Abstract
Many plant species adapted to semi-arid environments are grown in the Sahelian region in northern Africa. One such species is Acacia seyal (Delile), a multipurpose leguminous tree grown in various agroecological zones, including saline soils. These challenging arid and semi-arid environments harbor a diversity of arbuscular mycorrhizal fungi (AMF) communities that can develop symbiotic associations with plants to improve their hydromineral nutrition. This study compared the effects of native AMF communities isolated from semi-arid sites (high, moderate, and low salinity zones Ndiafate, Ngane, and Bambey, respectively) and the AMF Rhizoglomus aggregatum on the development and phosphate nutrition of A. seyal seedlings subject to three salinity treatments (0, 340, and 680 mM). Plant height, dry matter weight of the shoots and roots, and phosphorus uptake from the soil were measured. Plants inoculated with AMF native species from each site that were provided with up to 340 mM of NaCl had greater shoot height than plants grown under 680 mM salinity. At NaCl concentrations above 340 mM, shoot and root development of A. seyal seedlings diminished. However, dry matter production of shoots (7%) and roots (15%) improved following AMF inoculation compared with the control (respectively 0.020 and 0.07 g for shoots and roots). When inoculated with AMF isolates from the high salinity zone (Ndiafate), phosphate content/nutrition was increased by 10% around 30 days after inoculation compared with non-inoculated seedlings (2.84 mg/kg of substrate). These results demonstrate that native AMF inoculants are capable of helping plants withstand environmental constraints, especially those exposing plants to harsh climatic conditions. We discuss insights on how AMF influences the interplay between soil phosphorus and perceived salinity that may have implications for broader relationships between plants and symbiotic fungi.
Keywords:
Acacia seyal; arbuscular mycorrhiza; phosphate nutrition; salinity; fungi; drought; inoculation; NaCl; aridity 1. Introduction
Arbuscular mycorrhizal fungi (AMF) are symbiotic micro-organisms widely distributed in various ecosystem types throughout the world, where they form symbiotic associations with the root systems of various plants. Many studies have shown that AMF promote and improve plant growth through their network of mycelial hyphae that explore the soil beyond the root proliferation zone [1]. This enables the AMF to supply various mineral elements to plants, especially nutrients with low soil mobility (e.g., phosphorus, zinc, copper) to receive carbohydrates from plant photosynthesis [2].
Among mineral elements essential to plant development, phosphorus (P) plays an essential physiological role and represents up to 0.2% of plant dry matter [3]. In soils, P exists in different forms; however, the predominant inorganic form (Pi) is H2PO4—when the soil pH is between 5–6 [4]. Phosphorus diffusion in soil solutions is low, and P is taken up by plants in its inorganic form [5]. The low mobility of phosphorus is related to its interactions with iron, aluminum, and calcium [6] and its assimilation by soil micro-organisms [7]. Therefore, P is considered as a limiting factor difficult for plants to assimilate, particularly in arid environments, which are characterized by a low nutrient content. The availability of soil P-reserves is critical for growth and survival of plants in degraded habitats [8]. Several authors have shown that the symbiotic association of plants with mycorrhizal fungi improves P uptake by plants [9].
Acacia seyal (Delile) is known as a typical Sahelian tree and a nitrogen-fixing species, which belongs to the Acacia genus, one of the largest genera of leguminous tree and shrubs of over 60 African acacias. Native from the Senegalese to the Sudanian Sahelian zone, A. seyal combines tolerance of periodically inundated heavy clay soils with major roles in fuel and fodder production in the southern edge of the Sahara Desert. A. seyal is a multipurpose tree known mainly for its production of gum tahla [10]. Leaves and shoots provide forage and wood is particularly used for charcoal production. The branches are used for fencing and the fruits are often lopped by herders when forage decreases in the dry season. Due to its high plasticity, A. seyal is adapted to harsh environments and has a key function in ecosystem functioning. In nutrient-poor semi-arid Sahelian ecosystems, characterized by low and erratic variable rainfall, A. seyal plays an important role in soil fertility through its ability to fix atmospheric nitrogen in association with rhizobia [11,12], and to acquire other nutrients with mycorrhizal fungi [13].
The various habitats in which plants grow are characterized by a diversity of soils and microbial communities. The functional diversity of microbial communities, depending on the potential of the soil micro-organisms in a specific ecosystem, could help plants to better cope with abiotic constraints. The characterization of AMF in multiple semi-arid environments has revealed habitat-specific AMF types [14]. It is plausible that plant root exudates [15], soil pH [16], salinity [17], drought [18], and defoliation [19,20,21] contribute to and define plant growth and the diversity and density of AMF communities found in different habitats. This AMF taxonomic diversity is correlated with a functional diversity that influences uptake efficiency of mineral elements from the soil [22]. From an ecological viewpoint, the diversity of AMF growing at various sites, according to their efficiency in the symbiosis with plants, might affect mineral nutrition especially for P and plant development. Some authors have demonstrated the efficiency of indigenous AMF in improving plant nutrient uptake, particularly for soils affected by salinity [13,23]. However, a better knowledge of the specific relationships between plants and AMF communities is necessary for an adequate use of these telluric micro-organisms in constrained environments, such as saline soils [24].
Low phosphate content of soils is common in many regions, including Senegal. Accordingly, natural phosphate has often been used as a fertilizer to increase P content to ensure sufficient P availability of plant requirements. We hypothesize that AMF will improve growth of Acacia due to increased access to soil P. From an ecological point-of-view, the diversity of AMF growing at various sites, according to their efficiency in the symbiosis with plants, might affect mineral nutrition and plant development, especially for P. Our aim was to examine whether arbuscular fungi occurring in ecological zones occupied by A. seyal influence the phosphate nutrition and growth of A. seyal under a range of salinity levels.
2. Materials and Methods
2.1. Plant Material and Substrate
Seeds from A. seyal trees were harvested at maturity from adult trees grown in the Bambey soil (Diourbel Region, Senegal). Seeds were sterilized in 95% sulfuric acid (H2SO4) for 30 min, rinsed four times with distilled water before immersion in sterilized distilled water for 2 h to facilitate germination. The seeds were germinated in Petri dishes containing agar (0.8%) and placed in the dark at 30 °C. After 3 days, pre-germinated seeds were planted in pots containing the perlite substrate and then transferred to the greenhouse of the Laboratoire Commun de Microbiologie IRD/UCAD/ISRA, Bel-Air, Senegal.
2.2. Sources of Arbuscular Mycorrhizal Fungi
The AMF used as inoculum was collected from the rhizosphere of A. seyal grown at three sites: Ndiafate (14°04′ N; 16°10′ O), Ngane (14°11′ N; 16°05′ O), and Bambey (14°42′ N, 16°29′ O), corresponding to high, moderate, and low salinity zones, respectively (Figure 1). The average annual rainfall of the region ranges from 500 to 1000 mm/year and is characterized by a long dry season that typically occurs between November and June. The minimum and maximum day time temperature in this region was between 20 and 40 °C. Soils at Ngane and Ndiafate sites are non-disturbed while Bambey is characterized by disturbed and cultivated soils.
Figure 1.
Location of the sampling sites in Senegal.
