Abstract
To study EAS cores (beams of most energetic particles near the shower axis) at E0 ≳ 1015 eV (√s ≳ 2 TeV), which carry the most valuable information about the types of primary particles and the characteristics of their interactions in the atmosphere, a new set of detectors has been developed, including a high-altitude ionization calorimeter “ADRON-55”, located at a high-altitude scientific station on the Tien Shan. The first results of modeling the development of EAS from primary protons, main groups of nuclei and hypothetical strangelets at various energies, related to measurements with the “ADRON-55” calorimeter, are presented.
1. Introduction
To simulate the interactions of various types of high-energy particles of primary cosmic radiation (PCR) with the nuclei of air atoms, initiating the subsequent development of the so-called extensive air showers (EASs) in the atmosphere, the CORSIKA package, which includes several theoretical models, is widely used. On the one hand, none of the models used can accurately reproduce the entire set of experimental characteristics of EASs. On the other hand, model predictions vary. To some extent, this may be due to the small amount of data, both accelerator information on the characteristics of hadron generation in the fragmentation region at super-high energies, and data on the characteristics of hadrons in EAS cores.
Among the theoretical models used by the CORSIKA package, the most popular are the latest versions of the QGSJET and SYBILL models. In our work, we focus on the QGSJET II-04 model.
In the last decades, the so-called big ionization calorimeter (BIC) of the Tien Shan High Mountain Research Station (3340 m a.s.l.) detected a slowdown in the absorption of hadronic component in EAS cores and an increase in the so-called absorption length, L(Eh), with an increase in the energy of hadrons Eh in the BIC [1,2,3,4,5]. In this case, a lead absorber with a thickness of 850 g/cm2 (about five mean free paths (MFPs) for interaction of protons in lead, λp-Pb) was used.
However, at that time, the quality of computer simulation of the above-mentioned experiments was at a much lower level due to the lack of good and detailed programs as well as the much lower performance of computers. This especially applies to programs for simulating the response of a calorimeter to the passage of particles through its substance and detectors.
After the advent of such powerful computer tools as the CORSIKA and GEANT packages, modeling moved to a higher level of quality.
The experimental situation also moved to a new level after the creation of a new ionization calorimeter “ADRON-55” at the height of the Tien Shan station, which has a lateral resolution of the order of the width of its ionization chambers (IC) (~12 cm). An ionization calorimeter with a thickness of 1244 g/cm2 (~6 λp-Fe) was built to study the most energetic hadrons arriving at the calorimeter in the region of shower cores. Calculations show that the higher the hadron energy, the more strongly its kinematic characteristics are related to the parameters of the first interaction of the primary particle in the atmosphere.
The last, but nevertheless important, study of the hadron component in EAS cores provides additional information about the nature of the PCR particles that initiate the observed EAS. In particular, we note that some phenomena discovered in high-altitude studies of EASs are explained by a number of authors (see, for example, [6]) by the fact that these showers can be generated by the so-called strangelets (see Section 3.2) arriving to the Earth as part of a PCR. The corresponding modeling was started only by our scientific group.
Obviously, to compare the simulation results and experimental data on EAS characteristics, it is necessary to simulate the passage of hadrons and electromagnetic particles of the EAS through the calorimeter. The corresponding calculations for the BIC calorimeter [1,2,3,4,5] were carried out using very primitive programs, which did not allow a detailed analysis of the experimental data. At present, it is possible to model processes in a hadron calorimeter using the modern Geant4 package (version 4.11.1.1).
2. High-Altitude Ionization Calorimeter ADRON-55
2.1. Installation “ADRON-M”
The complex installation “ADRON-M”, with an effective area of 30,000 m2, is located at an altitude of 3340 m a.s.l. and includes two shower systems of scintillation detectors, as well as an “ADRON-55” hadronic ionization calorimeter with an area of 55 m2, a total absorber thickness of 1244 g/cm2, and nine rows of IC. A detailed description of the Hadron-M installation is given in a number of works (see, for example, Reference [7]).
2.2. Ionization Calorimeter “ADRON-55”
A detailed description of the calorimeter is provided at Studies of Anomalous Phenomena in the Development of Electron-Nuclear Cascades in the EAS Cores Registered by a Modernized Complex Installation at Mountain [7]. To facilitate the perception of the following information, Figure 1 shows the “ADRON-55”diagram.
Figure 1.
