taher, N.H.; El-Boohy, H.A. Radiation-induced graft polymerization of acrylamide onto poly (tetrafluoroethylene/Hexaflouropropylene/vinylidene fluoride) (TFB) films. Int. J. Radiat. Appl. Instrum. 1990, 36, 371–375. [Google Scholar]
- Peng, W.; Tan, K.L.; Kang, E.T. Surface modification of poly (tetrafluoroethylene) films via grafting of poly (ethylene glycol) for reduction in protein adsorption. J. Biomater. Sci. Polym. Ed. 2000, 11, 169–186. [Google Scholar]
- Gholam, R.M.; Moslem, M.; Moslem, S.; Mohammad, S. Magnetic- and pH-responsive κ-carrageenan/chitosan complexes for controlled release of methotrexate anticancer drug. Int. J. Biol. Macromol. 2017, 97, 209–217. [Google Scholar]
- Mahmood, W.; Khan, M.; Yee, T. Effects of reaction temperature on the synthesis and thermal properties of carrageenan ester. J. Phys. Sci. 2014, 25, 123. [Google Scholar]
- Hansen, P.E.; Spanget-Larsen, J. NMR and IR investigations of strong intramolecular hydrogen bonds. Molecules 2017, 22, 552. [Google Scholar] [CrossRef]
- Blume, A.; Hübner, W.; Messner, G. Fourier transform infrared spectroscopy of 13C: O labeled phospholipids hydrogen bonding to carbonyl groups. Biochemistry 1988, 27, 8239–8249. [Google Scholar] [CrossRef]
- Elnashar, M.; Hassan, M. Novel epoxy activated hydrogels for solving lactose intolerance. Biomed. Res. Int. 2014, 2014, 817985. [Google Scholar] [CrossRef]
- Mohamed, T.M.; Sayed, A.; Mahmoud, G.A. Tuning of the properties of polyvinyl alcohol/polyacrylamide film by phytic acid and gamma radiation crosslinking for food packaging applications. Polym.-Plast. Technol. Mater. 2023, 62, 866–876. [Google Scholar] [CrossRef]
- Meena, R.; Kamalesh, P.; Gaurav, M.; Arup, K.S. Synthesis of the copolymer hydrogel κ-carrageenan-graft-PAAm: Evaluation of its absorbent and adhesive properties. J. Appl. Polym. Sci. 2006, 102, 5144–5152. [Google Scholar] [CrossRef]
- Sayed, A.; Gehan, S.; Manar, A.; Ghada, A.M. Alkali-cellulose/Polyvinyl alcohol biofilms fabricated with essential clove oil as a novel scented antimicrobial packaging material. Carbohydr. Polym. Technol. Appl. 2023, 5, 1000273. [Google Scholar] [CrossRef]
- Yesmin, S.; Arkajyoti, P.; Tarannum, N.; Atiqur, R.; Sarkar, F.A.; Mir, I.I.W.; Talha, B.; Shafayet, A.S. Membrane stabilization as a mechanism of the anti-inflammatory activity of ethanolic root extract of Choi (Piper chaba). Clin. Phytoscience 2020, 6, 59. [Google Scholar] [CrossRef]
- Touba, K.; Muhammad, S.; Muhammad, U.M.; Syed, A.S.; Nazish, J.; Shahzeb, K.; Zahid, H.; Arshad, M.; Mubeen, K.; Haroon, R. Self-crosslinked chitosan/κ-carrageenan-based biomimetic membranes to combat diabetic burn wound infections. Int. J. Biol. Macromol. 2022, 197, 157–168. [Google Scholar]









| Code | κ-CAR/PAAm (mL) | Cetrimide (mL) |
|---|---|---|
| κ-CAR/PAAm/CI0 | 15.0 | 0.0 |
| κ-CAR/PAAm/CI1 | 14.5 | 0.5 |
| κ-CAR/PAAm/CI2 | 13.5 | 1.5 |
| Group (Treatment) | Wound Area (mm2) on Post-Wounding Days | |||||
|---|---|---|---|---|---|---|
| Day 7 | Day 14 | Day 21 | ||||
| Wound Area (mm2) | % Wound Contraction * | Wound Area (mm2) | % Wound Contraction * | Wound Area (mm2) | % Wound Contraction * | |
| Control | 49 ± 2.4 | 51 | 27 ± 1.3 | 73 | 18 ± 0.1 | 82 |
| Treated with κ-CAR/PAAm/CI0 | 47 ± 1.6 | 53 | 10 ± 2.06 | 90 | 3 ± 0.31 | 97 |
| Treated with κ-CAR/PAAm/CI2 | 29 ± 2.7 | 71 | 2 ± 1.11 | 98 | 0 | 100 |
Disclaimer/Publisher’s Note: The statements, opinions and data contained in all publications are solely those of the individual author(s) and contributor(s) and not of MDPI and/or the editor(s). MDPI and/or the editor(s) disclaim responsibility for any injury to people or property resulting from any ideas, methods, instructions or products referred to in the content. |
© 2023 by the authors. Licensee MDPI, Basel, Switzerland. This article is an open access article distributed under the terms and conditions of the Creative Commons Attribution (CC BY) license (https://creativecommons.org/licenses/by/4.0/).
Share and Cite
Agili, F.A.; Mohamed, S.F. Synthesis and Characterization of a Self-Crosslinked Organic Copolymer Kappa-Carrageenan/Polyacrylamide/Cetrimide (κ-CAR/PAAm/CI) Hydrogel with Antimicrobial and Anti-Inflammatory Activities for Wound Healing. Chemistry 2023, 5, 2273-2287. https://doi.org/10.3390/chemistry5040152
Agili FA, Mohamed SF. Synthesis and Characterization of a Self-Crosslinked Organic Copolymer Kappa-Carrageenan/Polyacrylamide/Cetrimide (κ-CAR/PAAm/CI) Hydrogel with Antimicrobial and Anti-Inflammatory Activities for Wound Healing. Chemistry. 2023; 5(4):2273-2287. https://doi.org/10.3390/chemistry5040152
Chicago/Turabian StyleAgili, Fatimah A., and Sahera F. Mohamed. 2023. "Synthesis and Characterization of a Self-Crosslinked Organic Copolymer Kappa-Carrageenan/Polyacrylamide/Cetrimide (κ-CAR/PAAm/CI) Hydrogel with Antimicrobial and Anti-Inflammatory Activities for Wound Healing" Chemistry 5, no. 4: 2273-2287. https://doi.org/10.3390/chemistry5040152
APA StyleAgili, F. A., & Mohamed, S. F. (2023). Synthesis and Characterization of a Self-Crosslinked Organic Copolymer Kappa-Carrageenan/Polyacrylamide/Cetrimide (κ-CAR/PAAm/CI) Hydrogel with Antimicrobial and Anti-Inflammatory Activities for Wound Healing. Chemistry, 5(4), 2273-2287. https://doi.org/10.3390/chemistry5040152