Soil and root samples (containing a mixture of endogen AMF spores, hyphae, and mycorrhized roots) used as inoculum were collected at a depth of approximately 0–20 cm from the A. seyal rhizosphere. Thirty samples were collected randomly at each site. These soil samples were pooled and homogenized at the collection site and used to generate a composite sample.
2.3. Soil Physical and Chemical Properties
Soil chemical analysis (Table 1) collected from sampling sites were carried out by the Laboratoire des Moyens Analytiques (IRD, Dakar). Total carbon and nitrogen analyses were performed using the combustion system Thermo-Finnigan Flash EA 1112 (Thermo-Finnigan). Available phosphorus was measured by the method of Dabin [25] and soil electrical conductivity (EC) and pH were determined using a 1:5 soil/water suspension [26]. Exchangeable cations were measured by emission spectroscopy.
Table 1.
Physicochemical properties of soils from the three sites, Ngane, Ndiafate, and Bambey.
2.4. Mycorrhizal Inoculum Production
Two inocula were used for this study: (1) a single species, Rhizoglomus aggregatum (DAOM 227128), previously isolated by Dalpé, Diop [27], provided by the Laboratoire Commun de Microbiologie IRD/UCAD/ISRA, Bel-Air, Senegal; and (2) a mixture of species collected from the rhizosphere of A. seyal trees from Bambey, Ngane and Ndiafate, maintained in monoculture in a greenhouse with maize (Zea mays L.) seedlings as host plants, growing in a sterilized substrate to trap indigenous AMF spores [28]. After a four-month period in pot culture, AMF spores were extracted from the substrate by the wet sieving method [29] to check the viability of the spores before identification and inoculation to A. seyal seedlings.
AMF spores from Bambey, Ngane, and Ndiafate, selected with a binocular magnifying glass, were grouped and classified according to their morphotypes. Spores of each morphotype were mounted on microscope slides in polyvinylalcohol-lactic acid-glycerol (PVLG) [30] and PVLG mixed with Melzer’s reagent (1:1, v:v). The taxonomic identification of spores to genus and species level was based on the original species descriptions available at http://fungi.invam.wvu.edu/the-fungi.html (accessed on 12 March 2020).
Indigenous AMF used as the inoculum for the current experiment included five species from Ndiafate (Acaulospora scrobiculata (Trappe), Rhizoglomus aggregatum ((Schenck and Sm.) Sieverd., Silva and Oehl), Rhizoglomus microaggregatum ((Koske, Gemma and Olexia) Sieverd., Silva and Oehl), Claroideoglomus etunicatum ((Becker and Gerd.) Walker and Schüßler), and Glomus rubiforme ((Gerd. and Trappe) Almeida and Schenck); two species from Ngane (Acaulospora lacunosa (Morton) and Acaulospora scrobiculata (Trappe)); and three species from Bambey (R. aggregatum ((Schenck and Sm.) Sieverd., Silva and Oehl), Septoglomus constrictum ((Trappe) Sieverd., Silva and Oehl), and Glomus lacteum (Rose and Trappe)).
2.5. Experimental Design
The experiment consisted of 5 inoculation treatments and 3 NaCl levels (0, 340, and 680 mM), resulting in 15 treatment combinations, with each replicated 3 times each for a total of 45 pots each containing 6 plants. Pregerminated A. seyal seeds were sown (six per pot) and NaCl was added in a diluted form in deionized water. To allow mycorrhization to take place, a single application of NaCl (100 mL solution at 340 and 680 mM per plant) based on previous studies [31,32] was supplied to A. seyal seedlings after 3 weeks of growth with AMF. Control plants received 100 mL distilled water.
The perlite used as substrate was mixed with exogenous phosphorus source (3 mg P per 100 g substrate of natural phosphate from Taïba, Senegal) and homogeneously distributed. The perlite-phosphate mixture was then placed in the culture pots at a rate of 100 g per pot.
For each A. seyal seedling, inoculation with AMF was carried out after transplanting seedlings in plastic bags by placing 20 g of inoculum (sterile substrate containing a mixture of spores, hyphae, and fine roots) of the species tested at a depth of 2–3 cm as close as possible to the vicinity of A. seyal roots. Non-inoculated seedlings received the same amount of sterilized substrate without AMF, and the pots were placed in a greenhouse and arranged in a completely randomized design.
Inoculations were performed with a substrate containing the AMF propagules, and the following treatments were performed: 1—Non-inoculated controls; 2—plants inoculated with AMF from Ndiafate; 3—plants inoculated with AMF from Bambey; 4—Plants inoculated with AMF from Ngane; and 5—plants inoculated with Rhizoglomus aggregatum (DAOM 227 128). A nutritive solution of Long Ashton [33] without phosphorus was added after 3 days of culture. Plants were maintained in culture for 30 days in the greenhouse and watered regularly to field capacity.
2.6. Shoot and Root Height and Dry Weight
After 30 days of cultivation, shoot and root parts of A. seyal seedlings were harvested, separated, and their height was measured with a ruler. After determining height, shoot and root samples were oven-dried for 3 days at 70 °C until constant weight and weighed separately to determine dry weight.
2.7. Plant Phosphorus Content
The amount of phosphorus taken from the substrate by the A. seyal seedlings and amount of phosphorus in the plant tissues were determined by performing a mineral analysis of harvested samples. Dry shoot material was ground and placed into capsules (approximately 500 mg of dry shoot per capsule) for a calcination process at 550 °C overnight. After completing the calcination, the ash samples were mineralized with concentrated nitric acid (5 mL of 65% HNO3/capsule) on a heated plate until evaporation of the acid. Then, diluted nitric acid (1:2) was added to the capsules, which were again placed on a heated plate and removed at the time of boiling. The content of each capsule was filtered using Whatman filter paper (diameter 110, N°. 41) into flasks by rinsing with distilled water and then adjusted to a 50 mL volume using distilled water. After filtration, the P concentration in the HNO3-solution was determined using the green malachite colorimetric method [34] with a spectrophotometer at a wavelength of 610 nm.
2.8. AMF Root Mycorrhization
At the end of the experiment, AMF root colonization was assessed using a random sampling of the root system, with three replicates for each treatment. Fine roots were sampled and thoroughly rinsed with tap water to remove sand particles, and then stained as described by Philips and Hayman [35]. Histological examination of root colonization was performed by microscopy by selecting ten root fragments of approximately 0.5 cm in length, placed between slides and coverslips with a few drops of glycerol as described by Trouvelot [36]. The intensity and frequency of mycorrhizal root colonization were calculated with a mycocalc program (https://www2.dijon.inra.fr/mychintec/Mycocalc-prg/download.html (accessed on 17 July 2020)).
2.9. Statistical Analysis
A two-way analysis of variance (ANOVA) was used to test the effects of AMF inoculation and NaCl level on plant height, shoot and roots biomass, and P uptake of A. seyal seedlings. When treatment effects were significant at α = 0.05, Student Newman–Keuls test was used to for mean separation. Correlation analyses were performed to determine the relationships between P uptake (mg/Kg of substrate) and P accumulation in tissues (mgP/g) of A. seyal (Delile) and its dry weight (g) for shoot and root parts. All statistical analyses were performed using SAS software.