Cross section of the “Hadron-55” calorimeter.
Briefly, “ADRON-55” consists of (a) a 29 cm thick upper gamma block (~51 radiation units) with two rows of ICs (100 and 138 ICs in the first and second rows, respectively) and (b) a lower hadron block. The hadron block and gamma block are separated by an air gap 2.2 m high.
The hadron block with an iron absorber contains 7 rows of ICs, each of which contains 144 ICs, located in cavities mutually perpendicular to the adjacent rows. The arrangement of ICs in rows is shown, for example, in Figure 2.
Figure 2.
Energy spectra of hadrons in the EAS central region (R < 10 m) in showers initiated by PCR protons and iron nuclei with energy E0 = 1 PeV.
Detailed characteristics of the ICs (dimensions, technical characteristics, etc.) are given, for example, in Reference [7].
3. Simulation of Vertical EASs from PCR Particles
3.1. Simulation of EASs Initiated by PCR Protons, Medium and Heavy Nuclei
We started with the simplest case, i.e., simulation of vertical events because of easy interpretation of their behavior in the calorimeter. Energy range 1–100 PeV which is the most actual for experimental data interpretation was used.
Within the framework of the standard CORSIKA package (version 7.7410 [8]), simulation of the development of vertical extensive air showers initiated by various PCR nuclei (protons, carbon, and iron nuclei) with energies of E0 = 1, 10, 30, and 100 PeV began, brought to lateral and energy characteristics such EAS components as hadrons, electrons/positrons, γ-rays, and muons, observed at the level of the “ADRON-55” location (3340 m a.s.l.). The QGSJET II-04 [9,10,11,12] model of hadronic interactions was accepted as the basic one.
The following energy thresholds were used: 1 GeV for hadrons and muons and 30 MeV for electromagnetic particles (e±, γ).
3.2. Simulation of EASs from PCR Strangelets
Modeling of the development of EASs from the so-called strangelets—stable particles of strange quark matter (SQM)—has begun. A number of works (see, for example, Reference [6]) suggest that these hypothetical particles are one of the components of cosmic radiation. Their main difference from ordinary nuclei is a very large baryon number AS (300 ≲ AS ≲ 2000), a much larger contribution of strange quarks, and lower density. More detailed information can be found in Reference [7]).
For certainty, the following strangelet parameters and assumptions were chosen: (1) AS = 2000; (2) strangelets are very large quasi-nuclei that interact with air nuclei, with a cross section σS-air ≈ σpp (AS2/3 + Aair2/3).
For an initial assessment of the characteristics of EASs initiated by strangelets, a very simplified model of the development of such a shower was developed within the framework of the CORSIKA package, called CORSIKA-S v.0.
In the first interaction of a strangelet after entering the atmosphere, several baryons interact and are removed from the composition of the strangelet. In this case, some of the non-interacting baryons also leave the composition of the strangelet, both individually and as part of free ordinary nuclei with mass Ai. In this interaction (and all other interactions), the number of breakaway nucleons Nnucl with an average number <Nnucl> = 12 is randomly selected according to the Poisson distribution, which can then form a nucleus (or several nuclei) with masses of 1, 4, 12, 32, 56 a.m.u. (i.e., protons, He, C, S, Fe). Moreover, the probability of the formation of any of these nuclei is inversely proportional to its mass Ai.
At each successive k+1-st interaction of a strangelet remnant, its interaction cross section is determined by a gradually decreasing baryon number AkS. Obviously, for each k-th residue of the strangelet, the relation λkS > … > λ2S > λ1S holds for the corresponding MFP values. As the EAS develops up to the level of the Tien Shan (3340 m a.s.l.), more than a hundred interactions occur until the strangelet completely disintegrates into individual protons, neutrons, and nuclei of various atomic weights, initiating independent sub-cores within the central core of the EAS. The energy thresholds are taken to be 30 MeV for electromagnetic particles (e± and γ-rays) and 1 GeV for muons and hadrons.
3.2.1. Some General Results of EASs at E0 = 100 PeV
This part shows some general results of simulation of vertical EASs from PCR protons, iron nuclei, and strangelets (up to a distance of 1 km from the EAS axis) with energy E0 = 100 PeV.