3. Results
3.1. Interaction between NaCl Level and AMF Inoculation on A. seyal Shoot Height and Root Length
When grown under 0 and 340 mM NaCl, enhanced shoot growth was observed for the seedlings inoculated with isolates from Ndiafate, Ngane, and Bambey (high, moderate, and low salt zones, respectively) compared with the control without inoculation. Without the addition of NaCl, the height of the inoculated seedlings with Ndiafate high and Ngane moderate salt zones isolates (19.75 ± 3.27 cm) were significantly greater (p = 0.002) than those of the seedlings inoculated with single isolate R. aggregatum (DAOM 227128) and controls (17.55 ± 2.28 cm). At 350 mM of NaCl, AMF isolates from Ndiafate (20.95 ± 1.88 cm), Ngane (21.23 ± 3.20 cm), and Bambey (20.58 ± 2.54 cm) showed shoot height significantly higher (p = 0.04) compared with seedlings inoculated with R. aggregatum and non-inoculated controls. When the concentration of NaCl increased to 680 mM, no significant differences were observed (p = 0.164) between inoculated and non-inoculated plants (with an average shoot length of 18.22 ± 3.54 cm) (Figure 2).
Figure 2.
The effect of the AMF isolates × NaCl interaction on the growth of shoot parts of A. seyal seedlings after 30 days of culture. Ndiafate, Ngane, and Bambey correspond to high, moderate, and low salinity zones, respectively, where the AMF were collected. Bars with the same letters for each variable are not significantly different at p < 0.05 (Newman–Keuls test) and error bars represent standard error of the mean (n = 270).
The mean root length values (Figure 3) did not show significant differences (p = 0.016) between controls and inoculated seedlings for 0 (17.26 ± 3.84 cm) and 340 mM (18.78 ± 3.90 cm) NaCl. However, the interaction between AMF isolates and NaCl at 680 mM significantly decreased the root length (p ˂ 0.05). The root length of the plants inoculated with AMF isolates from Bambey low-salty soil was greater (18.99 ± 3.99 cm) than those of other treatments. The shortest roots were observed for controls (14.54 ± 2.86 cm) and seedlings inoculated with AMF isolates of Ndiafate high (15.44 ± 4.44 cm) and Ngane moderate (14.66 ± 3.47 cm) salt zones.
Figure 3.
The effect of the AMF isolates × NaCl interaction on A. seyal root length after 30 days of culture. Ndiafate, Ngane, and Bambey correspond to high, moderate, and low salinity zones, respectively where the AMF were collected. Bars with the same letters for each variable are not significantly different at p < 0.05 (Newman–Keuls test) and error bars represent standard error of the mean (n = 270).
3.2. Interaction between NaCl Level and AMF on A. seyal Shoot and Root Biomass
A 7% increase was observed between inoculated plants and controls for shoot. The dry biomass values of the shoot parts varied depending on the NaCl level of the substrate (Figure 4). The interactions between the AMF isolate and 340 mM NaCl produced the highest dry biomass (0.24 ± 0.06 g), while the lowest average weights were detected at 680 mM NaCl (0.19 ± 0.07 g). However, no significant difference was observed (p = 0.02) between the different treatments at 0, 340, and 680 mM of NaCl.
Figure 4.
The effect of the AMF isolates × NaCl interaction on the dry biomass of the shoot parts of A. seyal seedlings after 30 days of culture. Ndiafate, Ngane, and Bambey correspond to high, moderate, and low salinity zones, respectively where the AMF were collected. Bars with the same letters for each variable are not significantly different at p < 0.05 (Newman–Keuls test) and error bars represent standard error of the mean (n = 270).
A 15% increase was observed between inoculated plants and controls for root. Dry root biomass of A. seyal seedlings also varied with NaCl content, and AMF inoculated isolates (Figure 5). The ANOVA revealed no significant differences (p = 0.06) between the root dry weight biomass of plants without the addition of NaCl and those that received 340 mM NaCl, regardless of the AMF isolate. The combination of a 680 mM dose of NaCl plus R. aggregatum (DAOM 227128), produced the highest root biomass (0.092 ± 0.04 g), which was significantly greater than the non-inoculated controls (0.068 ± 0.02 g) and those inoculated with the AMF isolates from Ngane (0.065 ± 0.02 g) and Bambey (0.068 ± 0.02 g). The seedlings inoculated with AMF from Ndiafate had an intermediate value (0.078 ± 0.04 g).
Figure 5.
The effect of the AMF isolates × NaCl interaction on the dry root biomass of A. seyal seedlings after 30 days of culture. Ndiafate, Ngane, and Bambey correspond to high, moderate, and low salinity zones, respectively where the AMF were collected. Bars with the same letters for each variable are not significantly different at p < 0.05 (Newman–Keuls test) and error bars represent standard error of the mean (n = 270).
3.3. Interaction between NaCl Level and AMF on A. seyal P Uptake
Phosphate nutrition was increased by 10% at approximately 30 days after inoculation compared with non-inoculated seedlings. There were no significant differences (p ˂ 0.05) in P uptake by A. seyal seedlings for the 0 to 340 mM NaCl concentrations, regardless of the origin of the AMF isolate (Figure 6). However, P uptake decreased at 680 mM of NaCl, although this was AMF isolate-dependent. For seedlings inoculated with AMF coming from the Ndiafate high salt zone rhizosphere, the P uptake was significantly higher (3.75 ± 0.84 mg per kg substrate) than the control seedlings (2.46 ± 0.17 mg per kg of substrate) and those inoculated with AMF from Ngane (2.48 ± 0.28 mg per kg of substrate) moderate salt zone.
Figure 6.
The effect of the AMF isolates × NaCl interaction on P uptake after 30 days of culture. Ndiafate, Ngane, and Bambey correspond to high, moderate, and low salinity zones, respectively where the AMF were collected. Bars with the same letters for each variable are not significantly different at p < 0.05 (Newman–Keuls test) and error bars represent standard error of the mean (n = 270).
Analysis of P-concentration in the tissues of A. seyal seedlings showed no significant difference (p = 0.14) between the 0 mM (1.44 ± 0.22 mg P per g of tissue) and 680 mM (1.58 ± 0.33 mg P per g of tissue) NaCl treatments, regardless of the AMF isolates (Figure 7). However, the P accumulation in tissues (1.51 ± 0.19 mg P per g tissue) were significantly higher (p = 0.04) than seedlings inoculated with Ngane AMF isolates (1.20 ± 0.14 mg P per g tissue) and control seedlings (1.18 ± 0.14 mg P per g of tissue) with 340 mM NaCl plus Bambey low salt zone AMF isolates. The plants inoculated with AMF from Ndiafate high salt zone and R. aggregatum species had an average content of 1.31 ± 0.11 mg P per g of tissue for 340 mM NaCl.
Figure 7.
Effect of the AMF isolates × NaCl interaction on the accumulation of P in tissues after 30 days of culture. Ndiafate, Ngane, and Bambey correspond to high, moderate, and low salinity zones, respectively where the AMF were collected. Bars with the same letters for each variable are not significantly different at p < 0.05 (Newman–Keuls test) and error bars represent standard error of the mean (n = 270).