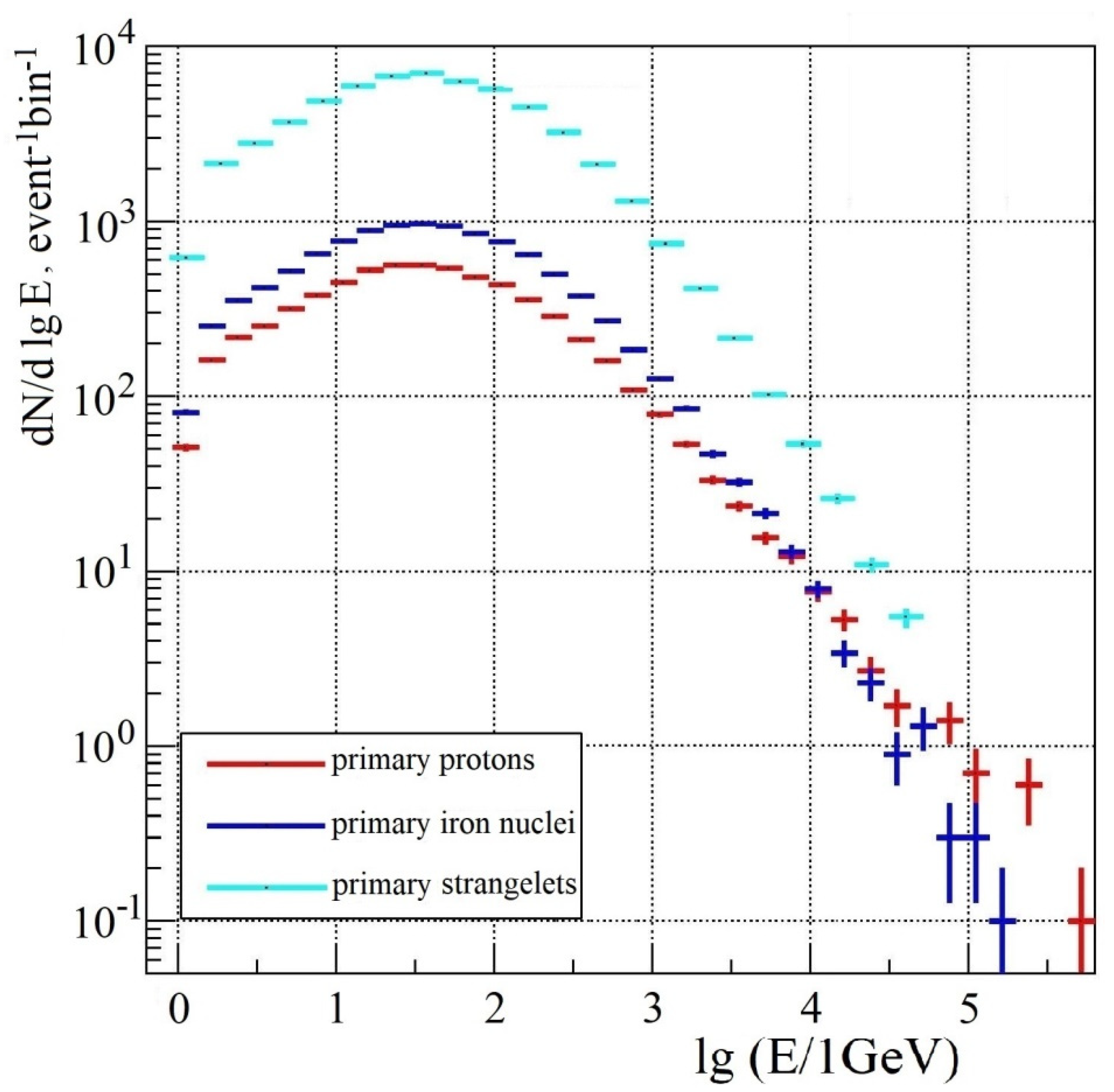
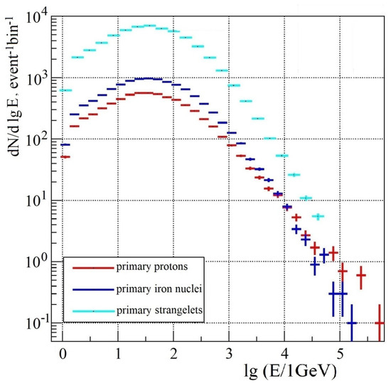
The energy spectra of all EAS hadrons (regardless of the distance to the EAS axis) that reached the Tien Shan level were calculated [13]. Figure 5 [13] shows spectra in EASs initiated by primary protons, iron nuclei, and strangelets. Obviously, the spectrum of hadrons is the hardest in proton-initiated EASs. As a result, one can observe hadrons with energies Eh ≳ 300 TeV only in these showers.
The softest spectrum of hadrons occurs in EASs from primary strangelets. This is easily explained by the fact that in strangelets with AS = 2000 and energy E0 = 100 PeV, the energy per nucleon is equal to Enucl = E0/2000 PeV. Therefore, in EASs initiated by strangelets, the most energetic hadrons are the nucleons of the primary strangelet flying into the atmosphere, which were able to jump through the entire atmosphere to the Tien Shan level without interaction.
The dependence of the numbers of hadrons (at Eh > 100 GeV) on the distance to the axis in showers from protons, iron nuclei, and strangelets with energy E0 = 100 PeV are shown in Figure 7 [13]. It can be noted that the number of hadrons at all distances from the axis in proton-initiated EASs is several times lower than in strangelet-initiated showers, and the difference grows with increasing distance.
3.2.2. Results of EAS Simulation in the Shower Axis Region
Since the dimensions of the “ADRON-55” calorimeter are ~8 × 7 m2, EAS characteristics near the core are primarily of interest. Properties of showers initiated by different primary particles at the same energy E0 differ most strongly in this region. All the simulation results presented below were obtained for the central region, i.e., at distances R to the EAS axis of less than 10 m.
Figure 2 and Figure 3 show the energy spectra of hadrons in the EAS central region (R < 10 m) in showers initiated by PCR protons and iron nuclei with energies E0 = 1 PeV and 10 PeV, respectively.
Figure 3.
Energy spectra of hadrons in the EAS central region of (R < 10 m) in showers from PCR protons and iron nuclei with energy E0 = 10 PeV.
Figure 4 shows the energy spectra of hadrons in the central region of EASs in showers from protons, iron nuclei, and PCR strangelets with energy E0 = 100 PeV.
Figure 4.
Energy spectra of hadrons in the central region of EAS (R < 10 m) in showers from PCR protons, iron nuclei, and strangelets with energy E0 = 100 PeV.
In general, Figure 2, Figure 3 and Figure 4 demonstrate that the most energetic hadrons with energies Eh ≳ 10 TeV (at E0~1 PeV) and Eh ≳ 50 TeV (at E0~10−100 PeV) in the EAS central region are present mainly in showers initiated by protons.
Figure 5 and Figure 6 show the dependence of the average hadron energy, ⟨Eh⟩ (Eh > 100 GeV), (in the central EAS region) on distance R to the EAS axis in showers initiated by PCR protons and iron nuclei with energies E0 = 1 and 10 PeV, respectively.
Figure 5.
Dependence of the average energy of hadrons, ⟨Eh⟩ (Eh > 100 GeV), in EAS on distance R to the EAS axis in showers initiated by protons and iron nuclei with energy E0 = 1 PeV.
Figure 6.
Dependence of the average energy of hadrons, ⟨Eh⟩ (Eh > 100 GeV), in an EAS on distance R to the EAS axis in showers initiated by protons and iron nuclei with energy E0 = 10 PeV.
Figure 7 shows the dependence of the average hadron energy, ⟨Eh⟩ (Eh > 100 GeV), in the central region of the EAS on the distance R to the EAS center in showers initiated by PCR protons, iron nuclei, and strangelets with energy E0 = 100 PeV.
Figure 7.
Dependence of the average energy of hadrons, ⟨Eh⟩ (Eh > 100 GeV), in the EAS central region on distance R to the EAS axis in showers from PCR protons, iron nuclei, and strangelets with energy E0 = 100 PeV.
It can be seen that as the primary energy E0 increases from 1 PeV to 100 PeV, the average hadron energy ⟨Eh⟩ grows more slowly than E0, and its dependence on the type of primary particle is especially strong near the shower axis (R ≲ 2 m). This reflects the fact that, at the same primary energy E0, the average energy of hadrons in the central region of EASs initiated by protons is significantly higher than in showers from iron nuclei and, even more so, in showers initiated by primary strangelets. This result, however, is to be expected based on the energy spectra shown in Figure 4, Figure 5 and Figure 6.