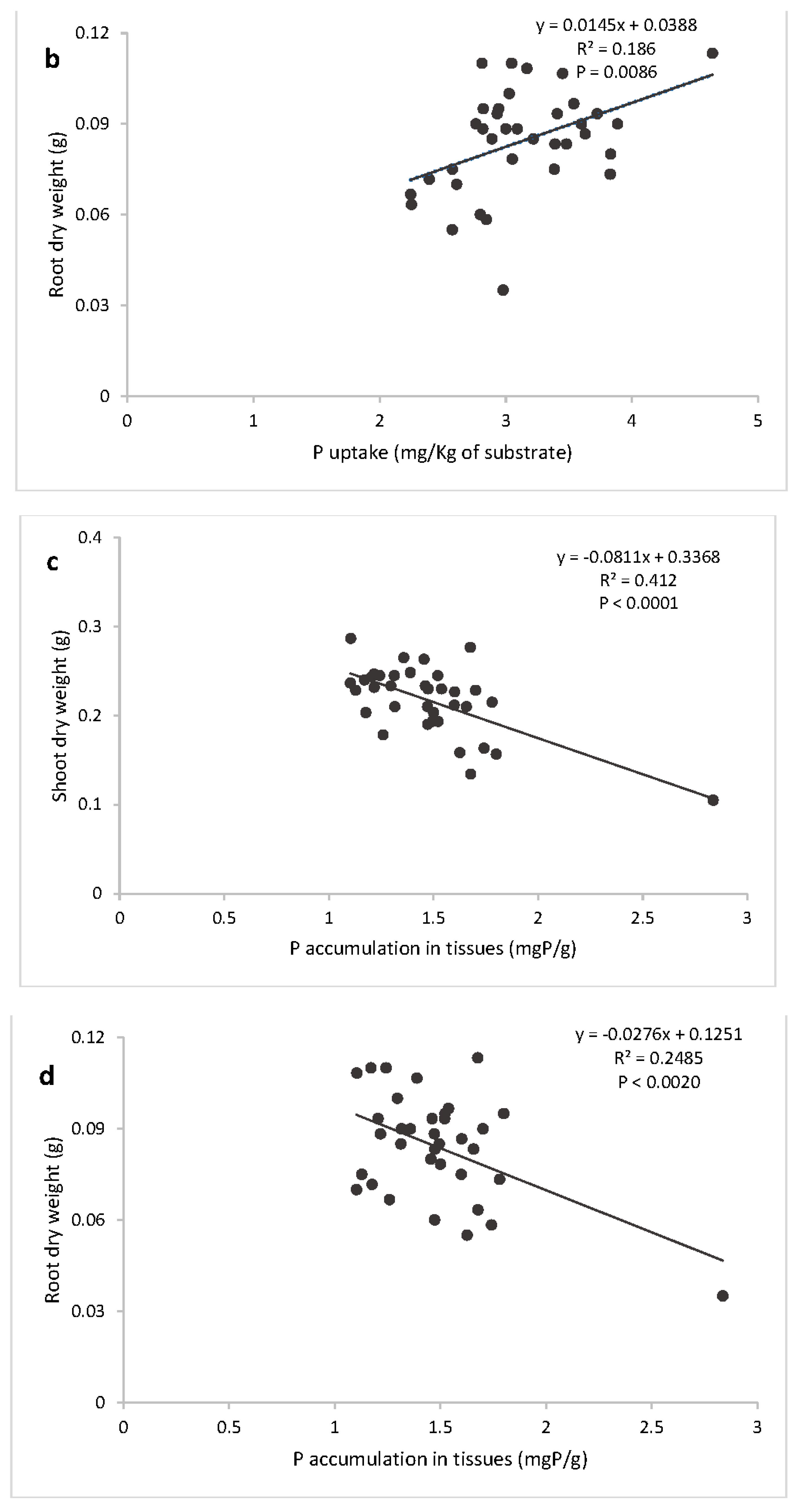
3.4. Correlation Analysis
Correlation analyses were performed to evaluate whether P uptake and P accumulation in tissues influenced shoot dry weight and root dry weight of A. seyal (Delile) under saline conditions. The results in Figure 8 show a positive but weak relationship between P uptake (mg/Kg of substrate) and shoot dry weight (r = 0.30 ***; Figure 8a) and root dry weight (r = 0.19 ***; Figure 8b). There was also a significantly positive association between P accumulation in tissues (mgP/g) and shoot dry weight (g), root dry weight (g) (Figure 8). The results revealed a low effect size but positive correlation between P accumulation in tissues and shoot dry weight (r = 0.41 ***; Figure 8c) and root dry weight (r = 0.25 ***; Figure 8d).

Figure 8.
Correlation analyses for P uptake (a,b) and P accumulation (c,d) in tissues shoot dry and root dry weight of A. seyal (Delile) under saline conditions.
3.5. Mycorrhizal Colonisation
After 30 days of culture, examination of stained root segments revealed the presence of infectious units in all treatments, except the non-inoculated seedlings (Table 2). The frequency and intensity of colonization of A. seyal root seedlings varied according to the concentration of NaCl in the substrate. The highest frequencies and intensities of colonization were observed in seedlings growing on substrates without NaCl. Significantly higher mycorrhizal intensities (p = 0.02) were observed in plants inoculated with Ndiafate high salt zone AMF isolates (4.6 ± 0.17%) compared to plants inoculated with R. aggregatum (1.52 ± 0.10%) at 0 mM of NaCl. On the other hand, the AMF isolates from the Ngane moderate salt zone with 6.02 ± 0.90% showed the highest mycorrhization intensities under 340 mM NaCl. Addition of 680 mM of NaCl induced no significant differences (p = 0.09) in the mycorrhization intensities, which averaged 0.87%. Although a decrease in mycorrhizal frequencies was observed with increasing NaCl content, no significant difference was observed between treatments (p = 0.07).
Table 2.
Effect of isolates on the mycorrhization of A. seyal seedlings in the presence or absence of NaCl after 30 days of culture.
4. Discussion
In agronomy, the concept of available phosphorus is used to estimate phosphorus available to plants. The availability of P in increasingly saline soils is generally reduced due to the ionic competition that reduces P activity. In addition, P concentrations in the soil solution are closely controlled by sorption processes and by the low solubility of Al-P or Fe-P precipitates [37].
The general model of the influence of mycorrhizal fungi associated with plants is two-fold: (1) an increase in tissue P in mycorrhizal plants and (2) an increase in P-flux in the roots is more important than in non-mycorrhized plants [38]. In saline soils, high P absorptions by plants inoculated with AMF could improve their growth rate and salt tolerance by reducing the adverse effects of salt stress [39]. The role of arbuscular fungi and the importance of their diversity in plant growth and nutrition has been described by many authors [13,40] and confirmed in this study.
When NaCl in the substrate increased from 0 to 340 mM, plants inoculated with AMF species from the Ndiafate, Ngane, and Bambey (high, moderate, and low saline soils respectively) had greater shoot height compared to the other treatments. Although the interactions were significant for root elongation, shoot and root dry weight and phosphorus uptake were not affected by treatments. However, a better P accumulation in tissues was observed for seedlings inoculated with AMF from Bambey low saline soils, which is in line with the findings of Nakmee et al. [41], who observed a better absorption of phosphorus with Sorghum plants inoculated with Acaulospora spinosa and Glomus sp. This finding suggests a potential for AMF to stimulate shoot elongation for A. seyal.