Clearly, distinguishing EASs from hypothetical strangelets and ordinary cosmic ray primary particles is a difficult task. We plan to look for ways to solve this problem by investigating the set of information that can be obtained from the characteristics of the hadron and electron–positron components, in particular, from the longitudinal development of hadron cascades in the calorimeter and the spatial distribution of charged particles.
4. Passage of EAS Particles through ADRON-55
4.1. Basic Information
To simulate the passage of EAS particles (hadrons, electromagnetic particles, muons) through the “ADRON-55” ionization calorimeter, the Hadr55 program has been developed based on the Geant4 package [14] (version 4.11.1.1). For this purpose, a 3D model of the ADRON-55 calorimeter was entered into Geant4, including the characteristics of the materials that make up the calorimeter.
Electromagnetic interactions in the Hadr55 program are simulated in accordance with the physical sheet G4EmStandardPhysics_opt3 [15].
Hadronic interactions are simulated using the FTFP_BERT model [16], which is used in Geant4 by default and involves elementary interactions using the FRITIOF parton model, as well as using the Bertini model to simulate the intranuclear cascade.
4.2. Geometry of the “ADRON-55” Calorimeter Model
The geometry of the “ADRON-55” calorimeter was built in accordance with its design and specific parameters of the ICs and absorber layers. The densities of lead and iron were assumed to be 12.5 and 7.8 g/cm3, respectively.
In accordance with the actual technical characteristics of the calorimeter, the following IC parameters were selected: body material—copper with a density of 8.92 g/cm3, external dimensions—400 cm × 11.5 cm × 6 cm for the 1st row and 300 cm × 11.5 cm × 6 cm for subsequent rows; the IC wall thickness is 2 mm.
4.3. Information Saved at the End of the Simulation
The default event in Geant4 is considered to be an entire set of phenomena that arise after the entry of a single particle (hadron, e±, γ-ray, muon) into the detector. In our simulation, an event is a more complex phenomenon, namely, the entry into the detector and the passage through “ADRON-55” of a whole group of EAS particles, including their interactions, generation of secondary particles, and development of new sub-cascades. In this case, the total energy release of all these particles in each of the ICs is of interest in order to compare the simulation results with experimental data. Ultimately, the final image of the shower in energy releases is stored in a text file. As a rule, the file is named ioni_nch_*, where * means the specification of this event (the type and energy of the primary particle that initiated this EAS). The same file contains information about the number of charged particles included in each IC.
4.4. Visual Examples of Simulation Results
As examples, Figure 8, Figure 9 and Figure 10 show, respectively, tracks from one proton with an energy of 50 GeV, a γ-ray with an energy of 1 GeV, and an electron with an energy of 1 GeV in the gamma block of the “ADRON-55” calorimeter.
Figure 8.
Picture of tracks produced by a proton with an energy of 50 GeV in the gamma block of the “ADRON-55” calorimeter.
Figure 9.
Picture of tracks produced by a γ-ray with an energy of 1 GeV in the gamma block of the “ADRON-55” calorimeter.
Figure 10.
Picture of tracks produced by an electron with an energy of 1 GeV in the gamma block of the “ADRON-55” calorimeter.
4.5. Some Results of Simulation of Events in “ADRON-55”
Simulation of the passage of EAS particles through the “ADRON-55” calorimeter using the Hadr55 program has been started. The same EAS can pass through the calorimeter many times with different initial parameters: coordinates of the shower axis (X0, Y0) in the coordinate system of the calorimeter at the level of its upper surface, the initial value of the random number sensor, the values of the lower threshold energies of particles at the input. In order not to waste computer time considering particles that do not create a signal in the IC, threshold values equal to 50 MeV were chosen based on the results of special tests for electrons and γ-rays.
Figure 11a–d shows the ionization distributions (total amount of energy left by the shower particles in ICs) over the chamber layers obtained for single events from vertical EASs from a proton and an iron nucleus with energies of 1 PeV (Figure 11a,b) and 100 PeV (Figure 11c,d). In this case, the EAS axis coincides with the calorimeter axis, i.e., X0 = 0, Y0 = 0.
Figure 11.
Ionization distributions over IC layers for individual vertical EASs initiated by (a) a proton with an energy of 1 PeV, (b) an iron nucleus with an energy of 1 PeV, (c) a proton with an energy of 100 PeV, and (d) an iron nucleus with an energy of 100 PeV. The EAS axes fall into the center of the calorimeter. Vertical axes show ionization per layer, i.e., total amount of energy left by a shower inside all the chambers of a layer.