One hypothesis is that A. seyal seedlings require a low-dose of NaCl during early development. A. seyal seedlings inoculated with mycorrhizal species from the Ngane (moderate), Ndiafate (high), and Bambey (low) saline soils grew better than when inoculated with a single AMF (R. aggregatum). The positive effect of AMF might also be due to the presence of one or more efficient symbiotic AMF species in the inoculum. This positive effect of AMF could be due to a solitary or synergistic effect which improved the development of the shoot parts of the plants; R. aggregatum alone did not have a significant effect for these NaCl concentrations. According to Karagiannidis and Nikolaou [42], despite the lack of absolute specificity, the efficiency of the symbiosis depends on both the rhizome and the AMF species.
The greater accumulation of P in tissues with 340 mM of NaCl when plants were inoculated with AMF from Bambey low salty soil is in line with the findings of Feng et al. [43], who showed that colonization of maize roots by Glomus mosseae significantly increased the phosphorus concentration in tissues, especially during salt stress. As for A. seyal, the improvement of development at this dose of NaCl could be explained by the existence (at this concentration) of a larger P uptake by seedlings, favored by the presence and development of roots and mycelial hyphae, which might play a role in increasing the P uptake. Indeed, the hyphae of a mycorrhizal fungus extend beyond the root depletion zone and can absorb water and nutrients in the soil solution at osmotic potentials different from those of the root surface [44]. The synergistic effect of fungal diversity on the development of A. seyal seedlings might be related to the ability of hyphae to spread differently in the soil. For example, Jakobsen et al. [45] showed that Acaulospora laevis hyphae reached 81 mm in length after 4 weeks, whereas the hyphae of two other fungi (Glomus sp.) only reached 31 mm. Even if the hyphae of Glomus sp. spread less than A. laevis, Glomus sp was more effective than A. laevis beyond the root zone [45,46]. Quintero-Ramos et al. [47] observed a difference in the acquisition of P depending on the AMF isolate (G. etunicatum, G. mosseae, and G. pallidum) for maize and sunflower (Helianthus annuus), but the efficacy of the AMF isolate also depended on the plant species/cultivar. Several studies have shown that mycorrhizal plants growing in water-stressed environments have a higher P acquisition than non-mycorrhizal plants [48].
This extension of the mycelial network by the AMF could favor the extraction of various nutrients [49] and the storage of larger quantities of absorbed phosphorus than by roots of the plants, thus facilitating the continuous movement of the P inside the hyphae [50].
The presence of root-associated acid phosphatase activity has been described by some authors for the acquisition of P by plants under conditions of low nutrient availability in the soil [51]. This phosphatase activity, which results in the hydrolysis of organic P, originates from the plant roots, soil micro-organisms or mycorrhized roots [9]. A positive effect of AMF on phosphatase activity was also described by McArthur and Knowles [52] but only at low levels of P. The importance of these enzymes is not always evident, and their role is modulated by several factors, including soil P availability, certain characteristics of the plant species (mainly concerns the threshold value of effective P uptake), and the microbial interactions in the rhizosphere/mycorrhizosphere [53]. Dodd et al. [54] found that phosphatase activity was increased by inoculation of two out of three AMF. These authors suggested that the fungus isolate could determine phosphatase activity.
Phosphatase activity might be responsible for improved uptake and accumulation of P in the plant and might be influenced by the inorganic Phosphorus (Pi) levels and Pi transporters, which are crucial regulators of AM symbiosis [7,55]. The Pi uptake from the soil by the plants associated with the AMF could be linked to the conditions of the ecological environment. Different Pi transporters involved in Pi transport have been found in various mycorrhizal fungi [56] but also in various plants [57]. We hypothesized that the efficacy of these transporters can vary with the diversity of AMF and be affected by changes in the environment, such as the presence of NaCl, causing a change in the Pi flux from the external environment to the plant. This abiotic factor could constitute a stimulus for the A. seyal seedlings and/or the AMF, which could induce the activation or the repression of specific genes and lead to variations in transcription factors and physiological responses.
A NaCl concentration above 340 mM resulted in a decrease in the development of the seedlings (both the shoot and roots parts). This observation was confirmed by the measurement of root dry biomass and mycorrhization intensities, which decreased when 680 mM NaCl was added to the substrate. The decrease in plant development when 680 mM NaCl is added to the substrate could be explained by the difficulty for the plants to obtain proper water and nutrients due to the osmotic stress but also by the difficulty for their symbiotic partner to develop and participate in the hydromineral nutrition of plants in culture.
However, we observed an increase in root length for plants inoculated with AMF from Bambey low saline soil and a better root biomass when plants were inoculated with R. aggregatum (DAOM 227128), species at 680 mM. The species R. aggregatum has been previously found to be associated with, Faidherbia albida leguminous tree in the Sahelian and Soudano-Guinean zone of Senegal [27] and seems to proliferate in the arid and semi-arid regions [58,59]. It was noted in the present study that R. aggregatum in symbiosis with A.seyal seedlings helps to uptake more phosphorus at high salt concentrations (650 mM NaCl). This resulted in an increase of P in the plant tissues correlated with a better root biomass. This could help root system to better explore the rhizosphere in order to improve the hydromineral nutrition of seedlings.
The symbiotic performance of fungi could vary according to the species of mycorrhizal fungi present in a given ecological zone and the environmental conditions. The interactions between plants and soil micro-organisms could be complex because they involve partners with different physiological functions. This requires a certain compatibility that allows them to achieve beneficial relationships. At the plant level Moeneclaey et al. [60], 2022 demonstrated that species with different ecological strategies differed in their response to soil phosphorus supply, including the concentration of phosphorus in their tissues. This will result in a modulation of the correlations between P uptake and its accumulation in plant tissues.
The sorghum inoculated by native mycorrhizal ecotype produced greater plant biomass under saline and sodic soils than the uninoculated plants because of the alleviation of salt stress through greater root biomass, improved K+/Na+ ratio, P content, and P uptake compared to nonmycorrhizal plants [61].
Tian et al. [62] tested the hypothesis that AMF from saline soils have a greater capacity to alleviate saline stress in plants than fungi from non-saline soil. They found that isolates from saline soil significantly improved plant growth at 3 g/kg NaCl and increased phosphorus concentrations at 0 and 1 g/kg NaCl. They concluded that the mechanisms by which AMF protect plants from the detrimental effects of salinity might involve their capacity to influence the uptake of sodium and chloride. They also found that the mycorrhizal strain originating from the saline habitat was better adapted to conditions of salinity and conferred greater benefit to the host plants. Chebaane and Symanczik [17], suggested that the production of easily-extractable glomalin related soil protein might be involved in the tolerance of AMF to increased salinity in the soil. According to Elgharably and Nafady [63], salt stress can limit root growth and accordingly the uptake of P and other essential elements is reduced. However, these authors showed that despite the limited AM colonization under saline conditions, AMF inoculation resulted in an increase of the grain yield and the shoot and root weights as compared to the control (NM), which indicates the subsequent benefits of AMF colonization to the plant roots under saline conditions.
In our study, we found that AMF from Ndiafate and Ngane (respectively high and moderate) saline soils did not improve shoot and dry root biomass. However, an increase of the phosphorus uptake was observed for plants inoculated with AMF from Ndiafate highly saline soil at 640 mM NaCl. According to Al-Karaki et al. [64], salt-tolerant plant species are more highly colonized by AMF than sensitive species. Our results show that P uptake by mycorrhizal plants is not closely correlated with the percentage of root colonization, as demonstrated by Karagiannidis et al. [65].
5. Conclusions
Assessment of the effects of arbuscular mycorrhizal fungi on the early stages of development and phosphate nutrition of A. seyal (Delile) revealed an improvement in phosphorus nutrition by some AMF (Ndiafate isolates) for high levels of NaCl, despite the limited duration of the experiment. Pre-inoculation of A. seyal plants by arbuscular fungi in semi-arid environments was shown to have a positive effect that might help to reduce the adverse effects of salt stress on plant growth, development, and nutrient uptake, especially for phosphorus during the early stages of plant development. Based on our findings, the effects of the mycorrhizal symbiosis resulted in an early response after inoculation, suggesting that inoculation at the early seedling stage, before transferring seedlings to the field, could allow A. seyal plants to better withstand the hostile environments, such as those with high water-deficit or heat stress, or salinity. These findings suggest that AMF inoculation could be a viable approach to sustain plant production under saline conditions. Further research is needed to assess the efficiency of different AMF to determine efficient symbiotic plant-AMF association under adverse environment; this work could be conducted under a range of salinity levels, such as those we conducted here.
Author Contributions
Experimental protocol, methodology, and original draft A.G.B.M., M.N. and M.A.F.N.; data analysis S.S.; bibliography and investigation, T.A.D. and C.B.; correction of original draft, A.A.D., D.M., M.B. and M.T.H.; funding acquisition, M.T.H. All authors have read and agreed to the published version of the manuscript.
Funding
This research received no external funding.
Institutional Review Board Statement
Not applicable.
Informed Consent Statement
Not applicable.
Data Availability Statement
The data are available upon request.
Conflicts of Interest
The authors declare no conflict of interest.
References
- Bagyaraj, D.; Sharma, M.P.; Maiti, D. Phosphorus nutrition of crops through arbuscular mycorrhizal fungi. Curr. Sci. 2015, 108, 1288–1293. [Google Scholar]
- Mechri, B.; Manga, A.G.B.; Tekaya, M.; Attia, F.; Cheheb, H.; Ben Meriem, F.; Braham, M.; Boujnah, D.; Hammami, M. Changes in microbial communities and carbohydrate profiles induced by the mycorrhizal fungus (Glomus intraradices) in rhizosphere of olive trees (Olea europaea L.). Appl. Soil Ecol. 2014, 75, 124–133. [Google Scholar] [CrossRef]
- Schachtman, D.P.; Reid, R.J.; Ayling, S.M. Phosphorus uptake by plants: From soil to cell. Plant Physiol. 1998, 116, 447–453. [Google Scholar] [PubMed]
- Nussaume, L.; Kanno, S.; Javot, H.; Marin, E.; Pochon, N.; Ayadi, A.; Nakanishi, T.M.; Thibaud, M.C. Phosphate import in plants: Focus on the PHT1 transporters. Front. Plant Sci. 2011, 2, 83. [Google Scholar] [PubMed]
- Karandashov, V.; Bucher, M. Symbiotic phosphate transport in arbuscular mycorrhizas. Trends Plant Sci. 2005, 10, 22–29. [Google Scholar]
- Smith, S.E.; Jakobsen, I.; Grønlund, M.; Smith, F.A. Roles of arbuscular mycorrhizas in plant phosphorus nutrition: Interactions between pathways of phosphorus uptake in arbuscular mycorrhizal roots have important implications for understanding and manipulating plant phosphorus acquisition. Plant Physiol. 2011, 156, 1050–1057. [Google Scholar]
- Giovannetti, M.; Volpe, V.; Salvioli, A.; Bonfante, P. Fungal and plant tools for the uptake of nutrients in arbuscular mycorrhizas: A molecular view. In Mycorrhizal Mediation of Soil; Elsevier: Amsterdam, The Netherlands, 2017; pp. 107–128. [Google Scholar]
- Barea, J.M. Vesicular-arbuscular mycorrhizae as modifiers of soil fertility. In Advances in Soil Science; Springer: Berlin/Heidelberg, Germany, 1991; pp. 1–40. [Google Scholar]
- Hernández, D.H.Y.; Larsen, J.; González-Rodríguez, A.; Tapia-Torres, Y.; de la Barrera, E.; Eguiarte, L.E.; García-Oliva, F. Cooperation between Sporobolus airoides and associated arbuscular mycorrhizal fungi for phosphorus acquisition under drought conditions in an oligotrophic desert ecosystem. Rhizosphere 2020, 15, 100225. [Google Scholar]
- Mohammed, M.H.; Röhle, H. Gum Talha from Acacia seyal Del. variety seyal in South Kordofan, Sudan. Res. J. For. 2011, 5, 17–26. [Google Scholar]
- Diouf, D.; Fall, D.; Chaintreuil, C.; Ba, A.T.; Dreyfus, B.; Neyra, M.; Ndoye, I.; Moulin, L. Phylogenetic analyses of symbiotic genes and characterization of functional traits of Mesorhizobium spp. strains associated with the promiscuous species Acacia seyal Del. J. Appl. Microbiol. 2010, 108, 818–830. [Google Scholar]
- Diatta, A.A.; Min, D.; Jagadish, S.K. Drought stress responses in non-transgenic and transgenic alfalfa—Current status and future research directions. In Advances in Agronomy; Elsevier: Amsterdam, The Netherlands, 2021; pp. 35–100. [Google Scholar]
- Manga, A.; Diop, A.; Diop, T.A. Functional diversity of mycorrhizal fungi has differential effects on salinity tolerance of Acacia seyal (Del.) seedlings. Open J. Soil Sci. 2017, 7, 315–332. [Google Scholar]
- Sene, G.; Thiao, M.; Manga, A.; Kane, A.; Samba-Mbaye, R.; Mbaye, M.S.; Khasa, D.; Sylla, S. Arbuscular mycorrhizal soil infectivity and spores distribution across plantations of tropical, subtropical and exotic tree species: A case study from the forest reserve of Bandia, Senegal. Afr. J. Ecol. 2012, 50, 218–232. [Google Scholar] [CrossRef]
- Broeckling, C.D.; Broz, A.K.; Bergelson, J.; Manter, D.K.; Vivanco, J.M. Root exudates regulate soil fungal community composition and diversity. Appl. Environ. Microbiol. 2008, 74, 738–744. [Google Scholar] [CrossRef]