EAS particles from strangelets were tracked using the same Hadr55 code as conventional EAS particles. To do this, secondary particles of cascades from numerous fragments of the strangelet were collected into a single file that was fed to the input of Hadr55. The same energy thresholds were used as for EASs from conventional nuclei.
Figure 12 shows longitudinal ionization profiles along the chamber layers for two vertical EASs from strangelets with mass AS = 2000 and energy E0 = 100 PeV, the axis of which fell into the center of the calorimeter. The curves look almost the same. Differences in ionization across layers at the percentage level. Undoubtedly, this is a consequence of the superposition of a large number of low-energy sub-cascades, leading to the suppression of fluctuations.
Figure 12.
Ionization distributions over IC layers for individual vertical EASs from strangelets with mass AS = 2000 and energy E0 = 100 PeV, (a) event No. 4, (b) event No. 9. The EAS axes fell into the center of the calorimeter.
The ionization profiles of protons exceed the profiles of ion nuclei of the same primary energy; the latter exceed the profiles of stranglets.
5. Conclusions
Simulation of the development of EASs in the atmosphere initiated by PCR protons, iron nuclei, and strangelets in the energy range 1–100 PeV has begun.
In the central region of EAS, the most energetic hadrons with energies Eh ≳ 10 TeV (at E0~1 PeV) and Eh ≳ 50 TeV (at E0~10−100 PeV) are present mainly in showers initiated by protons.
As the primary energy E0 increases from 1 PeV to 100 PeV, the average hadron energy ⟨Eh⟩ grows more slowly than E0, and its dependence on type of primary particle is especially strong near the shower axis (R ≲ 2 m).
At the same primary energy E0, the average energy of hadrons in the central region of EASs initiated by protons is significantly higher than in showers from iron nuclei and, even more so, in EASs initiated by primary strangelets.
Modeling of the processes of passage of EAS particles through the high-altitude (3340 m a.s.l.) ionization calorimeter “ADRON-55” with an area of 55 m2 and a total absorber thickness of 1244 g/cm2 (~6 λp-Fe) has begun.
A dependence of the longitudinal distribution of ionization in the calorimeter on the primary nucleus type has been found, namely, at the same primary energy E0, the heavier the primary nucleus, the less the total energy deposited in the chambers. Similar behavior exhibits the drop of the energy deposition from gamma block to hadron block.
Author Contributions
Conceptualization and methodology, T.S., R.M., V.G. and V.R.; Software and visualization, V.G. and K.A.; Resources and data curation, K.M., V.Z. and A.A.; Writing—review and editing, R.M. and A.A.; Writing—original draft preparation, R.M. and V.G.; Project administration and funding acquisition, T.S., O.Y. and Y.K. All authors have read and agreed to the published version of the manuscript.
Funding
This research is funded by the Science Committee of the Ministry of Science and Higher Education of the Republic of Kazakhstan (Grant No. AP19679396).
Data Availability Statement
The experimental data from “Hadron-M” can be found in http://www.tien-shan.org/ accessed on 19 December 2023.
Conflicts of Interest
The authors declare no conflicts of interest.
References
- Amineva, T.P.; Glavach, T.G.; Aseikin, V.S.; Vavilov, Y.N. Installation for studying extensive air showers and nuclear interactions of cosmic-radiation particles with an energy of 1012–1016 eV. Trudy FIAN 1970, 46, 157. (In Russian) [Google Scholar]
- Aseikin, V.S.; Bobova, V.P.; Goryacheva, G.Y.; Nikolsky, S.I.; Yakovlev, V.I. Absorption of the energy flux in the cores of extensive air showers. Izv. AN USSR 1974, 38, 998–1002. (In Russian) [Google Scholar]
- Nikolsky, S.I.; Yakovlev, V.I.; Pavljuchenko, V.P. Hadronic Cascades with Anomalous Absorption in the Lead. In Proceedings of the 15th International Cosmic Ray Conference, Plovdiv, Bulgaria, 13–26 August 1977; Volume 8, p. 130. [Google Scholar]
- Nikolskaya, N.M.; Pavlyuchenko, V.P.; Yakovlev, V.I. Parameters of High Energy Cores of EAS Detected with the Big Ionization Calorimeter on Tien Shan Mountain Station; P.N. Lebedev Physical Institute: Moscow, Russia, 1989. (In Russian) [Google Scholar]
- Shaulova, S.B.; Bezshapov, S.P. Looking for Strange Quark Matter in Cosmic Rays. EPJ Web Conf. 2013, 52, 04010. [Google Scholar] [CrossRef]
- Shaulov, S.B.; Beyl, P.F.; Beysembaev, R.U.; Beysembaeva, E.A.; Bezshapov, S.P.; Borisov, A.S.; Cherdyntceva, K.V.; Chernyavsky, M.M.; Chubenko, A.P.; Dalkarov, O.D.; et al. Investigation of EAS cores. EPJ Web Conf. 2017, 145, 17001. [Google Scholar] [CrossRef][Green Version]
- Mukhamedshin, R.; Sadykov, T.; Serikkanov, A.; Argynova, A.; Iskakov, B.; Argynova, K.; Mahmet, H.; Novolodskaya, O.; Idrissova, T.; Zhukov, V.; et al. Studies of Anomalous Phenomena in the Development of Electron-Nuclear Cascades in the EAS Cores Registered by a Modernized Complex Installation at Mountain Altitudes. Appl. Sci. 2023, 13, 2507. [Google Scholar] [CrossRef]
- Heck, D.; Pierog, T. Extensive Air Shower Simulation with CORSIKA: A User’s Guide; Version 7.7410 from 30 April 2021; Institut fur Kernphysik: Heidelberg, Germany, 2021. [Google Scholar]
- Kalmykov, N.N.; Ostapchenko, S.S. The nucleus-nucleus interaction, nuclear fragmentation, and fluctuations of extensive air showers. Phys. At. Nucl. 1993, 56, 346. [Google Scholar]
- Kalmykov, N.N.; Ostapchenko, S.S.; Pavlov, A.I. A model of quark-gluon strings with allowance for jets and EAS. Izv. RAN Ser. Fiz. 1994, 58, 21. [Google Scholar]
- Kalmykov, N.N.; Ostapchenko, S.S.; Pavlov, A.I. EAS and a quark—Gluon string model with jets. Bull. Russ. Acad. Sci. (Phys.) 1994, 58, 1966. [Google Scholar]
- Kalmykov, N.N.; Ostapchenko, S.S.; Pavlov, A.I. Quark-Gluon String Model and EAS Simulation Problems at Ultra-High Energies. Nucl. Phys. B (Proc. Suppl.) 1997, 52, 17. [Google Scholar] [CrossRef]
- Sadykov, T.; Mukhamedshin, R.; Galkin, V.; Argynova, A.; Almenova, A.; Argynova, K.; Makhmet, K.; Novolodskaya, O.; Idrissova, T.; Zhukov, V.; et al. First Results of Studying EAS Cores Using a High-Mountain Ionization Calorimeter. Particles 2024, 7, 40–51. [Google Scholar] [CrossRef]
- Allison, J.; Amako, K.; Apostolakis, J.; Araujo, H.; Dubois, P.A.; Asai, M.; Barrand, G.; Capra, R.; Chauvie, S.; Chytracek, R.; et al. Geant4 developments and applications. IEEE Trans. Nucl. Sci. 2006, 53, 270–278. [Google Scholar] [CrossRef]
- Geant4 Guide for Physics Lists, Release 11.0, Geant4 Collaboration, Rev6.0; Cern: Geneva, Switzerland, 2021; Available online: https://geant4.web.cern.ch/docs/ (accessed on 3 July 2024).
- Apostolakis, J.; Asai, M.; Bogdanov, A.; Burkhardt, H.; Cosmo, G.; Elles, S.; Folger, G.; Grichine, V.; Gumplinger, P.; Heikkinen, A.; et al. Geometry and physics of the Geant4 toolkit for high and medium energy applications. Radiat. Phys. Chem. 2009, 78, 859–873. [Google Scholar] [CrossRef]
Disclaimer/Publisher’s Note: The statements, opinions and data contained in all publications are solely those of the individual author(s) and contributor(s) and not of MDPI and/or the editor(s). MDPI and/or the editor(s) disclaim responsibility for any injury to people or property resulting from any ideas, methods, instructions or products referred to in the content. |
© 2024 by the authors. Licensee MDPI, Basel, Switzerland. This article is an open access article distributed under the terms and conditions of the Creative Commons Attribution (CC BY) license (https://creativecommons.org/licenses/by/4.0/).