- Panwar, J.; Tarafdar, J.C. Arbuscular mycorrhizal fungal dynamics under Mitragyna parvifolia (Roxb.) Korth. in Thar Desert. Appl. Soil Ecol. 2006, 34, 200–208. [Google Scholar] [CrossRef]
- Chebaane, A.; Symanczik, S.; Oehl, F.; Azri, R.; Gargouri, M.; Mäder, P.; Mliki, A.; Fki, L. Arbuscular mycorrhizal fungi associated with Phoenix dactylifera L. grown in Tunisian Sahara oases of different salinity levels. Symbiosis 2020, 81, 173–186. [Google Scholar]
- Augé, R.M.; Toler, H.D.; Saxton, A.M. Arbuscular mycorrhizal symbiosis alters stomatal conductance of host plants more under drought than under amply watered conditions: A meta-analysis. Mycorrhiza 2015, 25, 13–24. [Google Scholar] [CrossRef] [PubMed]
- Bell, L.W.; Harrison, M.T.; Kirkegaard, J.A. Dual-purpose cropping—Capitalising on potential grain crop grazing to enhance mixed-farming profitability. Crop Pasture Sci. 2015, 66, I–IV. [Google Scholar] [CrossRef]
- Harrison, M.T.; Evans, J.R.; Moore, A.D. Using a mathematical framework to examine physiological changes in winter wheat after livestock grazing: 1. Model derivation and coefficient calibration. Field Crop. Res. 2012, 136, 116–126. [Google Scholar] [CrossRef]
- Harrison, M.T.; Evans, J.R.; Moore, A.D. Using a mathematical framework to examine physiological changes in winter wheat after livestock grazing: 2. Model validation and effects of grazing management. Field Crop. Res. 2012, 136, 127–137. [Google Scholar]
- Tigka, T.; Ipsilantis, I. Effects of sand dune, desert and field arbuscular mycorrhizae on lettuce (Lactuca sativa, L.) growth in a natural saline soil. Sci. Hortic. 2020, 264, 109191. [Google Scholar] [CrossRef]
- Boutaj, H.; Meddich, A.; Chakhchar, A.; Wahbi, S.; El Alaoui-Talibi, Z.; Douira, A.; Filali-Maltouf, A.; El Modafar, C. Arbuscular mycorrhizal fungi improve mineral nutrition and tolerance of olive tree to Verticillium wilt. Arch. Phytopathol. Plant Prot. 2020, 53, 673–689. [Google Scholar] [CrossRef]
- Alam, H.; Zamin, M.; Adnan, M.; Ahmad, N.; Nawaz, T.; Saud, S.; Basir, A.; Liu, K.; Harrison, M.T.; Hassan, S.; et al. Evaluating the resistance mechanism of Atriplex leucoclada to salt and water stress; a potential crop for biosaline agriculture. Front. Plant Sci. 2022, 13, 948736. [Google Scholar] [CrossRef]
- Dabin, B. Application des dosages automatiques à l’analyse des sols. Cah. Orstom. Ser. Pedofil 1965, 3, 335–366. [Google Scholar]
- Rayment, G.E.; Higginson, F.R. Australian Laboratory Handbook of Soil and Water Chemical Methods; Inkata Press: Melbourne, Australia, 1992. [Google Scholar]
- Dalpé, Y.; Diop, T.A.; Plenchette, C.; Gueye, M. Glomales species associated with surface and deep rhizosphere of Faidherbia albida in Senegal. Mycorrhiza 2000, 10, 125–129. [Google Scholar] [CrossRef]
- Manga, A.; Dalpé, Y.; Soumaré, A.; Diop, T.A. Diversity of Arbuscular mycorrhizal fungi associated to Acacia seyal (Delile) in semi-arid zone of Senegal. World J. Microbiol. 2017, 3, 120–127. [Google Scholar]
- Gerdemann, J.W.; Nicolson, T.H. Spores of mycorrhizal Endogone species extracted from soil by wet sieving and decanting. Trans. Br. Mycol. Soc. 1963, 46, 235–244. [Google Scholar] [CrossRef]
- Omar, M.B.; Bolland, L.; Heather, W.A. A permanent mounting medium for fungi. Bull. Br. Mycol. Soc. 1979, 13, 31–32. [Google Scholar] [CrossRef]
- Diouf, D.; Samba-Mbaye, R.; Lesueur, D.; Ba, A.T.; Dreyfus, B.; de Lajudie, P.; Neyra, M. Genetic diversity of Acacia seyal Del. rhizobial populations indigenous to Senegalese soils in relation to salinity and pH of the sampling sites. Microb. Ecol. 2007, 54, 553–566. [Google Scholar] [CrossRef]
- Manga, A.; Ndiaye, F.; Sow, H.A.; Diop, T.A. Influence of sodium chloride on the growth, the mineral nutrition and the mycorrhization of Acacia seyal. J. Sci. Technol. 2008, 7, 11–20. [Google Scholar]
- Hewitt, E.J. Sand and water culture methods used in the study of plant nutrition. In London and Reading: Commonwealth Agricultural Bureau, 2nd ed.; The Eastern Press: Norwalk, CT, USA, 1966; 547p. [Google Scholar]
- Van Veldhoven, P.P.; Mannaerts, G.P. Inorganic and organic phosphate measurements in the nanomolar range. Anal. Biochem. 1987, 161, 45–48. [Google Scholar] [CrossRef]
- Phillips, J.M.; Hayman, D.S. Improved procedures for clearing roots and staining parasitic and vesicular-arbuscular mycorrhizal fungi for rapid assessment of infection. Trans. Br. Mycol. Soc. 1970, 55, 158–161. [Google Scholar] [CrossRef]
- Trouvelot, A.; Kough, J.L.; Gianinazzi-Pearson, V. Mesure du taux de mycorhization VA d’un système radiculaire. Recherche de méthode d’estimation ayant une signification fonctionnelle. In Physiological and Genetical Aspects of Mycorrhizae, Proceedings of the 1st European Symposium on Mycorrhizae, Dijon, France, 1–5 July 1985; INRA: Paris, France, 1986. [Google Scholar]
- Grattan, S.R.; Grieve, C.M. Salinitymineral nutrient relations in horticultural crops. Sci. Hortic. 1999, 78, 127–157. [Google Scholar]
- Herman, P. Biodiversity and evolution in mycorrhizae of the desert. In Microbial Endophytes; Marcel Dekker: New York, NY, USA, 2000; pp. 141–160. [Google Scholar]
- Navarro, J.M.; Pérez-Tornero, O.; Morte, A. Alleviation of salt stress in citrus seedlings inoculated with arbuscular mycorrhizal fungi depends on the rootstock salt tolerance. J. Plant Physiol. 2014, 171, 76–85. [Google Scholar] [CrossRef] [PubMed]
- Miransari, M. Arbuscular mycorrhizal fungi and uptake of nutrients. In Symbiotic Endophytes; Springer: Berlin/Heidelberg, Germany, 2013; pp. 253–270. [Google Scholar]
- Nakmee, P.S.; Techapinyawat, S.; Ngamprasit, S. Comparative potentials of native arbuscular mycorrhizal fungi to improve nutrient uptake and biomass of Sorghum bicolor Linn. Agric. Nat. Resour. 2016, 50, 173–178. [Google Scholar] [CrossRef]
- Karagiannidis, N.; Nikolaou, N. Arbuscular mycorrhizal root infection as an important factor of grapevine nutrition status. Multivariate analysis application for evaluation and characterization of the soil and leaf parameters [Vitis vinifera L.-Greece] [1999]. Agrochimica 2001, 43, 151–165. [Google Scholar]
- Feng, G.; Zhang, F.; Li, X.; Tian, C.; Tang, C.; Rengel, Z. Improved tolerance of maize plants to salt stress by arbuscular mycorrhiza is related to higher accumulation of soluble sugars in roots. Mycorrhiza 2002, 12, 185–190. [Google Scholar] [PubMed]
- Ruiz-Lozano, J.M.; Azcon, R.; Gomez, M. Alleviation of salt stress by arbuscular-mycorrhizal Glomus species in Lactuca sativa plants. Physiol. Plant. 1996, 98, 767–772. [Google Scholar] [CrossRef]
- Jakobsen, I.; Abbott, L.K.; Robson, A.D. External hyphae of vesicular-arbuscular mycorrhizal fungi associated with Trifolium subterraneum L. 1. Spread of hyphae and phosphorus inflow into roots. New Phytol. 1992, 120, 371–380. [Google Scholar]
- Jakobsen, I.; Abbott, L.K.; Robson, A.D. External hyphae of vesicular-arbuscular mycorrhizal fungi associated with Trifolium subterraneum L. 2. Hyphal transport of 32P over defined distances. New Phytol. 1992, 120, 509–516. [Google Scholar]
- Quintero-Ramos, M.; Espinoza-Victoria, D.; Ferrera-Cerrato, R.; Bethlenfalvay, G.J. Fitting plants to soil through mycorrhizal fungi: Mycorrhiza effects on plant growth and soil organic matter. Biol. Fertil. Soils 1993, 15, 103–106. [Google Scholar] [CrossRef]
- Heydari, S.; Pirzad, A. Mycorrhizal fungi and Thiobacillus co-inoculation improve the physiological indices of Lallemantia iberica under salinity stress. Curr. Microbiol. 2020, 77, 2523–2534. [Google Scholar] [CrossRef]
- Lehmann, A.; Veresoglou, S.; Leifheit, E.F.; Rillig, M. Arbuscular mycorrhizal influence on zinc nutrition in crop plants—A meta-analysis. Soil Biol. Biochem. 2014, 69, 123–131. [Google Scholar] [CrossRef]
- Bolan, N.S. A critical review on the role of mycorrhizal fungi in the uptake of phosphorus by plants. Plant Soil 1991, 134, 189–207. [Google Scholar] [CrossRef]
- Tarafdar, J.C.; Marschner, H. Phosphatase activity in the rhizosphere and hyphosphere of VA mycorrhizal wheat supplied with inorganic and organic phosphorus. Soil Biol. Biochem. 1994, 26, 387–395. [Google Scholar] [CrossRef]
- McArthur, D.A.J.; Knowles, N.R. Influence of vesicular-arbuscular mycorrhizal fungi on the response of potato to phosphorus deficiency. Plant Physiol. 1993, 101, 147–160. [Google Scholar] [CrossRef] [PubMed][Green Version]
- Khalil, S.; Loynachan, T.E.; Tabatabai, M.A. Mycorrhizal dependency and nutrient uptake by improved and unimproved corn and soybean cultivars. Agron. J. 1994, 86, 949–958. [Google Scholar] [CrossRef]
- Dodd, J.C.; Burton, C.C.; Burns, R.G.; Jeffries, P. Phosphatase activity associated with the roots and the rhizosphere of plants infected with vesicular-arbuscular mycorrhizal fungi. New Phytol. 1987, 107, 163–172. [Google Scholar] [CrossRef]
- Tisserant, E.; Kohler, A.; Dozolme-Seddas, P.; Balestrini, R.; Benabdellah, K.; Colard, A.; Croll, D.; Da Silva, C.; Gomez, S.K.; Koul, R.; et al. The transcriptome of the arbuscular mycorrhizal fungus Glomus intraradices (DAOM 197198) reveals functional tradeoffs in an obligate symbiont. New Phytol. 2012, 193, 755–769. [Google Scholar] [CrossRef]
- Salvioli, A.; Ghignone, S.; Novero, M.; Navazio, L.; Venice, F.; Bagnaresi, P.; Bonfante, P. Symbiosis with an endobacterium increases the fitness of a mycorrhizal fungus, raising its bioenergetic potential. ISME J. 2016, 10, 130–144. [Google Scholar] [CrossRef]
- Volpe, V.; Giovannetti, M.; Sun, X.-G.; Fiorilli, V.; Bonfante, P. The phosphate transporters LjPT4 and MtPT4 mediate early root responses to phosphate status in non mycorrhizal roots. Plant Cell Environ. 2016, 39, 660–671. [Google Scholar] [CrossRef]
- Estrada, B.; Beltrán-Hermoso, M.; Palenzuela, J.; Iwase, K.; Ruiz-Lozano, J.M.; Barea, J.M.; Oehl, F. Diversity of arbuscular mycorrhizal fungi in the rhizosphere of Asteriscus maritimus (L.) Less., a representative plant species in arid and saline Mediterranean ecosystems. J. Arid. Environ. 2013, 97, 170–175. [Google Scholar] [CrossRef]
- Shi, Z.Y.; Zhang, L.Y.; Li, X.L.; Feng, G.; Tian, C.Y.; Christie, P. Diversity of arbuscular mycorrhizal fungi associated with desert ephemerals in plant communities of Junggar Basin, northwest China. Appl. Soil Ecol. 2007, 35, 10–20. [Google Scholar] [CrossRef]
- Moeneclaey, I.; Schelfhout, S.; Vanhellemont, M.; DeCock, E.; Van Coillie, F.; Verheyen, K.; Baeten, L. Species ecological strategy and soil phosphorus supply interactively affect plant biomass and phosphorus concentration. Basic Appl. Ecol. 2022, 62, 1–11. [Google Scholar] [CrossRef]
- Chandra, P.; Singh, A.; Prajapat, K.; Rai, A.K.; Yadav, R.K. Native arbuscular mycorrhizal fungi improve growth, biomass yield, and phosphorus nutrition of sorghum in saline and sodic soils of the semi–arid region. Environ. Exp. Bot. 2022, 201, 104982. [Google Scholar] [CrossRef]
- Tian, C.Y.; Feng, G.; Li, X.L.; Zhang, F.S. Different effects of arbuscular mycorrhizal fungal isolates from saline or non-saline soil on salinity tolerance of plants. Appl. Soil Ecol. 2004, 26, 143–148. [Google Scholar] [CrossRef]
- Elgharably, A.; Nafady, N.A. Inoculation with Arbuscular mycorrhizae, Penicillium funiculosum and Fusarium oxysporum enhanced wheat growth and nutrient uptake in the saline soil. Rhizosphere 2021, 18, 100345. [Google Scholar] [CrossRef]
- Al-Karaki, G.N.; Hammad, R.; Rusan, M. Response of two tomato cultivars differing in salt tolerance to inoculation with mycorrhizal fungi under salt stress. Mycorrhiza 2001, 11, 43–47. [Google Scholar] [CrossRef]
- Karagiannidis, N.; Nikolaou, N.; Mattheou, A. Influence of three VA-mycorrhiza species on the growth and nutrient uptake of three grapevine rootstocks and one table grape cultivar. Vitis 1995, 34, 85–89. [Google Scholar]
Publisher’s Note: MDPI stays neutral with regard to jurisdictional claims in published maps and institutional affiliations. |
© 2022 by the authors. Licensee MDPI, Basel, Switzerland. This article is an open access article distributed under the terms and conditions of the Creative Commons Attribution (CC BY) license (https://creativecommons.org/licenses/by/4.0/).